Abstract
Effective density (ρe) is universally used in atmospheric science as an alternative measure of the density (ρ) of aerosol particles, and its definitions can be expressed in terms of the particle mass (mp), ρ, mobility diameter (Dm), vacuum aerodynamic diameter (Dva), and dynamic shape factor (χ), as ρeI = 6mp/(π∙Dm3), ρeII = ρ/χ, and ρeIII = Dva/Dm. However, the theoretical foundation of these three definitions of ρe is still poorly understood before their application. Here, we explore the relationship between ρe and aerosol size through theoretical calculation. This study finds, for the first time, that ρeI and ρeIII inherently decrease with increasing size for aspherical particles with a fixed ρ and χ. We further elucidate that these inherent decreasing tendencies are governed by χ, and the ratio of the Cunningham Slip Correction Factor of the volume-equivalent diameter to that of the mobility diameter (Cc(Dve)/Cc(Dm)), but not by ρ. Taking the variable χ into consideration, the relationships of ρeI and ρeIII to particle size become more complicated, which suggests that the values of ρeI and ρeIII have little indication of the size-resolved physicochemical properties of particles. On the contrary, ρeII is independent on size for fixed χ and ρ, which indicates that the change in ρeII with size can better indicate the change in morphology and the transformation of the chemical compositions of particles. Our new insights into the essence of three ρes provide an accurate and crucial theoretical foundation for their application.
1. Introduction
Atmospheric particles play an important role in air quality, human health, and global climate change, which strongly depend on their chemical and physical properties [1,2]. Effective density (ρe), one of the physical quantities, has been widely adopted in the characterization of the properties of aerosols as an alternative measure of density (ρ) [3,4]. ρe can serve as a link between the important characteristics of aerosol particles, such as volume-equivalent diameter (Dve) and aerodynamic diameter (Da) (presented in Appendix A—Table A1) [5], and as a tracer for new particle formation [6,7] and the atmospheric ageing processes [8]. Moreover, ρe can also provide an insight into particle morphology [9].
Due to differences in measurement methods, three effective densities are defined in atmospheric science, which are systematically reviewed in the work of DeCarlo, et al. [10]. The first definition (ρeI) describes ρe as the ratio of the particle mass (mp) to the apparent volume, calculated assuming a spherical particle with a diameter equal to the measured mobility diameter (Dm) (presented in Appendix A—Table A1) [10]:
where mp is equal to 1/6 π∙ρ∙Dve3. Dm is related to Dve, as shown in Equation (2):
where χ is the dynamic shape factor and Cc(D) represents the Cunningham Slip Correction Factor, which is calculated by Equation (3):
where λ is the mean free path of the gas molecules, and A, B and C are empirically determined constants specific to the analysis system. Substituting Equation (2) into Equation (1) results in the final form of ρeI, as shown in Equation (4):
The second definition (ρeII) is the ratio of ρ to χ [11]:
The third definition (ρeIII) is the ratio of vacuum aerodynamic diameter (Dva) (presented in Appendix A) and Dm:
where ρ0 represents the standard density of 1.0 g/cm3 [10]. Dva also depends on Dve:
Combining the Equations (2), (6), and (7) obtains the final form of ρeIII, as shown in Equation (8) [12].
For spherical particles, three ρes are equal to their ρ. For aspherical particles, the three definitions of ρe should not yield the same numerical values, because they capture slightly different particle properties [10].
Based on the three definitions of effective density, copious studies have measured the values of aerosol effective density using different methods [13]. Hitherto, ρeI is the most widely used definition in atmospheric science, because it can be measured using a variety of simple methods [13], such as the setup of a differential mobility analyzer (DMA), centrifugal particle mass analyzer (CPMA), condensation particle counter (CPC) [14], and DMA single-particle soot photometer (SP2) [15]. Although ρeIII can be measured using the tandem setup of a DMA—mass spectrometer [16] and the parallel setup of a scanning mobility particle spectrometer (SMPS) and aerosol mass spectrometer (AMS) [17], there are not many studies using the values of this definition to characterize aerosol properties [18,19,20]. Worse than ρeIII, until recently, there was no method to measure the value of ρeII of an aspherical particle. However, Peng et al. filled this gap by developing a new method of combining an aerodynamic aerosol classifier (AAC) with single-particle aerosol mass spectrometry (SPAMS) [21]. By using the established methods, previous studies measured the size-resolved ρe to indicate the change in morphology and/or the transformation of the chemical compositions of particles. Some studies reported ρe decreasing with an increase in particle size [22,23,24,25,26,27], while the other studies found ρe to be independent of [28] or to increase [7] with particle size. These studies ascribed such discrepancies among the particles with different sizes to different voids [24,26], χ [23,25], morphology [4], chemical composition [8], and/or atmospheric processes [29,30]. However, the inherent relationship between the three definitions of ρe and the particle size were not understood before their application in these studies.
In this study, we focus on the theoretical calculation of ρe to probe the inherent relationship between ρe and the particle size for the three definitions of ρe, and to explore the factors resulting in their inherent relationship.
2. Materials and Methods
Table 1 presents the set values of ρ, χ, and Dm for Y and Z particles, which were used as surrogate particles in this study. ρeI, ρeII and ρeIII for these particles, with a Dm of 40 nm, 80 nm, 150 nm, 250 nm, 350 nm, 450 nm, and 550 nm, were calculated using the values of ρ, χ, and Cc(D). Although Zieger, et al. [31] found that the χ of NaCl depends on particle size, which suggests that χ varies with particle size, we first assumed particles with a fixed χ value in the calculation, to facilitate probing the essential relationship between the three ρes and particle size. In this study, the effect of variable χ on the relationship between ρe and size is discussed.
Table 1.
Information (ρ, χ, and Dm) for calculating the three ρe for particles of Y and Z.
3. Results and Discussions
3.1. The Decrease in ρeI and ρeIII with Particle Size for Aspherical Particles
Figure 1a,b presents the values of ρeI and ρeIII for the Y and Z particles, respectively, which show that ρeI and ρeIII decrease as the size increases for aspherical particles with fixed ρ and χ. This result highlights, for the first time, the correlation of ρeI and ρeIII with particle size through theoretical analysis. However, the inherent dependency of ρeI and ρeIII on particle size was not considered in previous studies [17,20,32,33,34,35,36]. This omission raises concerns regarding the measurement technologies for ρeI and ρeIII and the results of the morphology, voids, and atmospheric processes of the particles.
Figure 1.
(a) The size variations of ρeI and ρeIII for the Y particles. The change in color from red to grey represents the increase in density from 1.0 to 3.4 g/cm3; (b) The size variations of ρeI and ρeIII for the Z particles. The change in color from red to purple represents the increase in dynamic shape factor from 1.05 to 2.50.
We take a closer look at the studies that adopted ρeI and ρeIII. Previous studies established the methods of ρeI through the measurement of Dm and Da, and of ρeIII through the measurement of Dm and Dva. ρeI and ρeIII were determined by fitting the size distributions of Dm and Da in a narrow-overlap size range [32,33,34,35] or using the peak diameters of Dm and Dva [17,20], respectively. If the studies applied these methods to measure the size distributions of the particles with a ρ of 1.8 g/cm3 and a χ of 2.5, it would result in one value to characterize ρeI and ρeIII. However, this is inconsistent with the theoretical calculation in this study, which finds that the effective density of these particles ranges from 0.43 g/cm3 at 40 nm to 0.22 g/cm3 at 550 nm for ρeI, and from 0.45 g/cm3 at 40 nm to 0.36 g/cm3 at 550 nm for ρeIII, respectively (Figure 1b). This suggests that using specific values for ρeI and ρeIII to represent the whole measured size range needs to be reevaluated in future studies.
Park, et al. [22] found, for the first time, that the ρeI of diesel particles decreases as particle size increases. Since then, dozens of studies have shown that the ρeI and ρeIII of the primary particles, such as particles from vehicles [36,37] and biomass burning [19,38,39,40], exhibited a similar trend with particle size. These studies attributed this phenomenon to the increasing χ [23,25] and more voids [24,26] with a large Dm. However, we obtained the size-resolved ρeI and ρeIII for soot with fixed χ and found that the effective density still decreases with the increasing particle size, even without the increase in the voids. Therefore, it is somewhat arbitrary to conclude that larger particles have a larger χ and more voids based only on the measurements of ρeI and ρeIII with different particle sizes.
The values of ρeI and ρeIII are generally used to indicate the aging process of particles in the atmosphere [8,41,42,43]. The atmospheric aging processes would change the size of the particles and, consequently, influence ρeI and ρeIII, based on our theoretical calculation. Therefore, the change in ρeI and ρeIII due to aging processes might be biased if the essence of ρeI and ρeIII with particle size is not considered.
3.2. The Factors That Cause the Decrease in ρeI and ρeIII with Particle Size
According to Equations (4) and (8), ρeI and ρeIII are a function of ρ, χ, and Cc(Dve)/Cc(Dm), so the three factors were evaluated for the decrease in ρeI and ρeIII with particle size. ρ was evaluated by Y particles with fixed χ but with the variable ρ. Figure 1a shows the variations of ρeI and ρeIII of the Y particles. The values of ρeI and ρeIII decrease monotonically with Dm, and ρeI decreases more rapidly than ρeIII. Correspondingly, Figure 2a shows the Δρ (ρe,40nm − ρe,550nm) and R ((ρe,40nm − ρe,550nm)/ρe,550nm) of ρeI and ρeIII of the Y particles as a function of ρ. Obviously, Δρ is proportional to ρ and the slope of ρeI is greater than that of ρeIII, which is a result of the larger coefficient between ρeI and ρ ((Cc(Dve)/Cc(Dm))3/χ3) (as shown in Equation (4)) than between ρeIII and ρ (Cc(Dve)/Cc(Dm)/χ2) (as shown in Equation (8)). In particular, ρeI and ρeIII have constant R ((ρe,40nm − ρe,550nm)/ρe,550nm) values of 68.0% and 18.9%, respectively. These findings lead to the conclusion that ρ determines the values of ρeI and ρeIII, but does not affect the relationship of ρeI and ρeIII with the particle size.
Figure 2.
(a) Δρ (=ρe,40nm − ρe,550nm) and R (=Δρ/ρe,550nm) of ρeI and ρeIII for the Y particles with different ρ; (b) Δρ (=ρe,40nm − ρe,550nm) and R (=Δρ/ρe,550nm) of ρeI and ρeIII for the Z particles with different χ. Red and blue lines represent Δρ and R, respectively.
To explore the effects of χ on the decrease in ρeI and ρeIII with particle size, the ρeI and ρeIII of the series of Z particles with a fixed ρ but the variable χ are calculated and presented in Figure 1b. For particles with one value of Dm, ρeI and ρeIII decrease with increasing χ. For χ > 1.00, ρeI and ρeIII decrease with increasing Dm. Figure 2b shows Δρ (ρe,40nm − ρe,550nm) and R (Δρ/ρe,550nm) of ρeI and ρeIII of the Z particles. Δρ increases from 0.07 to 0.26 g/cm3 for ρeI and from 0.02 to 0.10 g/cm3 for ρeIII, as χ increases from 1.05 to 1.60. Then, Δρ decreases from 0.26 g/cm3 to 0.21 g/cm3 for ρeI and from 0.10 g/cm3 to 0.09 g/cm3 for ρeIII, as χ increases from 1.60 to 2.50. Additionally, R increases from 4.2% to 92.1% for ρeI, and increases from 1.4% to 24.3% for ρeIII, as χ increases from 1.05 to 2.50. This implies that χ plays a key role in the values of ρeI and ρeIII and their dependence on particle size.
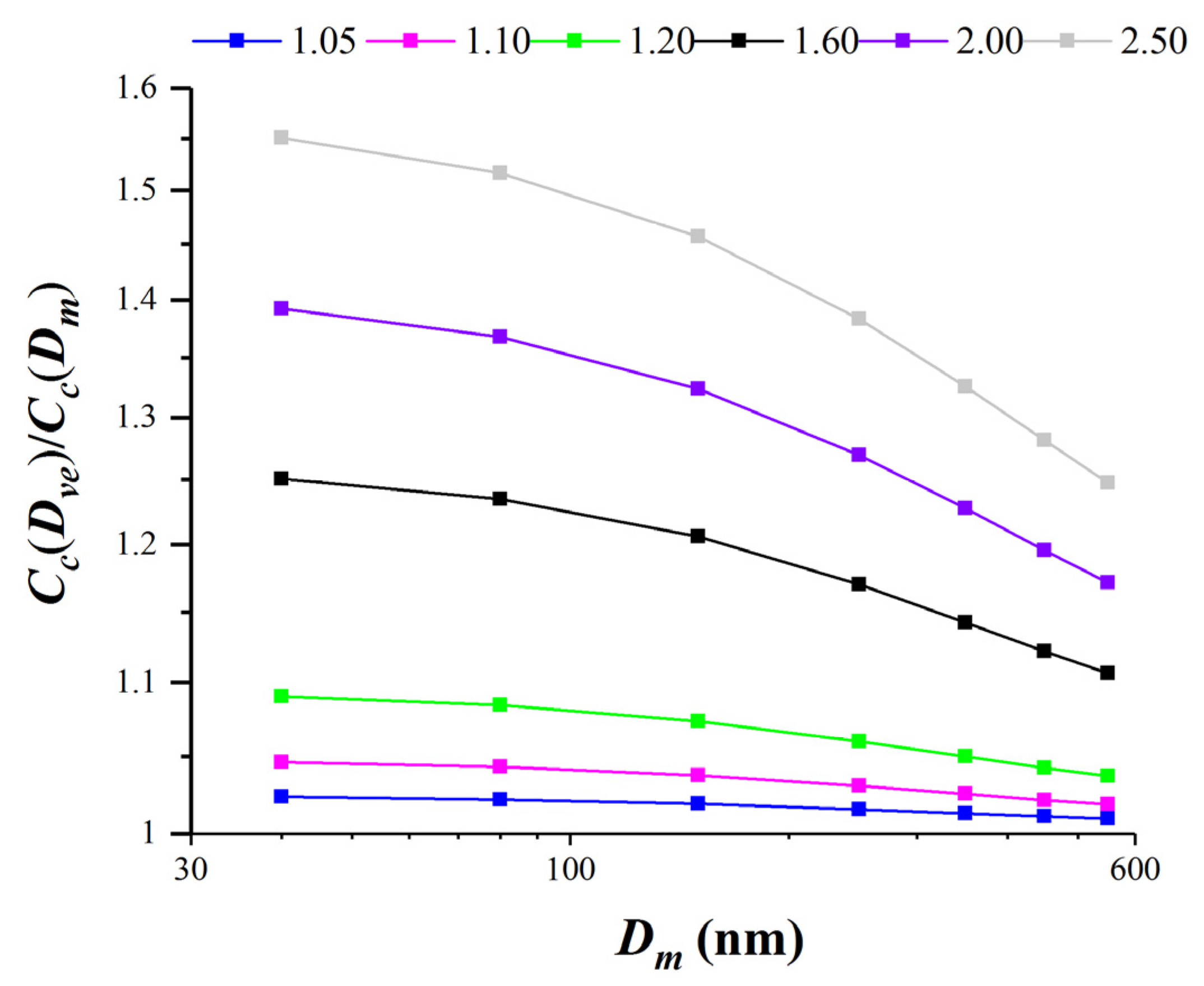
ρeI and ρeIII for the aspherical particles with fixed ρ and χ, however, still depend on Dm, suggesting that Cc(Dve)/Cc(Dm) is responsible for the dependency. Figure 3 shows the relationship between Cc(Dve)/Cc(Dm) and particle size for the Z particles with a ρ of 1.80 g/cm3 and a χ ranging from 1.05 to 2.50. It can be seen that Cc(Dve)/Cc(Dm) is greater than 1 in the size range of 40–550 nm, and decreases slightly from 1.02 to 1.01 (0.9%), 1.05 to 1.02 (2.9%), and 1.09 to 1.04 (4.8%) for the particles with a χ of 1.05, 1.10, and 1.20, respectively. The values of Cc(Dve)/Cc(Dm) have an evident downward trend, decreasing from 1.25 to 1.11 (12.6%), 1.39 to 1.17 (18.8%), and 1.55 to 1.25 (24.0%) for the particles with a χ of 1.60, 2.00 and 2.50, respectively. Obviously, when χ is larger, Cc(Dve)/Cc(Dm) decreases more rapidly with Dm.
Figure 3.
The relationship between the Cc(Dve)/Cc(Dm) and Dm for the Z particles with fixed ρ of 1.80 g/cm3 and different χ values of 1.05, 1.10,1.20, 1.60, 2.00, and 2.50, which are represented by different colors.
In this study, through the exploitation of the final forms of ρeI and ρeIII (i.e., Equations (4) and (8)), we discover that ρeI is proportional to (Cc(Dve)/Cc(Dm))3, and ρeIII is proportional to Cc(Dve)/Cc(Dm). Cc(Dve)/Cc(Dm) decreases as Dm increases (Figure 3), and therefore, ρeI and ρeIII also definitely decrease as Dm increases. The role of χ on Cc(Dve)/Cc(Dm) also explains why χ determines the downward trends of ρeI and ρeIII (Figure 2b). Furthermore, the cube value of Cc(Dve)/Cc(Dm) is greater than itself because it is greater than 1, which inevitably causes a faster downward trend of ρeI with Dm than that of ρeIII. Generally, the values of χ and Cc(Dve) are unknown when using effective density to substitute for density; therefore, the downward trends of ρeI and ρeIII cannot be corrected in their application.
ρeI and ρeIII inherently decrease with the increasing size of aspherical particles, indicating that aerosols of one substance have a series of values of ρeI and ρeIII, because aerosols have a wide size distribution. For example, particles with a ρ of 1.80 g/cm3 and χ of 2.50 obtain ρeI and ρeIII values of 0.43 g/cm3 and 0.45 g/cm3 at 40 nm, and of 0.22 g/cm3 and 0.36 g/cm3 at 550 nm, respectively. A series of values makes the physical quantities of ρeI and ρeIII undistinguishable and blurs their physical meaning, which is totally inconsistent with the values of density.
3.3. The Independent Relationship between ρeII and Particle Size
Figure 4 presents the ρeII of Y and Z particles, showing that ρeII only has one value in the entire range of sizes and that it is independent of particle size. This independent tendency is consistent with the characteristics of ρ. Therefore, it is more reasonable to use ρeII as the alternative measure of density. The relationship between ρe and size is generally used to indicate the change in morphology and/or the transformation of the chemical compositions of particles. According to the new understanding of the relationship between the three effective densities and particle size from this study, Table 2 presents the relationship between the trends of effective density with size, and that of χ and ρ with size. When ρeI and ρeIII decrease with the increasing size of aspherical particles, they may be determined by the increase or invariability of χ for particles with a fixed ρ, and the decrease or the invariability of ρ for particles with a fixed χ. Even for the same physical quantity (e.g., χ, ρ), the change could result in the same trend of ρeI and ρeIII with the particle size. In addition, it is worth noting that χ may change with particle size irregularly, [31] which will render the relationship of ρeI and ρeIII with size more complicated. The above discussion suggests that the size-resolved ρeI and ρeIII actually have no ability to indicate the relationship of χ and ρ with size. On the contrary, the increase, invariability, and decrease in ρeII with the increasing size of aspherical particles specifically indicate the decrease in χ and/or the increase in ρ, the invariability of χ and/or ρ, and the increase in χ and/or the decrease in ρ, respectively. This comparison implies that ρeII is a better indicator for the change in morphology and the transformation of the chemical compositions of particles. Therefore, it is recommended to apply ρeII as an alternative measure of ρ in studies involving particle sizes in atmospheric science.
Figure 4.
(a) The size-resolved ρeII for the Y particles with ρ from 1.0 to 3.4 g/cm3, which are represented by the change in line color from red to grey; (b) The size-resolved ρeII for the Z particles with a χ from 1.05 to 2.50, which are represented by the change in line color from red to purple.
Table 2.
The trends of ρeI, ρeII, and ρeIII with size of aspherical particles as χ (a) and ρ (b) change.
4. Conclusions
This study forms a comprehensive theoretical analysis for the three definitions of effective density. ρeII is found to be independent of particle size, while ρeI and ρeIII decrease as the size of aspherical particles increases; these are determined by χ and Cc(Dve)/Cc(Dm), but not ρ, which suggests that the relationship between size and the definitions of ρeI and ρeIII gives little indication of the size-resolved physicochemical properties of the particle. Compared to ρeI and ρeIII, the values of ρeII are better for indicating the change in morphology and the transformation of chemical compositions; thus, the definition of ρeII is recommended as a more proper alternative measure of ρ in studies involving particle sizes in atmospheric science. These results lay a sound theoretical foundation for the three effective densities, which will help with their accurate application in the future studies.
Author Contributions
L.P. designed the research, performed the theoretical analysis, and wrote the manuscript. All co-authors discussed the results and commented on the manuscript. All authors have read and agreed to the published version of the manuscript.
Funding
This research was supported by the National Natural Science Foundation of China (Nos. 42105102 and 41977178); the Guangdong Foundation for Program of Science and Technology Research (Grant No. 2017B030314057); the Guangdong Provincial Key Laboratory of Environmental Protection and Resources Utilization Open Fund (KLEPRU-201809); and the Guangdong Innovative and Entrepreneurial Research Team Program (research team on atmospheric environmental roles and effects of carbonaceous species: 2016ZT06N263).
Institutional Review Board Statement
Not applicable.
Informed Consent Statement
Not applicable.
Data Availability Statement
The datasets generated and analyzed during the current study are not publicly available but are available from the corresponding author on reasonable request.
Acknowledgments
The authors appreciate the comments and encouragement given by the reviewers, editor, and associate editor.
Conflicts of Interest
The authors declare that they have no conflicts of interest.
Appendix A
Table A1.
Introductions of the diameters used in this paper.
Table A1.
Introductions of the diameters used in this paper.
| Symbol | Definition | Derivation | Example of Measurement Instrument |
|---|---|---|---|
| Da | Aerodynamic diameter is defined as the diameter of a sphere with standard density that settles at the same terminal velocity as the particle of interest. | Aerodynamic Aerosol Classifier (AAC) | |
| Dva | In the free-molecular regime, the aerodynamic diameter is called the vacuum aerodynamic diameter. | Single-Particle Aerosol Mass Spectrometry (SPAMS) | |
| Dm | Mobility diameter is defined as the diameter of a sphere with the same migration velocity in a constant electric field as the particle of interest. | Differential Mobility Analyzer (DMA) | |
| Dve | Volume-equivalent diameter is defined as the diameter of a spherical particle of the same volume as the particle under consideration. | AAC-SPAMS |
References
- Buseck, P.R.; Posfai, M. Airborne minerals and related aerosol particles: Effects on climate and the environment. Proc. Natl. Acad. Sci. USA 1999, 96, 3372–3379. [Google Scholar] [CrossRef]
- Poschl, U. Atmospheric aerosols: Composition, transformation, climate and health effects. Angew. Chem. Int. Ed. 2005, 44, 7520–7540. [Google Scholar] [CrossRef]
- Katrib, Y.; Martin, S.T.; Rudich, Y.; Davidovits, P.; Jayne, J.T.; Worsnop, D.R. Density changes of aerosol particles as a result of chemical reaction. Atmos. Chem. Phys. 2005, 5, 275–291. [Google Scholar] [CrossRef]
- Sumlin, B.J.; Oxford, C.R.; Seo, B.; Pattison, R.R.; Williams, B.J.; Chakrabarty, R.K. Density and Homogeneous Internal Composition of Primary Brown Carbon Aerosol. Environ. Sci. Technol. 2018, 52, 3982–3989. [Google Scholar] [CrossRef]
- Nosko, O.; Olofsson, U. Effective density of airborne wear particles from car brake materials. J. Aerosol Sci. 2017, 107, 94–106. [Google Scholar] [CrossRef]
- Guo, S.; Hu, M.; Zamora, M.L.; Peng, J.; Shang, D.; Zheng, J.; Du, Z.; Wu, Z.; Shao, M.; Zeng, L.; et al. Elucidating severe urban haze formation in China. Proc. Natl. Acad. Sci. USA 2014, 111, 17373–17378. [Google Scholar] [CrossRef]
- Yin, Z.; Ye, X.; Jiang, S.; Tao, Y.; Shi, Y.; Yang, X.; Chen, J. Size-resolved effective density of urban aerosols in Shanghai. Atmos. Environ. 2015, 100, 133–140. [Google Scholar] [CrossRef]
- Liu, Z.; Hu, B.; Ji, D.; Wang, Y.; Wang, M.; Wang, Y. Diurnal and seasonal variation of the PM2.5 apparent particle density in Beijing, China. Atmos. Environ. 2015, 120, 328–338. [Google Scholar] [CrossRef]
- Yon, J.; Bescond, A.; Ouf, F.X. A simple semi-empirical model for effective density measurements of fractal aggregates. J. Aerosol Sci. 2015, 87, 28–37. [Google Scholar] [CrossRef]
- DeCarlo, P.F.; Slowik, J.G.; Worsnop, D.R.; Davidovits, P.; Jimenez, J.L. Particle morphology and density characterization by combined mobility and aerodynamic diameter measurements. Part 1: Theory. Aerosol Sci. Technol. 2004, 38, 1185–1205. [Google Scholar] [CrossRef]
- Hand, J.L.; Kreidenweis, S.M. A new method for retrieving particle refractive index and effective density from aerosol size distribution data. Aerosol Sci. Technol. 2002, 36, 1012–1026. [Google Scholar] [CrossRef]
- Schneider, J.; Weimer, S.; Drewnick, F.; Borrmann, S.; Helas, G.; Gwaze, P.; Schmid, O.; Andreae, M.O.; Kirchner, U. Mass spectrometric analysis and aerodynamic properties of various types of combustion-related aerosol particles. Int. J. Mass Spectrom. 2006, 258, 37–49. [Google Scholar] [CrossRef]
- Peng, L.; Li, Z.; Zhang, G.; Bi, X.; Hu, W.; Tang, M.; Wang, X.; Peng, P.; Sheng, G. A review of measurement techniques for aerosol effective density. Sci. Total Environ. 2021, 778, 146248. [Google Scholar] [CrossRef]
- Schnitzler, E.G.; Dutt, A.; Charbonneau, A.M.; Olfert, J.S.; Jaeger, W. Soot Aggregate Restructuring Due to Coatings of Secondary Organic Aerosol Derived from Aromatic Precursors. Environ. Sci. Technol. 2014, 48, 14309–14316. [Google Scholar] [CrossRef]
- Wu, Y.F.; Xia, Y.J.; Huang, R.J.; Deng, Z.Z.; Tian, P.; Xia, X.G.; Zhang, R.J. A study of the morphology and effective density of externally mixed black carbon aerosols in ambient air using a size-resolved single-particle soot photometer (SP2). Atmos. Meas. Tech. 2019, 12, 4347–4359. [Google Scholar] [CrossRef]
- Spencer, M.T.; Prather, K.A. Using ATOFMS to determine OC/EC mass fractions in particles. Aerosol Sci. Technol. 2006, 40, 585–594. [Google Scholar] [CrossRef][Green Version]
- Bahreini, R.; Keywood, M.D.; Ng, N.L.; Varutbangkul, V.; Gao, S.; Flagan, R.C.; Seinfeld, J.H.; Worsnop, D.R.; Jimenez, J.L. Measurements of Secondary Organic Aerosol from Oxidation of Cycloalkenes, Terpenes, and m-Xylene Using an Aerodyne Aerosol Mass Spectrometer. Environ. Sci. Technol. 2005, 39, 5674–5688. [Google Scholar] [CrossRef]
- Spencer, M.T.; Shields, L.G.; Prather, K.A. Simultaneous measurement of the effective density and chemical composition of ambient aerosol particles. Environ. Sci. Technol. 2007, 41, 1303–1309. [Google Scholar] [CrossRef]
- Zhai, J.H.; Lu, X.H.; Li, L.; Zhang, Q.; Zhang, C.; Chen, H.; Yang, X.; Chen, J.M. Size-resolved chemical composition, effective density, and optical properties of biomass burning particles. Atmos. Chem. Phys. 2017, 17, 7481–7493. [Google Scholar] [CrossRef]
- Murphy, S.M.; Agrawal, H.; Sorooshian, A.; Padro, L.T.; Gates, H.; Hersey, S.; Welch, W.A.; Jung, H.; Miller, J.W.; Cocker, D.R.; et al. Comprehensive Simultaneous Shipboard and Airborne Characterization of Exhaust from a Modern Container Ship at Sea. Environ. Sci. Technol. 2009, 43, 4626–4640. [Google Scholar] [CrossRef]
- Peng, L.; Li, L.; Zhang, G.; Du, X.; Wang, X.; Peng, P.a.; Sheng, G.; Bi, X. Technical note: Measurement of chemically resolved volume equivalent diameter and effective density of particles by AAC-SPAMS. Atmos. Chem. Phys. 2021, 21, 5605–5613. [Google Scholar] [CrossRef]
- Park, K.; Cao, F.; Kittelson, D.B.; McMurry, P.H. Relationship between particle mass and mobility for diesel exhaust particles. Env. Sci. Technol. 2003, 37, 577–583. [Google Scholar] [CrossRef]
- Deye, G.J.; Kulkarni, P.; Ku, B.K. Morphological characterization of carbon nanofiber aerosol using tandem mobility and aerodynamic size measurements. J. Nanopart. Res. 2012, 14, 1112. [Google Scholar] [CrossRef]
- Momenimovahed, A.; Olfert, J.S. Effective Density and Volatility of Particles Emitted from Gasoline Direct Injection Vehicles and Implications for Particle Mass Measurement. Aerosol Sci. Technol. 2015, 49, 1051–1062. [Google Scholar] [CrossRef]
- Alexander, J.M.; Bell, D.M.; Imre, D.; Kleiber, P.D.; Grassian, V.H.; Zelenyuk, A. Measurement of size-dependent dynamic shape factors of quartz particles in two flow regimes. Aerosol Sci. Technol. 2016, 50, 870–879. [Google Scholar] [CrossRef][Green Version]
- Afroughi, M.J.; Falahati, F.; Kostiuk, L.W.; Olfert, J.S. Properties of carbon black produced by the thermal decomposition of methane in the products of premixed flames. J. Aerosol Sci. 2019, 131, 13–27. [Google Scholar] [CrossRef]
- Olfert, J.; Rogak, S. Universal relations between soot effective density and primary particle size for common combustion sources. Aerosol Sci. Technol. 2019, 53, 485–492. [Google Scholar] [CrossRef]
- Alfarra, M.R.; Paulsen, D.; Gysel, M.; Garforth, A.A.; Dommen, J.; Prevot, A.S.H.; Worsnop, D.R.; Baltensperger, U.; Coe, H. A mass spectrometric study of secondary organic aerosols formed from the photooxidation of anthropogenic and biogenic precursors in a reaction chamber. Atmos. Chem. Phys. 2006, 6, 5279–5293. [Google Scholar] [CrossRef]
- Hu, M.; Peng, J.F.; Sun, K.; Yue, D.L.; Guo, S.; Wiedensohler, A.; Wu, Z.J. Estimation of size-resolved ambient particle density based on the measurement of aerosol number, mass, and chemical size distributions in the winter in Beijing. Environ. Sci. Technol. 2012, 46, 9941–9947. [Google Scholar] [CrossRef]
- Rissler, J.; Nordin, E.Z.; Eriksson, A.C.; Nilsson, P.T.; Frosch, M.; Sporre, M.K.; Wierzbicka, A.; Svenningsson, B.; Londahl, J.; Messing, M.E.; et al. Effective Density and Mixing State of Aerosol Particles in a Near-Traffic Urban Environment. Environ. Sci. Technol. 2014, 48, 6300–6308. [Google Scholar] [CrossRef]
- Zieger, P.; Vaisanen, O.; Corbin, J.C.; Partridge, D.G.; Bastelberger, S.; Mousavi-Fard, M.; Rosati, B.; Gysel, M.; Krieger, U.K.; Leck, C.; et al. Revising the hygroscopicity of inorganic sea salt particles. Nat. Commun. 2017, 8, 15883. [Google Scholar] [CrossRef]
- Khlystov, A.; Stanier, C.; Pandis, S.N. An algorithm for combining electrical mobility and aerodynamic size distributions data when measuring ambient aerosol. Aerosol Sci. Technol. 2004, 38, 229–238. [Google Scholar] [CrossRef]
- Beddows, D.C.S.; Dall’osto, M.; Harrison, R.M. An Enhanced Procedure for the Merging of Atmospheric Particle Size Distribution Data Measured Using Electrical Mobility and Time-of-Flight Analysers. Aerosol Sci. Technol. 2010, 44, 930–938. [Google Scholar] [CrossRef]
- Kassianov, E.; Barnard, J.; Pekour, M.; Berg, L.K.; Shilling, J.; Flynn, C.; Mei, F.; Jefferson, A. Simultaneous retrieval of effective refractive index and density from size distribution and light-scattering data: Weakly absorbing aerosol. Atmos. Meas. Tech. 2014, 7, 3247–3261. [Google Scholar] [CrossRef]
- Zhao, S.P.; Yu, Y.; Yin, D.Y.; He, J.J. Effective Density of Submicron Aerosol Particles in a Typical Valley City, Western China. Aerosol Air Qual. Res. 2017, 17, 1–13. [Google Scholar] [CrossRef]
- Han, C.; Li, S.M.; Liu, P.; Lee, P. Size Dependence of the Physical Characteristics of Particles Containing Refractory Black Carbon in Diesel Vehicle Exhaust. Environ. Sci. Technol. 2019, 53, 137–145. [Google Scholar] [CrossRef]
- Rissler, J.; Messing, M.E.; Malik, A.I.; Nilsson, P.T.; Nordin, E.Z.; Bohgard, M.; Sanati, M.; Pagels, J.H. Effective Density Characterization of Soot Agglomerates from Various Sources and Comparison to Aggregation Theory. Aerosol Sci. Technol. 2013, 47, 792–805. [Google Scholar] [CrossRef]
- Dastanpour, R.; Momenimovahed, A.; Thomson, K.; Olfert, J.; Rogak, S. Variation of the optical properties of soot as a function of particle mass. Carbon 2017, 124, 201–211. [Google Scholar] [CrossRef]
- Kiselev, A.; Wennrich, C.; Stratmann, F.; Wex, H.; Henning, S.; Mentel, T.F.; Kiendler-Scharr, A.; Schneider, J.; Walter, S.; Lieberwirth, I. Morphological characterization of soot aerosol particles during LACIS Experiment in November (LExNo). J. Geophys. Res. Atmos. 2010, 115, 11204. [Google Scholar] [CrossRef]
- Leskinen, J.; Ihalainen, M.; Torvela, T.; Kortelainen, M.; Lamberg, H.; Tiitta, P.; Jakobi, G.; Grigonyte, J.; Joutsensaari, J.; Sippula, O.; et al. Effective Density and Morphology of Particles Emitted from Small-Scale Combustion of Various Wood Fuels. Environ. Sci. Technol. 2014, 48, 13298–13306. [Google Scholar] [CrossRef]
- Dinar, E.; Mentel, T.F.; Rudich, Y. The density of humic acids and humic like substances (HULIS) from fresh and aged wood burning and pollution aerosol particles. Atmos. Chem. Phys. 2006, 6, 5213–5224. [Google Scholar] [CrossRef]
- Qiu, C.; Khalizov, A.F.; Zhang, R. Soot Aging from OH-Initiated Oxidation of Toluene. Environ. Sci. Technol. 2012, 46, 9464–9472. [Google Scholar] [CrossRef] [PubMed]
- Khalizov, A.F.; Lin, Y.; Qiu, C.; Guo, S.; Collins, D.; Zhang, R. Role of OH-Initiated Oxidation of Isoprene in Aging of Combustion Soot. Environ. Sci. Technol. 2013, 47, 2254–2263. [Google Scholar] [CrossRef] [PubMed]
Publisher’s Note: MDPI stays neutral with regard to jurisdictional claims in published maps and institutional affiliations. |
© 2022 by the authors. Licensee MDPI, Basel, Switzerland. This article is an open access article distributed under the terms and conditions of the Creative Commons Attribution (CC BY) license (https://creativecommons.org/licenses/by/4.0/).



