Identification of Airborne Particle Types and Sources at a California School Using Electron Microscopy
Abstract
:1. Introduction
2. Materials and Methods
2.1. Sampling Methods
2.2. Sampling Design
2.3. CCSEM-EDS Analysis
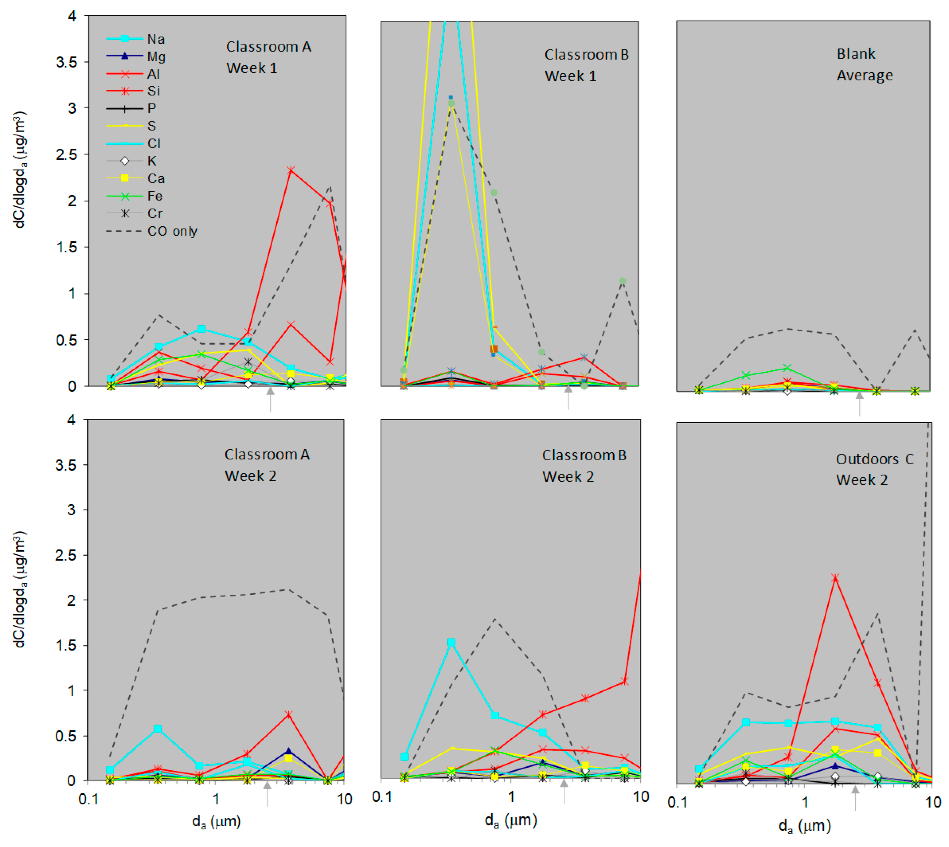
3. Results
3.1. Airborne Particle Types
3.2. PM Concentrations, Size Distributions, and Comparison to Continuous Sensors
4. Discussion
4.1. Combustion and Biogenic Particles
4.2. Salts
4.3. Particles in Classroom A Compared to Classroom B
4.4. Limitations
5. Conclusions
Author Contributions
Funding
Institutional Review Board Statement
Informed Consent Statement
Data Availability Statement
Acknowledgments
Conflicts of Interest
Appendix A. Passive Sampler Analysis Details
References
- Murray, C.J.; Aravkin, A.Y.; Zheng, P.; Abbafati, C.; Abbas, K.M.; Abbasi-Kangevari, M.; Abd-Allah, F.; Abdelalim, A.; Abdollahi, M.; Abdollahpour, I.; et al. Global burden of 87 risk factors in 204 countries and territories, 1990–2019: A systematic analysis for the Global Burden of Disease Study 2019. Lancet 2020, 396, 1223–1249. [Google Scholar] [CrossRef] [PubMed]
- Gaffney, A.W.; Himmelstein, D.U.; Christiani, D.C.; Woolhandler, S. Socioeconomic Inequality in Respiratory Health in the US From 1959 to 2018. JAMA Intern Med. 2021, 181, 968–976. [Google Scholar] [CrossRef] [PubMed]
- Holm, S.; Miller, M.D.; Balmes, J.R. Health Effects of Wildfire Smoke in Children and Public Health Tools: A Narrative Review. J. Expo. Sci. Environ. Epidemiol. 2021, 31, 1–20. [Google Scholar] [CrossRef] [PubMed]
- Jandacka, D.; Durcanska, D. Seasonal Variation, Chemical Composition, and PMF-Derived Sources Identification of Traffic-Related PM1, PM2.5, and PM2.5–10 in the Air Quality Management Region of Žilina, Slovakia. Int. J. Environ. Res. Public Health 2021, 18, 10191. [Google Scholar] [CrossRef]
- Ayres, J.G.; Borm, P.; Cassee, F.R.; Castranova, V.; Donaldson, K.; Ghio, A.; Harrison, R.M.; Hider, R.; Kelly, F.; Kooter, I.M.; et al. Evaluating the toxicity of airborne particulate matter and nanoparticles by measuring oxidative stress potential—A workshop report and consensus statement. Inhal. Toxicol. 2008, 20, 75–99. [Google Scholar] [CrossRef]
- Fussell, J.C.; Franklin, M.; Green, D.C.; Gustafsson, M.; Harrison, R.M.; Hicks, W.; Kelly, F.J.; Kishta, F.; Miller, M.R.; Mudway, I.S.; et al. A Review of Road Traffic-Derived Non-Exhaust Particles: Emissions, Physicochemical Characteristics, Health Risks, and Mitigation Measures. Environ. Sci. Technol. 2022, 56, 6813–6835. [Google Scholar] [CrossRef]
- Croft, D.P.; Zhang, W.; Lin, S.; Thurston, S.W.; Hopke, P.K.; van Wijngaarden, E.; Squizzato, S.; Masiol, M.; Utell, M.J.; Rich, D.Q. Associations between source-specific particulate matter and respiratory infections in New York state adults. Environ. Sci. Technol. 2020, 54, 975–984. [Google Scholar] [CrossRef]
- Wagner, J.; Leith, D. Passive Aerosol Sampler. Part I: Principle of Operation. Aerosol Sci. Technol. 2001, 34, 186–192. [Google Scholar] [CrossRef]
- Ott, D.K.; Cyrs, W.; Peters, T.M. Passive measurement of coarse particulate matter. J. Aerosol Sci. 2008, 39, 156–167. [Google Scholar] [CrossRef]
- Wang, Z.M.; Zhou, Y.; Gaspar, F.W.; Bradman, A. Using low cost open-face passive samplers to sample PM concentration and elemental composition in childcare facilities. Environ. Sci. Process. Impacts 2020, 22, 1502–1513. [Google Scholar] [CrossRef]
- Wagner, J.; Naik-Patel, K.; Wall, S.; Harnly, M. Measurement of ambient particulate matter concentrations and particle types near agricultural burns using electron microscopy and passive samplers. Atmos. Environ. 2012, 54, 260–271. [Google Scholar] [CrossRef]
- Wagner, J.; Casuccio, G. Spectral Imaging and Passive Sampling to Investigate ParticleSources in Urban Desert Regions. Environ. Sci. Process. Impacts 2014, 16, 1745–1753. [Google Scholar] [CrossRef] [PubMed]
- Castillo, M.; Kinney, P.; Wagner, J.; Freedman, F.; Eisl, H.; Casuccio, G.; West, R.; Wang, Z.; Yip, K. Field testing a low-cost passive aerosol sampler for long-term measurement of ambient PM2.5 concentrations. Atmos. Environ. 2019, 216, 116905. [Google Scholar] [CrossRef]
- OEHHA. California Environmental Protection Agency Office of Health Hazard Assessment. 2021. Available online: https://oehha.ca.gov/calenviroscreen/report/calenviroscreen-40 (accessed on 28 June 2023).
- Wagner, J.; Macher, J.M. Comparison of a Passive Aerosol Sampler to Size-Selective Pump Samplers in Indoor Environments. Aiha J. 2003, 64, 630–639. [Google Scholar] [CrossRef]
- Maiko, A.; Leith, D. Precision of PM Measurements with the UNC Passive Aerosol Sampler. J. Aerosol Sci. 2013, 57, 161–164. [Google Scholar]
- Peters, T.M.; Sawvel, E.J.; Willis, R.; West, R.R.; Casuccio, G.S. Performance of Passive Samplers Analyzed by Computer-Controlled Scanning Electron Microscopy to Measure PM 10–2.5. Environ. Sci. Technol. 2016, 50, 7581–7589. [Google Scholar] [CrossRef] [PubMed]
- Ott, D.K.; Peters, T.M. A Shelter to Protect a Passive Sampler for Coarse Particulate Matter, PM 10–2.5. Aerosol Sci. Technol. 2008, 42, 299–309. [Google Scholar] [CrossRef]
- SJVAir Collaborative. 2021. Available online: https://www.sjvair.com/about/testing (accessed on 22 September 2023).
- Caubel, J.J.; Cados, T.E.; Kirchstetter, T.W. A New Black Carbon Sensor for Dense Air Quality Monitoring Networks. Sensors 2018, 18, 738. [Google Scholar] [CrossRef]
- California Irrigation Management Information System (CIMIS) Database, California Department of Water Resources. Available online: https://cimis.water.ca.gov/ (accessed on 21 May 2023).
- Wagner, J.; Macher, J. Automated Spore Measurements Using Microscopy, Image Analysis, and Peak Recognition of Near-Monodisperse Aerosols. Aerosol Sci. Technol. 2012, 46, 862–873. [Google Scholar] [CrossRef]
- US EPA AirNowTech Database. 2023. Available online: https://www.airnowtech.org/data/ (accessed on 7 November 2023).
- Pósfai, M.; Gelencsér, A.; Simonics, R.; Arató, K.; Li, J.; Hobbs, P.V.; Buseck, P.R. Atmospheric tar balls: Particles from biomass and biofuel burning. J. Geophys. Res. 2004, 109, D06213. [Google Scholar] [CrossRef]
- Sparks, T.; Wagner, J. Composition of Particulate Matter During a Wildfire Smoke Episode in an Urban Area. Aerosol Sci. Technol. 2021, 55, 734–747. [Google Scholar] [CrossRef]
- Adachi, K.; Dibb, J.E.; Scheuer, E.; Katich, J.M.; Schwarz, J.P.; Perring, A.E.; Mediavilla, B.; Guo, H.; Campuzano-Jost, P.; Jimenez, J.L.; et al. Fine ash-bearing particles as a major aerosol component in biomass burning smoke. J. Geophys. Res. Atmos. 2022, 127, e2021JD035657. [Google Scholar] [CrossRef]
- Wallace, L.; Zhao, T.; Klepeis, N.E. Calibration of PurpleAir PA-I and PA-II Monitors Using Daily Mean PM2.5 Concentrations Measured in California, Washington, and Oregon from 2017 to 2021. Sensors 2022, 22, 4741. [Google Scholar] [CrossRef]
- Hjelmroos-Koski, M.K.; Macher, J.M.; Katharine Hammond, S.; Tager, I. Considerations in the grouping of plant and fungal taxa for an epidemiologic study. Grana 2006, 45, 261–287. [Google Scholar] [CrossRef]
- Gundel, L.A.; Benner, W.H.; Hansen, A.D. Chemical composition of fog water and interstitial aerosol in Berkeley, California. Atmos. Environ. 1994, 28, 2715–2725. [Google Scholar] [CrossRef]
- Herckes, P.; Marcotte, A.R.; Wang, Y.; Collett, J.L., Jr. Fog composition in the Central Valley of California over three decades. Atmos. Res. 2015, 151, 20–30. [Google Scholar] [CrossRef]
- Ma, Q.; He, H.; Liu, Y.; Liu, C.; Grassian, V.H. Heterogeneous and multiphase formation pathways of gypsum in the atmosphere. Phys. Chem. Chem. Phys. 2013, 15, 19196–19204. [Google Scholar] [CrossRef]
- Stockton Record, Piles of Sulfur at Port of Stockton. 28 May 1996. Available online: https://www.recordnet.com/story/news/1996/05/28/piles-sulfur-at-port-stockton/50854338007/ (accessed on 21 November 2022).
- California Regional Water Quality Control Board, Central Valley, Revised Monitoring and Reporting Program No. R5-2008-0825. 2008. Available online: https://www.waterboards.ca.gov/centralvalley/board_decisions/adopted_orders/san_joaquin/r5-2008-0825_mrp_rev.pdf (accessed on 15 November 2023).
- Harnly, M.; Naik-Patel, K.; Wall, S.; Quintana, P.; Pon, D.; Wagner, J. Agricultural burning: Air monitoring and exposure reduction in Imperial County. Calif. Agric. 2012, 66, 85–90. [Google Scholar] [CrossRef]
- Nash, D.G.; Leith, D. Ultrafine Particle Sampling with the UNC Passive Aerosol Sampler. Aerosol Sci. Technol. 2010, 44, 1059–1064. [Google Scholar] [CrossRef]












| Week Number | Sample Dates | Description | PM2.5 Sensor Avg (μg/m3) | Sample ID | Passive Samples (Blank-Corrected) | ||
|---|---|---|---|---|---|---|---|
| PM2.5 (μg/m3) | PM10–2.5 (μg/m3) | PM10 (μg/m3) | |||||
| 1 | 5 December 2021–7 December 2021 | Classroom A | 7.8 | 6940 | 3.9 | 3.4 | 7.3 |
| Classroom B | 13.6 | 6947 | 12.3 | 0.5 | 12.8 | ||
| Outdoor C | 17.9 | 6948 | n/a a | n/a a | n/a a | ||
| 2 | 12 December 2021–14 December 2021 | Classroom A | 12.3 | 6944 | 2.6 | 2.0 | 4.6 |
| Classroom B | 7.6 | 6949 | 4.9 | 2.3 | 7.2 | ||
| Outdoor C | 7.9 | 6943 | 5.1 | 4.6 | 9.7 | ||
Disclaimer/Publisher’s Note: The statements, opinions and data contained in all publications are solely those of the individual author(s) and contributor(s) and not of MDPI and/or the editor(s). MDPI and/or the editor(s) disclaim responsibility for any injury to people or property resulting from any ideas, methods, instructions or products referred to in the content. |
© 2023 by the authors. Licensee MDPI, Basel, Switzerland. This article is an open access article distributed under the terms and conditions of the Creative Commons Attribution (CC BY) license (https://creativecommons.org/licenses/by/4.0/).
Share and Cite
Wagner, J.; Castorina, R.; Kumagai, K.; Thompson, M.; Sugrue, R.; Noth, E.M.; Bradman, A.; Hurley, S. Identification of Airborne Particle Types and Sources at a California School Using Electron Microscopy. Atmosphere 2023, 14, 1702. https://doi.org/10.3390/atmos14111702
Wagner J, Castorina R, Kumagai K, Thompson M, Sugrue R, Noth EM, Bradman A, Hurley S. Identification of Airborne Particle Types and Sources at a California School Using Electron Microscopy. Atmosphere. 2023; 14(11):1702. https://doi.org/10.3390/atmos14111702
Chicago/Turabian StyleWagner, Jeff, Rosemary Castorina, Kazukiyo Kumagai, McKenna Thompson, Rebecca Sugrue, Elizabeth M. Noth, Asa Bradman, and Susan Hurley. 2023. "Identification of Airborne Particle Types and Sources at a California School Using Electron Microscopy" Atmosphere 14, no. 11: 1702. https://doi.org/10.3390/atmos14111702
APA StyleWagner, J., Castorina, R., Kumagai, K., Thompson, M., Sugrue, R., Noth, E. M., Bradman, A., & Hurley, S. (2023). Identification of Airborne Particle Types and Sources at a California School Using Electron Microscopy. Atmosphere, 14(11), 1702. https://doi.org/10.3390/atmos14111702

