Spatial Distribution of Primary and Secondary PM2.5 Concentrations Emitted by Vehicles in the Guanzhong Plain, China
Abstract
:1. Introduction
2. Methodology
2.1. Study Area
2.2. Vehicle Emissions Model
2.3. Air Dispersion Model
3. Results and Discussion
3.1. Analysis of Vehicle Emissions
3.2. Evaluation of Meteorological Simulation Results
3.3. Spatial Distribution of PM2.5 Concentrations
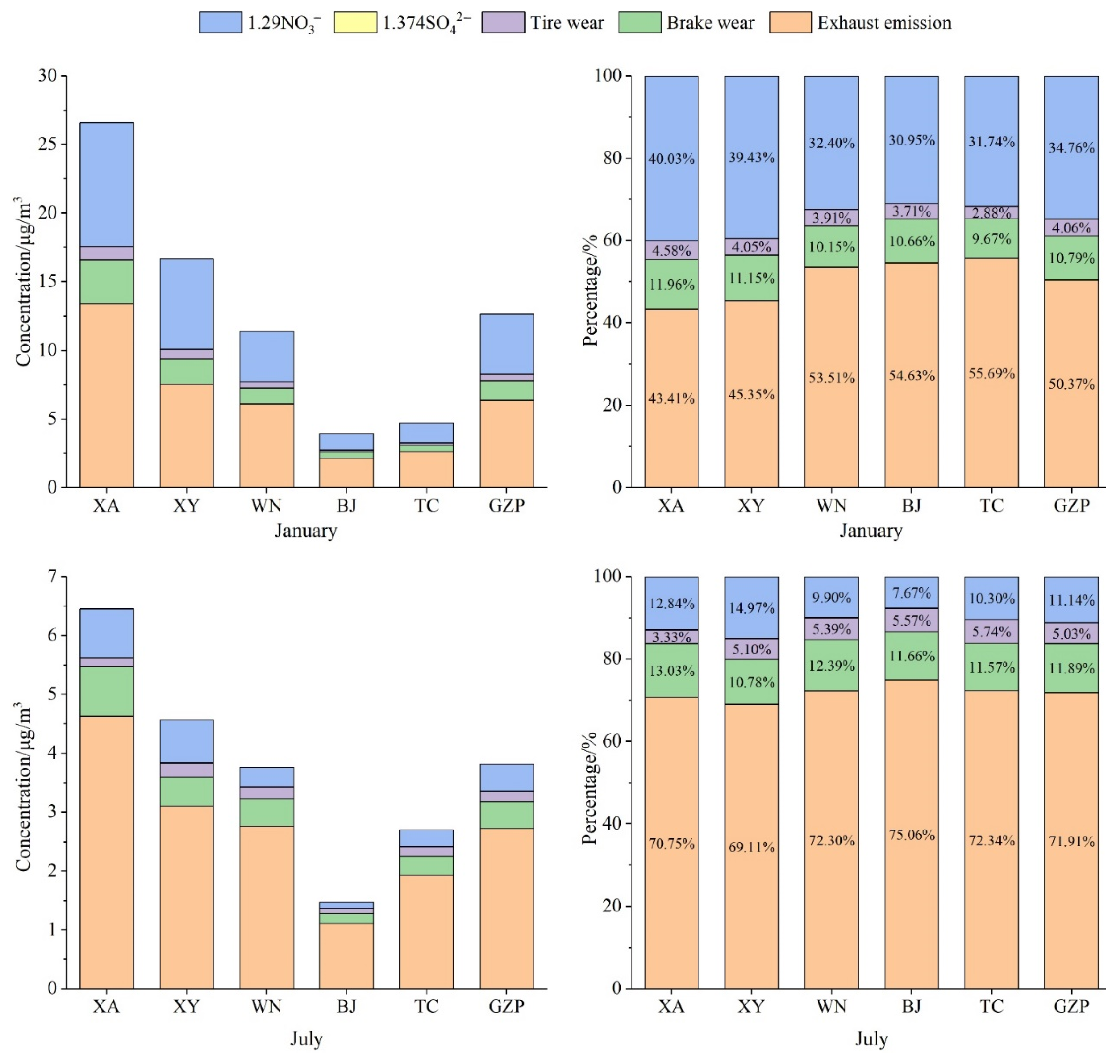
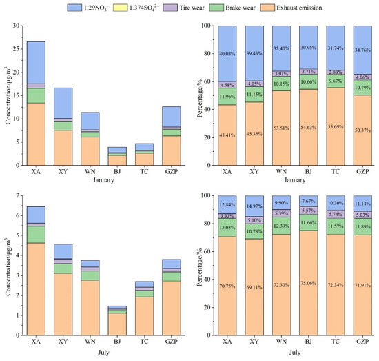
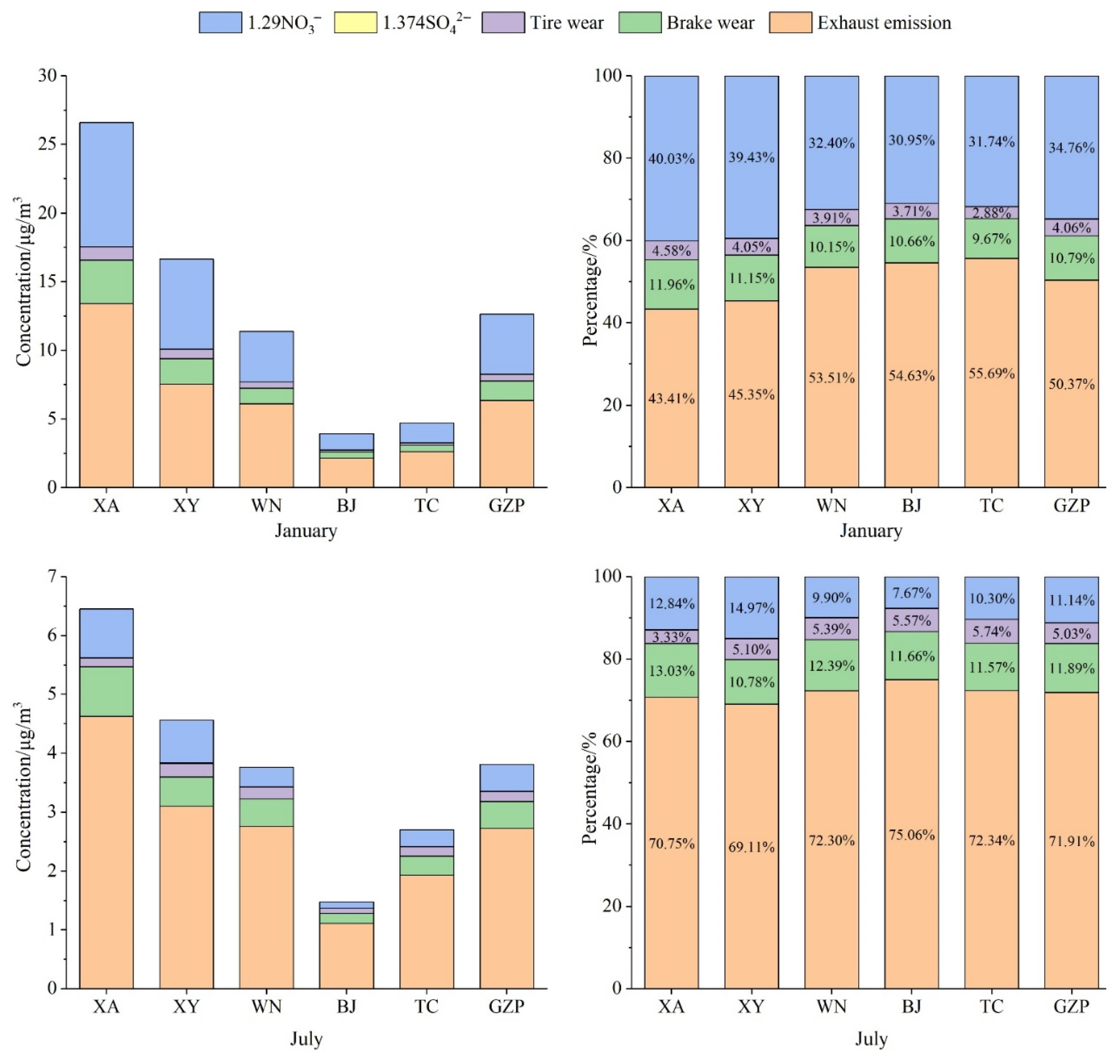
3.4. Contributions of Vehicle-Related Emission Sources to Total PM2.5 Concentrations
4. Conclusions
Author Contributions
Funding
Institutional Review Board Statement
Informed Consent Statement
Data Availability Statement
Acknowledgments
Conflicts of Interest
References
- He, Q.; Gu, Y.; Zhang, M. Spatiotemporal trends of PM2.5 concentrations in central China from 2003 to 2018 based on MAIAC-derived high-resolution data. Environ. Int. 2020, 137, 105536. [Google Scholar] [CrossRef] [PubMed]
- Zeng, Z.; Gui, K.; Wang, Z.; Luo, M.; Geng, H.; Ge, E.; An, J.; Song, X.; Ning, G.; Zhai, S.; et al. Estimating hourly surface PM2.5 concentrations across China from high-density meteorological observations by machine learning. Atmos. Res. 2021, 254. [Google Scholar] [CrossRef]
- Zhang, Y.; Lang, J.; Cheng, S.; Li, S.; Zhou, Y.; Chen, D.; Zhang, H.; Wang, H. Chemical composition and sources of PM1 and PM2.5 in Beijing in autumn. Sci. Total Environ. 2018, 630, 72–82. [Google Scholar] [CrossRef] [PubMed]
- Li, Y.; Huang, H.X.H.; Griffith, S.M.; Wu, C.; Lau, A.K.H.; Yu, J.Z. Quantifying the relationship between visibility degradation and PM2.5 constituents at a suburban site in Hong Kong: Differentiating contributions from hydrophilic and hydrophobic organic compounds. Sci. Total Environ. 2017, 575, 1571–1581. [Google Scholar] [CrossRef]
- Martins, V.; Moreno, T.; Minguillon, M.C.; van Drooge, B.L.; Reche, C.; Amato, F.; de Miguel, E.; Capdevila, M.; Centelles, S.; Querol, X. Origin of inorganic and organic components of PM2.5 in subway stations of Barcelona, Spain. Environ. Pollut. 2016, 208, 125–136. [Google Scholar] [CrossRef] [Green Version]
- Bo, Y.; Chang, L.Y.; Guo, C.; Lin, C.; Lau, A.K.H.; Tam, T.; Lao, X.Q. Reduced ambient PM2.5, better lung function, and decreased risk of chronic obstructive pulmonary disease. Environ. Int. 2021, 156, 106706. [Google Scholar] [CrossRef]
- Bu, X.; Xie, Z.; Liu, J.; Wei, L.; Wang, X.; Chen, M.; Ren, H. Global PM2.5-attributable health burden from 1990 to 2017: Estimates from the Global Burden of disease study 2017. Environ. Res. 2021, 197, 111123. [Google Scholar] [CrossRef]
- Nguyen, G.T.H.; Shimadera, H.; Uranishi, K.; Matsuo, T.; Kondo, A. Numerical assessment of PM2.5 and O3 air quality in Continental Southeast Asia: Impacts of potential future climate change. Atmos. Environ. 2019, 215, 116901. [Google Scholar] [CrossRef]
- Ministry of Ecology and Environment (MEE) of the People’s Republic of China. Available online: https://www.mee.gov.cn/hjzl/sthjzk/ydyhjgl/202109/W020210910400449015882.pdf (accessed on 10 December 2021).
- Kim Oanh, N.T.; Thiansathit, W.; Bond, T.C.; Subramanian, R.; Winijkul, E.; Paw-armart, I. Compositional characterization of PM2.5 emitted from in-use diesel vehicles. Atmos. Environ. 2010, 44, 15–22. [Google Scholar] [CrossRef]
- Goel, R.; Guttikunda, S.K. Evolution of on-road vehicle exhaust emissions in Delhi. Atmos. Environ. 2015, 105, 78–90. [Google Scholar] [CrossRef]
- Masiol, M.; Hopke, P.K.; Felton, H.D.; Frank, B.P.; Rattigan, O.V.; Wurth, M.J.; LaDuke, G.H. Source apportionment of PM2.5 chemically speciated mass and particle number concentrations in New York City. Atmos. Environ. 2017, 148, 215–229. [Google Scholar] [CrossRef]
- Chen, L.W.A.; Watson, J.G.; Chow, J.C.; Magliano, K.L. Quantifying PM2.5 source contributions for the San Joaquin Valley with multivariate receptor models. Environ. Sci. Technol. 2007, 41, 2818. [Google Scholar] [CrossRef]
- Gao, J.; Peng, X.; Chen, G.; Xu, J.; Shi, G.L.; Zhang, Y.C.; Feng, Y.C. Insights into the chemical characterization and sources of PM2.5 in Beijing at a 1-h time resolution. Sci. Total Environ. 2016, 542, 162–171. [Google Scholar] [CrossRef]
- Marta-Almeida, M.; Teixeira, J.C.; Carvalho, M.J.; Melo-Gonçalves, P.; Rocha, A.M. High resolution WRF climatic simulations for the Iberian Peninsula: Model validation. Phys. Chem. Earth Parts A/B/C 2016, 94, 94–105. [Google Scholar] [CrossRef]
- Shiva Nagendra, S.M.; Diya, M.; Chithra, V.S.; Menon, J.S.; Peter, A.E. Characteristics of air pollutants at near and far field regions of a national highway located at an industrial complex. Transp. Res. Part D 2016, 48, 1–13. [Google Scholar] [CrossRef]
- Joo, S.; Oh, C.; Lee, S.; Lee, G. Assessing the impact of traffic crashes on near freeway air quality. Transp. Res. Part D 2017, 57, 64–73. [Google Scholar] [CrossRef]
- Fallah-Shorshani, M.; Shekarrizfard, M.; Hatzopoulou, M. Integrating a street-canyon model with a regional Gaussian dispersion model for improved characterisation of near-road air pollution. Atmos. Environ. 2017, 153, 21–31. [Google Scholar] [CrossRef]
- Shekarrizfard, M.; Faghih-Imani, A.; Hatzopoulou, M. An examination of population exposure to traffic related air pollution: Comparing spatially and temporally resolved estimates against long-term average exposures at the home location. Environ. Res. 2016, 147, 435–444. [Google Scholar] [CrossRef] [PubMed]
- Fallah-Shorshani, M.; Shekarrizfard, M.; Hatzopoulou, M. Evaluation of regional and local atmospheric dispersion models for the analysis of traffic-related air pollution in urban areas. Atmos. Environ. 2017, 167, 270–282. [Google Scholar] [CrossRef]
- Charabi, Y.; Abdul-Wahab, S.; Al-Rawas, G.; Al-Wardy, M.; Fadlallah, S. Investigating the impact of monsoon season on the dispersion of pollutants emitted from vehicles: A case study of Salalah City, Sultanate of Oman. Transp. Res. Part D 2018, 59, 108–120. [Google Scholar] [CrossRef]
- Macêdo, M.F.M.; Ramos, A.L.D. Vehicle atmospheric pollution evaluation using AERMOD model at avenue in a Brazilian capital city. Air Qual. Atmos. Health 2020, 13, 309–320. [Google Scholar] [CrossRef]
- Kheirbek, I.; Haney, J.; Douglas, S.; Ito, K.; Matte, T. The contribution of motor vehicle emissions to ambient fine particulate matter public health impacts in New York City: A health burden assessment. Environ. Health 2016, 15, 23–81. [Google Scholar] [CrossRef] [PubMed] [Green Version]
- Che, W.; Zheng, J.; Wang, S.; Zhong, L.; Lau, A. Assessment of motor vehicle emission control policies using Model-3/CMAQ model for the Pearl River Delta region, China. Atmos. Environ. 2011, 45, 1740–1751. [Google Scholar] [CrossRef]
- Lang, J.; Liang, X.; Li, S.; Zhou, Y.; Chen, D.; Zhang, Y.; Xu, L. Understanding the impact of vehicular emissions on air pollution from the perspective of regional transport: A case study of the Beijing-Tianjin-Hebei region in China. Sci. Total Environ. 2021, 785, 147304. [Google Scholar] [CrossRef]
- Thorpe, A.; Harrison, R.M. Sources and properties of non-exhaust particulate matter from road traffic: A review. Sci. Total Environ. 2008, 400, 270–282. [Google Scholar] [CrossRef]
- Jeong, C.H.; Wang, J.M.; Hilker, N.; Debosz, J.; Sofowote, U.; Su, Y.; Noble, M.; Healy, R.M.; Munoz, T.; Dabek-Zlotorzynska, E.; et al. Temporal and spatial variability of traffic-related PM2.5 sources: Comparison of exhaust and non-exhaust emissions. Atmos. Environ. 2019, 198, 55–69. [Google Scholar] [CrossRef]
- Kwak, J.H.; Kim, H.; Lee, J.; Lee, S. Characterization of non-exhaust coarse and fine particles from on-road driving and laboratory measurements. Sci. Total Environ. 2013, 458–460, 273–282. [Google Scholar] [CrossRef] [PubMed]
- Harrison, R.M.; Allan, J.; Carruthers, D.; Heal, M.R.; Lewis, A.C.; Marner, B.; Murrells, T.; Williams, A. Non-exhaust vehicle emissions of particulate matter and VOC from road traffic: A review. Atmos. Environ. 2021, 262, 118592. [Google Scholar] [CrossRef]
- Hao, Y.; Gao, C.; Deng, S.; Yuan, M.; Song, W.; Lu, Z.; Qiu, Z. Chemical characterisation of PM2.5 emitted from motor vehicles powered by diesel, gasoline, natural gas and methanol fuel. Sci. Total Environ. 2019, 674, 128–139. [Google Scholar] [CrossRef]
- Li, X.; Bei, N.; Tie, X.; Wu, J.; Liu, S.; Wang, Q.; Liu, L.; Wang, R.; Li, G. Local and transboundary transport contributions to the wintertime particulate pollution in the Guanzhong Basin (GZB), China: A case study. Sci. Total Environ. 2021, 797, 148876. [Google Scholar] [CrossRef] [PubMed]
- Wang, P.; Cao, J.J.; Shen, Z.X.; Han, Y.M.; Lee, S.C.; Huang, Y.; Zhu, C.S.; Wang, Q.Y.; Xu, H.M.; Huang, R.J. Spatial and seasonal variations of PM2.5 mass and species during 2010 in Xi’an, China. Sci. Total Environ. 2015, 508, 477–487. [Google Scholar] [CrossRef]
- Chinese State Council (CSC). Available online: http://www.gov.cn/zhengce/content/2018-07/03/content_5303158.htm (accessed on 10 December 2021).
- Niu, X.; Cao, J.; Shen, Z.; Ho, S.S.H.; Tie, X.; Zhao, S.; Xu, H.; Zhang, T.; Huang, R. PM2.5 from the Guanzhong Plain: Chemical composition and implications for emission reductions. Atmos. Environ. 2016, 147, 458–469. [Google Scholar] [CrossRef]
- Xu, H.; Cao, J.; Chow, J.C.; Huang, R.J.; Shen, Z.; Chen, L.W.; Ho, K.F.; Watson, J.G. Inter-annual variability of wintertime PM2.5 chemical composition in Xi’an, China: Evidences of changing source emissions. Sci. Total Environ. 2016, 545-546, 546–555. [Google Scholar] [CrossRef] [PubMed]
- Wang, Y.; Li, S.; Wang, M.; Sun, H.; Mu, Z.; Zhang, L.; Li, Y.; Chen, Q. Source apportionment of environmentally persistent free radicals (EPFRs) in PM2.5 over Xi’an, China. Sci. Total Environ. 2019, 689, 193–202. [Google Scholar] [CrossRef]
- Chen, X.; Yuan, Z. Environmentally friendly traffic control strategy—A case study in Xi’an city. J. Clean. Prod. 2020, 249, 119397. [Google Scholar] [CrossRef]
- Song, H.; Deng, S.X.; Lu, Z.Z.; Li, J.H.; Ba, L.M.; Wang, J.F.; Sun, Z.G.; Li, G.H.; Jiang, C.; Hao, Y.Z. Scenario analysis of vehicular emission abatement procedures in Xi’an, China. Environ. Pollut. 2021, 269, 116187. [Google Scholar] [CrossRef] [PubMed]
- U.S. Environmental Protection Agency. MOVES2014a User Guide. Available online: https://nepis.epa.gov/Exe/ZyPDF.cgi/P100NNCY.PDF?Dockey=P100NNCY.PDF (accessed on 10 December 2021).
- Giannaros, T.M.; Melas, D.; Daglis, I.A.; Keramitsoglou, I.; Kourtidis, K. Numerical study of the urban heat island over Athens (Greece) with the WRF model. Atmos. Environ. 2013, 73, 103–111. [Google Scholar] [CrossRef]
- Kadaverugu, R.; Matli, C.; Biniwale, R. Suitability of WRF model for simulating meteorological variables in rural, semi-urban and urban environments of Central India. Meteorol. Atmos. Phys. 2021, 133, 1379–1393. [Google Scholar] [CrossRef]
- Scire, J.S.; Strimaitis, D.G.; Yamartino, R.J. A User’s Guide for the CALPUFF Dispersion Model, version 5; Earth Tech Inc.: Concord, MA, USA, 2000; Available online: http://www.src.com/calpuff/download/CALPUFF_UsersGuide.pdf (accessed on 10 December 2021).
- Lee, H.D.; Yoo, J.W.; Kang, M.K.; Kang, J.S.; Jung, J.H.; Oh, K.J. Evaluation of concentrations and source contribution of PM10 and SO2 emitted from industrial complexes in Ulsan, Korea: Interfacing of the WRF–CALPUFF modeling tools. Atmos. Pollut. Res. 2014, 5, 664–676. [Google Scholar] [CrossRef] [Green Version]
- Lee, G.; You, S.; Ritchie, S.G.; Saphores, J.D.; Jayakrishnan, R.; Ogunseitan, O. Assessing air quality and health benefits of the Clean Truck Program in the Alameda corridor, CA. Transp. Res. Part A. 2012, 46, 1177–1193. [Google Scholar] [CrossRef]
- Bai, S.; Wen, Y.; He, L.; Liu, Y.; Zhang, Y.; Yu, Q.; Ma, W. Single-Vessel Plume Dispersion Simulation: Method and a Case Study Using CALPUFF in the Yantian Port Area, Shenzhen (China). Int. J. Environ. Res. Publ. Health 2020, 17, 7831. [Google Scholar] [CrossRef] [PubMed]
- Holnicki, P.; Kałuszko, A.; Trapp, W. An urban scale application and validation of the CALPUFF model. Atmos. Pollut. Res. 2016, 7, 393–402. [Google Scholar] [CrossRef]
- Abdul-Wahab, S.; Sappurd, A.; Al-Damkhi, A. Application of California Puff (CALPUFF) model: A case study for Oman. Clean Techn. Environ. Policy 2010, 13, 177–189. [Google Scholar] [CrossRef]
- Liu, N.; Yu, Y.; He, J.; Zhao, S. Integrated modeling of urban–scale pollutant transport: Application in a semi–arid urban valley, Northwestern China. Atmos. Pollut. Res. 2013, 4, 306–314. [Google Scholar] [CrossRef] [Green Version]
- Scire, J.S.; Robe, F.R.; Fernau, M.E.; Yamartino, R.J. A User’s Guide for the CALPUFF Dispersion Model, version 5; Earth Tech Inc.: Concord, MA, USA, 1999; Available online: http://www.src.com/calpuff/download/CALMET_UsersGuide.pdf (accessed on 10 December 2021).
- Cristina, M.; Marco, C.; Emilio, G. Secondary Particulate Matter Originating from an Industrial Source and Its Impact on Population Health. Int. J. Environ. Res. Publ. Health 2015, 12, 7667–7681. [Google Scholar] [CrossRef] [Green Version]
- Wu, C.; Wang, G.; Li, J.; Li, J.; Cao, C.; Ge, S.; Xie, Y.; Chen, J.; Liu, S.; Du, W.; et al. Non-agricultural sources dominate the atmospheric NH3 in Xi’an, a megacity in the semi-arid region of China. Sci. Total Environ. 2020, 722, 137756. [Google Scholar] [CrossRef] [PubMed]
- Guo, D.; Wang, R.; Zhao, P. Spatial distribution and source contributions of PM2.5 concentrations in Jincheng, China. Atmos. Pollut. Res. 2020, 11, 1281–1289. [Google Scholar] [CrossRef]
- Bei, N.; Xiao, B.; Meng, N.; Feng, T. Critical role of meteorological conditions in a persistent haze episode in the Guanzhong basin, China. Sci. Total Environ. 2016, 550, 273–284. [Google Scholar] [CrossRef]
- Wei, N.; Wang, N.; Huang, X.; Liu, P.; Chen, L. The effects of terrain and atmospheric dynamics on cold season heavy haze in the Guanzhong Basin of China. Atmos. Pollut. Res. 2020, 11, 1805–1819. [Google Scholar] [CrossRef]
- Bei, N.; Zhao, L.; Xiao, B.; Meng, N.; Feng, T. Impacts of local circulations on the wintertime air pollution in the Guanzhong Basin, China. Sci. Total Environ. 2017, 592, 373–390. [Google Scholar] [CrossRef]
- Squizzato, S.; Masiol, M.; Innocente, E.; Pecorari, E.; Rampazzo, G.; Pavoni, B. A procedure to assess local and long-range transport contributions to PM2.5 and secondary inorganic aerosol. J. Aerosol Sci. 2012, 46, 64–76. [Google Scholar] [CrossRef]
- Xu, J.S.; Xu, M.X.; Snape, C.; He, J.; Behera, S.N.; Xu, H.H.; Ji, D.S.; Wang, C.J.; Yu, H.; Xiao, H.; et al. Temporal and spatial variation in major ion chemistry and source identification of secondary inorganic aerosols in Northern Zhejiang Province, China. Chemosphere 2017, 179, 316–330. [Google Scholar] [CrossRef] [PubMed]
- Li, X.; Gao, Z.; Li, Y.; Gao, C.Y.; Ren, J.; Zhang, X. Meteorological conditions for severe foggy haze episodes over north China in 2016–2017 winter. Atmos. Environ. 2019, 199, 284–298. [Google Scholar] [CrossRef]
- Ding, J.; Dai, Q.; Zhang, Y.; Xu, J.; Huangfu, Y.; Feng, Y. Air humidity affects secondary aerosol formation in different pathways. Sci. Total Environ. 2021, 759, 143540. [Google Scholar] [CrossRef] [PubMed]
- Feng, J.; Yu, H.; Mi, K.; Su, X.; Li, Y.; Li, Q.; Sun, J. One year study of PM2.5 in Xinxiang city, North China: Seasonal characteristics, climate impact and source. Ecotox. Environ. Saf. 2018, 154, 75–83. [Google Scholar] [CrossRef]
- Deng, X.L.; Shi, C.E.; Wu, B.W.; Yang, Y.J.; Jin, Q.; Wang, H.L.; Zhu, S.; Yu, C. Characteristics of the water-soluble components of aerosol particles in Hefei, China. J. Environ. Sci-China 2016, 42, 32–40. [Google Scholar] [CrossRef]
- Tao, Y.; Ye, X.; Ma, Z.; Xie, Y.; Wang, R.; Chen, J.; Yang, X.; Jiang, S. Insights into different nitrate formation mechanisms from seasonal variations of secondary inorganic aerosols in Shanghai. Atmos. Environ. 2016, 145, 1–9. [Google Scholar] [CrossRef]
- Zhang, T.; Shen, Z.X.; Su, H.; Liu, S.X.; Zhou, J.M.; Zhao, Z.Z.; Wang, Q.Y.; Prévôt, A.S.H.; Cao, J.J. Effects of Aerosol Water Content on the formation of secondary inorganic aerosol during a winter heavy PM2.5 pollution episode in Xi’an, China. Atmos. Environ. 2021, 252, 118304. [Google Scholar] [CrossRef]
- Boming, Y.; Xueli, J.; Haizhen, Y.; Xiaohong, Y.; Chak, K.C.; Steven, H.C.; Tai, C.; Patricia, A.M. Concentration and chemical composition of PM2.5 in Shanghai for a 1-year period. Atmos. Environ. 2003, 37, 499–510. [Google Scholar] [CrossRef]
- Xiaohong, Y.; Chak, K.C.; Ming, F.; Steven, C.; Tai, C.; Patricia, M.; Kebin, H.; Boming, Y. The water-soluble ionic composition of PM2.5 in Shanghai and Beijing, China. Atmos. Environ. 2002, 36, 4223–4234. [Google Scholar] [CrossRef]






| Month | NOx | SO2 | Primary PM2.5 | ||
|---|---|---|---|---|---|
| Exhaust Emission | Brake Wear | Tire Wear | |||
| January | 6168.3 | 14.6 | 301.6 | 34.2 | 7.3 |
| July | 6289.4 | 18.5 | 332.8 | 38.9 | 8.4 |
| Average | 6228.9 | 16.6 | 317.2 | 36.6 | 7.9 |
| Time | Area Source Location | Source Height (m) | Altitude (m) | Smoke Temperature (K) | Effective Radius (m) | Dispersion Height (m) | PM2.5 from Exhaust Emissions (g/m·s) | |||||||
|---|---|---|---|---|---|---|---|---|---|---|---|---|---|---|
| X1 (km) | X2 (km) | X3 (km) | X4 (km) | Y1 (km) | Y2 (km) | Y3 (km) | Y4 (km) | |||||||
| 0:00~1:00 | −2.07 | −2.08 | 19.13 | 19.05 | 18.23 | −8.72 | −8.69 | 18.26 | 1 | 435 | 287.65 | 0 | 10 | 1.5 × 10−7 |
| −19.47 | −19.53 | −1.36 | −1.35 | 3.11 | −17.92 | −17.94 | 3.09 | 1 | 406 | 287.65 | 0 | 10 | 1.4 × 10−7 | |
| 50.82 | 50.84 | 83.33 | 83.29 | 28.21 | 24.84 | 25.14 | 28.51 | 1 | 415 | 287.65 | 0 | 10 | 1.3 × 10−7 | |
| … | … | … | … | … | … | … | … | … | … | … | … | … | … | |
| 1:00~2:00 | −2.07 | −2.08 | 19.13 | 19.05 | 18.23 | −8.72 | −8.69 | 18.26 | 1 | 435 | 287.65 | 0 | 10 | 1.8 × 10−7 |
| −19.47 | −19.53 | −1.36 | −1.35 | 3.11 | −17.92 | −17.94 | 3.09 | 1 | 406 | 287.65 | 0 | 10 | 9.0 × 10−8 | |
| 50.82 | 50.84 | 83.33 | 83.29 | 28.21 | 24.84 | 25.14 | 28.51 | 1 | 415 | 287.65 | 0 | 10 | 1.0 × 10−7 | |
| … | … | … | … | … | … | … | … | … | … | … | … | … | … | |
| Variable | Period | Mean | MB | IOA | RMSE | R | |
|---|---|---|---|---|---|---|---|
| Obs. | Sim. | ||||||
| T (°C) | January | 4.49 | 4.64 | 2.41 | 0.94 | 1.45 | 0.89 |
| July | 31.12 | 32.54 | 2.16 | 0.91 | 1.93 | 0.76 | |
| Ws (m s−1) | January | 0.94 | 1.22 | 0.52 | 0.80 | 0.61 | 0.74 |
| July | 1.01 | 1.38 | 0.51 | 0.78 | 0.62 | 0.71 | |
Publisher’s Note: MDPI stays neutral with regard to jurisdictional claims in published maps and institutional affiliations. |
© 2022 by the authors. Licensee MDPI, Basel, Switzerland. This article is an open access article distributed under the terms and conditions of the Creative Commons Attribution (CC BY) license (https://creativecommons.org/licenses/by/4.0/).
Share and Cite
Lu, P.; Deng, S.; Li, G.; Li, J.; Xu, K.; Lu, Z. Spatial Distribution of Primary and Secondary PM2.5 Concentrations Emitted by Vehicles in the Guanzhong Plain, China. Atmosphere 2022, 13, 347. https://doi.org/10.3390/atmos13020347
Lu P, Deng S, Li G, Li J, Xu K, Lu Z. Spatial Distribution of Primary and Secondary PM2.5 Concentrations Emitted by Vehicles in the Guanzhong Plain, China. Atmosphere. 2022; 13(2):347. https://doi.org/10.3390/atmos13020347
Chicago/Turabian StyleLu, Pan, Shunxi Deng, Guanghua Li, Jianghao Li, Ke Xu, and Zhenzhen Lu. 2022. "Spatial Distribution of Primary and Secondary PM2.5 Concentrations Emitted by Vehicles in the Guanzhong Plain, China" Atmosphere 13, no. 2: 347. https://doi.org/10.3390/atmos13020347
APA StyleLu, P., Deng, S., Li, G., Li, J., Xu, K., & Lu, Z. (2022). Spatial Distribution of Primary and Secondary PM2.5 Concentrations Emitted by Vehicles in the Guanzhong Plain, China. Atmosphere, 13(2), 347. https://doi.org/10.3390/atmos13020347
