Long-Term Observed Visibility in Eastern Thailand: Temporal Variation, Association with Air Pollutants and Meteorological Factors, and Trends
Abstract
1. Introduction
2. Materials and Methods
2.1. Study Area
2.2. Data Collection and Treatment
2.3. Monthly Variation, Seasonality and Relation with PM10
2.4. Equal Step-Size Method for Visibility and Relative Humidity Relationship
2.5. Polar Plot for Visibility and Back Trajectory Modelling
2.6. Potential Role of Secondary Aerosols
2.7. Long-Term Trends and Meteorological Adjustment
3. Results and Discussion
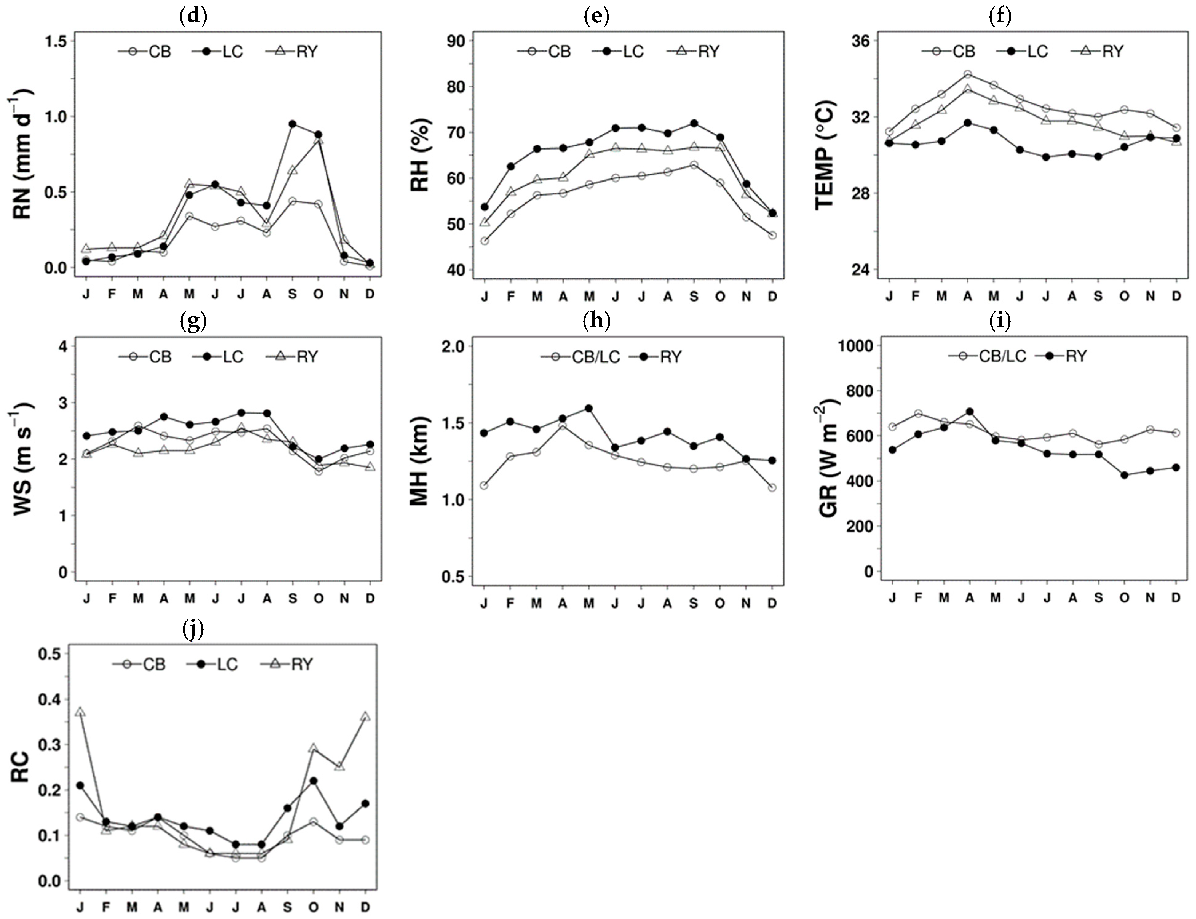
3.1. Monthly Variation and Seasonality
3.2. Visibility in Relation to PM10
3.3. Visibility in Relation to Relative Humidity
3.4. Effect of Local Wind and Long Range Transport
3.5. Effect of Secondary Aerosols on Visibility
3.6. Trends and Meteorological Adjustment for Visibility and PM10
4. Conclusions
Supplementary Materials
Author Contributions
Funding
Acknowledgments
Conflicts of Interest
Appendix A
| Symbol/Acronyms | Description |
|---|---|
| AERMET | American Meteorological Society/Environmental Protection Agency Regulatory Model Meteorological Processor |
| AERMOD | American Meteorological Society/Environmental Protection Agency Regulatory Model |
| AGL | Above Ground Level |
| CB | Chon Buri Station/Province |
| CC | Cloud Cover |
| CFSR | Climate Forecast System Reanalysis |
| CPD | Change Point Detection |
| CT | Chanthaburi Station/Province |
| EEC | Eastern Economic Corridor |
| GDP | Gross Domestic Product |
| GLM | Generalized Linear Model |
| GPP | Gross Provincial Product |
| GR | Global Radiation |
| IE | Industrial Estate |
| IEAT | Industrial Estate Authority of Thailand |
| LC | Laem Chabang Station |
| LDD | Land Development Department |
| LT | Local Time |
| MH | Mixing Height |
| NMHC | Non Methane Hydro Carbon |
| PB | Prachin Buri Station/Province |
| RC | Recirculation Factor |
| RH | Relative Humidity |
| RN | Rain |
| RY | Rayong Station/Province |
| SI | Seasonality Index |
| SK | Sa Kaeo Station/Province |
| ST | Sattahip Station |
| TEMP | Air Temperature |
| TMD | Thai Meteorological Department |
| US EPA | US Environmental Protection Agency |
| VIS | Visibility |
| VOC | Volatile Organic Compound |
| WD | Wind Direction |
| WMO | World Meteorological Organization |
| WR | Wind Run |
| WS | Wind Speed |
References
- Seinfeld, J.H.; Pandis, S.N. Atmospheric Chemistry and Physics from Air Pollution to Climate Change, 2nd ed.; John Wiley & Sons, Inc.: New York, NY, USA, 2006; ISBN 9780471720171. [Google Scholar]
- Watson, J.G. Visibility: Science and regulation. J. Air Waste Manag. Assoc. 2002, 52, 628–713. [Google Scholar] [CrossRef] [PubMed]
- Boylan, J.W.; Odman, M.T.; Wilkinson, J.G.; Russell, A.G. Integrated Assessment Modeling of Atmospheric Pollutants in the Southern Appalachian Mountains: Part II. Fine Particulate Matter and Visibility. J. Air Waste Manag. Assoc. 2006, 56, 12–22. [Google Scholar] [CrossRef] [PubMed]
- Zhang, Q.H.; Zhang, J.P.; Xue, H.W. The challenge of improving visibility in Beijing. Atmos. Chem. Phys. 2010, 10, 7821–7827. [Google Scholar] [CrossRef]
- Sloane, C.S. Visibility trends-I. Methods of analysis. Atmos. Environ. 1982, 16, 41–51. [Google Scholar] [CrossRef]
- Singh, A.; Bloss, W.J.; Pope, F.D. 60 years of UK visibility measurements: Impact of meteorology and atmospheric pollutants on visibility. Atmos. Chem. Phys. 2017, 17, 2085–2101. [Google Scholar] [CrossRef]
- Tsai, Y.I. Atmospheric visibility trends in an urban area in Taiwan 1961–2003. Atmos. Environ. 2005, 39, 5555–5567. [Google Scholar] [CrossRef]
- Fu, W.; Chen, Z.; Zhu, Z.; Liu, Q.; Qi, J.; Dang, E.; Wang, M.; Dong, J. Long-term atmospheric visibility trends and characteristics of 31 provincial capital cities in China during 1957–2016. Atmosphere 2018, 9, 318. [Google Scholar] [CrossRef]
- Majewski, G.; Rogula-Kozlowska, W.; Czechowski, P.O.; Badyda, A.; Brandyk, A. The impact of selected parameters on visibility: First results from a long-term campaign in Warsaw, Poland. Atmosphere 2015, 6, 1154–1174. [Google Scholar] [CrossRef]
- Chen, Y.; Xie, S. Long-term trends and characteristics of visibility in two megacities in southwest China: Chengdu and Chongqing. J. Air Waste Manag. Assoc. 2013, 63, 1058–1069. [Google Scholar] [CrossRef] [PubMed]
- Pengchai, P.; Chantara, S.; Sopajaree, K.; Wangkarn, S.; Tengcharoenkul, U.; Rayanakorn, M. Seasonal variation, risk assessment and source estimation of PM10 and PM10-bound PAHs in the ambient air of Chiang Mai and Lamphun, Thailand. Environ. Monit. Assess. 2009, 154, 197–218. [Google Scholar] [CrossRef] [PubMed]
- Wen, C.C.; Yeh, H.H. Comparative influences of airborne pollutants and meteorological parameters on atmospheric visibility and turbidity. Atmos. Res. 2010, 96, 496–509. [Google Scholar] [CrossRef]
- Quan, J.; Tie, X.; Zhang, Q.; Liu, Q.; Li, X.; Gao, Y.; Zhao, D. Characteristics of heavy aerosol pollution during the 2012–2013 winter in Beijing, China. Atmos. Environ. 2014, 88, 83–89. [Google Scholar] [CrossRef]
- Wang, K.; Dickinson, R.E.; Liang, S. Clear sky visibility has decreased over land globally from 1973 to 2007. Science 2009, 323, 1468–1470. [Google Scholar] [CrossRef] [PubMed]
- Wang, K.C.; Dickinson, R.E.; Su, L.; Trenberth, K.E. Contrasting trends of mass and optical properties of aerosols over the Northern Hemisphere from 1992 to 2011. Atmos. Chem. Phys. 2012, 12, 9387–9398. [Google Scholar] [CrossRef]
- Hu, Y.; Yao, L.; Cheng, Z.; Wang, Y. Long-term atmospheric visibility trends in megacities of China, India and the United States. Environ. Res. 2017, 159, 466–473. [Google Scholar] [CrossRef] [PubMed]
- Sabetghadam, S.; Ahmadi-Givi, F.; Golestani, Y. Visibility trends in Tehran during 1958–2008. Atmos. Environ. 2012, 62, 512–520. [Google Scholar] [CrossRef]
- Assareh, N.; Prabamroong, T.; Manomaiphiboon, K.; Theramongkol, P.; Leungsakul, S.; Mitrjit, N.; Rachiwong, J. Analysis of observed surface ozone in the dry season over Eastern Thailand during 1997–2012. Atmos. Res. 2016, 178–179, 17–30. [Google Scholar] [CrossRef]
- Chusai, C.; Manomaiphiboon, K.; Saiyasitpanich, P.; Thepanondh, S. NO2 and SO2 dispersion modeling and relative roles of emission sources over Map Ta Phut industrial area, Thailand. J. Air Waste Manag. Assoc. 2012, 62, 932–945. [Google Scholar] [CrossRef] [PubMed]
- Pollution Control Department (PCD). Thailand State of Pollution 2015; Pollution Control Department: Bangkok, Thailand, 2016. Available online: http://infofile.pcd.go.th/mgt/PollutionReport2015_en.pdf (accessed on 19 September 2017).
- Pimpisut, D.; Jinsart, W.; Hooper, M.A. Modeling of the BTX species based on an emission inventory of sources at the Map Ta Phut industrial estate in Thailand. Sci. Asia 2005, 31, 103–112. [Google Scholar] [CrossRef]
- Prabamroong, T.; Manomaiphiboon, K.; Limpaseni, W.; Sukhapan, J.; Bonnet, S. Ozone and its potential control strategy for Chon Buri city, Thailand. J. Air Waste Manag. Assoc. 2012, 62, 1411–1422. [Google Scholar] [CrossRef] [PubMed]
- Singkaew, P.; Kongtip, P.; Yoosook, W.; Chantanakul, S. Health risk assessment of volatile organic compounds in a high risk group surrounding Map Ta Phut industrial estate, Rayong Province. J. Med. Assoc. Thail. 2013, 96 (Suppl. 5), S73–S81. [Google Scholar]
- National Economic and Social Development Board (NESDB). Gross Regional and Provincial Product, Chain Volume Measures 2015 Edition; Office of the National Economic and Social Development Board: Bangkok, Thailand, 2017. Available online: http://www.nesdb.go.th/nesdb_en/ewt_dl_link.php?nid=4317 (accessed on 15 May 2018).
- National Economic and Social Development Board (NESDB). Gross Regional and Provincial Products (1981–1995 and 1995–2011); Office of the National Economic and Social Development Board: Bangkok, Thailand, 2016. Available online: http://www.nesdb.go.th/nesdb_en/ewt_news.php?nid=4315&filename=national_account (accessed on 1 December 2016).
- National Statistical Office (NSO). Gross Regional and Provincial Products (2005–2015); National Statistical Office: Bangkok, Thailand, 2016. Available online: http://service.nso.go.th/nso/web/statseries/statseries15.html (accessed on 1 December 2016).
- Khantaraphan, U. Smoggy Day in Pattaya. Pattaya Mail (30 September 2015). 2015. Available online: http://www.pattayamail.com/news/smoggy-day-in-pattaya-51691 (accessed on 15 May 2018).
- Industrial Estate Authority of Thailand (IEAT). Annual Report 2016. Industrial Estate Authority of Thailand; 2017. Available online: http://www.ieat.go.th/assets/uploads/cms/file/201709081923251820708181.pdf (accessed on 15 May 2018).
- Khuntong, S.; Wongsorntam, K.; Thepanondh, S.; Khaenamkaew, P. Effect of particulate matters from shipping activities around Si Racha Bay Si Chang Island. Environ. Asia 2010, 3, 59–68. [Google Scholar]
- Pham, T.B.T.; Manomaiphiboon, K.; Vongmahadlek, C. Development of an inventory and temporal allocation profiles of emissions from power plants and industrial facilities in Thailand. Sci. Total Environ. 2008, 397, 103–118. [Google Scholar] [CrossRef] [PubMed]
- Ruangjun, S.; Exell, R.H.B. Regression models for forecasting fog and poor visibility at Don muang airport in winter. Asian J. Energy Environ. 2008, 9, 215–230. [Google Scholar]
- Vajanapoom, N.; Shy, C.M.; Neas, L.M.; Loomis, D. Estimation of particulate matter from visibility in Bangkok, Thailand. J. Expo. Anal. Environ. Epidemiol. 2001, 11, 97–102. [Google Scholar] [CrossRef] [PubMed]
- Janjai, S.; Kumharn, W.; Laksanaboonsong, J. Determination of Angstrom’s turbidity coefficient over Thailand. Renew. Energy 2003, 28, 1685–1700. [Google Scholar] [CrossRef]
- Land Development Department (LDD). Land Use and Land Cover Data for Thailand for the Years 2006–2007; CD-ROM Product; Land Development Department: Bangkok, Thailand, 2007.
- Thai Meteorological Department (TMD). The Climate of Thailand; Thai Meteorological Department: Bangkok, Thailand, 2016. Available online: https://www.tmd.go.th/en/archive/thailand_climate.pdf (accessed on 1 December 2016).
- Phan, T.T.; Manomaiphiboon, K. Observed and simulated sea breeze characteristics over Rayong coastal area, Thailand. Meteorol. Atmos. Phys. 2012, 116, 95–111. [Google Scholar] [CrossRef]
- Reeves, J.; Chen, J.; Wang, X.L.; Lund, R.; Lu, Q.Q. A review and comparison of changepoint detection techniques for climate data. J. Appl. Meteorol. Climatol. 2007, 46, 900–915. [Google Scholar] [CrossRef]
- Ross, G. Parametric and nonparametric sequential change detection in R: The CPM package. J. Stat. Softw. 2015, 66, 3. [Google Scholar]
- Zahumenský, I. Guidelines on Quality Control Procedures for Data from Automatic Weather Stations. World Meteorol. Organ. 2004. Available online: https://www.wmo.int/pages/prog/www/IMOP/meetings/Surface/ET-STMT1_Geneva2004/Doc6.1(2).pdf (accessed on 19 September 2017).
- Allwine, K.J.; Whiteman, C.D. Single-station integral measures of atmospheric stagnation, recirculation and ventilation. Atmos. Environ. 1994, 28, 713–721. [Google Scholar] [CrossRef]
- US Environmental Protection Agency (US EPA). User’s Guide for the AERMOD Meteorological Preprocessor (AERMET). Res. Triangle Park. NC, Off. Air Qual. 2004. Report No. EPA-454/B-03-002. Available online: https://www3.epa.gov/scram001/7thconf/aermod/aermetugb.pdf (accessed on 19 September 2018).
- Sloane, C.S. Visibility trends-II. Mideastern United States 1948–1978. Atmos. Environ. 1982, 16, 2309–2321. [Google Scholar] [CrossRef]
- US Environmental Protection Agency (US EPA). Characterizing Visibility Trends: A Review of Historical Approaches and Recommendation for Future Analyses; US EPA: Washington, DC, USA, 1987.
- Rosenfeld, D.; Dai, J.; Yu, X.; Yao, Z.; Xu, X.; Yang, X.; Du, C. Inverse relations between amounts of air pollution and orographic precipitation. Science 2007, 315, 1396–1398. [Google Scholar] [CrossRef] [PubMed]
- Founda, D.; Kazadzis, S.; Mihalopoulos, N.; Gerasopoulos, E.; Lianou, M.; Raptis, P.I. Long-term visibility variation in Athens (1931–2013): A proxy for local and regional atmospheric aerosol loads. Atmos. Chem. Phys. 2016, 16, 11219–11236. [Google Scholar] [CrossRef]
- Kasten, F. Visibility forecast in the phase of pre-condensation. Tellus 1969, 1969. 5, 631–635. [Google Scholar]
- Meszaros, A. An attempt to explain the relation between visual range and relative humidity on the basis of aerosol measurements. J. Aerosol Sci. 1977, 8, 31–38. [Google Scholar] [CrossRef]
- Fitzgerald, J.; Hoppel, A.; Vietti, M.A. The size and scattering coefficient of urban aerosol particles at Washington, DC as a function of relative humidity. J. Atmos. Sci. 1982, 39, 1838–1852. [Google Scholar] [CrossRef]
- Davies, C.N. Visual Range and size of atmospheric particles. J. Aerosol Sci. 1975, 6, 335–347. [Google Scholar] [CrossRef]
- Carslaw, D.C.; Ropkins, K. Openair—An R package for air quality data analysis. Environ. Model. Softw. 2012, 27–28, 52–61. [Google Scholar] [CrossRef]
- Aneja, V.P.; Brittig, J.S.; Kim, D.; Carolina, N. Ozone and other air quality-related variables affecting visibility in the Southeast United States. J. Air Waste Manag. Assoc. 2004, 54, 681–688. [Google Scholar] [CrossRef] [PubMed]
- Pitchford, M.; Pitchford, A. Analysis of regional visibility in the southwest using principal component and back trajectory techniques. Atmos. Environ. 1985, 19, 1301–1316. [Google Scholar] [CrossRef]
- Stohl, A.; Wotawa, G.; Seibert, P.; Kromp-Kolb, H. Interpolation Errors in Wind Fields as a Function of Spatial and Temporal Resolution and Their Impact on Different Types of Kinematic Trajectories. J. Appl. Meteorol. 1995, 34, 2149–2165. [Google Scholar] [CrossRef]
- Saha, S.; Moorthi, S.; Pan, H.L.; Wu, X.; Wang, J.; Nadiga, S.; Tripp, P.; Kistler, R.; Woollen, J.; Behringer, D.; et al. The NCEP climate forecast system reanalysis. Bull. Am. Meteorol. Soc. 2010, 91, 1015–1057. [Google Scholar] [CrossRef]
- Wilks, D.S. Statistical Methods in the Atmospheric Sciences, 2nd ed.; International Geophysics Series; Elsevier: London, UK, 2006. [Google Scholar]
- R Development Core Team. R: A Language and Environment for Statistical Computing (Version 3.1.0); R Foundation for Statistical Computing: Vienna, Austria, 2014. [Google Scholar]
- Zhang, Y.L.; Cao, F. Fine particulate matter (PM2.5) in China at a city level. Sci. Rep. 2015, 5, 14884. [Google Scholar] [CrossRef] [PubMed]
- Yue, S.; Pilon, P. A comparison of the power of the t test, Mann-Kendall and bootstrap tests for trend detection. Hydrol. Sci. J. 2004, 49, 21–37. [Google Scholar] [CrossRef]
- Camalier, L.; Cox, W.; Dolwick, P. The effects of meteorology on ozone in urban areas and their use in assessing ozone trends. Atmos. Environ. 2007, 41, 7127–7137. [Google Scholar] [CrossRef]
- Barmpadimos, I.; Hueglin, C.; Keller, J.; Henne, S.; Prévôt, A.S.H. Influence of meteorology on PM10 trends and variability in Switzerland from 1991 to 2008. Atmos. Chem. Phys. 2011, 11, 1813–1835. [Google Scholar] [CrossRef]
- Wise, E.K.; Comrie, A.C. Meteorologically adjusted urban air quality trends in the Southwestern United States. Atmos. Environ. 2005, 39, 2969–2980. [Google Scholar] [CrossRef]
- Giglio, L.; Csiszar, I.; Justice, C.O. Global distribution and seasonality of active fires as observed with the Terra and Aqua Moderate Resolution Imaging Spectroradiometer (MODIS) sensors. J. Geophys. Res. Biogeosci. 2006, 111, G02016. [Google Scholar] [CrossRef]
- Xu, W.Y.; Zhao, C.S.; Ran, L.; Lin, W.L.; Yan, P.; Xu, X.B. SO2 noontime-peak phenomenon in the North China Plain. Atmos. Chem. Phys. 2014, 14, 7757–7768. [Google Scholar] [CrossRef]
- Li, M.; Zhang, Q.; Kurokawa, J.I.; Woo, J.H.; He, K.; Lu, Z.; Ohara, T.; Song, Y.; Streets, D.G.; Carmichael, G.R.; et al. MIX: A mosaic Asian anthropogenic emission inventory under the international collaboration framework of the MICS-Asia and HTAP. Atmos. Chem. Phys. 2017, 17, 935–963. [Google Scholar] [CrossRef]












| Station a | Agency | Province | Variables b | Period | Background c |
|---|---|---|---|---|---|
| CB | TMD | Chon Buri | VIS, RN, TEMP, RH, CC | 1981–2015 | Urban (coastal) |
| LC | TMD | Chon Buri | Same | 2001–2015 | Industrial (coastal) |
| ST | TMD | Chon Buri | Same | 1981–2015 | Suburban (coastal) |
| RY | TMD | Rayong | Same | 2007–2015 | Industrial (coastal) |
| CT | TMD | Chanthaburi | Same | 1981–2015 | Urban (coastal) |
| SK | TMD | Sa Kaeo | Same | 2001–2015 | Rural (inland) |
| PB | TMD | Prachin Buri | Same | 1981–2015 | Urban (inland) |
| P1 | PCD | Chon Buri | PM10, SO2, NOx CO, NMHC, WS, WD | 2001–2015 | Urban (coastal) |
| P2 | PCD | Chon Buri | PM10, NOx | 2001–2015 | Industrial (coastal) |
| P3 | PCD | Chon Buri | PM10, SO2, NOx, CO, NMHC, WS, WD, GR | 2001–2015 | Industrial (coastal) |
| P4 | PCD | Rayong | PM10, SO2, NOx, CO, NMHC, WS, WD, GR | 2007–2015 | Industrial (coastal) |
| P5 | PCD | Rayong | PM10, SO2, NOx, CO, NMHC | 2007–2015 | Industrial (coastal) |
| Station | % of Days | VIS (km) | RH (%) | VISd (km) | PM10 (μg m−3) |
|---|---|---|---|---|---|
| CB | |||||
| NE_H | 11.3 | 8.5 | 45.5 | 8.6 | 29.0 |
| NE_L | 33.0 | 8.8 | 47.8 | 8.9 | 25.9 |
| SE | 26.7 | 8.6 | 56.7 | 9.0 | 23.8 |
| U_H | 11.5 | 8.5 | 46.9 | 8.6 | 25.4 |
| U_L | 17.5 | 8.9 | 57.8 | 9.4 | 26.2 |
| LC | |||||
| NE_H | 11.3 | 6.1 | 48.8 | 6.2 | 57.6 |
| NE_L | 33.0 | 6.3 | 53.1 | 6.5 | 53.7 |
| SE | 26.7 | 8.1 | 66.9 | 8.9 | 50.9 |
| U_H | 11.5 | 6.4 | 52.3 | 6.6 | 57.3 |
| U_L | 17.5 | 7.5 | 65.8 | 8.2 | 49.5 |
| RY | |||||
| NE_H | 7.9 | 7.3 | 53.4 | 7.6 | 45.0 |
| NE_L | 36.2 | 7.4 | 53.2 | 7.6 | 46.7 |
| SE | 18.7 | 7.7 | 58.1 | 8.1 | 42.5 |
| U_H | 5.3 | 9.4 | 59.3 | 9.8 | 29.4 |
| U_L | 31.9 | 7.9 | 55.4 | 8.2 | 44.1 |
© 2019 by the authors. Licensee MDPI, Basel, Switzerland. This article is an open access article distributed under the terms and conditions of the Creative Commons Attribution (CC BY) license (http://creativecommons.org/licenses/by/4.0/).
Share and Cite
Aman, N.; Manomaiphiboon, K.; Pengchai, P.; Suwanathada, P.; Srichawana, J.; Assareh, N. Long-Term Observed Visibility in Eastern Thailand: Temporal Variation, Association with Air Pollutants and Meteorological Factors, and Trends. Atmosphere 2019, 10, 122. https://doi.org/10.3390/atmos10030122
Aman N, Manomaiphiboon K, Pengchai P, Suwanathada P, Srichawana J, Assareh N. Long-Term Observed Visibility in Eastern Thailand: Temporal Variation, Association with Air Pollutants and Meteorological Factors, and Trends. Atmosphere. 2019; 10(3):122. https://doi.org/10.3390/atmos10030122
Chicago/Turabian StyleAman, Nishit, Kasemsan Manomaiphiboon, Petch Pengchai, Patcharawadee Suwanathada, Jaruwat Srichawana, and Nosha Assareh. 2019. "Long-Term Observed Visibility in Eastern Thailand: Temporal Variation, Association with Air Pollutants and Meteorological Factors, and Trends" Atmosphere 10, no. 3: 122. https://doi.org/10.3390/atmos10030122
APA StyleAman, N., Manomaiphiboon, K., Pengchai, P., Suwanathada, P., Srichawana, J., & Assareh, N. (2019). Long-Term Observed Visibility in Eastern Thailand: Temporal Variation, Association with Air Pollutants and Meteorological Factors, and Trends. Atmosphere, 10(3), 122. https://doi.org/10.3390/atmos10030122

