Air Quality Characterization and Trend Analysis in a Brazilian Industrialized Metropolitan Area in the Period from 1995 to 2022
Abstract
:1. Introduction
2. Materials and Methods
2.1. Study Area
2.2. Assessment of Air Quality Trends

3. Results and Discussion
3.1. Sources and Emissions
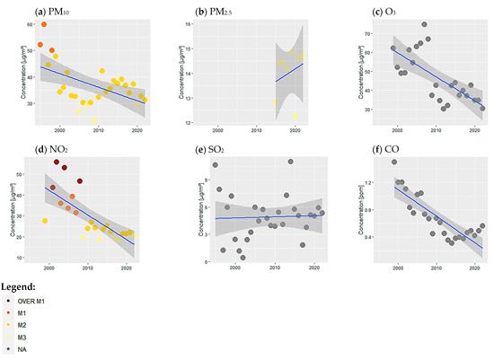
3.2. Air Quality Status and Tendency
3.3. PM10 Averages and Trends
3.4. PM2.5 Averages and Trends
3.5. NO2 Averages and Trends
3.6. O3 Averages and Trends
4. Conclusions
Author Contributions
Funding
Institutional Review Board Statement
Informed Consent Statement
Data Availability Statement
Acknowledgments
Conflicts of Interest
References
- World Health Organization. Evolution of WHO Air Quality Guidelines: Past, Present and Future. 2017. Available online: https://apps.who.int/iris/handle/10665/341912 (accessed on 12 January 2023).
- Fowler, D. A chronology of global air quality. Philos. Trans. R. Soc. A Math. Phys. Eng. Sci. 2020, 378, 20190314. [Google Scholar] [CrossRef] [PubMed]
- Jacobson, M.Z. Atmospheric Pollution: History, Science, and Regulation; Cambridge University Press: Cambridge, UK, 2002. [Google Scholar] [CrossRef]
- World Health Organization. Global Health Observatory: Air Pollution Data Portal. 2023. Available online: https://www.who.int/data/gho/data/themes/air-pollution (accessed on 12 January 2023).
- Organização Pan-Americana da Saúde. Novos Dados da OMS Revelam que Bilhões de Pessoas Ainda Respiram Ar Insalubre. PAHO. Available online: https://www.paho.org/pt/noticias/4-4-2022-novos-dados-da-oms-revelam-que-bilhoes-pessoas-ainda-respiram-ar-insalubre (accessed on 4 April 2022).
- World Health Organization. Air Quality and Health: Exposure & Health Impacts of Air Pollution. WHO, 2022. Available online: https://www.who.int/teams/environment-climate-change-and-health/air-quality-and-health/health-impacts/exposure-air-pollution (accessed on 7 April 2023).
- Martin, R.V.; Brauer, M.; van Donkelaar, A.; Shaddick, G.; Narain, U.; Dey, S. No one knows which city has the highest concentration of fine particulate matter. Atmos. Environ. X 2019, 3, 100040. [Google Scholar] [CrossRef]
- Galvão, E.S.; Feroni, R.C.; Orlando, M.T.A. A review of the main strategies used in the interpretation of similar chemical profiles yielded by receptor models in the source apportionment of particulate matter. Chemosphere 2021, 269, 128746. [Google Scholar] [CrossRef] [PubMed]
- Ministério da Saúde. Saúde Brasil 2018 uma Análise da Situação de Saúde e das Doenças e Agravos Crônicos: Desafios e Perspectivas. 2019. Available online: https://bvsms.saude.gov.br/bvs/publicacoes/saude_brasil_2018_analise_situacao_saude_doencas_agravos_cronicos_desafios_perspectivas.pdf (accessed on 22 September 2022).
- Andreão, W.L.; Albuquerque, T.T.d.A. Avoidable mortality by implementing more restrictive fine particles standards in Brazil: An estimation using satellite surface data. Environ. Res. 2021, 192, 110288. [Google Scholar] [CrossRef] [PubMed]
- World Health Organization. WHO Global Air Quality Guidelines: Particulate Matter (MP2.5 e MP10), Ozone, Nitrogen Dioxide, Sulfur Dioxide and Carbon Monoxide. Available online: https://iris.who.int/bitstream/handle/10665/345329/9789240034228-eng.pdf?sequence=1 (accessed on 12 January 2022).
- Instituto de Energia e Meio Ambiente de São Paulo. Recomendações para a Expansão e a Continuidade das Redes de Monitoramento da Qualidade do Ar no Brasil. 2022. Available online: https://energiaeambiente.org.br/wp-content/uploads/2022/07/IEMA_policypaper_qualidadedoar.pdf (accessed on 2 November 2022).
- Fundação Estadual do Meio Ambiente de Minas Gerais. Dados do Monitoramento Contínuo da Qualidade do Ar. 2023. Available online: http://www.feam.br/qualidade-do-ar/dados (accessed on 25 April 2023).
- Fundação Estadual do Meio Ambiente de Minas Gerais. Relatório Técnico: Plano de Controle da Poluição por Veículos em Uso em Minas Gerais—PCPV/MG. 2001. Available online: http://www.feam.br/images/stories/arquivos/Monitoramento/relatorio_tecnico_%20pcpv-mg.pdf (accessed on 14 March 2022).
- Andreão, W.L.; Albuquerque, T.T.d.A. Fine particles as a public health indicator in Brazil: From monitoring to modeling. Air Qual. Atmos. Health 2020, 13, 1453–1463. [Google Scholar] [CrossRef]
- Peláez, L.M.G.; Santos, J.M.; Albuquerque, T.T.d.A.; Reis, N.C.; Andreão, W.L.; Andrade, M.F. Air quality status and trends over large cities in South America. Environ. Sci. Policy 2020, 114, 422–435. [Google Scholar] [CrossRef]
- Pérez-Martínez, P.J.; Andrade, M.F.; Miranda, R.M. Traffic-related air quality trends in São Paulo, Brazil. J. Geophys. Res. Atmos. 2015, 120, 6290–6304. [Google Scholar] [CrossRef]
- Galvão, E.S.; Paiva, H.B.; Menezes, H.C.; Albuquerque, T.T.d.A.; Cardeal, Z.d.L. Cancer risk assessment and source apportionment of the gas-and particulate-phase of the polycyclic aromatic hydrocarbons in a metropolitan region in Brazil. Chemosphere 2023, 311, 136872. [Google Scholar] [CrossRef]
- Andreão, W.L.; Alonso, M.F.; Kumar, P.; Pinto, J.A.; Pedruzzi, R.; Albuquerque, T.T.A. Top-down vehicle emission inventory for spatial distribution and dispersion modeling of particulate matter. Environ. Sci. Pollut. Res. 2020, 27, 35952–35970. [Google Scholar] [CrossRef]
- Ribeiro, A.K.C.; Emrich, A.L.; Maia, B.L.V.; Marques, D.D.; Ramos, M.C.A.F.; Torres, V.A.; Galvão, E.S.; Albuquerque, T.T.A. Influence of Meteorology on Fine Particles Concentration in an Urban Center in Southeast of Brazil. In Air Pollution Modeling and Its Application XXVIII. ITM 2021; Mensink, C., Jorba, O., Eds.; Springer Proceedings in Complexity; Springer: Cham, Switzerland, 2022. [Google Scholar] [CrossRef]
- Andreão, W.L.; Pinto, J.A.; Pedruzzi, R.; Kumar, P.; Albuquerque, T.T.A. Quantifying the impact of particle matter on mortality and hospitalizations in four Brazilian metropolitan areas. J. Environ. Manag. 2020, 270, 110840. [Google Scholar] [CrossRef]
- Pinto, J.A.; Kumar, P.; Alonso, M.F.; Andreão, W.L.; Pedruzzi, R.; Espinosa, S.I.; Albuquerque, T.T.A. Kriging method application and traffic behavior profiles from local radar network database: A proposal to support traffic solutions and air pollution control strategies. Sustain. Cities Soc. 2020, 56, 102062. [Google Scholar] [CrossRef]
- Santos, F.S.; Miranda, G.A.; Carvalho AN, M.; Carvalho VS, B.; Albuquerque, T.T.A. Regulated air pollutant emissions from higher emitters stationary sources in Belo Horizonte, Minas Gerais, Brazil. Braz. J. Chem. Eng. 2019, 36, 775–784. [Google Scholar] [CrossRef]
- Santos, F.S.; Andreão, W.L.; Miranda, G.A.; Carvalho, A.N.M.; Pinto, J.A.; Pedruzzi, R.; Carvalho, V.S.B.; Albuquerque, T.T.A. Vehicular air pollutant emissions in a developing economy with the widespread use of biofuels. Urban Clim. 2021, 38, 100889. [Google Scholar] [CrossRef]
- Instituto Brasileiro de Geografia e Estatística. IBGE Divulga as Estimativas da População dos Municípios para 2019. 2019. Available online: https://agenciadenoticias.ibge.gov.br/agencia-sala-de-imprensa/2013-agencia-denoticias/releases/25278-ibge-divulga-as-estimativas-da-populacao-dos-municipios-para2019 (accessed on 23 October 2022).
- Fundação Estadual do Meio Ambiente de Minas Gerais. Relatório Técnico: Atualização do Inventário das Fontes de Emissão de Poluentes Atmosféricos da Região de Belo Horizonte, Contagem e Betim. 2018. Available online: http://www.feam.br/images/stories/2019/QUALIDADE_AR/Relatório_Técnico_Inventário_RMBH.pdf (accessed on 17 July 2022).
- Fundação Estadual do Meio Ambiente de Minas Gerais. Relatórios Anuais de Qualidade do Ar. 2023. Available online: http://www.feam.br/qualidade-do-ar/-relatorios-anuais-de-qualidade-do-ar (accessed on 25 April 2023).
- Fundação Estadual do Meio Ambiente de Minas Gerais. Notas Técnicas, Artigos e Publicações. Available online: http://www.feam.br/qualidade-do-ar/-notas-tecnicas-artigos-e-publicacoes (accessed on 25 April 2023).
- Ministério do Meio Ambiente. Guia Técnico para o Monitoramento e Avaliação da Qualidade do Ar. 2019. Available online: https://www.gov.br/mma/pt-br/centrais-de-conteudo/mma-guia-tecnico-qualidade-do-ar-pdf (accessed on 4 June 2022).
- IDE Sisema. Regularização Ambiental: Licenciamento Ambiental (FEAM). Available online: https://idesisema.meioambiente.mg.gov.br/webgis (accessed on 14 March 2023).
- Chaim, M.S. Utilização de Redes Neurais Artificiais para Previsão da Concentração de Material Particulado no Município de São José da Lapa (MG). Bachelor’s Thesis, Centro Federal de Educação Tecnológica de Minas Gerais, Departamento de Ciência e Tecnologia Ambiental—DCTA, Belo Horizonte, Brazil, 2019. Available online: https://www.dcta.cefetmg.br/wp-content/uploads/sites/21/2019/07/201622080513_Marcos-Souza.pdf (accessed on 25 July 2023).
- Plano Diretor de Desenvolvimento Integrado da Região Metropolitana de Belo Horizonte. (n.d.) Mobilidade, Comunicações, Transportes e Sistema Viário. Available online: http://www.rmbh.org.br/pddi/index9d2a.html?option=com_content&view=article&id=29&Itemid=27 (accessed on 25 July 2023).
- Pant, P.; Harrison, R.M. Estimation of the contribution of road traffic emissions to particulate matter concentrations from field measurements: A review. Atmos. Environ. 2013, 77, 78–97. [Google Scholar] [CrossRef]
- Zhang, Y.; Wang, X.; Li, G.; Yang, W.; Huang, Z.; Zhang, Z.; Huang, X.; Deng, W.; Liu, T.; Huang, Z.; et al. Emission factors of fine particles, carbonaceous aerosols and traces gases from road vehicles: Recent tests in an urban tunnel in the Pearl River Delta, China. Atmos. Environ. 2015, 122, 876–884. [Google Scholar] [CrossRef]
- Hetem, I.G.; Andrade, M.D.F. Characterization of fine particulate matter emitted from the resuspension of road and pavement dust in the Metropolitan Area of São Paulo, Brazil. Atmosphere 2016, 7, 31. [Google Scholar] [CrossRef]
- Moura, I.F.S. Avaliação de MP10 na Região Metropolitana de Belo Horizonte. Master’s Thesis, Universidade Federal de Minas Gerais, Universidade Federal de Minas Gerais Research Repository, Belo Horizonte, Brazil, 2016. Available online: https://repositorio.ufmg.br/bitstream/1843/BUBD-A9EEKR/1/disserta__o_igor_felipe_silva_moura___final.pdf (accessed on 25 July 2023).
- Andrade, M.F.; Kumar, P.; Freitas, E.D.; Ynoue, R.Y.; Martins, J.; Martins, L.D.; Nogueira, T.; Perez-Martinez, P.; Miranda, R.M.; Albuquerque, T.T.A.; et al. Air quality in the megacity of São Paulo: Evolution over the last 30 years and future perspectives. Atmos. Environ. 2017, 159, 66–82. [Google Scholar] [CrossRef]
- Carvalho, V.S.B.; Freitas, E.D.; Martins, L.D.; Martins, J.A.; Mazzoli, C.R.; Andrade, M.F. Air quality status and trends over the Metropolitan Area of São Paulo, Brazil as a result of emission control policies. Environ. Sci. Policy 2015, 47, 68–79. [Google Scholar] [CrossRef]
- ELAPSE, Effects of Low-Level Air Pollution: A Study in Europe. Available online: http://www.elapseproject.eu/ (accessed on 21 October 2023).
- CONAMA Resolution nº 491. 2018. Available online: https://www.in.gov.br/web/guest/materia/-/asset_publisher/Kujrw0TZC2Mb/content/id/51058895/do1-2018-11-21-resolucao-n-491-de-19-de-novembro-de-2018-51058603 (accessed on 14 January 2021).
- World Health Organization. Air Quality Guidelines for Particulate Matter, Ozone, Nitrogen Dioxide and Sulfur Dioxide: Global Update 2005. 2006. Available online: https://apps.who.int/iris/handle/10665/107823 (accessed on 12 January 2022).
- Instituto Estadual do Ambiente do Rio de Janeiro. Relatório da Qualidade do Ar do Estado do Rio de Janeiro: Ano Base 2018. 2020. Available online: http://www.inea.rj.gov.br/wp-content/uploads/2020/11/relatorio-qualidade-ar-2018.pdf (accessed on 2 June 2022).
- Instituto de Meio Ambiente e Recurso Hídricos do Espírito Santo. Qualidade do Ar: Relatórios de Qualidade do Ar. 2022. Available online: https://iema.es.gov.br/qualidadedoar/relatorios (accessed on 2 June 2022).
- Ireno, P.K.M. Modelagem da Dispersão de Material Particulado para Avaliação da Qualidade do Ar do Município de São José da Lapa/MG. Master Degree Thesis, Universidade Federal de Minas Gerais, Universidade Federal de Minas Gerais Research Repository, Belo Horizonte, Brazil, 2015. Available online: http://hdl.handle.net/1843/IGCM-AXAHXG (accessed on 12 September 2022).
- Galvão, E.S.; Santos, J.M.; Reis, N.C., Jr.; Feroni, R.C.; Orlando, M.T.A. The mineralogical composition of coarse and fine particulate material, their fate, and sources in an industrialized region of southeastern Brazil. Environ. Monit. Assess. 2022, 194. [Google Scholar] [CrossRef]
- MAPBIOMAS. (n.d.) A cada ano, Brasil queima área maior que a Inglaterra. Available online: https://brasil.mapbiomas.org/a-cada-ano-brasil-queima-area-maior-que-a-inglaterra (accessed on 25 July 2023).
- Tingting, Y.; Yuming, G.; Chen, G.; Yue, X.; Xu, R.; Coêlho, M.S.Z.S.; Saldiva, P.H.N.; Zhao, Q.; Li, S. Risk and burden of hospital admissions associated with wildfire-related PM2·5 in Brazil, 2000–2015: A nationwide time-series study. Lancet 2021, 5, 599–607. [Google Scholar] [CrossRef]
- Fundação Estadual do Meio Ambiente de Minas Gerais. Monitoramento da Qualidade do Ar na Região Metropolitana de Belo Horizonte: Ano Base de 2014. 2023. Available online: http://www.feam.br/images/stories/2016/QUALIDADE_AR/Monitoramento_da_qualidade_do_ar_2014.pdf (accessed on 25 September 2023).
- Alvim, D.S.; Gatti, L.V.; Corrêa, S.M.; Chiquetto, J.B.; Santos, G.M.; Rossatti, C.S.; Pretto, A.; Rozante, J.R.; Figueiroa, S.N.; Pendharkar, J.; et al. Determining VOCs Reactivity for Ozone Forming Potential in the Megacity of São Paulo. Aerosol Air Qual. Res. 2018, 18, 2460–2474. [Google Scholar] [CrossRef]
- Galvão, E.S.; Santos, J.M.; Reis, N.C., Jr.; Stuetz, R.M. Volatile organic compounds speciation and their influence on ozone formation potential in an industrialized urban area in Brazil. Environ. Technol. 2016, 37, 2133–2148. [Google Scholar] [CrossRef] [PubMed]










| Pollutant | Averaging Time | Levels | ||||
|---|---|---|---|---|---|---|
| Interim Targets | AQG | |||||
| 1 | 2 | 3 | 4 | |||
| μg/m3 | Annual a | 35 | 25 | 15 | 10 | 5 |
| μg/m3 | Annual a | 70 | 50 | 30 | 20 | 15 |
| μg/m3 | Peak season b | 100 | 70 | - | - | 60 |
| μg/m3 | Annual a | 40 | 30 | 20 | - | 10 |
| City | Station | PM10 (1995–2022) | PM2.5 (2015–2022) | NO2 (1995–2022) | O3 (1995–2022) | ||||||||
|---|---|---|---|---|---|---|---|---|---|---|---|---|---|
| p-Value | S | Tendency | p-Value | S | Tendency | p-Value | S | Tendency | p-Value | S | Tendency | ||
| Belo Horizonte | BH01 | 0.25 | 56 | None | 0.80 | 3 | None | 0.00 | −125 | Negative | 0.10 | 31 | None |
| BH02 | 0.13 | 35 | None | 0.55 | 5 | None | 1.00 | 0 | None | 0.39 | −8 | None | |
| BH03 | 1.00 | 0 | None | 0.81 | 2 | None | 1.00 | 0 | None | 0.46 | −4 | None | |
| BH04 | 0.73 | 2 | None | 1.00 | 0 | None | 0.73 | −2 | None | 0.09 | −6 | None | |
| Contagem | CO01 | 0.01 | −79 | Negative | 0.00 | 21 | Positive | 0.39 | −8 | None | 0.39 | −8 | None |
| Betim | BT01 | 0.00 | −193 | Negative | 0.11 | 14 | None | 0.60 | −6 | None | 1.00 | −1 | None |
| BT02 | 0.00 | −111 | Negative | 0.39 | 8 | None | 0.00 | −83 | Negative | 0.00 | −59 | Negative | |
| BT03 | 0.01 | −69 | Negative | 0.71 | 4 | None | 0.03 | −59 | Negative | 0.36 | −16 | None | |
| Ibirité | IB01 | 0.48 | 21 | None | 0.13 | 13 | None | 0.09 | −49 | None | 0.13 | −29 | None |
| IB02 | 0.01 | 66 | Positive | 0.62 | 5 | None | 0.00 | −85 | Negative | 0.38 | −17 | None | |
| São José da Lapa | SJ01 | 0.90 | −2 | None | 0.54 | 6 | None | - | - | - | - | - | - |
| SJ02 | 0.71 | −4 | None | 0.13 | −13 | None | - | - | - | - | - | - | |
| SJ03 | 0.90 | −2 | None | 0.11 | −14 | None | - | - | - | - | - | - | |
| SJ04 | 0.04 | 18 | Positive | 0.27 | 10 | None | - | - | - | - | - | - | |
| Brumadinho | BR01 | 0.07 | −13 | None | 1.00 | −1 | None | - | - | - | - | - | - |
| BR02 | 1.00 | −1 | None | 0.30 | 3 | None | - | - | - | - | - | - | |
| BR03 | 1.00 | −1 | None | 1.00 | −1 | None | - | - | - | - | - | - | |
Disclaimer/Publisher’s Note: The statements, opinions and data contained in all publications are solely those of the individual author(s) and contributor(s) and not of MDPI and/or the editor(s). MDPI and/or the editor(s) disclaim responsibility for any injury to people or property resulting from any ideas, methods, instructions or products referred to in the content. |
© 2023 by the authors. Licensee MDPI, Basel, Switzerland. This article is an open access article distributed under the terms and conditions of the Creative Commons Attribution (CC BY) license (https://creativecommons.org/licenses/by/4.0/).
Share and Cite
Ribeiro, A.K.C.; Galvão, E.S.; Albuquerque, T.T.d.A. Air Quality Characterization and Trend Analysis in a Brazilian Industrialized Metropolitan Area in the Period from 1995 to 2022. Atmosphere 2023, 14, 1792. https://doi.org/10.3390/atmos14121792
Ribeiro AKC, Galvão ES, Albuquerque TTdA. Air Quality Characterization and Trend Analysis in a Brazilian Industrialized Metropolitan Area in the Period from 1995 to 2022. Atmosphere. 2023; 14(12):1792. https://doi.org/10.3390/atmos14121792
Chicago/Turabian StyleRibeiro, Amanda Karine Chaves, Elson Silva Galvão, and Taciana Toledo de Almeida Albuquerque. 2023. "Air Quality Characterization and Trend Analysis in a Brazilian Industrialized Metropolitan Area in the Period from 1995 to 2022" Atmosphere 14, no. 12: 1792. https://doi.org/10.3390/atmos14121792
APA StyleRibeiro, A. K. C., Galvão, E. S., & Albuquerque, T. T. d. A. (2023). Air Quality Characterization and Trend Analysis in a Brazilian Industrialized Metropolitan Area in the Period from 1995 to 2022. Atmosphere, 14(12), 1792. https://doi.org/10.3390/atmos14121792

