An Ionospheric Total Electron Content Model with a Storm Option over Japan Based on a Multi-Layer Perceptron Neural Network
Abstract
1. Introduction
2. Materials and Methods
2.1. Materials
2.2. Multi-Layer Perceptron Neural Network
3. Results
3.1. Evaluation of the JIM’s Accuracy for Different Sample Datasets
3.2. Evaluation of the JIM’s Prediction Ability in Reconstructing TEC Map
3.3. Temporal-Spatial Variations of the JIM-TEC
3.4. Prediction Performances of the JIM under Various Complex Space Environments
4. Discussion
5. Conclusions
- (1)
- The whole samples were divided into the training set, validation set and test set for learning the JIM. Under the quiet space condition, the correlation coefficients between targets and predictions for three datasets were 0.98, 0.97993 and 0.97994, and the corresponding RMSEs of prediction residuals were 1.4974, 1.4985 and 1.5021TECU, respectively. The performance of the JIM was better during severe space events; the correlation coefficients for three parts all exceeded 0.99, and the corresponding RMSEs were 0.96027, 0.95356 and 0.95767TECU, respectively.
- (2)
- The JIM had a strong capability in reconstructing the two-dimensional (time vs latitude) TEC maps over Japan. The JIM was successful in reproducing the spatial TEC maps during equinoxes and solstices, and the TEC maps had evident hourly and seasonal variations. The maximum TEC appeared in the spring equinox, following the autumn equinox, and the minimum values occurred in solstices. Moreover, the TEC timeseries simulated by the JIM were nearly consistent with the targets over GNSS stations STK2, 0203 and TSKB. Most of TEC residuals accumulated in UT01-06 with a maximum magnitude of 4TECU, while in other moments, the averaged magnitude of TEC residuals was lower than 1TECU.
- (3)
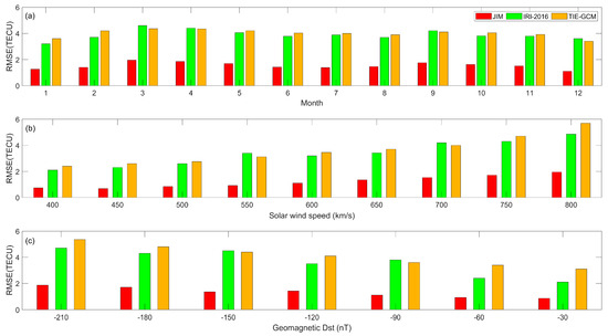
- The JIM had a perfect prediction performance under various kinds of complex space environments. During the 2021 spring equinox (Vsw < 600 km/s and Dst > −30 nT), both the predictions of JIM and GIM agreed well with the target TECs. The JIM usually tended to underestimate the TEC with a magnitude of 1-2TECU, and in some moments, the JIM had a more competitive edge than the GIM. Under severe geomagnetic storm on 8 September 2017, the performance of the JIM remained at a stable level. The RMSEs of the TEC residuals of the JIM at UT06, UT12 and UT18 were 1.51, 0.88 and 0.89TECU, while the corresponding RMSEs of the TEC residuals simulated by the IRI-2016 and TIE-GCM were 3–4 times larger than that of the JIM. Moreover, the TEC residuals had an evident monthly variation; the maximum residual occurred in March and April, and the minimum residual appeared in December. Furthermore, the magnitude of TEC residual was proportional to the solar wind speed and was inversely proportional to the geomagnetic Dst value. Even in a severe disturbed space environment, the TEC residual of the JIM was still lower than 2TECU, while the corresponding residuals for the IRI-2016 and TIE-GCM exceeded 5TECU.
Author Contributions
Funding
Institutional Review Board Statement
Informed Consent Statement
Data Availability Statement
Conflicts of Interest
References
- Ren, X.; Chen, J.; Li, X.; Zhang, X. Ionospheric Total Electron Content Estimation Using GNSS Carrier Phase Observations Based on Zero-Difference Integer Ambiguity: Methodology and Assessment. IEEE Trans. Geosci. Remote Sens. 2020, 59, 817–830. [Google Scholar] [CrossRef]
- Radicella, S.M. The NeQuick Model Genesis, Uses and Evolution. Ann. Geophys. 2009, 52, 417–422. [Google Scholar]
- Nava, B.; Coisson, P.; Radicella, S. A New Version of the NeQuick Ionosphere Electron Density Model. J. Atmos. Sol. Terr. Phys. 2008, 70, 1856–1862. [Google Scholar] [CrossRef]
- Wang, N.; Yuan, Y.; Li, Z.; Huo, X. Improvement of Klobuchar Model for GNSS Single-Frequency Ionospheric Delay Corrections. Adv. Space Res. 2016, 57, 1555–1569. [Google Scholar] [CrossRef]
- Ho, C.; Wilson, B.; Mannucci, A.; Lindqwister, U.; Yuan, D. A Comparative Study of Ionospheric Total Electron Content Measurements Using Global Ionospheric Maps of GPS, TOPEX Radar, and the Bent Model. Radio Sci. 1997, 32, 1499–1512. [Google Scholar] [CrossRef]
- Bilitza, D.; McKinnell, L.-A.; Reinisch, B.; Fuller-Rowell, T. The International Reference Ionosphere Today and in the Future. J. Geod. 2011, 85, 909–920. [Google Scholar] [CrossRef]
- Bilitza, D.; Altadill, D.; Truhlik, V.; Shubin, V.; Galkin, I.; Reinisch, B.; Huang, X. International Reference Ionosphere 2016: From Ionospheric Climate to Real-Time Weather Predictions. Space Weather 2017, 15, 418–429. [Google Scholar] [CrossRef]
- Yuan, Y.; Wang, N.; Li, Z.; Huo, X. The BeiDou Global Broadcast Ionospheric Delay Correction Model (BDGIM) and Its Preliminary Performance Evaluation Results. Navigation 2019, 66, 55–69. [Google Scholar] [CrossRef]
- Maute, A. Thermosphere-Ionosphere-Electrodynamics General Circulation Model for the Ionospheric Connection Explorer: TIEGCM-ICON. Space Sci. Rev. 2017, 212, 523–551. [Google Scholar] [CrossRef]
- Opperman, B.D.; Cilliers, P.J.; McKinnell, L.-A.; Haggard, R. Development of a Regional GPS-Based Ionospheric TEC Model for South Africa. Adv. Space Res. 2007, 39, 808–815. [Google Scholar] [CrossRef]
- Liu, J.; Chen, R.; Wang, Z.; Zhang, H. Spherical Cap Harmonic Model for Mapping and Predicting Regional TEC. GPS Solut. 2011, 15, 109–119. [Google Scholar] [CrossRef]
- Li, W.; Zhao, D.; Shen, Y.; Zhang, K. Modeling Australian TEC Maps Using Long-Term Observations of Australian Regional GPS Network by Artificial Neural Network-Aided Spherical Cap Harmonic Analysis Approach. Remote Sens. 2020, 12, 3851. [Google Scholar] [CrossRef]
- Ghaffari Razin, M.R.; Moradi, A.R.; Inyurt, S. Spatio-Temporal Analysis of TEC during Solar Activity Periods Using Support Vector Machine. GPS Solut. 2021, 25, 121. [Google Scholar] [CrossRef]
- Li, W.; Zhao, D.; He, C.; Hu, A.; Zhang, K. Advanced Machine Learning Optimized by the Genetic Algorithm in Ionospheric Models Using Long-Term Multi-Instrument Observations. Remote Sens. 2020, 12, 866. [Google Scholar] [CrossRef]
- Zhao, D.; Zhang, X.; Li, W.; Wang, Q.; Hancock, C.M.; Li, C.; Roberts, G.W.; Zhang, K. Extracting Ionospheric Phase Scintillation Indicator from GNSS Observations with 30-s Sampling Interval in the High-Latitude Region. GPS Solut. 2023, 27, 79. [Google Scholar] [CrossRef]
- Zhao, D.; Li, W.; Li, C.; Tang, X.; Wang, Q.; Hancock, C.M.; Roberts, G.W.; Zhang, K. Ionospheric Phase Scintillation Index Estimation Based on 1 Hz Geodetic GNSS Receiver Measurements by Using Continuous Wavelet Transform. Space Weather 2022, 20, e2021SW003015. [Google Scholar] [CrossRef]
- Feng, J.; Zhang, T.; Li, W.; Zhao, Z.; Han, B.; Wang, K. A New Global TEC Empirical Model Based on Fusing Multi-Source Data. GPS Solut. 2023, 27, 20. [Google Scholar] [CrossRef]
- Williscroft, L.-A.; Poole, A.W. Neural Networks, FoF2, Sunspot Number and Magnetic Activity. Geophys. Res. Lett. 1996, 23, 3659–3662. [Google Scholar] [CrossRef]
- Shi, S.; Wu, S.; Zhang, K.; Li, W.; Shi, J.; Song, F. An Investigation of a New Artificial Neural Network-Based TEC Model Using Ground-Based GPS and COSMIC-2 Measurements over Low Latitudes. Adv. Space Res. 2022, 70, 2522–2540. [Google Scholar] [CrossRef]
- Tang, J.; Li, Y.; Ding, M.; Liu, H.; Yang, D.; Wu, X. An Ionospheric TEC Forecasting Model Based on a CNN-LSTM-Attention Mechanism Neural Network. Remote Sens. 2022, 14, 2433. [Google Scholar] [CrossRef]
- Sabzehee, F.; Farzaneh, S.; Sharifi, M.A.; Akhoondzadeh, M. TEC Regional Modeling and Prediction Using ANN Method and Single Frequency Receiver over IRAN. Ann. Geophys. 2018, 61, 103. [Google Scholar] [CrossRef]
- Maruyama, T. Regional Reference Total Electron Content Model over Japan Based on Neural Network Mapping Techniques. Ann. Geophys. 2007, 25, 2609–2614. [Google Scholar] [CrossRef]
- Li, W.; Zhao, D.; He, C.; Shen, Y.; Hu, A.; Zhang, K. Application of a Multi-Layer Artificial Neural Network in a 3-D Global Electron Density Model Using the Long-Term Observations of COSMIC, Fengyun-3C, and Digisonde. Space Weather 2021, 19, e2020SW002605. [Google Scholar] [CrossRef]
- Tulunay, E.; Senalp, E.T.; Radicella, S.M.; Tulunay, Y. Forecasting Total Electron Content Maps by Neural Network Technique. Radio Sci. 2006, 41, 1–12. [Google Scholar] [CrossRef]
- Habarulema, J.B.; McKinnell, L.-A.; Opperman, B.D. Towards a GPS-Based TEC Prediction Model for Southern Africa with Feed Forward Networks. Adv. Space Res. 2009, 44, 82–92. [Google Scholar] [CrossRef]
- Ruwali, A.; Kumar, A.S.; Prakash, K.B.; Sivavaraprasad, G.; Ratnam, D.V. Implementation of Hybrid Deep Learning Model (LSTM-CNN) for Ionospheric TEC Forecasting Using GPS Data. IEEE Geosci. Remote Sens. Lett. 2020, 18, 1004–1008. [Google Scholar] [CrossRef]
- Reddybattula, K.D.; Nelapudi, L.S.; Moses, M.; Devanaboyina, V.R.; Ali, M.A.; Jamjareegulgarn, P.; Panda, S.K. Ionospheric TEC Forecasting over an Indian Low Latitude Location Using Long Short-Term Memory (LSTM) Deep Learning Network. Universe 2022, 8, 562. [Google Scholar] [CrossRef]
- Kumar Dabbakuti, J.; Peesapati, R.; Yarrakula, M.; Anumandla, K.K.; Madduri, S.V. Implementation of Storm-Time Ionospheric Forecasting Algorithm Using SSA–ANN Model. IET Radar Sonar Navig. 2020, 14, 1249–1255. [Google Scholar] [CrossRef]
- Li, W.; Zhao, D.; He, C.; Hancock, C.M.; Shen, Y.; Zhang, K. Spatial-Temporal Behaviors of Large-Scale Ionospheric Perturbations During Severe Geomagnetic Storms on September 7–8 2017 Using the GNSS, SWARM and TIE-GCM Techniques. J. Geophys. Res. Space Phys. 2022, 127, e2021JA029830. [Google Scholar] [CrossRef]
- Estey, L.H.; Meertens, C.M. TEQC: The Multi-Purpose Toolkit for GPS/GLONASS Data. GPS Solut. 1999, 3, 42–49. [Google Scholar] [CrossRef]
- Li, W.; Yue, J.; Guo, J.; Yang, Y.; Zou, B.; Shen, Y.; Zhang, K. Statistical Seismo-Ionospheric Precursors of M7. 0+ Earthquakes in Circum-Pacific Seismic Belt by GPS TEC Measurements. Adv. Space Res. 2018, 61, 1206–1219. [Google Scholar] [CrossRef]
- Krogh, A. What Are Artificial Neural Networks? Nat. Biotechnol. 2008, 26, 195–197. [Google Scholar] [CrossRef] [PubMed]
- Yegnanarayana, B. Artificial Neural Networks; PHI Learning Pvt. Ltd.: New Delhi, India, 2009. [Google Scholar]
- Hecht-Nielsen, R. Theory of the Backpropagation Neural Network. In Neural Networks for Perception; Elsevier: Amsterdam, The Netherlands, 1992; pp. 65–93. [Google Scholar]
- Guo, J.; Li, W.; Liu, X.; Kong, Q.; Zhao, C.; Guo, B. Temporal-Spatial Variation of Global GPS-Derived Total Electron Content, 1999–2013. PLoS ONE 2015, 10, e0133378. [Google Scholar] [CrossRef] [PubMed]
- Xue, J.; Song, S.; Zhu, W. Assessment of CODE GIM Over China. In Proceedings of the ION 2013 Pacific PNT Meeting, Honolulu, Hawaii, 23–25 April 2013; pp. 706–722. [Google Scholar]
- Chen, J.; Ren, X.; Zhang, X.; Zhang, J.; Huang, L. Assessment and Validation of Three Ionospheric Models (IRI-2016, NeQuick2, and IGS-GIM) from 2002 to 2018. Space Weather 2020, 18, e2019SW002422. [Google Scholar] [CrossRef]
- Zhao, D.; Li, W.; Li, C.; Hancock, C.M.; Roberts, G.W.; Wang, Q. Analysis on the Ionospheric Scintillation Monitoring Performance of ROTI Extracted from GNSS Observations in High-Latitude Regions. Adv. Space Res. 2022, 69, 142–158. [Google Scholar] [CrossRef]
- Reddybattula, K.D.; Panda, S.K.; Sharma, S.K.; Singh, A.K.; Kurnala, K.; Haritha, C.S.; Wuyyuru, S. Anomaly Effects of 6–10 September 2017 Solar Flares on Ionospheric Total Electron Content over Saudi Arabian Low Latitudes. Acta Astronaut. 2020, 177, 332–340. [Google Scholar] [CrossRef]
- Ansari, K.; Park, K.-D.; Kubo, N. Linear Time-Series Modeling of the GNSS Based TEC Variations over Southwest Japan during 2011–2018 and Comparison against ARMA and GIM Models. Acta Astronaut. 2019, 165, 248–258. [Google Scholar] [CrossRef]










| Quiet Day (22 March 2020) | Storm Day (8 September 2017) | |||||
|---|---|---|---|---|---|---|
| UT06 | UT12 | UT18 | UT06 | UT12 | UT18 | |
| JIM | 2.01 | 0.75 | 0.60 | 1.51 | 0.88 | 0.89 |
| GIM | 0.93 | 0.37 | 0.65 | 1.58 | 0.62 | 0.74 |
| TIE-GCM | 3.15 | 3.28 | 4.87 | 8.83 | 2.79 | 5.34 |
| IRI-2016 | 4.62 | 3.12 | 3.32 | 3.80 | 5.32 | 3.74 |
Disclaimer/Publisher’s Note: The statements, opinions and data contained in all publications are solely those of the individual author(s) and contributor(s) and not of MDPI and/or the editor(s). MDPI and/or the editor(s) disclaim responsibility for any injury to people or property resulting from any ideas, methods, instructions or products referred to in the content. |
© 2023 by the authors. Licensee MDPI, Basel, Switzerland. This article is an open access article distributed under the terms and conditions of the Creative Commons Attribution (CC BY) license (https://creativecommons.org/licenses/by/4.0/).
Share and Cite
Li, W.; Wu, X. An Ionospheric Total Electron Content Model with a Storm Option over Japan Based on a Multi-Layer Perceptron Neural Network. Atmosphere 2023, 14, 634. https://doi.org/10.3390/atmos14040634
Li W, Wu X. An Ionospheric Total Electron Content Model with a Storm Option over Japan Based on a Multi-Layer Perceptron Neural Network. Atmosphere. 2023; 14(4):634. https://doi.org/10.3390/atmos14040634
Chicago/Turabian StyleLi, Wang, and Xuequn Wu. 2023. "An Ionospheric Total Electron Content Model with a Storm Option over Japan Based on a Multi-Layer Perceptron Neural Network" Atmosphere 14, no. 4: 634. https://doi.org/10.3390/atmos14040634
APA StyleLi, W., & Wu, X. (2023). An Ionospheric Total Electron Content Model with a Storm Option over Japan Based on a Multi-Layer Perceptron Neural Network. Atmosphere, 14(4), 634. https://doi.org/10.3390/atmos14040634

