Anthropic Settlements’ Impact on the Light-Absorbing Aerosol Concentrations and Heating Rate in the Arctic
Abstract
:1. Introduction
2. Materials and Methods
2.1. AREX Sampling Campaigns
2.2. Sample Collection, Extraction and Analysis
2.2.1. Water-Soluble Inorganic Ions
2.2.2. TC and OC
2.3. Black Carbon and the Related Absorption Coefficient Data
2.4. Solar Radiation Measurements
2.5. Heating Rate Determination
2.6. CPC and LAS Measurements
2.7. Data Analysis Strategy
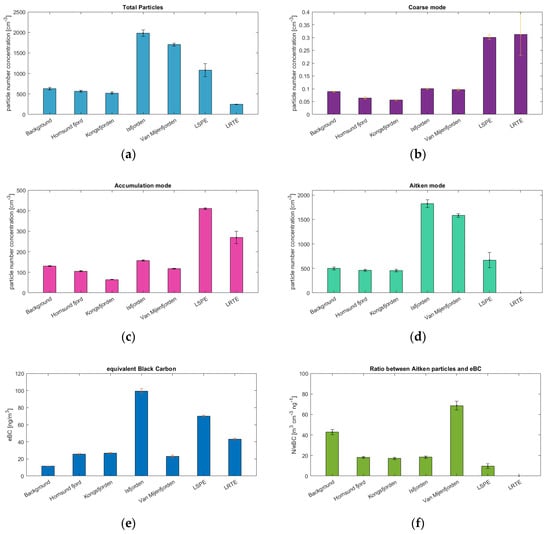
- Arctic Background, which represents the aerosol concentrations on the sea in pristine conditions, i.e., the concentrations found at steady state after dilution and deposition phenomena and in the absence of evident local emissions and transport phenomena.
- Anthropic fjords, i.e., Spitsbergen fjords characterized by the presence of human settlements; these are Hornsund fjord (where the Polish Polar Station is located), Kongsfjorden (where Ny-Ålesund settlement is located, also including Krossfjord due to its continuity with Kongsfjorden in this analysis), Isfjorden (where Pyramiden, Barentsburg, and especially Longyearbyen are located, including also the secondary fjords branching off from it), and Van Mijenfjorden (including Sveagruva).
- Other human hot spots in the Arctic area, i.e., Tromsø (the main city of northern Norway) and the Jan Mayen Island, also characterized by human presence.
- Local Settlements Pollution Effect (LSPE), i.e., the diffusion of the anthropogenic impact detectable in the sea area around the anthropic fjords and not within the fjords themselves (identified thanks to the proximity to the fjords and the use of back-trajectories and wind direction).
- Long-Range Transport Events (LRTE), characterized by aerosol concentrations, particularly BC, in the open sea clearly above the background, whose origin (Northern Europe and Russia) has been traced through air mass back-trajectories. These were computed using the on-line version of the hybrid single particle Lagrangian integrated trajectory model (HYSPLIT) developed by the National Oceanic and Atmospheric Administration Air Resource Laboratory (NOAA, https://www.arl.noaa.gov/HYSPLIT/, accessed on 22 November 2023). Figure 4 shows a seven-day back trajectory, obtained with a 6 h resolution and determined at 100 m, 500 m, and 1000 m above the sea level, for a Long-Range Transport Event. Some other back-trajectories are reported in the Supplementary Material (from Figures S1–S4).
3. Results and Discussion
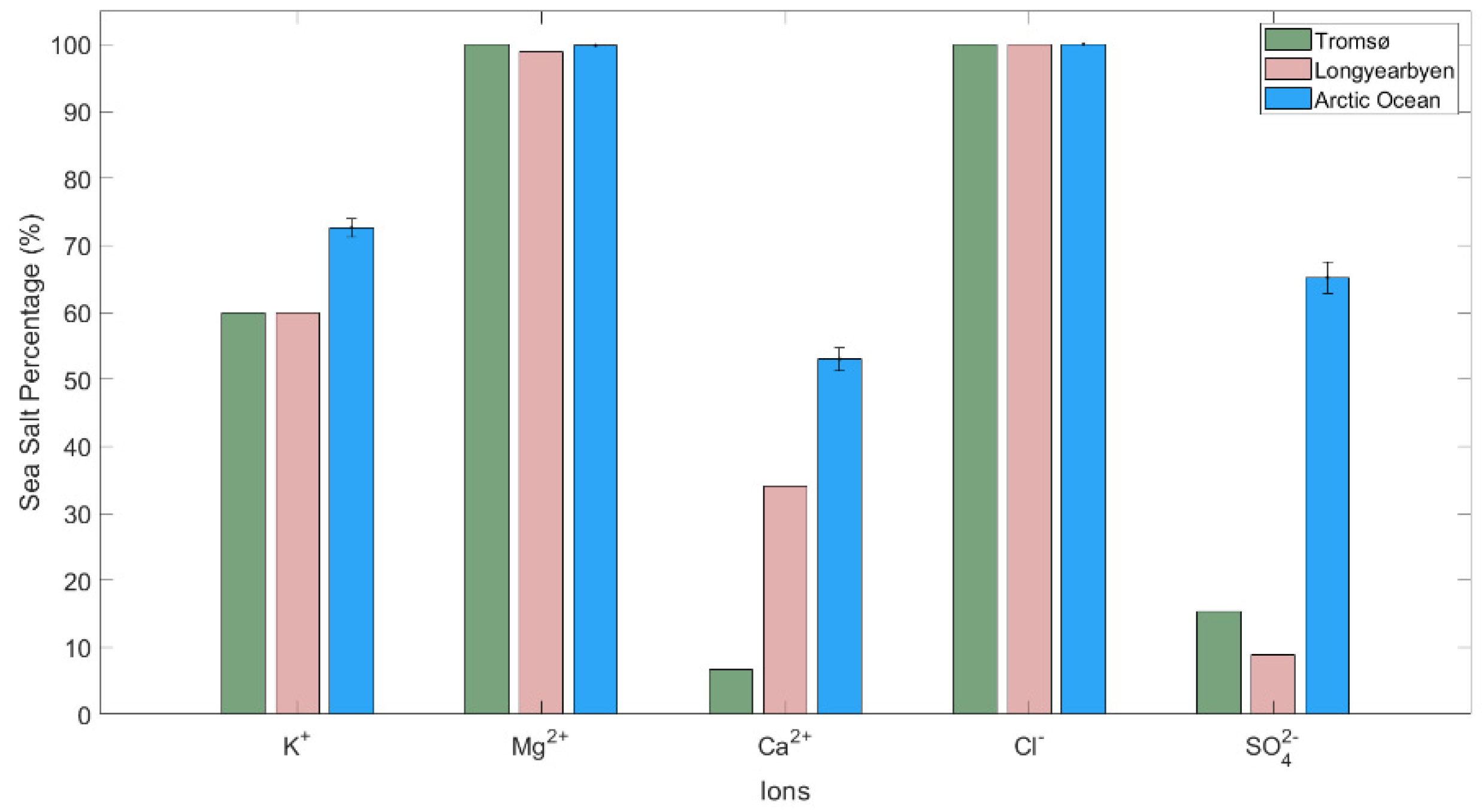
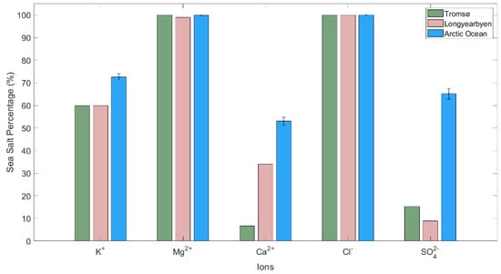
3.1. Chemical Composition
3.2. Real-Time Measurements
3.2.1. eBC and Particle Concentrations
3.2.2. Heating Rate
4. Conclusions
Supplementary Materials
Author Contributions
Funding
Institutional Review Board Statement
Informed Consent Statement
Data Availability Statement
Acknowledgments
Conflicts of Interest
References
- Rantanen, M.; Karpechko, A.Y.; Lipponen, A.; Nordling, K.; Hyvärinen, O.; Ruosteenoja, K.; Vihma, T.; Laaksonen, A. The Arctic Has Warmed Nearly Four Times Faster than the Globe since 1979. Commun. Earth Environ. 2022, 3, 168. [Google Scholar] [CrossRef]
- AMAP. Arctic Climate Change Update 2021: Key Trends and Impacts 2021; AMAP: Tromsø, Norway, 2021; 16p. [Google Scholar]
- Popovicheva, O.B.; Evangeliou, N.; Kobelev, V.O.; Chichaeva, M.A.; Eleftheriadis, K.; Gregorič, A.; Kasimov, N.S. Siberian Arctic Black Carbon: Gas Flaring and Wildfire Impact. Atmos. Chem. Phys. 2022, 22, 5983–6000. [Google Scholar] [CrossRef]
- Ren, L.; Yang, Y.; Wang, H.; Zhang, R.; Wang, P.; Liao, H. Source Attribution of Arctic Black Carbon and Sulfate Aerosols and Associated Arctic Surface Warming during 1980–2018. Atmos. Chem. Phys. 2020, 20, 9067–9085. [Google Scholar] [CrossRef]
- Navarro, J.C.A.; Varma, V.; Riipinen, I.; Seland; Kirkevåg, A.; Struthers, H.; Iversen, T.; Hansson, H.C.; Ekman, A.M.L. Amplification of Arctic Warming by Past Air Pollution Reductions in Europe. Nat. Geosci. 2016, 9, 277–281. [Google Scholar] [CrossRef]
- Shindell, D.; Faluvegi, G. Climate Response to Regional Radiative Forcing during the Twentieth Century. Nat. Geosci. 2009, 2, 294–300. [Google Scholar] [CrossRef]
- England, M.R.; Eisenman, I.; Lutsko, N.J.; Wagner, T.J.W. The Recent Emergence of Arctic Amplification. Geophys. Res. Lett. 2021, 48, e2021GL094086. [Google Scholar] [CrossRef]
- Maturilli, M.; Herber, A.; König-Langlo, G. Surface Radiation Climatology for Ny-Ålesund, Svalbard (78.9° N), Basic Observations for Trend Detection. Theor. Appl. Clim. 2015, 120, 331–339. [Google Scholar] [CrossRef]
- Sand, M.; Berntsen, T.K.; Seland, Ø.; Kristjánsson, J.E. Arctic Surface Temperature Change to Emissions of Black Carbon within Arctic or Midlatitudes. J. Geophys. Res. Atmos. 2013, 118, 7788–7798. [Google Scholar] [CrossRef]
- Ferrero, L.; Cappelletti, D.; Busetto, M.; Mazzola, M.; Lupi, A.; Lanconelli, C.; Becagli, S.; Traversi, R.; Caiazzo, L.; Giardi, F.; et al. Vertical Profiles of Aerosol and Black Carbon in the Arctic: A Seasonal Phenomenology along 2 Years (2011–2012) of Field Campaigns. Atmos. Chem. Phys. 2016, 16, 12601–12629. [Google Scholar] [CrossRef]
- Sand, M.; Berntsen, T.K.; Kay, J.E.; Lamarque, J.F.; Seland, Ø.; Kirkeväg, A. The Arctic Response to Remote and Local Forcing of Black Carbon. Atmos. Chem. Phys. 2013, 13, 211–224. [Google Scholar] [CrossRef]
- Bond, T.C.; Doherty, S.J.; Fahey, D.W.; Forster, P.M.; Berntsen, T.; Deangelo, B.J.; Flanner, M.G.; Ghan, S.; Kärcher, B.; Koch, D.; et al. Bounding the Role of Black Carbon in the Climate System: A Scientific Assessment. J. Geophys. Res. Atmos. 2013, 118, 5380–5552. [Google Scholar] [CrossRef]
- Ferrero, L.; Sangiorgi, G.; Perrone, M.G.; Rizzi, C.; Cataldi, M.; Markuszewski, P.; Pakszys, P.; Makuch, P.; Petelski, T.; Becagli, S.; et al. Chemical Composition of Aerosol over the Arctic Ocean from Summer Arctic Expedition (AREX) 2011–2012 Cruises: Ions, Amines, Elemental Carbon, Organic Matter, Polycyclic Aromatic Hydrocarbons, n-Alkanes, Metals, and Rare Earth Elements. Atmosphere 2019, 10, 2011–2012. [Google Scholar] [CrossRef]
- Stone, R.S.; Sharma, S.; Herber, A.; Eleftheriadis, K.; Nelson, D.W. A Characterization of Arctic Aerosols on the Basis of Aerosol Optical Depth and Black Carbon Measurements. Elementa 2014, 2, 000027. [Google Scholar] [CrossRef]
- Eleftheriadis, K.; Vratolis, S.; Nyeki, S. Aerosol Black Carbon in the European Arctic: Measurements at Zeppelin Station, Ny-Ålesund, Svalbard from 1998–2007. Geophys. Res. Lett. 2009, 36, 1–5. [Google Scholar] [CrossRef]
- Laskin, A.; Laskin, J.; Nizkorodov, S.A. Chemistry of Atmospheric Brown Carbon. Chem. Rev. 2015, 115, 4335–4382. [Google Scholar] [CrossRef]
- Moroni, B.; Arnalds, O.; Dagsson-Waldhauserová, P.; Crocchianti, S.; Vivani, R.; Cappelletti, D. Mineralogical and Chemical Records of Icelandic Dust Sources upon Ny-Ålesund (Svalbard Islands). Front. Earth Sci. 2018, 6, 187. [Google Scholar] [CrossRef]
- Groot Zwaaftink, C.D.; Arnalds, Ó.; Dagsson-Waldhauserova, P.; Eckhardt, S.; Prospero, J.M.; Stohl, A. Temporal and Spatial Variability of Icelandic Dust Emissions and Atmospheric Transport. Atmos. Chem. Phys. 2017, 17, 10865–10878. [Google Scholar] [CrossRef]
- Andreae, M.O.; Ramanathan, V. Climate’s Dark Forcings. Science 2013, 340, 280–281. [Google Scholar] [CrossRef]
- Ramanathan, V.; Ramana, M.V.; Roberts, G.; Kim, D.; Corrigan, C.; Chung, C.; Winker, D. Warming Trends in Asia Amplified by Brown Cloud Solar Absorption. Nature 2007, 448, 575–578. [Google Scholar] [CrossRef]
- Mallet, M.; Tulet, P.; Serça, D.; Solmon, F.; Dubovik, O.; Pelon, J.; Pont, V.; Thouron, O. Impact of Dust Aerosols on the Radiative Budget, Surface Heat Fluxes, Heating Rate Profiles and Convective Activity over West Africa during March 2006. Atmos. Chem. Phys. 2009, 9, 7143–7160. [Google Scholar] [CrossRef]
- Andreae, M.O.; Gelencsér, A. Black Carbon or Brown Carbon? The Nature of Light-Absorbing Carbonaceous Aerosols. Atmos. Chem. Phys. 2006, 6, 3131–3148. [Google Scholar] [CrossRef]
- Ferrero, L.; Castelli, M.; Ferrini, B.S.; Moscatelli, M.; Perrone, M.G.; Sangiorgi, G.; Angelo, L.D.; Rovelli, G. Impact of Black Carbon Aerosol over Italian Basin Valleys: High-Resolution Measurements along Vertical Profiles, Radiative Forcing and Heating Rate. Atmos. Chem. Phys. 2014, 14, 9641–9664. [Google Scholar] [CrossRef]
- Chakrabarty, R.K.; Garro, M.A.; Wilcox, E.M.; Moosmller, H. Strong Radiative Heating Due to Wintertime Black Carbon Aerosols in the Brahmaputra River Valley. Geophys. Res. Lett. 2012, 39, 1–5. [Google Scholar] [CrossRef]
- Kedia, S.; Ramachandran, S.; Kumar, A.; Sarin, M.M. Spatiotemporal Gradients in Aerosol Radiative Forcing and Heating Rate over Bay of Bengal and Arabian Sea Derived on the Basis of Optical, Physical, and Chemical Properties. J. Geophys. Res. Atmos. 2010, 115, 1–17. [Google Scholar] [CrossRef]
- Liou, K.N. An Introduction to Atmospheric Radiation, 2nd ed.; Academic Press: San Diego, CA, USA, 2007. [Google Scholar]
- Ramanathan, V.; Feng, Y. Air Pollution, Greenhouse Gases and Climate Change: Global and Regional Perspectives. Atmos. Environ. 2009, 43, 37–50. [Google Scholar] [CrossRef]
- Ramana, M.V.; Ramanathan, V.; Kim, D.; Roberts, G.C.; Corrigan, C.E. Albedo, Atmospheric Solar Absorption and Heating Rate Measurements with Stacked UAVs. Q. J. R. Meteorol. Soc. 2007, 133, 1913–1931. [Google Scholar] [CrossRef]
- Tripathi, S.N.; Srivastava, A.K.; Dey, S.; Satheesh, S.K.; Krishnamoorthy, K. The Vertical Profile of Atmospheric Heating Rate of Black Carbon Aerosols at Kanpur in Northern India. Atmos. Environ. 2007, 41, 6909–6915. [Google Scholar] [CrossRef]
- Ferrero, L.; Gregorĭ, A.; Mŏ, G.; Di Liberto, L.; Gobbi, G.P.; Losi, N.; Bolzacchini, E. The Impact of Cloudiness and Cloud Type on the Atmospheric Heating Rate of Black and Brown Carbon in the Po Valley. Atmos. Chem. Phys. 2021, 21, 4869–4897. [Google Scholar] [CrossRef]
- Won, J.-G.; Yoon, S.-C.; Kim, S.-W.; Jefferson, A.; Dutton, E.G.; Holben, B.N. Estimation of Direct Radiative Forcing of Asian Dust Aerosols with Sun/Sky Radiometer and Lidar Measurements at Gosan, Korea. J. Meteorol. Soc. Japan. Ser. II 2004, 82, 115–130. [Google Scholar] [CrossRef]
- Chung, C.E.; Ramanathan, V.; Decremer, D. Observationally Constrained Estimates of Carbonaceous Aerosol Radiative Forcing. Proc. Natl. Acad. Sci. USA 2012, 109, 11624–11629. [Google Scholar] [CrossRef]
- Shamjad, P.M.; Tripathi, S.N.; Pathak, R.; Hallquist, M.; Arola, A.; Bergin, M.H. Contribution of Brown Carbon to Direct Radiative Forcing over the Indo-Gangetic Plain. Environ. Sci. Technol. 2015, 49, 10474–10481. [Google Scholar] [CrossRef] [PubMed]
- Lau, W.K.M.; Kim, M.-K.; Kim, K.-M.; Lee, W.-S. Enhanced Surface Warming and Accelerated Snow Melt in the Himalayas and Tibetan Plateau Induced by Absorbing Aerosols. Environ. Res. Lett. 2010, 5, 25204. [Google Scholar] [CrossRef]
- Flanner, M.G. Arctic Climate Sensitivity to Local Black Carbon. J. Geophys. Res. Atmos. 2013, 118, 1840–1851. [Google Scholar] [CrossRef]
- Levy, H.; Schwarzkopf, M.D.; Horowitz, L.; Ramaswamy, V.; Findell, K.L. Strong Sensitivity of Late 21st Century Climate to Projected Changes in Short-Lived Air Pollutants. J. Geophys. Res. Atmos. 2008, 113, 1–13. [Google Scholar] [CrossRef]
- Schmale, J.; Zieger, P.; Ekman, A.M.L. Aerosols in Current and Future Arctic Climate. Nat. Clim. Chang. 2021, 11, 95–105. [Google Scholar] [CrossRef]
- Quinn, P.K.; Bates, T.S.; Baum, E.; Doubleday, N.; Fiore, A.M.; Flanner, M.; Fridlind, A.; Garrett, T.J.; Koch, D.; Menon, S.; et al. Short-Lived Pollutants in the Arctic: Their Climate Impact and Possible Mitigation Strategies. Atmos. Chem. Phys. 2008, 8, 1723–1735. [Google Scholar] [CrossRef]
- Koch, D.; Del Genio, A.D. Black Carbon Semi-Direct Effects on Cloud Cover: Review and Synthesis. Atmos. Chem. Phys. 2010, 10, 7685–7696. [Google Scholar] [CrossRef]
- Donth, T.; Jakel, E.; Ehrlich, A.; Heinold, B.; Schacht, J.; Herber, A.; Zanatta, M.; Wendisch, M. Combining Atmospheric and Snow Radiative Transfer Models to Assess the Solar Radiative Effects of Black Carbon in the Arctic. Atmos. Chem. Phys. 2020, 20, 8139–8156. [Google Scholar] [CrossRef]
- Treffeisen, R.; Rinke, A.; Fortmann, M.; Dethloff, K.; Herber, A.; Yamanouchi, T. A Case Study of the Radiative Effects of Arctic Aerosols in March 2000. Atmos. Environ. 2005, 39, 899–911. [Google Scholar] [CrossRef]
- Treffeisen, R.; Tunved, P.; Ström, J.; Herber, A.; Bareiss, J.; Heibig, A.; Stone, R.S.; Hoyningen-Huene, W.; Krejci, R.; Stohl, A.; et al. Arctic Smoke—Aerosol Characteristics during a Record Smoke Event in the European Arctic and Its Radiative Impact. Atmos. Chem. Phys. 2007, 7, 3035–3053. [Google Scholar] [CrossRef]
- Porch, W.M.; MacCracken, M.C. Parametric Study of the Effects of Arctic Soot on Solar Radiation. Atmos. Environ. 1982, 16, 1365–1371. [Google Scholar] [CrossRef]
- Gilardoni, S.; Lupi, A.; Mazzola, M.; Cappelletti, D.M.; Moroni, B.; Ferrero, L.; Markuszewski, P.; Rozwadowska, A.; Krejci, R.; Zieger, P.; et al. Atmospheric Black Carbon in Svalbard (ABC Svalbard); SIOS: Longyearbyen, Norway, 2020. [Google Scholar]
- Zbizika, R.; Pakszys, P.; Zielinski, T. Deep Neural Networks for Aerosol Optical Depth Retrieval. Atmosphere 2022, 13, 101. [Google Scholar] [CrossRef]
- Eckhardt, S.; Hermansen, O.; Grythe, H.; Fiebig, M.; Stebel, K.; Cassiani, M.; Baecklund, A.; Stohl, A. The Influence of Cruise Ship Emissions on Air Pollution in Svalbard – a Harbinger of a More Polluted Arctic? Atmos. Chem. Phys. 2013, 13, 8401–8409. [Google Scholar] [CrossRef]
- Lu, Q.; Liu, C.; Zhao, D.; Zeng, C.; Li, J.; Lu, C.; Wang, J.; Zhu, B. Atmospheric Heating Rate Due to Black Carbon Aerosols: Uncertainties and Impact Factors. Atmos. Res. 2020, 240, 104891. [Google Scholar] [CrossRef]
- Winiger, P.; Andersson, A.; Eckhardt, S.; Stohl, A.; Semiletov, I.P.; Dudarev, O.V.; Charkin, A.; Shakhova, N.; Klimont, Z.; Heyes, C.; et al. Siberian Arctic Black Carbon Sources Constrained by Model and Observation. Proc. Natl. Acad. Sci. USA 2017, 114, E1054–E1061. [Google Scholar] [CrossRef]
- Sobhani, N.; Kulkarni, S.; Carmichael, G.R. Source Sector and Region Contributions to Black Carbon and PM2.5 in the Arctic. Atmos. Chem. Phys. 2018, 18, 18123–18148. [Google Scholar] [CrossRef]
- Sharma, S.; Ishizawa, M.; Chan, D.; Lavoué, D.; Andrews, E.; Eleftheriadis, K.; Maksyutov, S. 16-Year Simulation of Arctic Black Carbon: Transport, Source Contribution, and Sensitivity Analysis on Deposition. J. Geophys. Res. Atmos. 2013, 118, 943–964. [Google Scholar] [CrossRef]
- Petzold, A.; Ogren, J.A.; Fiebig, M.; Laj, P.; Li, S.-M.; Baltensperger, U.; Holzer-Popp, T.; Kinne, S.; Pappalardo, G.; Sugimoto, N.; et al. Recommendations for Reporting “Black Carbon” Measurements. Atmos. Chem. Phys. 2013, 13, 8365–8379. [Google Scholar] [CrossRef]
- Perrone, M.G.; Gualtieri, M.; Ferrero, L.; Porto, C.L.; Udisti, R.; Bolzacchini, E.; Camatini, M. Seasonal Variations in Chemical Composition and in Vitro Biological Effects of Fine PM from Milan. Chemosphere 2010, 78, 1368–1377. [Google Scholar] [CrossRef]
- Owoade, O.K.; Olise, F.S.; Obioh, I.B.; Olaniyi, H.B.; Bolzacchini, E.; Ferrero, L.; Perrone, G. PM10 Sampler Deposited Air Particulates: Ascertaining Uniformity of Sample on Filter through Rotated Exposure to Radiation. Nucl. Instrum. Methods Phys. Res. Sect. A Accel. Spectrometers Detect. Assoc. Equip. 2006, 564, 315–318. [Google Scholar] [CrossRef]
- Ferrero, L.; D’Angelo, L.; Rovelli, G.; Sangiorgi, G.; Perrone, M.G.; Moscatelli, M.; Casati, M.; Rozzoni, V.; Bolzacchini, E. Determination of Aerosol Deliquescence and Crystallization Relative Humidity for Energy Saving in Free-Cooled Data Centers. Int. J. Environ. Sci. Technol. 2015, 12, 2777–2790. [Google Scholar] [CrossRef]
- Rigler, M.; Drinovec, L.; Lavrič, G.; Vlachou, A.; Prévôt, A.S.H.; Jaffrezo, J.L.; Stavroulas, I.; Sciare, J.; Burger, J.; Kranjc, I.; et al. The New Instrument Using a TC–BC (Total Carbon–Black Carbon) Method for the Online Measurement of Carbonaceous Aerosols. Atmos. Meas. Tech. 2020, 13, 4333–4351. [Google Scholar] [CrossRef]
- Turpin, B.J.; Lim, H.J. Species Contributions to PM2.5 Mass Concentrations: Revisiting Common Assumptions for Estimating Organic Mass. Aerosol Sci. Technol. 2001, 35, 602–610. [Google Scholar] [CrossRef]
- Drinovec, L.; Močnik, G.; Zotter, P.; Prévôt, A.S.H.; Ruckstuhl, C.; Coz, E.; Rupakheti, M.; Sciare, J.; Müller, T.; Wiedensohler, A.; et al. The “Dual-Spot” Aethalometer: An Improved Measurement of Aerosol Black Carbon with Real-Time Loading Compensation. Atmos. Meas. Tech. 2015, 8, 1965–1979. [Google Scholar] [CrossRef]
- Drinovec, L.; Gregoric, A.; Zotter, P.; Wolf, R.; Anne Bruns, E.; Bruns, E.A.; Prevot, A.S.H.; Favez, O.; Sciare, J.; Arnold, I.J.; et al. The Filter-Loading Effect by Ambient Aerosols in Filter Absorption Photometers Depends on the Coating of the Sampled Particles. Atmos. Meas. Tech. 2017, 10, 1043–1059. [Google Scholar] [CrossRef]
- Virkkula, A.; Mäkelä, T.; Hillamo, R.; Yli-Tuomi, T.; Hirsikko, A.; Hämeri, K.; Koponen, I.K. A Simple Procedure for Correcting Loading Effects of Aethalometer Data. J. Air Waste Manag. Assoc. 2007, 57, 1214–1222. [Google Scholar] [CrossRef] [PubMed]
- Ballach, J.; Hitzenberger, R.; Schultz, E.; Jaeschke, W. Development of an Improved Optical Transmission Technique for Black Carbon (BC) Analysis. Atmos. Environ. 2001, 35, 2089–2100. [Google Scholar] [CrossRef]
- Weingartner, E.; Saatho, H.; Schnaiter, M.; Streit, N. Absorption of Light by Soot Particles: Determination of the Absorption Coefficient by Means of Aethalometers. J. Aerosol Sci. 2003, 34, 1445–1463. [Google Scholar] [CrossRef]
- Kalogridis, A.-C.; Fiebig, M.; Močnik, G.; Muller, T.; Krejci, R.; Vratolis, S.; Gini, M.; Wiedensholer, A.; Eleftheriadis, K. Aethalometer Multiple Scattering Correction for Measuring Aerosol Absorption in the Arctic. In Proceedings of the European Aerosol Conference 2020, Aachen, Germany, 30 August–4 September 2020; p. 341. [Google Scholar]
- Gundel, L.A.; Dod, R.L.; Rosen, H.; Novakov, T. The Relationship between Optical Attenuation and Black Carbon Concentration for Ambient and Source Particles. Sci. Total Environ. 1984, 36, 197–202. [Google Scholar] [CrossRef]
- Sharma, S.; Lavoué, D.; Cachier, H.; Barrie, L.A.; Gong, S.L. Long-term Trends of the Black Carbon Concentrations in the Canadian Arctic. J. Geophys. Res. Atmos. 2004, 109, D15203. [Google Scholar] [CrossRef]
- Bond, T.C.; Bergstrom, R.W. Light Absorption by Carbonaceous Particles: An Investigative Review. Aerosol Sci. Technol. 2006, 40, 27–67. [Google Scholar] [CrossRef]
- Long, C.N.; Bucholtz, A.; Jonsson, H.; Schmid, B.; Vogelmann, A.; Wood, J. A Method of Correcting for Tilt from Horizontal in Downwelling Shortwave Irradiance Measurements on Moving Platforms. Open Atmos. Sci. J. 2010, 4, 78–87. [Google Scholar] [CrossRef]
- Wood, J.; Smyth, T.J.; Estellés, V. Autonomous Marine Hyperspectral Radiometers for Determining Solar Irradiances and Aerosol Optical Properties. Atmos. Meas. Tech. 2017, 10, 1723–1737. [Google Scholar] [CrossRef]
- Badosa, J.; Wood, J.; Blanc, P.; Long, C.N.; Vuilleumier, L.; Demengel, D.; Haeffelin, M. Solar Irradiances Measured Using SPN1 Radiometers: Uncertainties and Clues for Development. Atmos. Meas. Tech. 2014, 7, 4267–4283. [Google Scholar] [CrossRef]
- Cogliati, S.; Rossini, M.; Julitta, T.; Meroni, M.; Schickling, A.; Burkart, A.; Pinto, F.; Rascher, U.; Colombo, R. Continuous and Long-Term Measurements of Reflectance and Sun-Induced Chlorophyll Fluorescence by Using Novel Automated Field Spectroscopy Systems. Remote Sens. Environ. 2015, 164, 270–281. [Google Scholar] [CrossRef]
- Ferrero, L. Heating Rate of Light Absorbing Aerosols: Time-Resolved Measurements, the Role of Clouds, and Source Identification. Environ. Sci. Technol. 2018, 52, 3546–3555. [Google Scholar] [CrossRef] [PubMed]
- Ferrero, L.; Mocnik, G.; Ferrini, B.S.; Perrone, M.G.; Sangiorgi, G.; Bolzacchini, E. Science of the Total Environment Vertical pro Fi Les of Aerosol Absorption Coef Fi Cient from Micro-Aethalometer Data and Mie Calculation over Milan. Sci. Total Environ. 2011, 409, 2824–2837. [Google Scholar] [CrossRef]
- Srivastava, A.K.; Ram, K.; Pant, P.; Hegde, P.; Joshi, H. Black Carbon Aerosols over Manora Peak in the Indian Himalayan Foothills: Implications for Climate Forcing. Environ. Res. Lett. 2012, 7, 014002. [Google Scholar] [CrossRef]
- Stjern, C.W.; Lund, M.T.; Samset, B.H.; Myhre, G.; Forster, P.M.; Andrews, T.; Boucher, O.; Faluvegi, G.; Fläschner, D.; Iversen, T.; et al. Arctic Amplification Response to Individual Climate Drivers. J. Geophys. Res. Atmos. 2019, 124, 6698–6717. [Google Scholar] [CrossRef]
- Nordmann, S.; Cheng, Y.F.; Carmichael, G.R.; Yu, M.; van der Gon, H.A.C.; Zhang, Q.; Saide, P.E.; Pöschl, U.; Su, H.; Birmili, W.; et al. Atmospheric Black Carbon and Warming Effects Influenced by the Source and Absorption Enhancement in Central Europe. Atmos. Chem. Phys. 2014, 14, 12683–12699. [Google Scholar] [CrossRef]
- Takegawa, N.; Sakurai, H. Laboratory Evaluation of a TSI Condensation Particle Counter (Model 3771) under Airborne Measurement Conditions. Aerosol Sci. Technol. 2011, 45, 272–283. [Google Scholar] [CrossRef]
- Dart, A.; Thornburg, J. Collection Efficiencies of Bioaerosol Impingers for Virus-Containing Aerosols. Atmos. Environ. 2008, 42, 828–832. [Google Scholar] [CrossRef]
- Hofmann, W.; Winkler-Heil, R.; McAughey, J. Regional Lung Deposition of Aged and Diluted Sidestream Tobacco Smoke. J. Phys. Conf. Ser. 2009, 151, 012020. [Google Scholar] [CrossRef]
- Markuszewski, P.; Rozwadowska, A.; Cisek, M.; Makuch, P.; Petelski, T. Aerosol Physical Properties in Spitsbergen’s Fjords: Hornsund and Kongsfjorden during AREX Campaigns in 2014 and 2015. Oceanologia 2017, 59, 460–472. [Google Scholar] [CrossRef]
- Ferrero, L.; Scibetta, L.; Markuszewski, P.; Mazurkiewicz, M.; Drozdowska, V.; Makuch, P.; Jutrzenka-Trzebiatowska, P.; Zaleska-Medynska, A.; Andò, S.; Saliu, F.; et al. Airborne and Marine Microplastics from an Oceanographic Survey at the Baltic Sea: An Emerging Role of Air-Sea Interaction? Sci. Total Environ. 2022, 824, 153709. [Google Scholar] [CrossRef] [PubMed]
- Massling, A.; Nielsen, I.E.; Kristensen, D.; Christensen, J.H.; Sorensen, L.L.; Jensen, B.; Nguyen, Q.T.; Nøjgaard, J.K.; Glasius, M.; Skov, H. Atmospheric Black Carbon and Sulfate Concentrations in Northeast Greenland. Atmos. Chem. Phys. 2015, 15, 9681–9692. [Google Scholar] [CrossRef]
- Xu, G.; Gao, Y.; Lin, Q.; Li, W.; Chen, L. Characteristics of Water-Soluble Inorganic and Organic Ions in Aerosols over the Southern Ocean and Coastal East Antarctica during Austral Summer. J. Geophys. Res. Atmos. 2013, 118, 13303–13318. [Google Scholar] [CrossRef]
- Mihalopoulos, N.; Stephanou, E.; Kanakidou, M.; Pilitsidis, S.; Bousquet, P. Tropospheric Aerosol Ionic Composition in the Eastern Mediterranean Region. Tellus B 1997, 49, 314–326. [Google Scholar] [CrossRef]
- Pilson, M.E.Q. An Introduction to the Chemistry of the Sea, 2nd ed.; Cambridge University Press: Cambridge, UK, 2012; ISBN 1139619209. [Google Scholar]
- Moroni, B.; Becagli, S.; Bolzacchini, E.; Busetto, M.; Cappelletti, D.; Crocchianti, S.; Ferrero, L.; Frosini, D.; Lanconelli, C.; Lupi, A.; et al. Vertical Profiles and Chemical Properties of Aerosol Particles upon Ny-Ålesund (Svalbard Islands). Adv. Meteorol. 2015, 2015, 292081. [Google Scholar] [CrossRef]
- Amore, A.; Giardi, F.; Becagli, S.; Caiazzo, L.; Mazzola, M.; Severi, M.; Traversi, R. Source Apportionment of Sulphate in the High Arctic by a 10 Yr-Long Record from Gruvebadet Observatory (Ny-Ålesund, Svalbard Islands). Atmos. Environ. 2022, 270, 118890. [Google Scholar] [CrossRef]
- Moffett, C.E.; Barrett, T.E.; Liu, J.; Gunsch, M.J.; Upchurch, L.M.; Quinn, P.K.; Pratt, K.A.; Sheesley, R.J. Long-Term Trends for Marine Sulfur Aerosol in the Alaskan Arctic and Relationships with Temperature. J. Geophys. Res. Atmos. 2020, 125, e2020JD033225. [Google Scholar] [CrossRef]
- Udisti, R.; Bazzano, A.; Becagli, S.; Bolzacchini, E.; Caiazzo, L.; Cappelletti, D.; Ferrero, L.; Frosini, D.; Giardi, F.; Grotti, M.; et al. Sulfate Source Apportionment in the Ny-Ålesund (Svalbard Islands) Arctic Aerosol. Rend. Lincei 2016, 27, 85–94. [Google Scholar] [CrossRef]
- Vestreng, V.; Kallenborn, R.; Oekstad, E. Norwegian Arctic Climate. Climate Influencing Emissions, Scenarios and Mitigation Options at Svalbard; Klima-og Forurensningsdirektoratet: Olso, Norway, 2010. [Google Scholar]
- Weinbruch, S.; Drotikova, T.; Kallenborn, R. Particulate and Gaseous Emissions of Power Generation at Svalbard (AtmoPart); Svalbards Miljøvernfond: Longyearbyen, Norway, 2015. [Google Scholar]
- Ringkjøb, H.K.; Haugan, P.M.; Nybø, A. Transitioning Remote Arctic Settlements to Renewable Energy Systems—A Modelling Study of Longyearbyen, Svalbard. Appl. Energy 2020, 258, 114079. [Google Scholar] [CrossRef]
- Shen, Z.; Ming, Y.; Horowitz, L.W.; Ramaswamy, V.; Lin, M. On the Seasonality of Arctic Black Carbon. J. Clim. 2017, 30, 4429–4441. [Google Scholar] [CrossRef]
- Liu, J.; Fan, S.; Horowitz, L.W.; Levy, H. Evaluation of Factors Controlling Long-Range Transport of Black Carbon to the Arctic. J. Geophys. Res. Atmos. 2011, 116, D04307. [Google Scholar] [CrossRef]
- Heintzenberg, J.; Leck, C. Seasonal Variation of the Atmospheric Aerosol near the Top of the Marine Boundary Layer over Spitsbergen Related to the Arctic Sulphur Cycle. Tellus B Chem. Phys. Meteorol. 1994, 46, 52–67. [Google Scholar] [CrossRef]
- Matsui, H.; Liu, M. Importance of Supersaturation in Arctic Black Carbon Simulations. J. Clim. 2021, 34, 7843–7856. [Google Scholar] [CrossRef]
- Beine, H.J.; Argentini, S.; Maurizi, A.; Mastrantonio, G.; Viola, A. The Local Wind Field at Ny-Å Lesund and the Zeppelin Mountain at Svalbard. Meteorol. Atmos. Phys. 2001, 78, 107–113. [Google Scholar] [CrossRef]
- Gogoi, M.M.; Babu, S.S.; Moorthy, K.K.; Thakur, R.C.; Chaubey, J.P.; Nair, V.S. Aerosol Black Carbon over Svalbard Regions of Arctic. Polar Sci. 2016, 10, 60–70. [Google Scholar] [CrossRef]
- Rinaldi, M.; Hiranuma, N.; Santachiara, G.; Mazzola, M.; Mansour, K.; Paglione, M.; Rodriguez, C.A.; Traversi, R.; Becagli, S.; Cappelletti, D. Ice-Nucleating Particle Concentration Measurements from Ny-Ålesund during the Arctic Spring–Summer in 2018. Atmos. Chem. Phys. 2021, 21, 14725–14748. [Google Scholar] [CrossRef]
- Tunved, P.; Ström, J.; Krejci, R. Arctic Aerosol Life Cycle: Linking Aerosol Size Distributions Observed between 2000 and 2010 with Air Mass Transport and Precipitation at Zeppelin Station, Ny-Ålesund, Svalbard. Atmos. Chem. Phys. 2013, 13, 3643–3660. [Google Scholar] [CrossRef]
- Rodríguez, S.; Cuevas, E. The Contributions of “Minimum Primary Emissions” and “New Particle Formation Enhancements” to the Particle Number Concentration in Urban Air. J. Aerosol Sci. 2007, 38, 1207–1219. [Google Scholar] [CrossRef]
- Dall’Osto, M.; Querol, X.; Alastuey, A.; O’Dowd, C.; Harrison, R.M.; Wenger, J.; Gómez-Moreno, F.J. On the Spatial Distribution and Evolution of Ultrafine Particles in Barcelona. Atmos. Chem. Phys. 2013, 13, 741–759. [Google Scholar] [CrossRef]










| Particles Fraction | ‘Background’ | ‘Hornsund Fjord’ | ‘Kongsfjorden’ | ‘Isfjorden’ | ‘Van Mijenfjorden’ | ‘LSPE’ | ‘LRTE’ |
|---|---|---|---|---|---|---|---|
| Coarse Mode | 0.01% | 0.01% | 0.01% | 0.01% | 0.01% | 0.03% | 0.13% |
| Accumulation Mode | 21% | 19% | 12% | 8% | 7% | 38% | 100% |
| Aitken Mode | 79% | 81% | 88% | 92% | 93% | 62% | 0% |
Disclaimer/Publisher’s Note: The statements, opinions and data contained in all publications are solely those of the individual author(s) and contributor(s) and not of MDPI and/or the editor(s). MDPI and/or the editor(s) disclaim responsibility for any injury to people or property resulting from any ideas, methods, instructions or products referred to in the content. |
© 2023 by the authors. Licensee MDPI, Basel, Switzerland. This article is an open access article distributed under the terms and conditions of the Creative Commons Attribution (CC BY) license (https://creativecommons.org/licenses/by/4.0/).
Share and Cite
Losi, N.; Markuszewski, P.; Rigler, M.; Gregorič, A.; Močnik, G.; Drozdowska, V.; Makuch, P.; Zielinski, T.; Pakszys, P.; Kitowska, M.; et al. Anthropic Settlements’ Impact on the Light-Absorbing Aerosol Concentrations and Heating Rate in the Arctic. Atmosphere 2023, 14, 1768. https://doi.org/10.3390/atmos14121768
Losi N, Markuszewski P, Rigler M, Gregorič A, Močnik G, Drozdowska V, Makuch P, Zielinski T, Pakszys P, Kitowska M, et al. Anthropic Settlements’ Impact on the Light-Absorbing Aerosol Concentrations and Heating Rate in the Arctic. Atmosphere. 2023; 14(12):1768. https://doi.org/10.3390/atmos14121768
Chicago/Turabian StyleLosi, Niccolò, Piotr Markuszewski, Martin Rigler, Asta Gregorič, Griša Močnik, Violetta Drozdowska, Przemysław Makuch, Tymon Zielinski, Paulina Pakszys, Małgorzata Kitowska, and et al. 2023. "Anthropic Settlements’ Impact on the Light-Absorbing Aerosol Concentrations and Heating Rate in the Arctic" Atmosphere 14, no. 12: 1768. https://doi.org/10.3390/atmos14121768
APA StyleLosi, N., Markuszewski, P., Rigler, M., Gregorič, A., Močnik, G., Drozdowska, V., Makuch, P., Zielinski, T., Pakszys, P., Kitowska, M., Cefalì, A. M., Gini, I., Doldi, A., Cerri, S., Maroni, P., Bolzacchini, E., & Ferrero, L. (2023). Anthropic Settlements’ Impact on the Light-Absorbing Aerosol Concentrations and Heating Rate in the Arctic. Atmosphere, 14(12), 1768. https://doi.org/10.3390/atmos14121768

