Characterization and Source Analysis of Pollution Caused by Atmospheric Volatile Organic Compounds in the Spring, Kunming, China
Abstract
:1. Introduction
2. Materials and Methods
2.1. Sampling Site and Method
2.2. Sampling and Analysis
2.3. Positive Matrix Factorization (PMF) Model
2.4. Methodology Parameters for Analyzing the Ozone Formation Potential of VOCs
3. Results and Discussion
3.1. Meteorology Data and Ozone Concentration during Sampling Period
3.2. Ambient Levels of VOCs in Kunming
3.3. Spatial Distribution Charaacteristics of VOCs
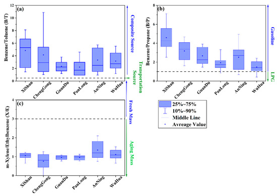
3.4. Analysis of Tracer Species Characterizing Anthropogenic Sources
3.5. Source Analysis of Ambient Atmospheric VOCs
3.6. Analysis of OFP for VOCs
4. Conclusions
Author Contributions
Funding
Institutional Review Board Statement
Informed Consent Statement
Data Availability Statement
Conflicts of Interest
References
- Jo, W.; Chun, H.; Lee, S.-O. Evaluation of Atmospheric Volatile Organic Compound Characteristics in Specific Areas in Korea Using Long-Term Monitoring Data. Environ. Eng. Res. 2012, 17, 103–110. [Google Scholar] [CrossRef]
- Valach, A.C.; Langford, B.; Nemitz, E.; MacKenzie, A.R.; Hewitt, C.N. Concentrations of selected volatile organic compounds at kerbside and background sites in central London. Atmos. Environ. 2014, 95, 456–467. [Google Scholar] [CrossRef]
- Boyjoo, Y.; Sun, H.; Liu, J.; Pareek, V.K.; Wang, S. A review on photocatalysis for air treatment: From catalyst development to reactor design. Chem. Eng. J. 2017, 310, 537–559. [Google Scholar] [CrossRef]
- Franco, M.; Chairez, I.; Poznyak, T.; Poznyak, A. BTEX decomposition by ozone in gaseous phase. J. Environ. Manag. 2012, 95, S55–S60. [Google Scholar] [CrossRef]
- Piccot, S.D.; Watson, J.J.; Jones, J.W. A global inventory of volatile organic compound emissions from anthropogenic sources. J. Geophys. Res. Atmos. 1992, 97, 9897–9912. [Google Scholar] [CrossRef]
- Song, M.; Liu, X.; Zhang, Y.; Shao, M.; Lu, K.; Tan, Q.; Feng, M.; Qu, Y. Sources and abatement mechanisms of VOCs in southern China. Atmos. Environ. 2019, 201, 28–40. [Google Scholar] [CrossRef]
- Klimont, Z.; Streets, D.G.; Gupta, S.; Cofala, J.; Lixin, F.; Ichikawa, Y. Anthropogenic emissions of non-methane volatile organic compounds in China. Atmos. Environ. 2002, 36, 1309–1322. [Google Scholar] [CrossRef]
- Gong, F. Anthropogenic Volatile Organic Compounds Emission Inventory and Characteristics. Master’s Thesis, Xi’an University of Architecture and Technology, Xi’an, China, May 2013. (In Chinese). [Google Scholar]
- Liu, J.F.; Zhao, J.; Li, T.T.; Bai, Y.H.; Liu, Z.R. Establishment of Chinese Anthropogenic Source Volatile Organic Compounds Emission Inventory. China Environ. Sci. 2008, 28, 496–500. (In Chinese) [Google Scholar]
- Wu, X.L. Study on Air Pollution Emission Inventory for Yangtze River Delta. Master’s Thesis, Fudan University, Shanghai, China, May 2009. (In Chinese). [Google Scholar]
- Yu, Y.F.; Lu, Q.; Zheng, J.Y.; Zhong, L.J. VOC emission inventory and its uncertainty from the key VOC-related industries in the Pearl River Delta Region. China Environ. Sci. 2011, 31, 195–201. (In Chinese) [Google Scholar]
- Zheng, J.; Shao, M.; Che, W.; Zhang, L.; Zhong, L.; Zhang, Y.; Streets, D. Speciated VOC Emission Inventory and Spatial Patterns of Ozone Formation Potential in the Pearl River Delta, China. Environ. Sci. Technol. 2009, 43, 8580–8586. [Google Scholar] [CrossRef]
- Fu, X.; Wang, S.; Zhao, B.; Xing, J.; Cheng, Z.; Liu, H.; Hao, J. Emission inventory of primary pollutants and chemical speciation in 2010 for the Yangtze River Delta region, China. Atmos. Environ. 2013, 70, 39–50. [Google Scholar] [CrossRef]
- Li, Q.; Han, Y.; Huang, D.; Zhou, J.; Che, H.; Zhang, L.; Lu, K.; Yang, F.; Chen, Y. Springtime reactive volatile organic compounds (VOCs) and impacts on ozone in urban areas of Yunnan-Guizhou plateau, China: A PTR-TOF-MS study. Atmos. Environ. 2023, 307, 119800. [Google Scholar] [CrossRef]
- Sillman, S. The relation between ozone, NOx and hydrocarbons in urban and polluted rural environments. Atmos. Environ. 1999, 33, 1821–1845. [Google Scholar] [CrossRef]
- Feng, Z.Z.; Xu, Y.S.; Kobayashi, K.; Dai, L.L.; Zhang, T.Y.; Agathokleous, E.; Calatayud, V.; Paoletti, E.; Mukherjee, A.; Agrawal, M.; et al. Ozone pollution threatens the production of major staple crops in East Asia. Nature Food 2022, 3, 47–56. [Google Scholar] [CrossRef] [PubMed]
- Lyu, X.; Li, K.; Guo, H.; Morawska, L.; Zhou, B.; Zeren, Y.; Jiang, F.; Chen, C.; Goldstein, A.H.; Xu, X.; et al. A synergistic ozone-climate control to address emerging ozone pollution challenges. One Earth 2023, 6, 964–977. [Google Scholar] [CrossRef]
- Pugliese, S.C.; Murphy, J.G.; Geddes, J.A.; Wang, J.M. The impacts of precursor reduction and meteorology on ground-level ozone in the Greater Toronto Area. Atmos. Chem. Phys. 2014, 14, 8197–8207. [Google Scholar] [CrossRef]
- Villanueva, F.; Tapia, A.; Notario, A.; Albaladejo, J.; Martínez, E. Ambient levels and temporal trends of VOCs, including carbonyl compounds, and ozone at Cabañeros National Park border, Spain. Atmos. Environ. 2014, 85, 256–265. [Google Scholar] [CrossRef]
- Li, Y.; Yin, S.; Yu, S.; Bai, L.; Wang, X.; Lu, X.; Ma, S. Characteristics of ozone pollution and the sensitivity to precursors during early summer in central plain, China. J. Environ. Sci. 2021, 99, 354–368. [Google Scholar] [CrossRef]
- Martin, R.V.; Fiore, A.M.; Van Donkelaar, A. Space-based diagnosis of surface ozone sensitivity to anthropogenic emissions. Geophys. Res. Lett. 2004, 31. [Google Scholar] [CrossRef]
- Tan, Z.; Lu, K.; Dong, H.; Hu, M.; Li, X.; Liu, Y.; Lu, S.; Shao, M.; Su, R.; Wang, H.; et al. Explicit diagnosis of the local ozone production rate and the ozone-NOx-VOC sensitivities. Sci. Bull. 2018, 63, 1067–1076. [Google Scholar] [CrossRef]
- Wang, Y.; Zhao, Y.; Liu, Y.; Jiang, Y.; Zheng, B.; Xing, J.; Liu, Y.; Wang, S.; Nielsen, C.P. Sustained emission reductions have restrained the ozone pollution over China. Nat. Geosci. 2023, 16, 964–974. [Google Scholar] [CrossRef]
- Li, P.; Chen, C.; Liu, D.; Lian, J.; Li, W.; Fan, C.; Yan, L.; Gao, Y.; Wang, M.; Liu, H.; et al. Characteristics and source apportionment of ambient volatile organic compounds and ozone generation sensitivity in urban Jiaozuo, China. J. Environ. Sci. 2023, 138, 607–625. [Google Scholar] [CrossRef]
- Xue, L.; Ding, A.; Cooper, O.; Huang, X.; Wang, W.; Zhou, D.; Wu, Z.; McClure-Begley, A.; Petropavlovskikh, I.; Andreae, M.O.; et al. ENSO and Southeast Asian biomass burning modulate subtropical trans-Pacific ozone transport. Natl. Sci. Rev. 2020, 8, nwaa132. [Google Scholar] [CrossRef] [PubMed]
- Ministry of Ecology and Environment of the People’s Republic of China. Technical Specification for the Layout of Ambient Air Quality Monitoring Sites (on trial), HJ 664-2013. Available online: https://www.mee.gov.cn/ywgz/fgbz/bz/bzwb/jcffbz/201309/t20130925_260810.shtml (accessed on 29 November 2023).
- Ministry of Ecology and Environment of the People’s Republic of China. 2018 Ambient Air Volatile Organic Compounds (VOCs) Monitoring Program for Key Areas, EIAO Monitoring Letter (2017) No. 2024; Ministry of Ecology and Environment of the People’s Republic of China: Beijing, China, 2017.
- Ministry of Ecology and Environment of the People’s Republic of China. Technical Requirements for Manual Monitoring of Ozone Precursor Organic Com-pounds in Ambient Air (Trial), Environmental Office Monitoring Letter [2018] No. 240. Available online: https://www.mee.gov.cn/gkml/hbb/bgth/201802/t20180228_431887.htm (accessed on 29 November 2023).
- Paatero, P.; Tapper, U. Positive matrix factorization: A non-negative factor model with optimal utilization of error estimates of data values. Environmetrics 1994, 5, 111–126. [Google Scholar] [CrossRef]
- Paatero, P.; Eberly, S.; Brown, S.G.; Norris, G.A. Methods for estimating uncertainty in factor analytic solutions. Atmos. Meas. Tech. 2014, 7, 781–797. [Google Scholar] [CrossRef]
- Bufalini, J.J.; Dodge, M.C. Ozone-forming potential of light saturated hydrocarbons. Environ. Sci. Technol. 1983, 17, 308–311. [Google Scholar] [CrossRef]
- Carter, W.P.L. Development of the SAPRC-07 chemical mechanism. Atmos. Environ. 2010, 44, 5324–5335. [Google Scholar] [CrossRef]
- Ministry of Ecology and Environment of the People’s Republic of China. Ambient Air Quality Standard (GB 3095-2012). Available online: https://www.mee.gov.cn/ywgz/fgbz/bz/bzwb/dqhjbh/dqhjzlbz/201203/t20120302_224165.htm (accessed on 29 November 2023).
- Simayi, M.; Shi, Y.; Xi, Z.; Li, J.; Yu, X.; Liu, H.; Tan, Q.; Song, D.; Zeng, L.; Lu, S.; et al. Understanding the sources and spatiotemporal characteristics of VOCs in the Chengdu Plain, China, through measurement and emission inventory. Sci. Total Environ. 2020, 714, 136692. [Google Scholar] [CrossRef]
- Shao, M.; Lu, S.; Liu, Y.; Xie, X.; Chang, C.; Huang, S.; Chen, Z. Volatile organic compounds measured in summer in Beijing and their role in ground-level ozone formation. J. Geophys. Res. Atmos. 2009, 114. [Google Scholar] [CrossRef]
- Zhu, H.; Wang, H.; Jing, S.; Wang, Y.; Cheng, T.; Tao, S.; Lou, S.; Qiao, L.; Li, L.; Chen, J. Characteristics and sources of atmospheric volatile organic compounds (VOCs) along the mid-lower Yangtze River in China. Atmos. Environ. 2018, 190, 232–240. [Google Scholar] [CrossRef]
- Zhang, K.; Li, L.; Huang, L.; Wang, Y.; Huo, J.; Duan, Y.; Wang, Y.; Fu, Q. The impact of volatile organic compounds on ozone formation in the suburban area of Shanghai. Atmos. Environ. 2020, 232, 117511. [Google Scholar] [CrossRef]
- Liu, Z.; Hu, K.; Zhang, K.; Zhu, S.; Wang, M.; Li, L. VOCs sources and roles in O3 formation in the central Yangtze River Delta region of China. Atmos. Environ. 2023, 302, 119755. [Google Scholar] [CrossRef]
- Wu, Y.; Mo, Z.Y.; Wu, Q.Q.; Lu, J.H.; Mao, J.Y.; Chen, X.M.; Su, S.L.; Qin, W.; Liu, H.L.; Wei, M. Characterization of Ambient Volatile Organic Compounds, Source Apportionment, and the Ozone-NOx-VOC Sensitivities in Liucheng County, Guangxi. Environ. Sci. 2023, 44, 75–84. (In Chinese) [Google Scholar]
- Jobson, B.T.; McKeen, S.A.; Parrish, D.D.; Fehsenfeld, F.C.; Blake, D.R.; Goldstein, A.H.; Schauffler, S.M.; Elkins, J.W. Trace gas mixing ratio variability versus lifetime in the troposphere and stratosphere: Observations. J. Geophys. Res. Atmos. 1999, 104, 16091–16113. [Google Scholar] [CrossRef]
- Russo, R.S.; Zhou, Y.; White, M.L.; Mao, H.; Talbot, R.; Sive, B.C. Multi-year (2004–2008) record of nonmethane hydrocarbons and halocarbons in New England: Seasonal variations and regional sources. Atmos. Chem. Phys. 2010, 10, 4909–4929. [Google Scholar] [CrossRef]
- Yurdakul, S.; Civan, M.; Tuncel, G. Volatile organic compounds in suburban Ankara atmosphere, Turkey: Sources and variability. Atmos. Res. 2013, 120–121, 298–311. [Google Scholar] [CrossRef]
- Ma, Z.; Liu, C.; Zhang, C.; Liu, P.; Ye, C.; Xue, C.; Zhao, D.; Sun, J.; Du, Y.; Chai, F.; et al. The levels, sources and reactivity of volatile organic compounds in a typical urban area of Northeast China. J. Environ. Sci. 2019, 79, 121–134. [Google Scholar] [CrossRef]










| NO. | Sampling Site | Regions | Type of Land Use, Upwind/Downwind | Localization |
|---|---|---|---|---|
| 1 | Xishan Forest Park | XiShan | Suburban | 102.6321° E 24.9707° N |
| 2 | Chenggong New District national control station | ChengGong | Urban, upwind | 102.822° E 24.8903° N |
| 3 | Guandu Museum national control station | GuanDu | Urban, downwind | 102.822° E 24.89027° N |
| 4 | Longquan town state control station | PanLong | Urban, downwind | 102.7517° E 25.11473° N |
| 5 | Jinding mountain national control station | WuHua | Urban, downwind | 102.686° E 25.07119° N |
| 6 | Lianran street market control station | AnNing | Industrial | 102.4694° E 24.9198° N |
| Characteristic Tracer Species | Source Identification |
|---|---|
| Benzene/Toluene (B/T) | B/T ≈ 0.5 Significantly affected by vehicle emissions B/T > 0.5 OR < 0.5 Likely to be affected by industrial sources (solvent volatilization) or combustion sources (coal combustion, biomass combustion) in addition to motor vehicle emissions |
| Benzene/propane (B/P) | B/P < 1 Highly affected by emissions from liquefied petroleum gas (LPG) use B/P > 1 Highly affected by emissions from gasoline use |
| m-xylene/ethylbenzene (X/E) | X/E < 3: Significant impact of aging air masses X/E > 3: Significant impact of fresh air masses |
| Regions | Anthropogenic Source | Biogenic | |||||||||
|---|---|---|---|---|---|---|---|---|---|---|---|
| XiShan | acetone | toluene | isopentane | pentane | m/P-Xylene | isobutane | 2-Butanone | vinyl acetate | Benzene | 1-butylene | Isoprene |
| 21.44 | 7.37 | 6.41 | 3.70 | 3.40 | 2.83 | 2.64 | 1.94 | 1.66 | 1.62 | 4.49 | |
| ChengGong | toluene | acetone | m/P-Xylene | ortho-xylene | isopentane | isobutane | n-Hexane | 1,2-dichloroethane | Benzene | 1-butylene | Isoprene |
| 58.67 | 15.23 | 8.80 | 3.12 | 2.96 | 2.52 | 1.89 | 1.82 | 1.65 | 1.43 | 7.33 | |
| GuanDu | acetone | naphthalene | methylbenzene | m/P-Xylene | 1,4-Dioxane | 1,2,4-Trimethylbenzene | n-Hexane | ortho-xylene | vinyl acetate | tetrahydrofuran | Isoprene |
| 43.26 | 35.96 | 25.35 | 16.06 | 8.82 | 7.03 | 7.01 | 6.24 | 6.15 | 5.02 | 21.79 | |
| PanLong | toluene | acetone | m/P-Xylene | isopentane | propan-2-ol | n-Hexane | isobutane | 1-butylene | ortho-xylene | propylene | Isoprene |
| 167.45 | 14.94 | 5.68 | 3.25 | 3.22 | 3.21 | 2.20 | 2.04 | 1.91 | 1.80 | 16.03 | |
| WuHua | m/P-Xylene | ortho-xylene | Ethylbenzene | acetone | toluene | naphthalene | 1-butylene | isopentane | isobutane | Butane | Isoprene |
| 110.76 | 35.42 | 17.33 | 16.71 | 10.69 | 4.24 | 3.84 | 3.29 | 2.83 | 2.35 | 19.79 | |
| AnNing | toluene | acetone | m/P-Xylene | ortho-xylene | isopentane | isobutane | propylene | 1,2-dichloroethane | vinyl acetate | Butane | Isoprene |
| 59.83 | 17.06 | 9.71 | 4.00 | 3.17 | 2.30 | 2.14 | 2.06 | 1.85 | 1.75 | 3.99 | |
Disclaimer/Publisher’s Note: The statements, opinions and data contained in all publications are solely those of the individual author(s) and contributor(s) and not of MDPI and/or the editor(s). MDPI and/or the editor(s) disclaim responsibility for any injury to people or property resulting from any ideas, methods, instructions or products referred to in the content. |
© 2023 by the authors. Licensee MDPI, Basel, Switzerland. This article is an open access article distributed under the terms and conditions of the Creative Commons Attribution (CC BY) license (https://creativecommons.org/licenses/by/4.0/).
Share and Cite
Xie, S.; Gong, Y.; Chen, Y.; Li, K.; Liu, J. Characterization and Source Analysis of Pollution Caused by Atmospheric Volatile Organic Compounds in the Spring, Kunming, China. Atmosphere 2023, 14, 1767. https://doi.org/10.3390/atmos14121767
Xie S, Gong Y, Chen Y, Li K, Liu J. Characterization and Source Analysis of Pollution Caused by Atmospheric Volatile Organic Compounds in the Spring, Kunming, China. Atmosphere. 2023; 14(12):1767. https://doi.org/10.3390/atmos14121767
Chicago/Turabian StyleXie, Shuyang, Yuanjun Gong, Yunbo Chen, Kai Li, and Junfeng Liu. 2023. "Characterization and Source Analysis of Pollution Caused by Atmospheric Volatile Organic Compounds in the Spring, Kunming, China" Atmosphere 14, no. 12: 1767. https://doi.org/10.3390/atmos14121767
APA StyleXie, S., Gong, Y., Chen, Y., Li, K., & Liu, J. (2023). Characterization and Source Analysis of Pollution Caused by Atmospheric Volatile Organic Compounds in the Spring, Kunming, China. Atmosphere, 14(12), 1767. https://doi.org/10.3390/atmos14121767

