Canopy Effects on Rainfall Partition and Throughfall Drop Size Distribution in a Tropical Dry Forest
Abstract
1. Introduction
2. Materials and Methods
2.1. Study Area
2.2. Rainfall Monitoring with Disdrometer
2.3. Canopy Development Stages
2.4. Data Analysis
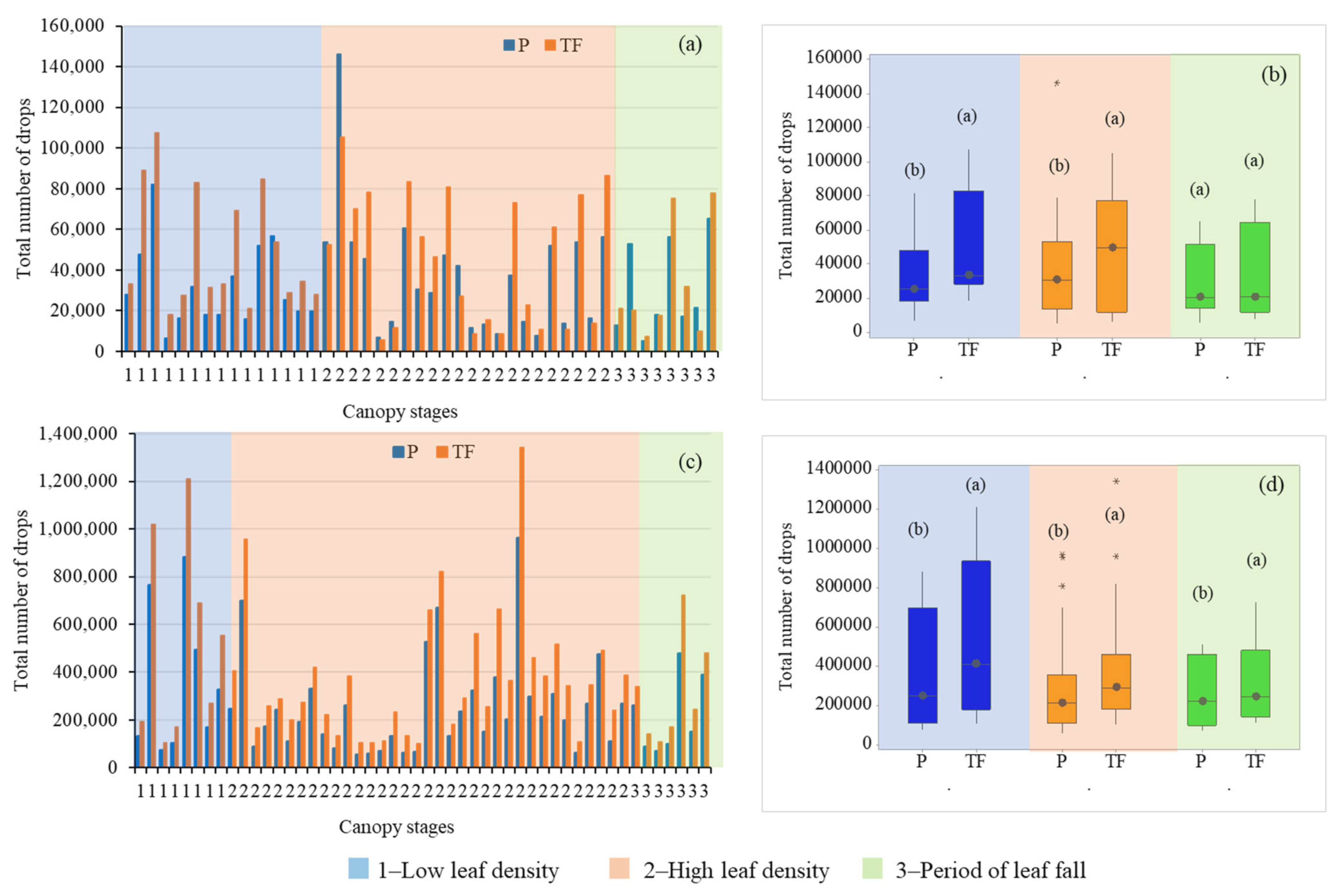
3. Results and Discussion
4. Conclusions
Author Contributions
Funding
Institutional Review Board Statement
Informed Consent Statement
Data Availability Statement
Acknowledgments
Conflicts of Interest
References
- Lüpke, M.; Leuchner, M.; Levia, D.; Nanko, K.; Iida, S.I.; Menzel, A. Characterization of differential throughfall drop size distributions beneath European beech and Norway spruce. Hydrol. Process. 2019, 33, 3391–3406. [Google Scholar] [CrossRef]
- Levia, D.F.; Nanko, K.; Amasaki, H.; Giambelluca, T.W.; Hotta, N.; Iida, S.; Mudd, R.G.; Nullet, M.A.; Sakai, N.; Shinohara, Y.; et al. Throughfall partitioning by trees. Hydrol. Process. 2019, 33, 1698–1708. [Google Scholar] [CrossRef]
- Nanko, K.; Hotta, N.; Suzuki, M. Evaluating the influence of canopy species and meteorological factors on throughfall drop size distribution. J. Hydrol. 2006, 329, 422–431. [Google Scholar] [CrossRef]
- Zabret, K.; Rakovec, J.; Šraj, M. Influence of meteorological variables on rainfall partitioning for deciduous and coniferous tree species in urban area. J. Hydrol. 2018, 558, 29–41. [Google Scholar] [CrossRef]
- Brasil, J.B.; Andrade, E.M.; Palácio, H.A.Q.; Santos, J.C.N.D.; Medeiros, P.H.A. Temporal variability of throughfall as a function of the canopy development stage: From seasonal to intra-event scale. Hydrol. Sci. J. 2020, 65, 1640–1651. [Google Scholar] [CrossRef]
- Crockford, R.H.; Richardson, D.P. Partitioning of rainfall into throughfall, stemflow and interception: Effect of forest type, ground cover and climate. Hydrol. Process. 2000, 14, 2903–2920. [Google Scholar] [CrossRef]
- Van Stan, J.T., II; Friesen, J. Precipitation Partitioning, or to the Surface and Back Again: Historical Overview of the First Process in the Terrestrial Hydrologic Pathway. In Precipitation Partitioning by Vegetation; van Stan, J., II, Gutmann, E., Friesen, J., Eds.; Springer Nature: Cham, Switzerland, 2020. [Google Scholar] [CrossRef]
- Levia, D.F.; Hudson, S.A.; Llorens, P.; Nanko, K. Throughfall drop size distributions: A review and prospectus for future research. WIREs Water 2017, 4, 1225. [Google Scholar] [CrossRef]
- Sadeghi, S.M.M.; Gordon, A.G.; Van Stan, J.T. A Global Synthesis of Throughfall and Stemflow Hydrometeorology. In Precipitation Partitioning by Vegetation: A Global Synthesis; Van Stan, I.J.T., Gutmann, E.D., Friesen, J., Eds.; Springer Nature: Cham, Switzerland, 2020; pp. 49–70. [Google Scholar]
- Frasson, R.P.D.M.; Krajewski, W.F. Characterization of the drop-size distribution and velocity–diameter relation of the throughfall under the maize canopy. Agric. For. Meteorol. 2011, 151, 1244–1251. [Google Scholar] [CrossRef]
- Nanko, K.; Mizugaki, S.; Onda, Y. Estimation of soil splash detachment rates on the forest floor of an unmanaged Japanese cypress plantation based on field measurements of throughfall drop sizes and velocities. CATENA 2008, 72, 348–361. [Google Scholar] [CrossRef]
- Nanko, K.; Onda, Y.; Ito, A.; Moriwaki, H. Spatial variability of throughfall under a single tree: Experimental study of rainfall amount, raindrops, and kinetic energy. Agric. For. Meteorol. 2011, 151, 1173–1182. [Google Scholar] [CrossRef]
- Fathizadeh, O.; Hosseini, S.M.; Zimmermann, A.; Keim, R.F.; Darvishi, B.A. Estimating linkages between forest structural variables and rainfall interception parameters in semi-arid deciduous oak forest stands. Sci. Total Environ. 2017, 601–602, 1824–1837. [Google Scholar] [CrossRef] [PubMed]
- Tanaka, N.; Levia, D.; Igarashi, Y.; Nanko, K.; Yoshifuji, N.; Tanaka, K.; Kumagai, T.O. Throughfall under a teak plantation in Thailand: A multifactorial analysis on the effects of canopy phenology and meteorological conditions. Int. J. Biometeorol. 2014, 59, 1145–1156. [Google Scholar] [CrossRef]
- Mużyło, A.; Llorens, P.; Domingo, F. Rainfall partitioning in a deciduous forest plot in leafed and leafless periods. Ecohydrology 2011, 5, 759–767. [Google Scholar] [CrossRef]
- Sadeghi, S.M.M.; Van Stan, J.T.; Pypker, T.G.; Tamjidi, J.; Friesen, J.; Farahnaklangroudi, M. Importance of transitional leaf states in canopy rainfall partitioning dynamics. Eur. J. For. Res. 2018, 137, 121–130. [Google Scholar] [CrossRef]
- Levia, D.F.; Frost, E.E. Variability of throughfall volume and solute inputs in wooded ecosystems. Prog. Phys. Geogr. Earth Environ. 2006, 30, 605–632. [Google Scholar] [CrossRef]
- Zimmermann, A.; Zimmermann, B. Requirements for throughfall monitoring: The roles of temporal scale and canopy complexity. Agric. For. Meteorol. 2014, 189–190, 125–139. [Google Scholar] [CrossRef]
- Nanko, K.; Watanabe, A.; Hotta, N.; Suzuki, M. Physical interpretation of the difference in drop size distributions of leaf drips among tree species. Agric. For. Meteorol. 2013, 169, 74–84. [Google Scholar] [CrossRef]
- Nanko, K.; Hudson, S.A.; Levia, D.F. Differences in throughfall drop size distributions in the presence and absence of foliage. Hydrol. Sci. J. 2016, 61, 620–627. [Google Scholar] [CrossRef]
- Zabret, K.; Rakovec, J.; Mikoš, M.; Šraj, M. Influence of Raindrop Size Distribution on Throughfall Dynamics under Pine and Birch Trees at the Rainfall Event Level. Atmosphere 2017, 8, 240. [Google Scholar] [CrossRef]
- Brasil, J.B.; de Andrade, E.M.; Palácio, H.A.D.Q.; Medeiros, P.H.A.; dos Santos, J.C.N. Characteristics of precipitation and the process of interception in a seasonally dry tropical forest. J. Hydrol. Reg. Stud. 2018, 19, 307–317. [Google Scholar] [CrossRef]
- Izidio, N.S.C.; Palácio, H.A.Q.; Andrade, E.M.; Araújo Neto, J.R.; Batista, A.A. Interceptação da chuva pela vegetação da caatinga em microbacia no semiárido cearense. Rev. Agro@mbiente On-Line 2013, 7, 44–52. [Google Scholar] [CrossRef][Green Version]
- Queiroz, M.G.; da Silva, T.G.F.; Zolnier, S.; de Souza, C.A.A.; de Souza, L.S.B.; do Nascimento Araújo, G.; de Moura, M.S.B. Partitioning of rainfall in a seasonal dry tropical forest. Ecohydrol. Hydrobiol. 2020, 20, 230–242. [Google Scholar] [CrossRef]
- Lopes, D.D.C.; Neto, A.J.S.; de Queiroz, M.G.; de Souza, L.S.B.; Zolnier, S.; da Silva, T.G.F. Sparse Gash model applied to seasonal dry tropical forest. J. Hydrol. 2020, 590, 125497. [Google Scholar] [CrossRef]
- Medeiros, P.H.A.; de Araújo, J.C.; Bronstert, A. Interception measurements and assessment of Gash model performance for a tropical semiarid region. Rev. Ciência Agronôm. 2009, 40, 165–174. [Google Scholar]
- Köppen, W. Climatologia: Con un Estudio de los Climas de la Tierra; Fondo de Cultura Econômica: México, 1948; pp. 479p. [Google Scholar]
- Guerreiro, M.J.S.; Andrade, E.M.; Abreu, I.; Lajinha, T. Long-term variation of precipitation indices in Ceará State, Northeast Brazil. Int. J. Clim. 2013, 33, 2929–2939. [Google Scholar] [CrossRef]
- Andrade, E.M.; Sena, M.G.T.; Da Silva, A.G.R.; Pereira, F.J.S.; Lopes, F.B. Uncertainties of the rainfall regime in a tropical semi-arid region: The case of the State of Ceará. Rev. Agro@mbiente On-Line 2016, 10, 88–95. [Google Scholar] [CrossRef]
- Campos, D.A.; Andrade, E.M.; Castanho, A.D.; Feitosa, R.C.; Palácio, H.A.Q. Biomass Dynamics in a Fragment of Brazilian Tropical Forest (Caatinga) over Consecutive Dry Years. Appl. Sci. 2020, 10, 7813. [Google Scholar] [CrossRef]
- Scholes, R.J. The Future of Semi-Arid Regions: A Weak Fabric Unravels. Climate 2020, 8, 43. [Google Scholar] [CrossRef]
- Thornthwaite, C.W. An Approach toward a Rational Classification of Climate. Geogr. Rev. 1948, 38, 55–94. [Google Scholar] [CrossRef]
- Guerreiro, M.S.; Andrade, E.M.; Palácio, H.A.Q.; Brasil, J.B.; Ribeiro Filho, J.C. Enhancing Ecosystem Services to Minimize Impact of Climate Variability in a Dry Tropical Forest with Vertisols. Hydrology 2021, 8, 46. [Google Scholar] [CrossRef]
- Andrade, E.M.; Aquino, D.N.; Costa, M.C.G.; Santos, C.L.A.; Almeida, A.M.M. How thinning in a seasonally dry tropical forest contributes towards root biomass, carbon stock and aggregate size in a Vertisol. Rev. Agro@mbiente On-Line 2021, 15. [Google Scholar] [CrossRef]
- Thies Clima. Instructions for Use: Laser Precipitation Monitor 5.4110. xx. x00 V2. 4x STD. Adolph Thies GmbH and Co. 2007, p. 66 p. Available online: https://www.biral.com/wp-content/uploads/2015/01/5.4110.xx_.xxx_.pdf (accessed on 10 May 2022).
- Fernández-Raga, M.; Castro, A.; Palencia, C.; Calvo, A.I.; Fraile, R. Rain events on 22 October 2006 in León (Spain): Drop size spectra. Atmos. Res. 2009, 93, 619–635. [Google Scholar] [CrossRef]
- Fernández-Raga, M.; Fraile, R.; Keizer, J.J.; Teijeiro, M.E.V.; Castro, A.; Palencia, C.; Marques, R.L.D.C. The kinetic energy of rain measured with an optical disdrometer: An application to splash erosion. Atmos. Res. 2010, 96, 225–240. [Google Scholar] [CrossRef]
- Angulo-Martínez, M.; Beguería, S.; Kyselý, J. Use of disdrometer data to evaluate the relationship of rainfall kinetic energy and intensity (KE-I). Sci. Total Environ. 2016, 568, 83–94. [Google Scholar] [CrossRef] [PubMed]
- Brasil, J.B.; Guerreiro, M.S.; Andrade, E.M.; Palácio, H.A.Q.; Medeiros, P.H.A.; Ribeiro Filho, J.C. Minimum Rainfall Inter-Event Time to Separate Rainfall Events in a Low Latitude Semi-Arid Environment. Sustainability 2022, 14, 1721. [Google Scholar] [CrossRef]
- Pinos, J.; Latron, J.; Nanko, K.; Levia, D.F.; Llorens, P. Throughfall isotopic composition in relation to drop size at the intra-event scale in a Mediterranean Scots pine stand. Hydrol. Earth Syst. Sci. 2020, 24, 4675–4690. [Google Scholar] [CrossRef]
- Almeida, C.L.; Carvalho, T.R.A.; Araújo, J.C. Leaf area index of Caatinga biome and its relationship with hydrological and spectral variables. Agric. For. Meteorol. 2019, 279, 107705. [Google Scholar] [CrossRef]
- Campos, D.A.; De Andrade, E.M. Seasonal trend of climate variables in an area of the Caatinga phytogeographic domain. Rev. Agro@mbiente On-Line 2021, 15. [Google Scholar] [CrossRef]
- Andrade, E.M.D.; Rodrigues, R.D.N.; Palácio, H.A.D.Q.; Brasil, J.B.; Guerreiro, M.J.S. Hydrological behaviour of vertisols in the Brazilian semi-arid region: The importance of rainfall of less than 30 mm. Rev. Ciência Agronôm. 2020, 51, 29. [Google Scholar] [CrossRef]
- Schou, W.C.; Forster, W.A.; Mercer, G.N.; Teske, M.E.; Thistle, H.W. Building Canopy Retention into AGDISP: Preliminary Models and Results. Trans. ASABE 2012, 55, 2059–2066. [Google Scholar] [CrossRef]
- Tadros, T.F. Interactions at interfaces and effects on transfer and performance. Aspects Appl. Biol. 1987, 14, 1–22. [Google Scholar]
- Jiang, Z.-Y.; Zhi, Q.-Y.; Van Stan, J.T.; Zhang, S.-Y.; Xiao, Y.-H.; Chen, X.-Y.; Yang, X.; Zhou, H.-Y.; Hu, Z.-M.; Wu, H.-W. Rainfall partitioning and associated chemical alteration in three subtropical urban tree species. J. Hydrol. 2021, 603, 127109. [Google Scholar] [CrossRef]
- Toba, T.; Ohta, T. An observational study of the factors that influence interception loss in boreal and temperate forests. J. Hydrol. 2005, 313, 208–220. [Google Scholar] [CrossRef]








| Class | D (mm) | ACD (mm) | PV (m/s) | APS (m/s) |
|---|---|---|---|---|
| 1 | ≥0.125 | 0.1875 | ≥0.000 | 0.652 |
| 2 | ≥0.250 | 0.3125 | ≥0.200 | 1.212 |
| 3 | ≥0.375 | 0.4375 | ≥0.400 | 1.779 |
| 4 | ≥0.500 | 0.6250 | ≥0.600 | 2.595 |
| 5 | ≥0.750 | 0.8750 | ≥0.800 | 3.567 |
| 6 | ≥1.000 | 1.1250 | ≥1.000 | 4.394 |
| 7 | ≥1.250 | 1.3750 | ≥1.400 | 5.101 |
| 8 | ≥1.500 | 1.6250 | ≥1.800 | 5.718 |
| 9 | ≥1.750 | 1.8750 | ≥2.200 | 6.267 |
| 10 | ≥2.000 | 2.2500 | ≥2.600 | 6.986 |
| 11 | ≥2.500 | 2.7500 | ≥3.000 | 7.759 |
| 12 | ≥3.000 | 3.2500 | ≥3.400 | 8.318 |
| 13 | ≥3.500 | 3.7500 | ≥4.200 | 8.693 |
| 14 | ≥4.000 | 4.2500 | ≥5.000 | 8.930 |
| 15 | ≥4.500 | 4.7500 | ≥5.800 | 9.061 |
| 16 | ≥5.000 | 5.2500 | ≥6.600 | 9.123 |
| 17 | ≥5.500 | 5.7500 | ≥7.400 | 9.170 |
| 18 | ≥6.000 | 6.2500 | ≥8.200 | 9.212 |
| 19 | ≥6.500 | 6.7500 | ≥9.000 | 9.249 |
| 20 | ≥7.000 | 7.2500 | ≥10.000 | - |
| 21 | ≥7.500 | 7.7500 | ||
| 22 | ≥8.000 | - |
| Period | Dec | Jan | Feb | Mar | Apr | May | Jun |
|---|---|---|---|---|---|---|---|
| Canopy stages | Low leaf Density | High leaf density | Period of leaf fall | ||||
| Total P ≤ 5 mm | 37.9 mm | 52.6 mm | 15.0 mm | ||||
| Number of events | 15 | 22 | 8 | ||||
| Total P > 5 mm | 248.9 mm | 779.9 mm | 114.6 mm | ||||
| Number of events | 8 | 35 | 7 | ||||
| All Events | ||||||||
|---|---|---|---|---|---|---|---|---|
| Variables | Number of Events | Mean | SD | Min | Max | Q1—25 | Q2—50 | Q3—75 |
| P (mm) | 95 | 13.15 | 19.83 | 0.42 | 116.7 | 1.76 | 5.36 | 16.73 |
| Classes of rainfall | ||||||||
| P ≤ 5 mm | 45 | 2.34 | 1.46 | 0.42 | 4.98 | 1.17 | 1.7 | 3.62 |
| P > 5 mm | 50 | 22.87 | 23.45 | 5.27 | 116.7 | 9.12 | 15.7 | 23.8 |
| Canopy stages | P ≤ 5 mm | P > 5 mm | ||||||
| SD | CV | SD | CV | |||||
| Low leaf density | 1.42 | 0.56 | 29.7 | 0.95 | ||||
| High leaf density | 1.47 | 0.63 | 25.07 | 1.01 | ||||
| Period of leaf fall | 1.27 | 0.78 | 12.92 | 0.64 | ||||
| Canopy Stages | Throughfall Duration (min) | |
|---|---|---|
| P ≤ 5 mm | P > 5 mm | |
| Low leaf density | 7.50 | 16.71 |
| High leaf density | 8.76 | 17.74 |
| Period of leaf fall | 15.50 | 7.80 |
| Mean for the period | 10.59 | 14.09 |
Publisher’s Note: MDPI stays neutral with regard to jurisdictional claims in published maps and institutional affiliations. |
© 2022 by the authors. Licensee MDPI, Basel, Switzerland. This article is an open access article distributed under the terms and conditions of the Creative Commons Attribution (CC BY) license (https://creativecommons.org/licenses/by/4.0/).
Share and Cite
Brasil, J.B.; Andrade, E.M.d.; Araújo de Queiroz Palácio, H.; Fernández-Raga, M.; Carvalho Ribeiro Filho, J.; Medeiros, P.H.A.; Guerreiro, M.S. Canopy Effects on Rainfall Partition and Throughfall Drop Size Distribution in a Tropical Dry Forest. Atmosphere 2022, 13, 1126. https://doi.org/10.3390/atmos13071126
Brasil JB, Andrade EMd, Araújo de Queiroz Palácio H, Fernández-Raga M, Carvalho Ribeiro Filho J, Medeiros PHA, Guerreiro MS. Canopy Effects on Rainfall Partition and Throughfall Drop Size Distribution in a Tropical Dry Forest. Atmosphere. 2022; 13(7):1126. https://doi.org/10.3390/atmos13071126
Chicago/Turabian StyleBrasil, José Bandeira, Eunice Maia de Andrade, Helba Araújo de Queiroz Palácio, María Fernández-Raga, Jacques Carvalho Ribeiro Filho, Pedro Henrique Augusto Medeiros, and Maria Simas Guerreiro. 2022. "Canopy Effects on Rainfall Partition and Throughfall Drop Size Distribution in a Tropical Dry Forest" Atmosphere 13, no. 7: 1126. https://doi.org/10.3390/atmos13071126
APA StyleBrasil, J. B., Andrade, E. M. d., Araújo de Queiroz Palácio, H., Fernández-Raga, M., Carvalho Ribeiro Filho, J., Medeiros, P. H. A., & Guerreiro, M. S. (2022). Canopy Effects on Rainfall Partition and Throughfall Drop Size Distribution in a Tropical Dry Forest. Atmosphere, 13(7), 1126. https://doi.org/10.3390/atmos13071126

