Characterization and Source Apportionment of PM in Handan—A Case Study during the COVID-19
Abstract
1. Introduction
2. Materials and Methods
2.1. Sample and Data
2.2. Measures of Variables
2.2.1. OC/EC
2.2.2. Water-Soluble Ion
2.2.3. Elemental
2.3. Data Analysis Procedure
2.3.1. Enrichment Factor
2.3.2. Analysis of Secondary Conversion
2.3.3. PCA-MLR Model
2.3.4. Inhalation Health Risk Assessment
2.3.5. Excess Mortality
2.3.6. Potential Source Contribution Function (PSCF)
2.3.7. Monitoring Data
3. Results and Discussion
3.1. Characteristics of PM
3.1.1. Crustal Elements
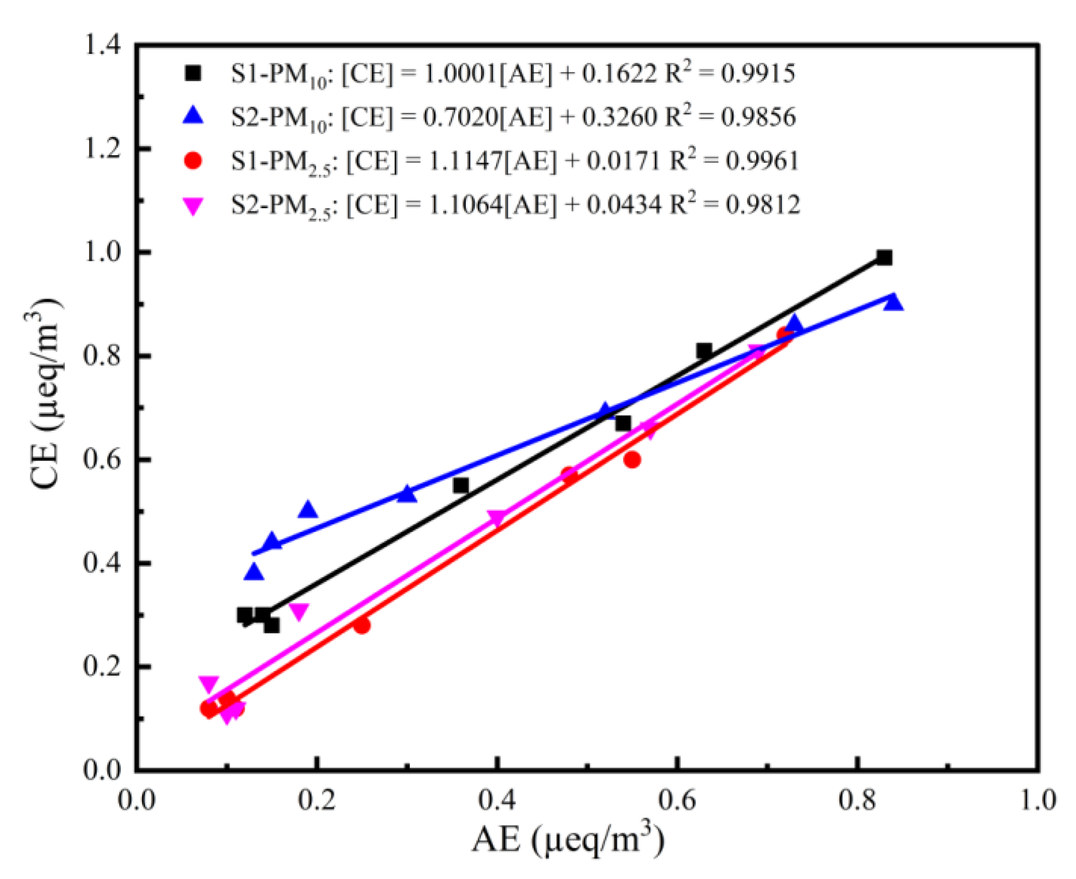
3.1.2. Water-Soluble Ions
3.1.3. Carbon Fractions
3.1.4. PM Reconstruction
3.2. Source Apportionment of PM
PSCF Analysis
3.3. Health Risk Assessment
Excess Mortality
3.4. Comparison with Other Studies
4. Conclusions
Supplementary Materials
Author Contributions
Funding
Institutional Review Board Statement
Informed Consent Statement
Data Availability Statement
Acknowledgments
Conflicts of Interest
References
- Wu, X.; Xin, J.; Zhang, W.; Gao, W.; Ma, Y.; Ma, Y.; Wen, T.; Liu, Z.; Hu, B.; Wang, Y.; et al. Variation characteristics of air combined pollution in Beijing City. Atmos. Res. 2022, 274, 106197. [Google Scholar] [CrossRef]
- Fan, F.; Lei, Y.; Li, L. Health damage assessment of PM pollution in Jing-Jin-Ji region of China. Environ. Sci. Pollut. Res. 2019, 26, 7883–7895. [Google Scholar] [CrossRef] [PubMed]
- Islam, R.; Li, T.; Mahata, K.; Khanal, N.; Werden, B.; Giordano, M.R.; Puppala, S.P.; Dhital, N.B.; Gurung, A.; Saikawa, E.; et al. Wintertime Air Quality across the Kathmandu Valley, Nepal: Concentration, Composition, and Sources of Fine and Coarse Particulate Matter. ACS Earth Space Chem. 2022, 6, 2955–2971. [Google Scholar] [CrossRef] [PubMed]
- Chowdhury, S.; Pozzer, A.; Haines, A.; Klingmüller, K.; Münzel, T.; Paasonen, P.; Sharma, A.; Venkataraman, C.; Lelieveld, J. Global health burden of ambient PM2.5 and the contribution of anthropogenic black carbon and organic aerosols. Environ. Int. 2022, 159, 107020. [Google Scholar] [CrossRef] [PubMed]
- Liang, H.; Zhou, X.; Zhu, Y.; Li, D.; Jing, D.; Su, S.; Pan, P.; Liu, H.; Zhang, Y. Association of outdoor air pollution, lifestyle, genetic factors with the risk of lung cancer: A prospective cohort study. Environ. Res. 2023, 218, 114996. [Google Scholar] [CrossRef]
- VoPham, T.; Jones, R.R. State of the science on outdoor air pollution exposure and liver cancer risk. Environ. Adv. 2023, 11, 100354. [Google Scholar] [CrossRef] [PubMed]
- Yao, S.; Wang, Q.; Zhang, J.; Zhang, R. Characteristics of Aerosol and Effect of Aerosol-Radiation-Feedback in Handan, an Industrialized and Polluted City in China in Haze Episodes. Atmosphere 2021, 12, 670. [Google Scholar] [CrossRef]
- Kortoçi, P.; Motlagh, N.H.; Zaidan, M.A.; Fung, P.L.; Varjonen, S.; Rebeiro-Hargrave, A.; Niemi, J.V.; Nurmi, P.; Hussein, T.; Petäjä, T.; et al. Air pollution exposure monitoring using portable low-cost air quality sensors. Smart Health 2022, 23, 100241. [Google Scholar] [CrossRef]
- Xu, W.; Zhou, W.; Li, Z.; Wang, Q.; Du, A.; You, B.; Qi, L.; Prévôt, A.S.H.; Cao, J.; Wang, Z.; et al. Changes in primary and secondary aerosols during a controlled Chinese New Year. Environ. Pollut. 2022, 315, 120408. [Google Scholar] [CrossRef] [PubMed]
- Wang, X.; Zhang, Y.; Yang, X. Investigating aerosol chemistry using Real-Time Single Particle Mass Spectrometry: A viewpoint on its recent development. Appl. Geochem. 2023, 149, 105554. [Google Scholar] [CrossRef]
- Li, H.; Zhang, Q.; Jiang, W.; Collier, S.; Sun, Y.; Zhang, Q.; He, K. Characteristics and sources of water-soluble organic aerosol in a heavily polluted environment in Northern China. Sci. Total Environ. 2021, 758, 143970. [Google Scholar] [CrossRef] [PubMed]
- Zhang, Q.; Hu, W.; Ren, H.; Yang, J.; Deng, J.; Wang, D.; Sun, Y.; Wang, Z.; Kawamura, K.; Fu, P. Diurnal variations in primary and secondary organic aerosols in an eastern China coastal city: The impact of land-sea breezes. Environ. Pollut. 2023, 319, 121016. [Google Scholar] [CrossRef]
- Madhavan, S.; Sun, J.; Xiong, X. Sensor calibration impacts on dust detection based on MODIS and VIIRS thermal emissive bands. Adv. Space Res. 2021, 67, 3059–3071. [Google Scholar] [CrossRef]
- Wang, H.; Chai, S.; Tang, X.; Zhou, B.; Bian, J.; Vömel, H.; Yu, K.; Wang, W. Verification of satellite ozone/temperature profile products and ozone effective height/temperature over Kunming, China. Sci. Total Environ. 2019, 661, 35–47. [Google Scholar] [CrossRef] [PubMed]
- Baruah, U.D.; Robeson, S.M.; Saikia, A.; Mili, N.; Sung, K.; Chand, P. Spatio-temporal characterization of tropospheric ozone and its precursor pollutants NO2 and HCHO over South Asia. Sci. Total Environ. 2022, 809, 151135. [Google Scholar] [CrossRef] [PubMed]
- Xiong, X.; Liu, X.; Wu, W.; Knowland, K.E.; Yang, Q.; Welsh, J.; Zhou, D.K. Satellite observation of stratospheric intrusions and ozone transport using CrIS on SNPP. Atmos. Environ. 2022, 273, 118956. [Google Scholar] [CrossRef]
- Semlali, B.-E.B.; El Amrani, C.; Ortiz, G.; Boubeta-Puig, J.; Garcia-De-Prado, A. SAT-CEP-monitor: An air quality monitoring software architecture combining complex event processing with satellite remote sensing. Comput. Electr. Eng. 2021, 93, 107257. [Google Scholar] [CrossRef]
- Wang, Y.; Yin, Z.; Zheng, Z.; Li, J.; Li, Q.; Meng, C.; Li, W. Spatial-temporal Distribution and Evolution Characteristics of Air Pollution in Beijing-Tianjin-Hebei Region Based on Long-term “Ground-Satellite” Data. Environ. Sci. 2022, 43, 3508–3522. [Google Scholar]
- Sarwar, G.; Hogrefe, C.; Henderson, B.-H.; Foley, K.; Mathur, R.; Murphy, B.; Ahmed, S. Characterizing variations in ambient PM2.5 concentrations at the U.S. Embassy in Dhaka, Bangladesh using observations and the CMAQ modeling system. Atmos. Environ. 2023, 296, 119587. [Google Scholar] [CrossRef]
- Cholakian, A.; Bessagnet, B.; Menut, L.; Pennel, R.; Mailler, S. Anthropogenic Emission Scenarios over Europe with the WRF-CHIMEREv2020 Models: Impact of Duration and Intensity of Reductions on Surface Concentrations during the Winter of 2015. Atmosphere 2023, 14, 224. [Google Scholar] [CrossRef]
- Salva, J.; Vanek, M.; Schwarz, M.; Gajtanska, M.; Tonhauzer, P.; Duricová, A. An Assessment of the On-Road Mobile Sources Contribution to Particulate Matter Air Pollution by AERMOD Dispersion Model. Sustainability 2021, 13, 12748. [Google Scholar] [CrossRef]
- Zhang, K.; Leeuw, G.-d.; Yang, Z.; Chen, X.; Su, X.; Jiao, J. Estimating Spatio-Temporal Variations of PM2.5 Concentrations Using VIIRS-Derived AOD in the Guanzhong Basin, China. Remote Sens. 2019, 11, 2679. [Google Scholar] [CrossRef]
- Chen, C.-C.; Wang, Y.-R.; Yeh, H.-Y.; Lin, T.-H.; Huang, C.-S.; Wu, C.-F. Estimating monthly PM2.5 concentrations from satellite remote sensing data, meteorological variables, and land use data using ensemble statistical modeling and a random forest approach. Environ. Pollut. 2021, 291, 118159. [Google Scholar] [CrossRef] [PubMed]
- Zhou, W.; Wu, X.; Ding, S.; Ji, X.; Pan, W. Predictions and mitigation strategies of PM2.5 concentration in the Yangtze River Delta of China based on a novel nonlinear seasonal grey model. Environ. Pollut. 2021, 276, 116614. [Google Scholar] [CrossRef] [PubMed]
- Lv, L.; Wei, P.; Li, J.; Hu, J. Application of machine learning algorithms to improve numerical simulation prediction of PM2.5 and chemical components. Atmos. Pollut. Res. 2021, 12, 101211. [Google Scholar] [CrossRef]
- Dai, H.; Huang, G.; Zeng, H.; Yang, F. PM2.5 Concentration Prediction Based on Spatiotemporal Feature Selection Using XGBoost-MSCNN-GA-LSTM. Sustainability 2021, 13, 12071. [Google Scholar] [CrossRef]
- Bera, B.; Bhattacharjee, S.; Sengupta, N.; Saha, S. PM2.5 concentration prediction during COVID-19 lockdown over Kolkata metropolitan city, India using MLR and ANN models. Environ. Chall. 2021, 4, 100155. [Google Scholar] [CrossRef]
- Dai, H.; Huang, G.; Zeng, H.; Zhou, F. PM2.5 volatility prediction by XGBoost-MLP based on GARCH models. J. Clean. Prod. 2022, 356, 131898. [Google Scholar] [CrossRef]
- Dai, H.; Huang, G.; Zeng, H.; Yu, R. Haze Risk Assessment Based on Improved PCA-MEE and ISPO-LightGBM Model. Systems 2022, 10, 263. [Google Scholar] [CrossRef]
- Fadel, M.; Ledoux, F.; Afif, C.; Courcot, D. Human health risk assessment for PAHs, phthalates, elements, PCDD/Fs, and DL-PCBs in PM2.5 and for NMVOCs in two East-Mediterranean urban sites under industrial influence. Atmos. Pollut. Res. 2022, 1, 101261. [Google Scholar] [CrossRef]
- Diffenbaugh, N.S.; Field, C.B.; Appel, E.A.; Azevedo, I.L.; Baldocchi, D.D.; Burke, M.; Burney, J.A.; Ciais, P.; Davis, S.J.; Fiore, A.M.; et al. The COVID-19 lockdowns: A window into the Earth System. Nat. Rev. Earth Environ. 2020, 1, 470–481. [Google Scholar] [CrossRef]
- Niu, H.; Shi, L.; Ren, X.; Jin, N.; Wang, S.; Li, S.; Hu, S.; Wu, C.; Lu, Y.; Fan, J.; et al. Chemical characteristics of particulate matter in the atmospheric environment after “coal substitution” policy in coal combustion cities and their surrounding areas. J. China Coal Soc. 2022, 47, 4362–4374. [Google Scholar]
- Suman, R.; Javaid, M.; Choudhary, S.K.; Haleem, A.; Singh, R.P.; Nandan, D.; Ali, S.; Rab, S. Impact of COVID-19 Pandemic on Particulate Matter (PM) concentration and harmful gaseous components on Indian metros. Sustain. Oper. Comput. 2021, 2, 1–11. [Google Scholar] [CrossRef]
- Donzelli, G.; Cioni, L.; Cancellieri, M.; Morales, A.L.; Suárez-Varela, M.M.M. The Effect of the COVID-19 Lockdown on Air Qualityin Three Italian Medium-Sized Cities. Atmosphere 2020, 11, 1118. [Google Scholar] [CrossRef]
- Seo, J.H.; Jeon, H.W.; Sung, U.J.; Sohn, J.-R. Impact of the COVID-19 Outbreak on Air Quality in Korea. Atmosphere 2020, 11, 1137. [Google Scholar] [CrossRef]
- Sulaymon, I.D.; Zhang, Y.; Hopke, P.K.; Hu, J.; Zhang, Y.; Li, L.; Mei, X.; Gong, K.; Shi, Z.; Zhao, B.; et al. Persistent high PM2.5 pollution driven by unfavorable meteorological conditions during the COVID-19 lockdown period in the Beijing-Tianjin-Hebei region, China. Environ. Res. 2021, 198, 111186. [Google Scholar] [CrossRef] [PubMed]
- Ou, S.; Wei, W.; Cheng, S.; Cai, B. Exploring drivers of the aggravated surface O3 over North China Plain in summer of 2015–2019: Aerosols, precursors, and meteorology. J. Environ. Sci. 2023, 127, 453–464. [Google Scholar] [CrossRef]
- Pozzer, A.; Dominici, F.; Haines, A.; Witt, C.; Münzel, T.; Lelieveld, J. Regional and global contributions of air pollution to risk of death from COVID-19. Cardiovasc. Res. 2020, 116, 2247–2253. [Google Scholar] [CrossRef] [PubMed]
- Carballo, I.H.; Bakola, M.; Stuckler, D. The impact of air pollution on COVID-19 incidence, severity, and mortality: A systematic review of studies in Europe and North America. Environ. Res. 2022, 215, 114155. [Google Scholar] [CrossRef]
- Coccia, M. Factors determining the diffusion of COVID-19 and suggested strategy to prevent future accelerated viral infectivity similar to COVID. Sci. Total Environ. 2020, 729, 138474. [Google Scholar] [CrossRef]
- Coccia, M. How do low wind speeds and high levels of air pollution support the spread of COVID-19? Atmos. Pollut. Res. 2021, 12, 437–445. [Google Scholar] [CrossRef]
- Tian, Y.; Wang, X.; Zhao, P.; Shi, Z.; Harrison, R.M. PM2.5 Source Apportionment using Organic Marker-based CMB Modeling: Influence of Inorganic Markers and Sensitivity to Source Profiles. Atmos. Environ. 2023, 294, 119477. [Google Scholar] [CrossRef]
- Huang, R.; Li, Z.; Ivey, C.E.; Zhai, X.; Shi, G.; Mulholland, J.A.; Devlin, R.; Russell, A.G. Application of an improved gas-constrained source apportionment method using data fused fields: A case study in North Carolina, USA. Atmos. Environ. 2022, 276, 119031. [Google Scholar] [CrossRef]
- Liu, Y.; Yang, Z.; Liu, Q.; Qi, X.; Qu, J.; Zhang, S.; Wang, X.; Jia, K.; Zhu, M. Study on chemical components and sources of PM2.5 during heavy air pollution periods at a suburban site in Beijing of China. Atmos. Pollut. Res. 2021, 12, 188–199. [Google Scholar] [CrossRef]
- Yuan, C.-S.; Wong, K.-W.; Tseng, Y.-L.; Ceng, J.-H.; Lee, C.-E.; Lin, C. Chemical significance and source apportionment of fine particles (PM2.5) in an industrial port area in East Asia. Atmos. Pollut. Res. 2022, 13, 101349. [Google Scholar] [CrossRef]
- Zhang, Z.; Xu, B.; Xu, W.; Wang, F.; Gao, J.; Li, Y.; Li, M.; Feng, Y.; Shi, G. Machine learning combined with the PMF model reveal the synergistic effects of sources and meteorological factors on PM2.5 pollution. Environ. Res. 2022, 212, 113322. [Google Scholar] [CrossRef] [PubMed]
- Dai, Q.; Ding, J.; Song, C.; Liu, B.; Bi, X.; Wu, J.; Zhang, Y.; Feng, Y.; Hopke, P.H. Changes in source contributions to particle number concentrations after the COVID-19 outbreak: Insights from a dispersion normalized PMF. Sci. Total Environ. 2021, 759, 143548. [Google Scholar] [CrossRef]
- Xu, H.; Xiao, Z.; Chen, K.; Tang, M.; Zheng, N.; Li, P.; Yang, N.; Yang, W.; Deng, X. Spatial and temporal distribution, chemical characteristics, and sources of ambient PM in the Beijing-Tianjin-Hebei region. Sci. Total Environ. 2019, 658, 280–293. [Google Scholar] [CrossRef] [PubMed]
- Huang, X.; Liu, Z.; Liu, J.; Hu, B.; Wen, T.; Tang, G.; Zhang, J.; Wu, F.; Ji, D.; Wang, L.; et al. Chemical characterization and source identification of PM2.5 at multiple sites in the Beijing–Tianjin–Hebei region, China. Atmos. Chem. Phys. 2017, 17, 12941–12962. [Google Scholar] [CrossRef]
- Ma, J.; Shen, J.; Wang, P.; Zhu, S.; Wang, Y.; Wang, P.; Wang, G.; Chen, J.; Zhang, H. Modeled changes in source contributions of particulate matter during the COVID-19 pandemic in the Yangtze River Delta, China. Atmos. Chem. Phys. 2021, 21, 7343–7355. [Google Scholar] [CrossRef]
- Li, J.; Xie, X.; Li, L.; Wang, X.; Wang, H.; Jing, S.; Ying, Q.; Qin, M.; Hu, J. Fate of Oxygenated Volatile Organic Compounds in the Yangtze River Delta Region: Source Contributions and Impacts on the Atmospheric Oxidation Capacity. Environ. Sci. Technol. 2022, 56, 11212–11224. [Google Scholar] [CrossRef]
- Yang, S.; Ma, Y.; Duan, F.; He, K.; Wang, L.; Wei, Z.; Zhu, L.; Ma, T.; Li, H.; Ye, S. Characteristics and formation of typical winter haze in Handan, one of the most polluted cities in China. Sci. Total Environ. 2018, 613–614, 1367–1375. [Google Scholar] [CrossRef]
- The Ministry of Ecology and Environment Reported the National Surface Water and Ambient Air Quality in December and January–December 2021, 2022. Available online: https://www.mee.gov.cn/ywdt/xwfb/202201/t20220131_968703.shtml (accessed on 20 October 2022).
- Wang, Q.; Hou, Z.; Li, L.; Guo, S.; Liang, H.; Li, M.; Luo, H.; Wang, L.; Luo, Y.; Ren, H. Seasonal disparities and source tracking of airborne antibiotic resistance genes in Handan, China. J. Hazard. Mater. 2022, 422, 126844. [Google Scholar] [CrossRef] [PubMed]
- Cai, A.; Zhang, H.; Wang, L.; Wang, Q.; Wu, X. Source apportionment and health risk assessment of heavy metals in PM2.5 in Handan: A typical heavily polluted city in North China. Atmosphere 2021, 12, 1232. [Google Scholar] [CrossRef]
- Cheng, M.; Zhang, H.; Wan, L. Spatial and temporal disribution characterustics of PM2.5 and variation factors of the AQI in the Beijing-Tianjin-Hebei region from 2015 to 2018. Appl. Ecol. Environ. Res. 2020, 5, 4441–4458. [Google Scholar] [CrossRef]
- Liu, Y.; Zhang, Y.; Zhang, Y.; Liang, Y.; Zhu, X.; Lan, J.; Niu, H.; Fan, J. Comparison of air quality index (AQI) before and after COVID-19 in Handan City and analysis of air pollution characteristics during COVID-19 prevention and control. Environ. Chem. 2021, 40, 3743–3754. [Google Scholar]
- Yang, H.; Tao, W.; Liu, Y.; Qiu, M.; Liu, J.; Jiang, K.; Yi, K.; Xiao, Y.; Tao, S. The contribution of the Beijing, Tianjin and Hebei region’s iron and steel industry to local air pollution in winter. Environ. Pollut. 2019, 245, 1095–1106. [Google Scholar] [CrossRef] [PubMed]
- Zhao, Z.; Qi, Y.; Han, R.; Xiao, N.; Li, J. Changes in the emission of dust particles from soil in the Beijing-Tianjin-Hebei region in the past 20 years. Acta Ecol. Sin. 2022, 42, 7910–7920. [Google Scholar]
- Li, M.; Yu, S.; Chen, X.; Li, Z.; Zhang, Y.; Song, Z.; Liu, W.; Li, P.; Zhang, X.; Zhang, M.; et al. Impacts of condensable PM on atmospheric organic aerosols and fine PM (PM2.5) in China. Atmos. Chem. Phys. 2022, 22, 11845–11866. [Google Scholar] [CrossRef]
- Meng, C.; Wang, L.; Zhang, F.; Wei, Z.; Ma, S.; Ma, X.; Yang, J. Characteristics of concentrations and water-soluble inorganic ions in PM2.5 in Handan City, Hebei province, China. Atmos. Res. 2016, 171, 133–146. [Google Scholar] [CrossRef]
- Chen, C.; Zhang, H.; Li, H.; Wu, N.; Zhang, Q. Chemical characteristics and source apportionment of ambient PM1.0 and PM2.5 in a polluted city in North China plain. Atmos. Environ. 2020, 242, 117867. [Google Scholar] [CrossRef]
- Yan, H.; Ding, G.; Feng, K.; Zhang, L.; Li, H.; Wang, Y.; Wu, T. Systematic evaluation framework and empirical study of the impacts of building construction dust on the surrounding environment. J. Clean. Prod. 2020, 275, 122767. [Google Scholar] [CrossRef]
- Shi, J.; Zhang, W.; Guo, S.; An, H. Numerical Modelling of Blasting Dust Concentration and Particle Size Distribution during Tunnel Construction by Drilling and Blasting. Metals 2022, 12, 547. [Google Scholar] [CrossRef]
- Zhang, Y.; Tang, W.; Li, H.; Guo, J.; Wu, J.; Guo, Y. The Evaluation of Construction Dust Diffusion and Sedimentation Using Wind Tunnel Experiment. Toxics 2022, 10, 412. [Google Scholar] [CrossRef] [PubMed]
- Yan, H.; Ding, G.; Li, H.; Wang, Y.; Zhang, L.; Shen, Q.; Feng, K. Field Evaluation of the Dust Impacts from Construction Sites on Surrounding Areas: A City Case Study in China. Sustainability 2019, 11, 1906. [Google Scholar] [CrossRef]
- Karanasiou, A.; Panteliadis, P.; Perez, N.; Minguillón, M.; Pandolfi, M.; Titos, G.; Viana, M.; Moreno, T.; Querol, X.; Alastuey, A. Evaluation of the Semi-Continuous OCEC analyzer performance with the EUSAAR2 protocol. Sci. Total Environ. 2020, 747, 141266. [Google Scholar] [CrossRef] [PubMed]
- Thiombane, M.; Di Bonito, M.; Albanese, S.; Zuzolo, D.; Lima, A.; de Vivo, B. Geogenic versus anthropogenic behaviour and geochemical footprint of Al, Na, K and P in the Campania region (Southern Italy) soils through compositional data analysis and EF. Geoderma 2019, 335, 12–26. [Google Scholar] [CrossRef]
- Lin, Y.-C.; Li, Y.-C.; Amesho, K.T.; Shangdiar, S.; Chou, F.-C.; Cheng, P.-C. Chemical characterization of PM2.5 emissions and atmospheric metallic element concentrations in PM2.5 emitted from mobile source gasoline-fueled vehicles. Sci. Total Environ. 2020, 15, 139942. [Google Scholar] [CrossRef] [PubMed]
- Mancilla, Y.; Paniagua, H.I.Y.; Mendoza, A. Spatial differences in ambient coarse and fine particles in the Monterreymetropolitan area, Mexico: Implications for source contribution. J. Air Waste Manag. Assoc. 2019, 69, 548–564. [Google Scholar] [CrossRef]
- Wedepohl, K.H. The composition of the continental crust. Geochim. Cosmochim. Acta 1995, 59, 1217–1232. [Google Scholar] [CrossRef]
- Wang, S.; Yin, S.; Zhang, R.; Yang, L.; Zhao, Q.; Zhang, L.; Yan, Q.; Jiang, N.; Tang, X. Insight into the formation of secondary inorganic aerosol based on high-time-resolution data during haze episodes and snowfall periods in Zhengzhou, China. Sci. Total Environ. 2019, 660, 47–56. [Google Scholar] [CrossRef]
- Zhou, H.; Lü, C.; He, J.; Gao, M.; Zhao, B.; Ren, L.; Zhang, L.; Fan, Q.; Liu, T.; He, Z.; et al. Stoichiometry of water-soluble ions in PM2.5: Application in source apportionment for a typical industrial city in semi-arid region, Northwest China. Atmos. Res. 2018, 204, 149–160. [Google Scholar] [CrossRef]
- Zhao, B.; Xu, J.; Zhang, G.; Lu, S.; Liu, X.; Li, L.; Li, M. Occurrence of antibiotics and antibiotic resistance genes in the Fuxian Lake and antibiotic source analysis based on principal component analysis-multiple linear regression model. Chemosphere 2021, 262, 127741. [Google Scholar] [CrossRef]
- Risk Assessment Guidance for Superfund (RAGS): Part F. Available online: https://www.epa.gov/risk/risk-assessment-guidance-superfund-rags-part-f (accessed on 1 February 2023).
- Wang, Y.; Ding, D.; Ji, X.; Zhang, X.; Zhou, P.; Dou, Y.; Dan, M.; Shu, M. Construction of Multipollutant Air Quality Health Index and Susceptibility Analysis Based on Mortality Risk in Beijing, China. Atmosphere 2022, 13, 1370. [Google Scholar] [CrossRef]
- Wang, Y.Q. An Open Source Software Suite for Multi-Dimensional Meteorological Data Computation and Visualisation. J. Open Res. Softw. 2019, 7, 21. [Google Scholar] [CrossRef]
- Wang, Y.Q. MeteoInfo: GIS software for meteorological data visualization and analysis. Meteorol. Appl. 2014, 21, 360–368. [Google Scholar] [CrossRef]
- Coccia, M. The effects of atmospheric stability with low wind speed and of air pollution on the accelerated transmission dynamics of COVID-19. Int. J. Environ. Stud. 2021, 78, 1. [Google Scholar] [CrossRef]
- Fan, H.; Zhao, C.; Yang, Y.; Yang, X. Spatio-Temporal Variations of the PM2.5/PM10 Ratios and Its Application to Air Pollution Type Classification in China. Front. Environ. Sci. 2021, 9, 692440. [Google Scholar] [CrossRef]
- Mason, B. Principles of Geochemistry, 3rd ed.; John Wiley & Sons, Inc.: New York, NY, USA, 1966. [Google Scholar]
- Huang, X.; Liu, Z.; Zhang, J.; Wen, T.; Ji, D.; Wang, Y. Seasonal variation and secondary formation of size-segregated aerosol water-soluble inorganic ions during pollution episodes in Beijing. Atmos. Res. 2016, 168, 70–79. [Google Scholar] [CrossRef]
- Hannun, R.M.; Razzaq, A.H.A. Air Pollution Resulted from Coal, Oil and Gas Firing in Thermal Power Plants and Treatment: A Review. IOP Conf. Ser. Earth Environ. Sci. 2022, 1002, 012008. [Google Scholar] [CrossRef]
- Zhang, Y.-X.; Cao, F.; Zheng, H.; Zhang, D.-D.; Zhai, X.-Y.; Fan, M.-Y.; Zhang, Y.-L. Pollution source and health risk assessment of polycyclic aromatic hydrocarbons in PM2.5 in Changchun City in autumn of 2017. Huan Jing Ke Xue 2020, 41, 564–573. (In Chinese) [Google Scholar]
- Chen, Y.; Wang, Y.; Nenes, A.; Wild, O.; Song, S.; Hu, D.; Liu, D.; He, J.; Ruiz, L.H.; Apte, J.S.; et al. Ammonium Chloride Associated Aerosol Liquid Water Enhances Haze in Delhi, India. Environ. Sci. Technol. 2022, 56, 7163–7173. [Google Scholar] [CrossRef]
- Mehregan, M.; Moghiman, M. Experimental investigation of the distinct effects of nanoparticles addition and urea-SCR after-treatment system on NOx emissions in a blended-biodiesel fueled internal combustion engine. Fuel 2020, 262, 116609. [Google Scholar] [CrossRef]
- Viatte, C.; Petit, J.-E.; Yamanouchi, S.; Van Damme, M.; Doucerain, C.; Germain-Piaulenne, E.; Gros, V.; Favez, O.; Clarisse, L.; Coheur, P.-F.; et al. Ammonia and PM2.5 Air Pollution in Paris during the 2020 COVID Lockdown. Atmosphere 2021, 12, 160. [Google Scholar] [CrossRef]
- Pan, Y.; Tian, S.; Liu, D.; Fang, Y.; Zhu, X.; Gao, M.; Gao, J.; Michalski, G.; Wang, Y. Isotopic evidence for enhanced fossil fuel sources of aerosol ammonium in the urban atmosphere. Environ. Pollut. 2018, 238, 942–947. [Google Scholar] [CrossRef]
- Li, M.; Bao, F.; Zhang, Y.; Song, W.; Chen, C.; Zhao, J. Role of elemental carbon in the photochemical aging of soot. Proc. Natl. Acad. Sci. USA 2018, 115, 7717–7722. [Google Scholar] [CrossRef]
- Duarte, R.M.; Mieiro, C.L.; Penetra, A.; Pio, C.A.; Duarte, A.C. Carbonaceous materials in size-segregated atmospheric aerosols from urban and coastal-rural areas at the Western European Coast. Atmos. Res. 2008, 90, 253–263. [Google Scholar] [CrossRef]
- Tian, J.; Ni, H.; Cao, J.; Han, Y.; Wang, Q.; Wang, X.; Chen, L.-W.; Chow, J.C.; Watson, J.G.; Wei, C.; et al. Characteristics of carbonaceous particles from residential coal combustion and agricultural biomass burning in China. Atmos. Pollut. Res. 2017, 17, 521–527. [Google Scholar] [CrossRef]
- Wu, C.; Yu, J.Z. Determination of primary combustion source organic carbon-to-elemental carbon (OC/EC) ratio using ambient OC and EC measurements: Secondary OC-EC correlation minimization method. Atmos. Chem. Phys. 2016, 16, 5453–5465. [Google Scholar] [CrossRef]
- Zhang, M.; Li, Z.; Xu, M.; Yue, J.; Cai, Z.; Yung, K.K.L.; Li, R. Pollution characteristics, source apportionment and health risks assessment of fine PM during a typical winter and summer time period in urban Taiyuan, China. Hum. Ecol. Risk Assess. 2019, 10, 2737–2750. [Google Scholar]
- Chen, Y.; Zhi, G.; Feng, Y.; Fu, J.; Feng, J.; Sheng, G.; Simoneit, B.R.T. Measurements of emission factors for primary carbonaceous particles from residential raw-coal combustion in China. Geophys. Res. Lett. 2006, 33, L20815. [Google Scholar] [CrossRef]
- Malm, W.C.; Sisler, J.F.; Huffman, D.; Eldred, R.A.; Cahill, T. Spatial and seasonal trends in particle concentration and optical extinction in the United States. J. Geophys. Res. Atmos. 1994, 99, 1347–1370. [Google Scholar] [CrossRef]
- Agarwal, A.; Satsangi, A.; Lakhani, A.; Kumari, K.M. Seasonal and spatial variability of secondary inorganic aerosols in PM2.5 at Agra: Source apportionment through receptor models. Chemosphere 2020, 242, 125132. [Google Scholar] [CrossRef] [PubMed]
- Zhang, Y.; Sartelet, K.; Zhu, S.; Wang, W.; Wu, S.-Y.; Zhang, X.; Wang, K.; Tran, P.; Seigneur, C.; Wang, Z.-F. Application of WRF/Chem-MADRID and WRF/Polyphemus in Europe—Part 2: Evaluation of chemical concentrations and sensitivity simulations. Atmos. Chem. Phys. 2013, 13, 6845–6875. [Google Scholar] [CrossRef]
- Chow, J.C.; Lowenthal, D.H.; Chen, L.-W.A.; Wang, X.; Watson, J.G. Mass reconstruction methods for PM2.5: A review. Air Qual. Atmos. Health 2015, 8, 243–263. [Google Scholar] [CrossRef]
- Liao, W.; Zhou, J.; Zhu, S.; Xiao, A.; Li, K.; Schauer, J.J. Characterization of aerosol chemical composition and the reconstruction of light extinction coefficients during winter in Wuhan, China. Chemosphere 2020, 241, 125033. [Google Scholar] [CrossRef]
- Remoundaki, E.; Kassomenos, P.; Mantas, E.; Mihalopoulos, N.; Tsezos, M. Composition and Mass Closure of PM2.5 in Urban Environment (Athens, Greece). Aerosol Air Qual. Res. 2013, 13, 72–82. [Google Scholar] [CrossRef]
- Zou, J.; Liu, Z.; Hu, B.; Huang, X.; Wen, T.; Ji, D.; Liu, J.; Yang, Y.; Yao, Q.; Wang, Y. Aerosol chemical compositions in the North China Plain and the impact on the visibility in Beijing and Tianjin. Atmos. Res. 2018, 201, 235–246. [Google Scholar] [CrossRef]
- Wang, Y.-S.; Chang, L.-C.; Chang, F.-J. Explore Regional PM2.5 Features and Compositions Causing Health Effects in Taiwan. Environ. Manag. 2021, 67, 176–191. [Google Scholar] [CrossRef]
- Qiao, B.; Chen, Y.; Tian, M.; Wang, H.; Yang, F.; Shi, G.; Zhang, L.; Peng, C.; Luo, Q.; Ding, S. Characterization of water soluble inorganic ions and their evolution processes during PM2.5 pollution episodes in a small city in southwest China. Sci. Total Environ. 2019, 650, 2605–2613. [Google Scholar] [CrossRef] [PubMed]
- United States Environmental Protection Agency. List N: Products with Emerging Viral Pathogens AND Human Coronavirus Claims for Use against SARS-CoV-2. Available online: https://www.epa.gov/sites/default/files/2020-06/documents/sars-cov2_listn_06122020.pdf (accessed on 6 December 2020).
- Li, H.; Zhang, Q.; Zhang, Q.; Chen, C.; Wang, L.; Wei, Z.; Zhou, S.; Parworth, C.; Zheng, B.; Canonaco, F.; et al. Wintertime aerosol chemistry and haze evolution in an extremely polluted city of the North China Plain: Significant contribution from coal and biomass combustion. Atmos. Chem. Phys. 2017, 17, 4751–4768. [Google Scholar] [CrossRef]
- Zhang, C.; Wang, L.L.; Qi, M.; Ma, X.; Zhao, L.; Ji, S.; Wang, Y.; Lu, X.; Wang, Q.; Xu, R.; et al. Evolution of Key Chemical Components in PM2.5 and Potential Formation Mechanisms of Serious Haze Events in Handan, China. Aerosol Air Qual. Res. 2018, 18, 1545–1557. [Google Scholar] [CrossRef]
- Li, H.; Wang, J.; Wang, Q.; Qian, X.; Qian, Y.; Yang, M.; Li, F.; Lu, H.; Wang, C. Chemical fractionation of arsenic and heavy metals in fine particle matter and its implications for risk assessment: A case study in Nanjing, China. Atmos. Environ. 2015, 103, 339–346. [Google Scholar] [CrossRef]
- Niu, H.; Wu, Z.; Xue, F.; Liu, A.; Hu, W.; Wang, J.; Fan, J.; Lu, Y. Seasonal variations and risk assessment of heavy metals in PM2.5 from Handan, China. World J. Eng. 2021, 18, 886–897. [Google Scholar] [CrossRef]
- Li, X.; Yan, C.; Wang, C.; Ma, J.; Li, W.; Liu, J.; Liu, Y. PM2.5-bound elements in Hebei Province, China: Pollution levels, source apportionment and health risks. Sci. Total Environ. 2022, 806, 150440. [Google Scholar] [CrossRef]
- Gong, X.; Shen, Z.; Zhang, Q.; Zeng, Y.; Sun, J.; Ho, S.S.H.; Lei, Y.; Xu, H.; Cui, S.; Huang, Y.; et al. Characterization of polycyclic aromatic hydrocarbon (PAHs) source profiles in urban PM2.5 fugitive dust: A large-scale study for 20 Chinese cites. Sci. Total Environ. 2019, 687, 188–197. [Google Scholar] [CrossRef]
- Ren, X.; Niu, H.; Li, S.; Xue, F.; Wu, Z.; Fan, J. Pollution characteristics and source of water-soluble ions in atmospheric fine particles in Handan City. Environ. Chem. 2021, 40, 3510–3519. [Google Scholar]
- Ren, X.L.; Hu, W.; Wu, C.M.; Hu, S.H.; Gao, N.N.; Zhang, C.C.; Yue, L.; Wang, J.X.; Fan, J.S.; Niu, H.Y. Chemical Characteristics and Sources of Atmospheric Aerosols in the Surrounding District of a Heavily Polluted City in the Southern Part of North China. Environ. Sci. 2022, 43, 1159–1169. [Google Scholar]
- Xue, F.; Niu, H.; Wu, Z.; Ren, X.; Li, S.; Wang, J.; Yue, L.; Fan, J. Pollution characteristics of organic carbon and elemental carbon in PM2.5 and PM10 of Handan City. Environ. Chem. 2021, 40, 3246–3257. [Google Scholar]






| Item | F1 | F2 | F3 |
|---|---|---|---|
| OC | 0.609 | 0.663 | / |
| EC | 0.839 | 0.365 | 0.048 |
| Al | 0.976 | 0.028 | 0.111 |
| Ca | 0.899 | 0.062 | / |
| Cd | 0.29 | 0.591 | 0.431 |
| Cr | 0.318 | / | / |
| Fe | 0.982 | 0.101 | 0.055 |
| K | 0.93 | 0.28 | 0.08 |
| Mg | 0.973 | 0.119 | / |
| Mn | 0.976 | 0.159 | 0.042 |
| Ni | 0.828 | 0.313 | 0.246 |
| Pb | 0.128 | 0.791 | 0.119 |
| Sr | 0.984 | 0.099 | / |
| Ti | 0.974 | 0.065 | 0.121 |
| V | 0.98 | 0.081 | 0.053 |
| Zn | 0.444 | 0.834 | 0.125 |
| Cl− | 0.413 | / | 0.715 |
| NO3− | 0.108 | 0.952 | / |
| SO42− | 0.032 | 0.936 | / |
| Na+ | 0.636 | 0.425 | / |
| NH4+ | / | 0.925 | / |
| Eigenvalue | 12.3 | 4.2 | 1.6 |
| Variance/% | 58.5 | 19.8 | 7.6 |
| Cumulative/% | 58.5 | 78.4 | 85.9 |
| Risk Source | Children | Adults | ||
|---|---|---|---|---|
| CR | THQ | CR | THQ | |
| PM10 at sampling site 1 | 5.2 × 10−6 | 0.56 | 2.1 × 10−5 | 0.56 |
| PM10 at sampling site 2 | 6.9 × 10−6 | 0.60 | 2.8 × 10−5 | 0.60 |
| PM2.5 at sampling site 1 | 1.0 × 10−6 | 0.27 | 1.2 × 10−5 | 0.27 |
| PM2.5 at sampling site 2 | 4.4 × 10−6 | 0.27 | 5.1 × 10−5 | 0.27 |
| Item | This Study | Reference [111] | Reference [112] | Reference [62] | Reference [113] |
|---|---|---|---|---|---|
| Date | 12–18 May 2020 | Summer in 2017 | 23 November–31 December 2020 | 6–31 December 2015 | 1–11 July 2016 |
| PM2.5 | 53 (24–96) | 41 | 124.3 | 252.4 (58.6–713.1) | 77.7 |
| OC/EC | 3.2 (2.4–4.1) | - | 3.4 | 3.58 (3.14–4.33) | 2.6 |
| ρ (SNA) | 22 (5.2–54.0) | 50.2 ± 36.1 | 54.9–60.0 | 131 (23.4–385.1) | _ |
| ρ (Element) | 3.2 (2.3–4.3) | - | _ | 32.6 (9.3–88.4) | _ |
| ρ (WSI) | 24 (6.7–55.4) | 53.0 ± 38.1 | _ | _ | _ |
| Date | Method | Main Pollution Sources (Proportion) | References |
|---|---|---|---|
| 12–18 May 2020 | PCA-MLR | Factor 1: dust (60.4 %); Factor 2: mixed source including secondary transformation, vehicle exhaust and fossil fuels (37.3%); Factor 3: assumed to be disinfectants (2.3%) | This study |
| April–December 2017 | PCA | Factor 1: secondary transformation (49.1%); Factor 2: dust (18.5%); Factor 3: coal combustion, biomass burning (13.0%) | [111] |
| 23 November–31 December 2020 | PCA | Factor 1: mixed source (37.1%); Factor 2: vehicle exhaust (28.8%) | [112] |
| 6–31 December 2015 | PMF | Factor 1: secondary inorganic aerosols (30.3%); Factor 2: coal combustion (26.9%); Factor 3: industrial emissions (15.6%); Factor 4: road dust (10.1%); Factor 5: biomass burning (8.9%); Factor 6: motor vehicles (8.3%) | [62] |
| 5–14 December 2020 | PCA | Factor 1: secondary transformation mixed biomass burning (51.2%); Factor 2: dust (26.9%); Factor 3: dust; Factor 4: natural gas combustion source (8.3%) | [113] |
Disclaimer/Publisher’s Note: The statements, opinions and data contained in all publications are solely those of the individual author(s) and contributor(s) and not of MDPI and/or the editor(s). MDPI and/or the editor(s) disclaim responsibility for any injury to people or property resulting from any ideas, methods, instructions or products referred to in the content. |
© 2023 by the authors. Licensee MDPI, Basel, Switzerland. This article is an open access article distributed under the terms and conditions of the Creative Commons Attribution (CC BY) license (https://creativecommons.org/licenses/by/4.0/).
Share and Cite
Shu, M.; Ji, X.; Wang, Y.; Dou, Y.; Zhou, P.; Xu, Z.; Guo, L.; Dan, M.; Ding, D.; Hu, Y. Characterization and Source Apportionment of PM in Handan—A Case Study during the COVID-19. Atmosphere 2023, 14, 680. https://doi.org/10.3390/atmos14040680
Shu M, Ji X, Wang Y, Dou Y, Zhou P, Xu Z, Guo L, Dan M, Ding D, Hu Y. Characterization and Source Apportionment of PM in Handan—A Case Study during the COVID-19. Atmosphere. 2023; 14(4):680. https://doi.org/10.3390/atmos14040680
Chicago/Turabian StyleShu, Mushui, Xiaohui Ji, Yu Wang, Yan Dou, Pengyao Zhou, Zhizhen Xu, Ling Guo, Mo Dan, Ding Ding, and Yifei Hu. 2023. "Characterization and Source Apportionment of PM in Handan—A Case Study during the COVID-19" Atmosphere 14, no. 4: 680. https://doi.org/10.3390/atmos14040680
APA StyleShu, M., Ji, X., Wang, Y., Dou, Y., Zhou, P., Xu, Z., Guo, L., Dan, M., Ding, D., & Hu, Y. (2023). Characterization and Source Apportionment of PM in Handan—A Case Study during the COVID-19. Atmosphere, 14(4), 680. https://doi.org/10.3390/atmos14040680

