The Rainwater Interception Process and Capacity of Urban Tree Organs in Shanghai
Abstract
1. Introduction
- The rainwater interception process of different plant life forms and tree organs.
- The differences in the rainwater interception capacity values of different tree organs.
- The rainwater interception capacity of common tree organs in Shanghai.
2. Materials and Methods
2.1. Research Site
2.2. Tree Species
2.3. Tree Organ Sample Collection
2.3.1. Leaf Collection
2.3.2. Branch Collection and Sample Preparation
2.3.3. Bark Collection and Sample Preparation
2.4. Artificial Rainfall Simulation System
2.5. Experimental Design
2.6. Statistical Analysis
3. Results
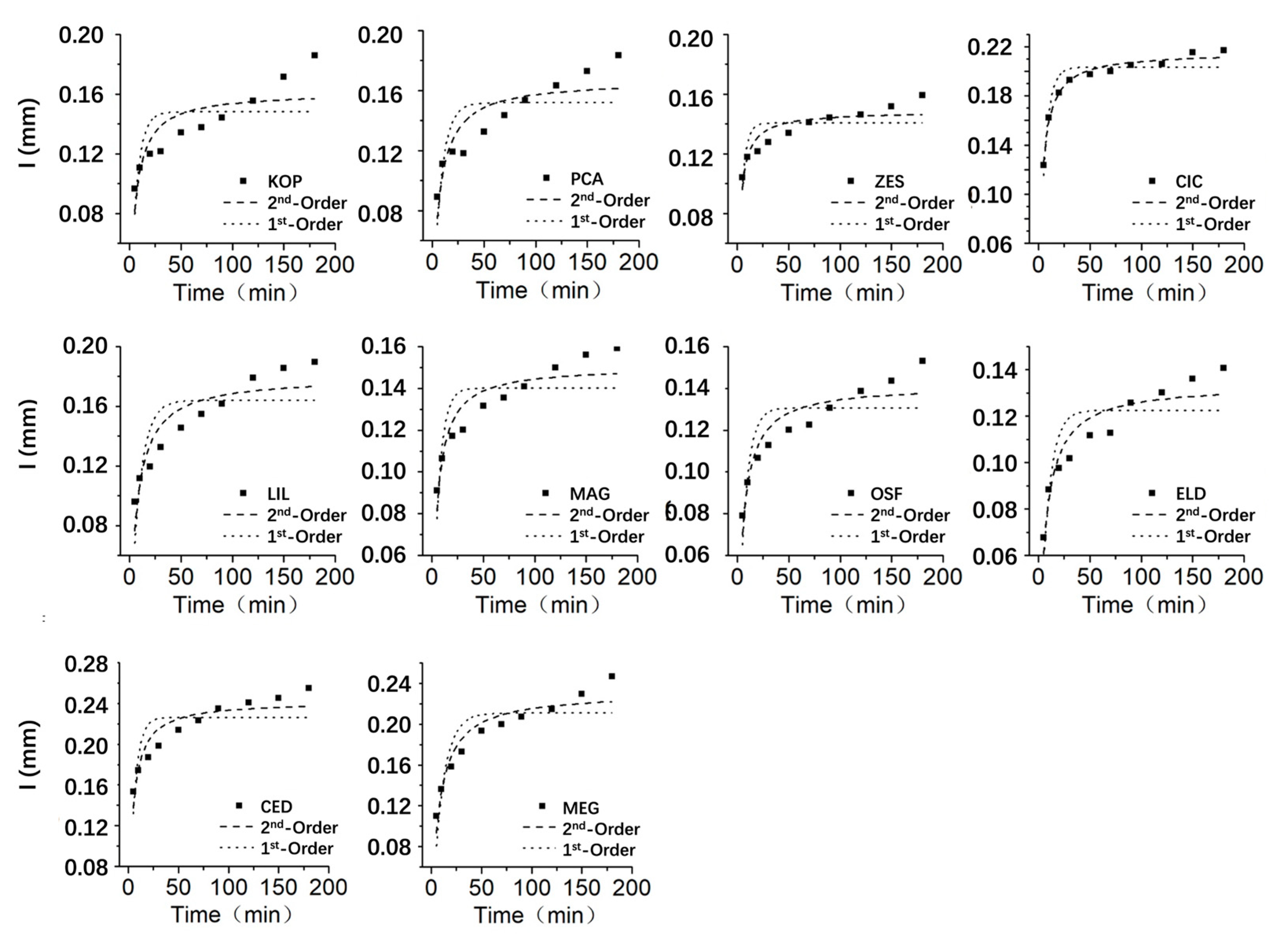
3.1. Dynamic Analysis of Rainwater Interception Process of Tree Organs
3.2. Analysis of Dynamic Parameters of Rainwater Interception by Tree Organs
3.3. Rainwater Interception in Different Tree Organs
4. Discussion
4.1. Differences in Rainwater Interception Capacity among Tree Species’ Organs
4.2. Differences in Rainwater Interception Capacity among Different Tree Organs
4.3. Differences in Rainwater Interception Capacity of Different Life Forms of Tree Species
4.4. Differences between the Rainwater Interception Capacity Values of Tree Organs in Urban and Natural Areas
5. Conclusions
Author Contributions
Funding
Institutional Review Board Statement
Informed Consent Statement
Data Availability Statement
Conflicts of Interest
References
- Wang, L.; Ge, M.; Chen, N.; Ding, J.; Shen, X. An Evaluation Model of Riparian Landscape: A Case in Rural Qingxi Area, Shanghai. Land 2022, 11, 1512. [Google Scholar] [CrossRef]
- Shen, X.; Sun, Q.; Mosey, G.; Ma, J.; Wang, L.; Ge, M. Benchmark of plant-based VOCs control effect for indoor air quality: Green wall case in smith campus at Harvard University. Sci. Total Environ. 2023, 906, 166269. [Google Scholar] [CrossRef] [PubMed]
- Shen, X.; Ge, M.; Handel, S.N.; Wang, W.; Jin, Z.; Kirkwood, N.G. Advancing environmental design with phytoremediation of brownfield soils using spontaneous invasive plants. Sci. Total Environ. 2023, 883, 163635. [Google Scholar] [CrossRef] [PubMed]
- Llorens, P.; Gallart, F. A simplified method for forest water storage capacity measurement. J. Hydrol. 2000, 240, 131–144. [Google Scholar] [CrossRef]
- Shen, X.; Chen, M.; Ge, M.; Padua, M.G. Examining the conceptual model of potential urban development patch (PUDP), VOCs, and food culture in urban ecology: A case in Chengdu, China. Atmosphere 2022, 13, 1369. [Google Scholar] [CrossRef]
- Crockford, R.; Richardson, D. Partitioning of rainfall in a eucalypt forest and pine plantation in southeastern Australia: IV The relationship of interception and canopy storage capacity, the interception of these forests, and the effect on interception of thinning the pine plantation. Hydrol. Process. 1990, 4, 169–188. [Google Scholar] [CrossRef]
- Alves, P.L.; Formiga, K.T.M.; Traldi, M.A.B. Rainfall interception capacity of tree species used in urban afforestation. Urban. Ecosyst. 2018, 21, 697–706. [Google Scholar] [CrossRef]
- Guevara-Escobar, A.; Edwards, W.R.N.; Morton, R.H.; Kemp, P.D.; MacKay, A.D. Tree water use and rainfall partitioning in a mature poplar-pasture system. Tree Physiol. 2000, 20, 97–106. [Google Scholar] [CrossRef] [PubMed]
- Asadian, Y.; Weiler, M. A New Approach in Measuring Rainfall Interception by Urban Trees in Coastal British Columbia. Water Qual. Res. J. Can. 2009, 44, 16–25. [Google Scholar] [CrossRef]
- Zabret, K.; Sraj, M. Rainfall interception by deciduous and coniferous trees in an urban area. In Proceedings of the EGU General Assembly Conference Abstracts, Vienna, Austria, 12–17 April 2015; p. 745. [Google Scholar]
- Campellone, S.V. An Investigation into the Factors Affecting Street Tree Rainfall Interception; Drexel University. Ph.D. Thesis, Drexel University, Philadelphia, PA, USA, 2018. [Google Scholar]
- Wang, Y. The rainfall characters under canopy of several tree species. Sci. Silvae Sin. 2001, 37, 2–9. [Google Scholar] [CrossRef]
- Liu, S. Estimation of rainfall storage capacity in the canopies of cypress wetlands and slash pine uplands in North-Central Florida. J. Hydrol. 1998, 207, 32–41. [Google Scholar] [CrossRef]
- Crockford, R.; Richardson, D. Partitioning of rainfall in a Eucalypt forest and Pine plantation in southeastern Australia: III Determination of the canopy storage capacity of a dry sclerophyll Eucalypt forest. Hydrol. Process. 1990, 4, 157–167. [Google Scholar] [CrossRef]
- Aston, A. Rainfall interception by eight small trees. J. Hydrol. 1979, 42, 383–396. [Google Scholar] [CrossRef]
- Li, X.; Xiao, Q.; Niu, J.; Dymond, S.; van Doorn, N.S.; Yu, X.; Xie, B.; Lv, X.; Zhang, K.; Li, J. Process-based rainfall interception by small trees in Northern China: The effect of rainfall traits and crown structure characteristics. Agric. For. Meteorol. 2016, 218, 65–73. [Google Scholar] [CrossRef]
- Calder, I.R. Rainfall interception and drop size—Development and calibration of the two-layer stochastic interception model. Tree Physiol. 1996, 16, 727–732. [Google Scholar] [CrossRef] [PubMed]
- Wang, J. Redistribution of Rainfall and Chemical Characteristics of Rainfall Components in Evergreen Broad-Leaved Forest in Tiantong. Doctoral Dissertation, East China Normal University, Shanghai, China, 2008. [Google Scholar]
- Yu, K.; Chen, N.; Yu, S.; Wang, G. Effects of species composition on canopy rainfall storage capacity in an alpine meadow, China. Acta Ecol. Sin. 2011, 31, 5771–5779. [Google Scholar]
- Herwitz, S.R. Interception storage capacities of tropical rainforest canopy trees. J. Hydrol. 1985, 77, 237–252. [Google Scholar] [CrossRef]
- Leyton, L.; Reynolds, E.; Thompson, F. Rainfall interception in forest and moorland. In Proceedings of the International Symposium on Forest Hydrology; Pergamon: Oxford, UK, 1967; p. 168. [Google Scholar]
- Hutchings, N.; Milne, R.; Crowther, J. Canopy storage capacity and its vertical distribution in a Sitka spruce canopy. J. Hydrol. 1988, 104, 161–171. [Google Scholar] [CrossRef]
- Kelliher, F.; Whitehead, D.; Pollock, D. Rainfall interception by trees and slash in a young Pinus radiata D. Don stand. J. Hydrol. 1992, 131, 187–204. [Google Scholar] [CrossRef]
- Lankreijer, H.; Hendriks, M.; Klaassen, W. A comparison of models simulating rainfall interception of forests. Agric. For. Meteorol. 1993, 64, 187–199. [Google Scholar] [CrossRef]
- Teklehaimanot, Z.; Jarvis, P.; Ledger, D. Rainfall interception and boundary layer conductance in relation to tree spacing. J. Hydrol. 1991, 123, 261–278. [Google Scholar] [CrossRef]
- Wang, X.P.; Zhang, Y.F.; Hu, R.; Pan, Y.X.; Berndtsson, R. Canopy storage capacity of xerophytic shrubs in Northwestern China. J. Hydrol. 2012, 454, 152–159. [Google Scholar] [CrossRef]
- Monson, R.K.; Grant, M.C.; Jaeger, C.H.; Schoettle, A.W. Morphological causes for the retention of precipitation in the crowns of alpine plants. Environ. Exp. Bot. 1992, 32, 319–327. [Google Scholar] [CrossRef]
- Ilek, A.; Kucza, J.; Morkisz, K. Hydrological properties of bark of selected forest tree species. Part 2: Interspecific variability of bark water storage capacity. Folia For. Pol. Ser. A 2017, 59, 110–122. [Google Scholar] [CrossRef][Green Version]
- Garcia-Estringana, P.; Alonso-Blazquez, N.; Alegre, J. Water storage capacity, stemflow and water funneling in Mediterranean shrubs. J. Hydrol. 2010, 389, 363–372. [Google Scholar] [CrossRef]
- Beysens, D.; Steyer, A.; Guenoun, P.; Fritter, D.; Knobler, C. How does dew form? Phase Transit. 1991, 31, 219–246. [Google Scholar] [CrossRef]
- Dunkerley, D.L.; Booth, T.L. Plant canopy interception of rainfall and its significance in a banded landscape, arid western New South Wales, Australia. Water Resour. Res. 1999, 35, 1581–1586. [Google Scholar] [CrossRef]
- Keim, R.; Skaugset, A.; Weiler, M. Storage of water on vegetation under simulated rainfall of varying intensity. Adv. Water Resour. 2006, 29, 974–986. [Google Scholar] [CrossRef]
- Li, X.; Niu, J.; Zhang, L.; Xiao, Q.; McPherson, G.E.; Van Doorn, N.; Yu, X.; Xie, B.; Dymond, S.; Li, J. A study on crown interception with four dominant tree species: A direct measurement. Hydrol. Res. 2016, 47, 857–868. [Google Scholar] [CrossRef]
- Li, J.; Tang, Y.; Li, B. The influence of indoor simulated rainfall intensity on the stability of gravel soil slope. Gansu Water Res. Hydropower Technol. 2013, 49, 21–23. [Google Scholar]
- Meyer, L.; Harmon, W. Multiple-intensity rainfall simulator for erosion research on row sideslopes. Trans. ASAE 1979, 22, 0100–0103. [Google Scholar] [CrossRef]
- Huo, Y.; Bi, H.; Zhu, Y.; Xu, H.; Wang, X.; Chang, Y. Characteristics of artificial rainfall produced by QYJY-503C simulation system. Sci. Soil. Water Conserv. 2015, 13, 31–36. [Google Scholar] [CrossRef]
- Liu, Y.; Peng, H.; Meng, W.; Bie, Q.; Wang, Y.; Zhao, C. Artificial rainfall interception characteristics in alpine meadows under different grazing scenarios in the upper reach of Heihe River. J. Lanzhou Univ. Nat. Sci. 2013, 6, 799–806. [Google Scholar]
- Müller, C.; Riederer, M. Plant surface properties in chemical ecology. J. Chem. Ecol. 2005, 31, 2621–2651. [Google Scholar] [CrossRef]
- Peng, H.; Zhao, C.; Feng, Z.; Xu, Z.; Wang, C.; Zhao, Y. Canopy interception by a spruce forest in the upper reach of Heihe River basin, Northwestern China. Hydrol. Process. 2014, 28, 1734–1741. [Google Scholar] [CrossRef]
- Koch, K.; Bhushan, B.; Barthlott, W. Multifunctional surface structures of plants: An inspiration for biomimetics. Prog. Mater. Sci. 2009, 54, 137–178. [Google Scholar] [CrossRef]
- Fang, G.; Gao, Y.; Xu, L.; Hu, L.; Zhang, S. Analysis of precipitation change and the characteristics of disaster rainfalls in shanghai. Res. Environ. Yantze Basin 2012, 21, 1270–1273. [Google Scholar]
- DJ/TJ 08-19-2011; Technical Specification of Landscape Gardening. Shanghai Landscaping & City Appearance Administrative Bureau: Shanghai, China, 2011.
- Fang, H. Study and Assessment on the Artificial PlantCommunity in Urban Spaces of Shanghai City. Master’s Thesis, East China Normal University, Shanghai, China, 2006. [Google Scholar]
- Ning, J.; Li, T. Statistics of rainfall characteristics and calculation of rainwater storage tank volume in Shanghai. China Water Wastewater 2006, 22, 48–51. [Google Scholar] [CrossRef]
- Gao, J.; Qi, L. Characteristics and influence of short duration heavy rainfall in Shanghai. Meteorol. Environ. Res. 2015, 38, 52–60. [Google Scholar] [CrossRef]
- Xiao, Q.; McPherson, E.G. Surface water storage capacity of twenty tree species in Davis, California. J. Environ. Qual. 2016, 45, 188–198. [Google Scholar] [CrossRef]
- GB50014-2021; Outdoor Drainage Design Standards. Ministry of Housing and Urban-Rural Development of the People’s Republic of China: Beijing, China, 2021.
- Ning, J. Study on the Intensity Formula and Design Rain Pattern of Short Duration Rainstorm in Shanghai. Master’s Thesis, Tong Ji University, Shanghai, China, 2006. [Google Scholar]
- Wan, D.; Liu, H.; Zhao, X.; Qu, J.; Xiao, S.; Hou, Y. Role of the Mg/Al atomic ratio in hydrotalcite-supported Pd/Sn catalysts for nitrate adsorption and hydrogenation reduction. J. Colloid. Interface Sci. 2009, 332, 151–157. [Google Scholar] [CrossRef]
- Wohlfahrt, G.; Bianchi, K.; Cernusca, A. Leaf and stem maximum water storage capacity of herbaceous plants in a mountain meadow. J. Hydrol. 2006, 319, 383–390. [Google Scholar] [CrossRef]
- Klaassen, W.; Bosveld, F.; De Water, E. Water storage and evaporation as constituents of rainfall interception. J. Hydrol. 1998, 212, 36–50. [Google Scholar] [CrossRef]
- Bassette, C.; Bussiere, F. Partitioning of splash and storage during raindrop impacts on banana leaves. Agric. For. Meteorol. 2008, 148, 991–1004. [Google Scholar] [CrossRef]
- Hancock, N.; Crowther, J. A technique for the direct measurement of water storage on a forest canopy. J. Hydrol. 1979, 41, 105–122. [Google Scholar] [CrossRef]
- Livesley, S.J.; Baudinette, B.; Glover, D. Rainfall interception and stem flow by eucalypt street trees—The impacts of canopy density and bark type. Urban. For. Urban. Green. 2014, 13, 192–197. [Google Scholar] [CrossRef]









| Common Name | Scientific Name | Life Form | Species Code |
|---|---|---|---|
| Golden Rain Tree | Koelreuteria paniculata Laxm. | Deciduous broad | KOP |
| London Planetree | Platanus × acerifolia (Aiton) Willd. | Deciduous broad | PCA |
| Japanese zelkova | Zelkova serrata (Thunb.) Makino | Deciduous broad | ZES |
| Camphor Tree | Cinnamomum camphora Nees ex Wall. | Evergreen broad | CIC |
| Japanese blueberry tree | Elaeocarpus decipiens Hemsl. | Evergreen broad | ELD |
| Glossy privet | Ligustrum lucidum Ait. | Evergreen broad | LIL |
| Southern magnolia | Magnolia Grandiflora L. | Evergreen broad | MAG |
| Fragrant tea olive | Osmanthus fragrans Lour. | Evergreen broad | OSF |
| Deodar cedar | Cedrus deodara (Roxb. ex D. Don) G. Don | Coniferous | CED |
| Dawn redwood | Metasequoia glyptostroboides Hu & W. C. Cheng | Coniferous | MEG |
| Tree Species | Diameter of Branch (cm) | ||
|---|---|---|---|
| First Class | Second Class | Third Class | |
| Golden Rain Tree | 1.78–2.21 | 0.92–1.29 | 0.29–0.51 |
| London Planetree | 2.09–2.92 | 1.03–1.41 | 0.31–0.69 |
| Japanese zelkova | 1.38–2.98 | 0.81–1.09 | 0.18–0.56 |
| Camphor Tree | 2.54–3.68 | 1.37–2.09 | 0.59–0.99 |
| Japanese blueberry tree | 2.04–3.29 | 0.93–1.74 | 0.49–0.71 |
| Glossy privet | 2.22–3.52 | 1.01–1.88 | 0.32–0.80 |
| Southern magnolia | 2.01–3.42 | 1.23–1.88 | 0.58–0.99 |
| Fragrant tea olive | 2.22–2.91 | 1.07–1.78 | 0.34–0.79 |
| Deodar cedar | 2.27–3.04 | 0.81–1.64 | 0.18–0.41 |
| Dawn redwood | 1.91–3.28 | 1.02–1.45 | 0.22–0.67 |
| No. | Tree | Set Rainfall Intensity (mm/h) | Average Actual Rainfall Intensity (mm/h) | Rainfall Uniformity (%) | Rainfall Time (min) |
|---|---|---|---|---|---|
| 1 | Golden Rain Tree | 4 | 4.32 | 90.4 | 180 |
| 2 | 8 | 8.13 | 91.2 | 180 | |
| 3 | 12 | 11.68 | 92.1 | 180 | |
| 4 | 16 | 16.53 | 91.7 | 180 | |
| 5 | London Planetree | 4 | 4.42 | 90.4 | 180 |
| 6 | 8 | 8.31 | 91.2 | 180 | |
| 7 | 12 | 11.18 | 92.1 | 180 | |
| 8 | 16 | 15.79 | 91.5 | 180 | |
| 9 | Japanese zelkova | 4 | 3.48 | 90.2 | 180 |
| 10 | 8 | 8.51 | 91.2 | 180 | |
| 11 | 12 | 12.38 | 92.1 | 180 | |
| 12 | 16 | 16.57 | 91.9 | 180 | |
| 13 | Camphor Tree | 4 | 4.51 | 90.4 | 180 |
| 14 | 8 | 8.23 | 91.2 | 180 | |
| 15 | 12 | 11.68 | 92.1 | 180 | |
| 16 | 16 | 15.33 | 91.1 | 180 | |
| 17 | Japanese blueberry tree | 4 | 4.46 | 90.4 | 180 |
| 18 | 8 | 8.04 | 91.2 | 180 | |
| 19 | 12 | 11.81 | 92.1 | 180 | |
| 20 | 16 | 15.73 | 91.4 | 180 | |
| 21 | Glossy privet | 4 | 4.25 | 90.4 | 180 |
| 22 | 8 | 8.48 | 91.2 | 180 | |
| 23 | 12 | 11.82 | 92.1 | 180 | |
| 24 | 16 | 16.44 | 91.6 | 180 | |
| 25 | Southern magnolia | 4 | 4.28 | 90.4 | 180 |
| 26 | 8 | 8.17 | 91.2 | 180 | |
| 27 | 12 | 12.82 | 92.1 | 180 | |
| 28 | 16 | 16.71 | 94.4 | 180 | |
| 29 | Fragrant tea olive | 4 | 4.24 | 91.2 | 180 |
| 30 | 8 | 8.48 | 92.1 | 180 | |
| 31 | 12 | 11.67 | 90.4 | 180 | |
| 32 | 16 | 16.48 | 91.2 | 180 | |
| 33 | Deodar cedar | 4 | 3.79 | 91.2 | 180 |
| 34 | 8 | 8.11 | 92.1 | 180 | |
| 35 | 12 | 13.01 | 90.4 | 180 | |
| 36 | 16 | 16.17 | 91.2 | 180 | |
| 37 | Dawn redwood | 4 | 4.52 | 92.1 | 180 |
| 38 | 8 | 8.14 | 90.4 | 180 | |
| 39 | 12 | 12.84 | 91.2 | 180 | |
| 40 | 16 | 16.79 | 92.3 | 180 |
| Tree | Pseudo-First-Order | Pseudo-Second-Order | ||||
|---|---|---|---|---|---|---|
| Ie (mm) | k1 | R2 | Ie (mm) | k2 | R2 | |
| Golden Rain Tree | 0.08 | 0.10 | 0.50 | 0.09 | 0.015 | 0.74 |
| London Planetree | 0.04 | 0.18 | 0.44 | 0.05 | 0.053 | 0.76 |
| Japanese zelkova | 0.07 | 0.18 | 0.53 | 0.07 | 0.038 | 0.76 |
| Camphor Tree | 0.09 | 0.16 | 0.56 | 0.10 | 0.023 | 0.77 |
| Japanese blueberry tree | 0.10 | 0.05 | 0.89 | 0.12 | 0.005 | 0.95 |
| Glossy privet | 0.07 | 0.07 | 0.83 | 0.08 | 0.013 | 0.91 |
| Southern magnolia | 0.07 | 0.04 | 0.54 | 0.08 | 0.008 | 0.71 |
| Fragrant tea olive | 0.07 | 0.07 | 0.79 | 0.07 | 0.011 | 0.89 |
| Deodar cedar | 0.32 | 0.30 | 0.30 | 0.34 | 0.017 | 0.74 |
| Dawn redwood | 0.15 | 0.31 | 0.75 | 0.15 | 0.048 | 0.92 |
| Tree | Pseudo-First-Order | Pseudo-Second-Order | ||||
|---|---|---|---|---|---|---|
| Ie (mm) | k1 | R2 | Ie (mm) | k2 | R2 | |
| Golden Rain Tree | 0.15 | 0.15 | 0.38 | 0.16 | 0.012 | 0.66 |
| London Planetree | 0.15 | 0.13 | 0.49 | 0.17 | 0.010 | 0.75 |
| Japanese zelkova | 0.14 | 0.23 | 0.49 | 0.15 | 0.025 | 0.80 |
| Camphor Tree | 0.20 | 0.17 | 0.89 | 0.22 | 0.013 | 0.98 |
| Japanese blueberry tree | 0.12 | 0.12 | 0.66 | 0.13 | 0.012 | 0.87 |
| Glossy privet | 0.16 | 0.11 | 0.54 | 0.18 | 0.008 | 0.80 |
| Southern magnolia | 0.14 | 0.16 | 0.57 | 0.15 | 0.016 | 0.84 |
| Fragrant tea olive | 0.13 | 0.14 | 0.61 | 0.14 | 0.014 | 0.84 |
| Deodar cedar | 0.23 | 0.17 | 0.55 | 0.24 | 0.011 | 0.84 |
| Dawn redwood | 0.21 | 0.10 | 0.72 | 0.23 | 0.006 | 0.90 |
| Tree | Pseudo-First-Order | Pseudo-Second-Order | ||||
|---|---|---|---|---|---|---|
| Ie (mm) | k1 | R2 | Ie (mm) | k2 | R2 | |
| Golden Rain Tree | 0.36 | 0.08 | 0.69 | 0.34 | 0.003 | 0.89 |
| London Planetree | 0.42 | 0.06 | 0.71 | 0.47 | 0.002 | 0.86 |
| Japanese zelkova | 1.05 | 0.10 | 0.66 | 1.16 | 0.001 | 0.87 |
| Camphor Tree | 1.13 | 0.12 | 0.88 | 1.22 | 0.001 | 0.94 |
| Japanese blueberry tree | 0.41 | 0.10 | 0.53 | 0.45 | 0.003 | 0.77 |
| Glossy privet | 0.25 | 0.07 | 0.77 | 0.29 | 0.003 | 0.89 |
| Southern magnolia | 0.35 | 0.08 | 0.67 | 0.44 | 0.002 | 0.90 |
| Fragrant tea olive | 0.34 | 0.11 | 0.64 | 0.37 | 0.004 | 0.86 |
| Deodar cedar | 0.82 | 0.15 | 0.64 | 0.88 | 0.002 | 0.87 |
| Dawn redwood | 0.53 | 0.17 | 0.63 | 0.54 | 0.004 | 0.88 |
Disclaimer/Publisher’s Note: The statements, opinions and data contained in all publications are solely those of the individual author(s) and contributor(s) and not of MDPI and/or the editor(s). MDPI and/or the editor(s) disclaim responsibility for any injury to people or property resulting from any ideas, methods, instructions or products referred to in the content. |
© 2023 by the authors. Licensee MDPI, Basel, Switzerland. This article is an open access article distributed under the terms and conditions of the Creative Commons Attribution (CC BY) license (https://creativecommons.org/licenses/by/4.0/).
Share and Cite
Wang, B.; Zhang, Y.; Guo, J. The Rainwater Interception Process and Capacity of Urban Tree Organs in Shanghai. Atmosphere 2023, 14, 1701. https://doi.org/10.3390/atmos14111701
Wang B, Zhang Y, Guo J. The Rainwater Interception Process and Capacity of Urban Tree Organs in Shanghai. Atmosphere. 2023; 14(11):1701. https://doi.org/10.3390/atmos14111701
Chicago/Turabian StyleWang, Benyao, Yanting Zhang, and Jiankang Guo. 2023. "The Rainwater Interception Process and Capacity of Urban Tree Organs in Shanghai" Atmosphere 14, no. 11: 1701. https://doi.org/10.3390/atmos14111701
APA StyleWang, B., Zhang, Y., & Guo, J. (2023). The Rainwater Interception Process and Capacity of Urban Tree Organs in Shanghai. Atmosphere, 14(11), 1701. https://doi.org/10.3390/atmos14111701

