A Genome-Wide Association Study Reveals the Genetic Mechanisms of Nutrient Accumulation in Spinach
Abstract
1. Introduction
2. Materials and Methods
2.1. Plant Materials
2.2. Extraction and Determination of Nutrients
2.3. Statistical Analysis of Nutrient Content
2.4. DNA Extraction
2.5. Resequencing and Genotyping
2.6. Linkage Disequilibrium Analysis
2.7. Genome-Wide Association Analysis
2.8. Candidate Gene Identification
3. Results
3.1. Statistical Analysis of Phenotyping Results
3.2. Resequencing of Spinach Varieties
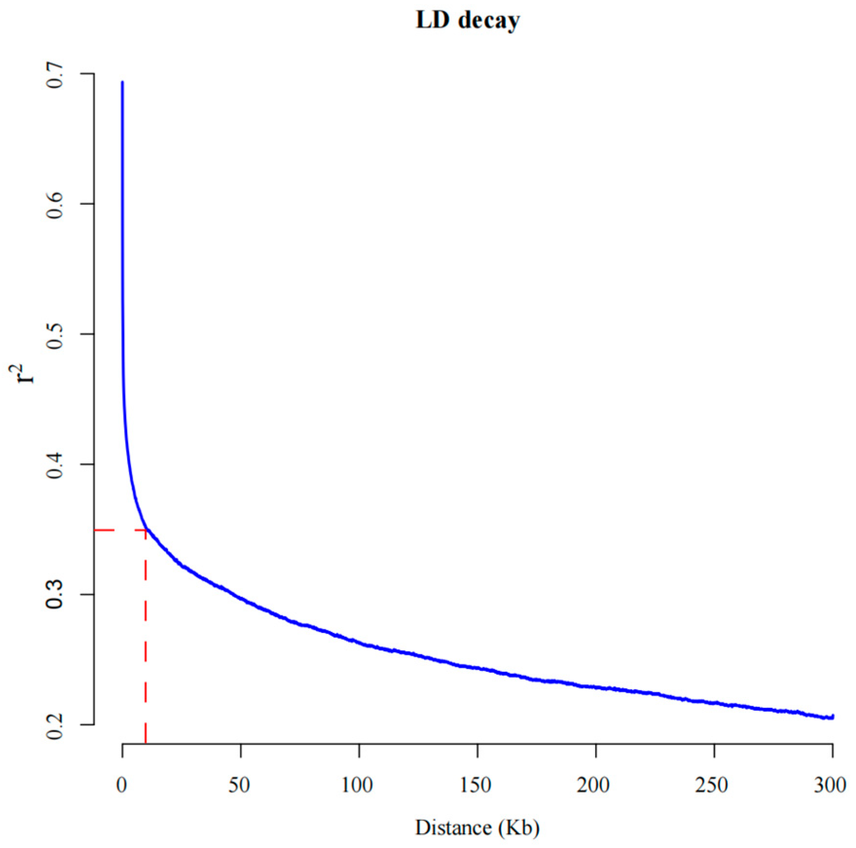
3.3. Genome-Wide Linkage Disequilibrium Analysis
3.4. Genome-Wide Association Analysis of Nutrients
3.5. Candidate Genes
4. Discussion
5. Conclusions
Supplementary Materials
Author Contributions
Funding
Institutional Review Board Statement
Informed Consent Statement
Data Availability Statement
Conflicts of Interest
References
- van Treuren, R.; Coquin, P.; Lohwasser, U. Genetic resources collections of leafy vegetables (lettuce, spinach, chicory, artichoke, asparagus, lamb’s lettuce, rhubarb and rocket salad): Composition and gaps. Genet. Resour. Crop Evol. 2012, 59, 981–997. [Google Scholar] [CrossRef]
- Lester, G.E.; Makus, D.J.; Hodges, D.M.; Jifon, J.L. Summer (subarctic) versus winter (subtropic) production affects spinach (Spinacia oleracea L.) leaf bionutrients: Vitamins (C, E, Folate, K1, provitamin A), lutein, phenolics, and antioxidants. J. Agric. Food Chem. 2013, 61, 7019–7027. [Google Scholar] [CrossRef]
- Fletcher, R.; Bell, I.; Lambert, J. Public health aspects of food fortification: A question of balance. Proc. Nutr. Soc. 2004, 63, 605–614. [Google Scholar] [CrossRef]
- Soetan, K.O.; Olaiya, C.O.; Oyewole, O.E. The importance of mineral elements for humans, domestic animals and plants: A review. Afr. J. Food Sci. 2010, 4, 200–222. [Google Scholar] [CrossRef]
- Ye, S.; Shah, B.R.; Li, J.; Liang, H.; Zhan, F.; Geng, F.; Li, B. A critical review on interplay between dietary fibers and gut microbiota. Trends Food Sci. Technol. 2022, 124, 237–249. [Google Scholar] [CrossRef]
- Zhu, N.; Zhao, C.; Wei, Y.; Sun, C.; Wu, D.; Chen, K. Biosynthetic labeling with 3-O-propargylcaffeyl alcohol reveals in vivo cell-specific patterned lignification in loquat fruits during development and postharvest storage. Hortic. Res. 2021, 8, 61. [Google Scholar] [CrossRef]
- Mou, B. Evaluation of oxalate concentration in the U.S. spinach germplasm collection. HortScience 2008, 43, 1690–1693. [Google Scholar] [CrossRef]
- Bong, W.C.; Vanhanen, L.P.; Savage, G.P. Addition of calcium compounds to reduce soluble oxalate in a high oxalate food system. Food Chem. 2017, 221, 54–57. [Google Scholar] [CrossRef] [PubMed]
- Franceschi, V.R.; Nakata, P.A. Calcium oxalate in plants: Formation and function. Annu. Rev. Plant Biol. 2005, 56, 41–71. [Google Scholar] [CrossRef] [PubMed]
- Noonan, S.C.; Savage, G.P. Oxalate content of foods and its effect on humans. Asia Pac. J. Clin. Nutr. 1999, 8, 64–74. [Google Scholar] [CrossRef]
- Breimer, T. Environmental factors and cultural measures affecting the nitrate content in spinach. Fertil. Res. 1982, 3, 191–292. [Google Scholar] [CrossRef]
- Kawazu, Y.; Okimura, M.; Ishii, T.; Yui, S. Varietal and seasonal differences in oxalate content of spinach. Sci. Hortic. 2003, 97, 203–210. [Google Scholar] [CrossRef]
- Lee, M.-H.; Han, J.-S.; Kozukue, N. Changes of chlorophyll contents in spinach by growth periods and storage. Korean J. Food Cook. Sci. 2005, 21, 339–345. [Google Scholar]
- Qin, J.; Shi, A.; Mou, B.; Grusak, M.A.; Weng, Y.; Ravelombola, W.; Bhattarai, G.; Dong, L.; Yang, W. Genetic diversity and association mapping of mineral element concentrations in spinach leaves. BMC Genom. 2017, 18, 941. [Google Scholar] [CrossRef] [PubMed]
- Shi, A.; Mou, B.; Correll, J.C. Association analysis for oxalate concentration in spinach. Euphytica 2016, 212, 17–28. [Google Scholar] [CrossRef]
- Cai, X.; Sun, X.; Xu, C.; Sun, H.; Wang, X.; Ge, C.; Zhang, Z.; Wang, Q.; Fei, Z.; Jiao, C.; et al. Genomic analyses provide insights into spinach domestication and the genetic basis of agronomic traits. Nat. Commun. 2021, 12, 7246. [Google Scholar] [CrossRef] [PubMed]
- Wu, X.; Chen, F.; Zhao, X.; Pang, C.; Shi, R.; Liu, C.; Sun, C.; Zhang, W.; Wang, X.; Zhang, J. QTL mapping and GWAS reveal the genetic mechanism controlling soluble solids content in Brassica napus shoots. Foods 2021, 10, 2400. [Google Scholar] [CrossRef] [PubMed]
- Huang, X.; Wei, X.; Sang, T.; Zhao, Q.; Feng, Q.; Zhao, Y.; Li, C.; Zhu, C.; Lu, T.; Zhang, Z.; et al. Genome-wide association studies of 14 agronomic traits in rice landraces. Nat. Genet. 2010, 42, 961–967. [Google Scholar] [CrossRef] [PubMed]
- Zhang, X.; Guan, Z.; Wang, L.; Fu, J.; Zhang, Y.; Li, Z.; Ma, L.; Liu, P.; Zhang, Y.; Liu, M.; et al. Combined GWAS and QTL analysis for dissecting the genetic architecture of kernel test weight in maize. Mol. Genet. Genom. 2020, 295, 409–420. [Google Scholar] [CrossRef] [PubMed]
- Li, M.; Wu, X.; Wang, B.; Wu, X.; Wang, Y.; Wang, J.; Dong, J.; Wu, J.; Lu, Z.; Sun, Y.; et al. Genome-wide association analysis reveals the optimal genomic regions for pod size in bean. Front. Plant Sci. 2023, 14, 1138988. [Google Scholar] [CrossRef]
- Zhao, J.; Sauvage, C.; Zhao, J.; Bitton, F.; Bauchet, G.; Liu, D.; Huang, S.; Tieman, D.M.; Klee, H.J.; Causse, M. Meta-analysis of genome-wide association studies provides insights into genetic control of tomato flavor. Nat. Commun. 2019, 10, 1534. [Google Scholar] [CrossRef] [PubMed]
- Yang, Y.; Dong, S.; Miao, H.; Liu, X.; Dai, Z.; Li, X.; Gu, X.; Zhang, S. Genome-wide association studies reveal candidate genes related to stem diameter in cucumber (Cucumis sativus L.). Genes 2022, 13, 1095. [Google Scholar] [CrossRef] [PubMed]
- Wu, L.; Wang, P.; Wang, Y.; Cheng, Q.; Lu, Q.; Liu, J.; Li, T.; Ai, Y.; Yang, W.; Sun, L.; et al. Genome-wide correlation of 36 agronomic traits in the 287 pepper (Capsicum) accessions obtained from the SLAF-seq-based GWAS. Int. J. Mol. Sci. 2019, 20, 5675. [Google Scholar] [CrossRef] [PubMed]
- Yan, H.; Wang, K.; Wang, M.; Feng, L.; Zhang, H.; Wei, X. QTL mapping and genome-wide association study reveal genetic loci and candidate genes related to soluble solids content in melon. Curr. Issues Mol. Biol. 2023, 45, 7110–7129. [Google Scholar] [CrossRef] [PubMed]
- Brainard, S.H.; Ellison, S.L.; Simon, P.W.; Dawson, J.C.; Goldman, I.L. Genetic characterization of carrot root shape and size using genome-wide association analysis and genomic-estimated breeding values. Theor. Appl. Genet. 2022, 135, 605–622. [Google Scholar] [CrossRef] [PubMed]
- Awika, H.; Cochran, K.; Joshi, V.; Bedre, R.; Mandadi, K.; Avila, C. Single-marker and haplotype-based association analysis of anthracnose (Colletotrichum dematium) resistance in spinach (Spinacia oleracea). Plant Breed. 2019, 139, 402–418. [Google Scholar] [CrossRef]
- Awika, H.O.; Marconi, T.G.; Bedre, R.; Mandadi, K.K.; Avila, C.A. Minor alleles are associated with white rust (Albugo occidentalis) susceptibility in spinach (Spinacia oleracea). Hortic. Res. 2019, 6, 129. [Google Scholar] [CrossRef]
- Bhattarai, G.; Yang, W.; Shi, A.; Feng, C.; Dhillon, B.; Correll, J.C.; Mou, B. High resolution mapping and candidate gene identification of downy mildew race 16 resistance in spinach. BMC Genom. 2021, 22, 478. [Google Scholar] [CrossRef]
- Shi, A.; Bhattarai, G.; Xiong, H.; Avila, C.A.; Feng, C.; Liu, B.; Joshi, V.; Stein, L.; Mou, B.; du Toit, L.J.; et al. Genome-wide association study and genomic prediction of white rust resistance in USDA GRIN spinach germplasm. Hortic. Res. 2022, 9, uhac069. [Google Scholar] [CrossRef]
- Shi, A.; Mou, B.; Correll, J.C.; Motes, D.; Weng, Y.; Qin, J.; Yang, W. SNP association analysis of resistance to Verticillium wilt (‘Verticillium dahliae’ Kleb.) in spinach. Aust. J. Crop Sci. 2016, 10, 1188–1196. [Google Scholar] [CrossRef]
- Wang, H.; Liu, Z.; Wang, X.; Wu, J.; Zhang, H.; Xia, Z.; Xu, Z.; Qian, W. Genome-wide association studies for monoecism in spinach. Acta Hortic. Sin. 2019, 46, 1495–1502. [Google Scholar] [CrossRef]
- She, H.; Liu, Z.; Xu, Z.; Zhang, H.; Qian, W. Nutritional quality analysis and evaluation of different spinach accessions. J. Chang. Veg. 2021, 24, 45–51. [Google Scholar] [CrossRef]
- Murray, M.G.; Thompson, W.F. Rapid isolation of high molecular weight plant DNA. Nucleic Acids Res. 1980, 8, 4321–4325. [Google Scholar] [CrossRef] [PubMed]
- Chen, S.; Zhou, Y.; Chen, Y.; Gu, J. fastp: An ultra-fast all-in-one FASTQ preprocessor. Bioinformatics 2018, 34, i884–i890. [Google Scholar] [CrossRef] [PubMed]
- Collins, K.; Zhao, K.; Jiao, C.; Xu, C.; Cai, X.; Wang, X.; Ge, C.; Dai, S.; Wang, Q.; Wang, Q.; et al. SpinachBase: A central portal for spinach genomics. Database J. Biol. Databases Curation 2019, 2019, baz072. [Google Scholar] [CrossRef] [PubMed]
- Li, H.; Handsaker, B.; Wysoker, A.; Fennell, T.; Ruan, J.; Homer, N.; Marth, G.; Abecasis, G.; Durbin, R. The sequence alignment/map format and SAMtools. Bioinformatics 2009, 25, 2078–2079. [Google Scholar] [CrossRef] [PubMed]
- Van der Auwera, G.A.; Carneiro, M.O.; Hartl, C.; Poplin, R.; Del Angel, G.; Levy-Moonshine, A.; Jordan, T.; Shakir, K.; Roazen, D.; Thibault, J.; et al. From FastQ data to high confidence variant calls: The Genome Analysis Toolkit best practices pipeline. Curr. Protoc. Bioinform. 2013, 43, 11.10.1–11.10.33. [Google Scholar] [CrossRef]
- Danecek, P.; Auton, A.; Abecasis, G.; Albers, C.A.; Banks, E.; DePristo, M.A.; Handsaker, R.E.; Lunter, G.; Marth, G.T.; Sherry, S.T.; et al. The variant call format and VCFtools. Bioinformatics 2011, 27, 2156–2158. [Google Scholar] [CrossRef]
- Wang, K.; Li, M.; Hakonarson, H. ANNOVAR: Functional annotation of genetic variants from high-throughput sequencing data. Nucleic Acids Res. 2010, 38, e164. [Google Scholar] [CrossRef]
- Zhang, C.; Dong, S.S.; Xu, J.Y.; He, W.M.; Yang, T.L. PopLDdecay: A fast and effective tool for linkage disequilibrium decay analysis based on variant call format files. Bioinformatics 2019, 35, 1786–1788. [Google Scholar] [CrossRef]
- Dong, S.-S.; He, W.-M.; Ji, J.-J.; Zhang, C.; Guo, Y.; Yang, T.-L. LDBlockShow: A fast and convenient tool for visualizing linkage disequilibrium and haplotype blocks based on variant call format files. Brief. Bioinform. 2020, 22, bbaa227. [Google Scholar] [CrossRef] [PubMed]
- Yin, L.; Zhang, H.; Tang, Z.; Xu, J.; Yin, D.; Zhang, Z.; Yuan, X.; Zhu, M.; Zhao, S.; Li, X.; et al. rMVP: A memory-efficient, visualization-enhanced, and parallel-accelerated tool for genome-wide association study. Genom. Proteom. Bioinform. 2021, 19, 619–628. [Google Scholar] [CrossRef] [PubMed]
- Chen, C.; Wu, Y.; Li, J.; Wang, X.; Zeng, Z.; Xu, J.; Liu, Y.; Feng, J.; Chen, H.; He, Y.; et al. TBtools-II: A “one for all, all for one” bioinformatics platform for biological big-data mining. Mol. Plant 2023, 16, 1733–1742. [Google Scholar] [CrossRef] [PubMed]
- Kim, S.; Plagnol, V.; Hu, T.T.; Toomajian, C.; Clark, R.M.; Ossowski, S.; Ecker, J.R.; Weigel, D.; Nordborg, M. Recombination and linkage disequilibrium in Arabidopsis thaliana. Nat. Genet. 2007, 39, 1151–1155. [Google Scholar] [CrossRef] [PubMed]
- Xu, C.; Jiao, C.; Sun, H.; Cai, X.; Wang, X.; Ge, C.; Zheng, Y.; Liu, W.; Sun, X.; Xu, Y.; et al. Draft genome of spinach and transcriptome diversity of 120 Spinacia accessions. Nat. Commun. 2017, 8, 15275. [Google Scholar] [CrossRef]
- Sadeghzadeh, B. A review of zinc nutrition and plant breeding. J. Soil Sci. Plant Nutr. 2013, 13, 905–927. [Google Scholar] [CrossRef]
- Xu, W.; Liu, H.; Li, S.; Zhang, W.; Wang, Q.; Zhang, H.; Liu, X.; Cui, X.; Chen, X.; Tang, W. GWAS and identification of candidate genes associated with seed soluble sugar content in vegetable soybean. Agronomy 2022, 12, 1470. [Google Scholar] [CrossRef]
- Gyawali, S.; Otte, M.L.; Chao, S.; Jilal, A.; Jacob, D.L.; Amezrou, R.; Verma, R.P.S. Genome wide association studies (GWAS) of element contents in grain with a special focus on zinc and iron in a world collection of barley (Hordeum vulgare L.). J. Cereal Sci. 2017, 77, 266–274. [Google Scholar] [CrossRef]
- Korte, A.; Farlow, A. The advantages and limitations of trait analysis with GWAS: A review. Plant Methods 2013, 9, 29. [Google Scholar] [CrossRef]
- Liu, Z.; Gao, S.; Zhang, H.; Xu, Z.; Qian, W. Genome-wide association study reveals that PvGUX1_1 is associated with pod stringlessness in snap bean (Phaseolus vulgaris L.). Biology 2022, 11, 611. [Google Scholar] [CrossRef]
- Mather, K.A.; Caicedo, A.L.; Polato, N.R.; Olsen, K.M.; McCouch, S.; Purugganan, M.D. The extent of linkage disequilibrium in rice (Oryza sativa L.). Genetics 2007, 177, 2223–2232. [Google Scholar] [CrossRef] [PubMed]
- Willows, R.D. Chlorophylls. Plant Pigment. Their Manip. 2004, 14, 23–56. [Google Scholar]
- Rüdiger, W. Biosynthesis of chlorophyll b and the chlorophyll cycle. Photosynth. Res. 2002, 74, 187–193. [Google Scholar] [CrossRef] [PubMed]
- Tanaka, A.; Ito, H.; Tanaka, R.; Tanaka, N.K.; Yoshida, K.; Okada, K. Chlorophyll a oxygenase (CAO) is involved in chlorophyll b formation from chlorophyll a. Proc. Natl. Acad. Sci. USA 1998, 95, 12719–12723. [Google Scholar] [CrossRef]
- Rogers, E.E.; Guerinot, M.L. FRD3, a member of the multidrug and toxin efflux family, controls iron deficiency responses in Arabidopsis. Plant Cell 2002, 14, 1787–1799. [Google Scholar] [CrossRef]
- Tang, W.; Wang, W.; Chen, D.; Ji, Q.; Jing, Y.; Wang, H.; Lin, R. Transposase-derived proteins FHY3/FAR1 interact with PHYTOCHROME-INTERACTING FACTOR1 to regulate chlorophyll biosynthesis by modulating HEMB1 during deetiolation in Arabidopsis. Plant Cell 2012, 24, 1984–2000. [Google Scholar] [CrossRef]
- Makarova, K.S.; Aravind, L.; Koonin, E.V. SWIM, a novel Zn-chelating domain present in bacteria, archaea and eukaryotes. Trends Biochem. Sci. 2002, 27, 384–386. [Google Scholar] [CrossRef] [PubMed]
- Davies, T.G.; Thomas, H.; Thomas, B.J.; Rogers, L.J. Leaf senescence in a nonyellowing mutant of festuca pratensis: Metabolism of cytochrome f. Plant Physiol. 1990, 93, 588–595. [Google Scholar] [CrossRef]
- López-Juez, E.; Paul Jarvis, R.; Takeuchi, A.; Page, A.M.; Chory, J. New Arabidopsis cue mutants suggest a close connection between plastid-and phytochrome regulation of nuclear gene expression. Plant Physiol. 1998, 118, 803–815. [Google Scholar] [CrossRef]
- Okutani, I.; Sugiyama, N. Relationship between oxalate concentration and leaf position in various spinach cultivars. HortScience 1994, 29, 1019–1021. [Google Scholar] [CrossRef]
- Oguchi, Y.; Weerakkody, W.A.P.; Tanaka, A.; Nakazawa, S.; Ando, T. Varietal differences of quality-related compounds in leaves and petioles of spinach grown at two locations. Bull. Hiroshima Prefect. Agric. Res. Cent. 1996, 64, 1–9. [Google Scholar]
- Kaminishi, A.; Kita, N. Seasonal change of nitrate and oxalate concentration in relation to the growth rate of spinach cultivars. HortScience 2006, 41, 1589–1595. [Google Scholar] [CrossRef]
- Ajayi, O.O.; Held, M.A.; Showalter, A.M. Three β-glucuronosyltransferase genes involved in arabinogalactan biosynthesis function in arabidopsis growth and development. Plants 2021, 10, 1172. [Google Scholar] [CrossRef] [PubMed]
- Kato-Noguchi, H.; Yasuda, Y.; Sasaki, R. Soluble sugar availability of aerobically germinated barley, oat and rice coleoptiles in anoxia. J. Plant Physiol. 2010, 167, 1571–1576. [Google Scholar] [CrossRef]
- Wang, L.; Zhang, S.; Li, J.; Zhang, Y.; Zhou, D.; Li, C.; He, L.; Li, H.; Wang, F.; Gao, J. Identification of key genes controlling soluble sugar and glucosinolate biosynthesis in Chinese cabbage by integrating metabolome and genome-wide transcriptome analysis. Front. Plant Sci. 2022, 13, 1043489. [Google Scholar] [CrossRef]
- Reimann, T.; Zierer, W.; Subert, C.; Sauer, N.; Stadler, R. STP10 encodes a high-affinity monosaccharide transporter and is induced under low-glucose conditions in pollen tubes of Arabidopsis. J. Exp. Bot. 2016, 67, erw048. [Google Scholar] [CrossRef]
- Abbaspour, N.; Hurrell, R.; Kelishadi, R. Review on iron and its importance for human health. J. Res. Med. Sci. 2014, 19, 164. [Google Scholar] [PubMed]
- Rout, G.R.; Sahoo, S. Role of iron in plant growth and metabolism. Rev. Agric. Sci. 2015, 3, 1–24. [Google Scholar] [CrossRef]
- Friedman, E.J.; Wang, H.X.; Jiang, K.; Perovic, I.; Deshpande, A.R.; Pochapsky, T.C.; Temple, B.R.S.; Hicks, S.N.; Harden, T.K.; Jones, A.M. Acireductone dioxygenase 1 (ARD1) is an effector of the heterotrimeric G protein β subunit in Arabidopsis*. J. Biol. Chem. 2011, 286, 30107–30118. [Google Scholar] [CrossRef]
- Hasan, N.; Choudhary, S.; Naaz, N.; Sharma, N.; Laskar, R.A. Recent advancements in molecular marker-assisted selection and applications in plant breeding programmes. J. Genet. Eng. Biotechnol. 2021, 19, 128. [Google Scholar] [CrossRef]




| Trait | Average | Minimum | Maximum | Range | Standard Deviation | Coefficient of Variation (%) |
|---|---|---|---|---|---|---|
| Chlorophyll A (mg/g) | 0.749 | 0.480 | 1.187 | 0.707 | 0.176 | 23.541 |
| Chlorophyll B (mg/g) | 0.308 | 0.170 | 0.466 | 0.296 | 0.082 | 26.739 |
| Oxalate (g/kg) | 4.614 | 1.860 | 8.890 | 7.03 | 1.360 | 29.509 |
| Nitrate (g/kg) | 0.996 | 0.260 | 2.240 | 1.98 | 0.575 | 57.716 |
| Crude Fiber (%) | 0.728 | 0.590 | 0.870 | 0.28 | 0.063 | 8.714 |
| Soluble Sugar (%) | 0.647 | 0.140 | 1.640 | 1.5 | 0.420 | 64.849 |
| Mn (mg/kg) | 6.56 | 4.00 | 10.70 | 6.7 | 1.369 | 20.864 |
| Cu (mg/kg) | 1.235 | 0.91 | 3.30 | 2.39 | 0.329 | 26.626 |
| Fe (mg/kg) | 135.542 | 77 | 265 | 188 | 32.201 | 23.757 |
| Trait | SNP | Chr. | Position | Alleles | −Log10(P) | R-Square(%) | |
|---|---|---|---|---|---|---|---|
| Chlorophyll A | SOVchr4-65150089 | 4 | 65150089 | C | A | 10.93 | 0.14 |
| SOVchr4-6134363 | 4 | 6134363 | G | T | 10.91 | 0.11 | |
| SOVchr4-63008113 | 4 | 63008113 | G | C | 10.54 | 0.12 | |
| SOVchr1-96376944 | 1 | 96376944 | C | A | 9.55 | 0.08 | |
| SOVchr6-145880662 | 6 | 145880662 | T | G | 8.13 | 0.06 | |
| SOVchr4-26424208 | 4 | 26424208 | G | A | 6.44 | 0.07 | |
| Chlorophyll B | SOVchr4-65150089 | 4 | 65150089 | C | A | 10.93 | 0.06 |
| SOVchr4-105925437 | 4 | 105925437 | G | T | 8.82 | 0.04 | |
| SOVchr4-145620388 | 4 | 145620388 | G | T | 7.75 | 0.02 | |
| SOVchr4-179951205 | 4 | 179951205 | A | G | 7.30 | 0.03 | |
| SOVchr1-93842468 | 1 | 93842468 | A | C | 7.16 | 0.03 | |
| SOVchr6-87982689 | 6 | 87982689 | T | A | 6.94 | 0.05 | |
| SOVchr4-6134363 | 4 | 6134363 | G | T | 6.80 | 0.03 | |
| SOVchr4-163832653 | 4 | 163832653 | G | A | 6.70 | 0.03 | |
| Oxalate | SOVchr1-50807332 | 1 | 50807332 | G | T | 7.59 | 2.59 |
| SOVchr2-79590343 | 2 | 79590343 | T | C | 7.23 | 1.32 | |
| SOVchr1-119069592 | 1 | 119069592 | T | C | 7.22 | 1.17 | |
| SOVchr3-43424516 | 3 | 43424516 | C | T | 7.22 | 2.41 | |
| SOVchr1-50996180 | 1 | 50996180 | G | T | 6.97 | 1.23 | |
| SOVchr1-50996185 | 1 | 50996185 | T | C | 6.97 | 1.23 | |
| SOVchr1-50934532 | 1 | 50934532 | C | T | 6.88 | 1.25 | |
| SOVchr1-50565605 | 1 | 50565605 | C | T | 6.87 | 1.44 | |
| SOVchr1-14238191 | 1 | 14238191 | A | G | 6.75 | 1.49 | |
| SOVchr1-50453692 | 1 | 50453692 | C | T | 6.67 | 1.20 | |
| SOVchr1-50453768 | 1 | 50453768 | G | A | 6.67 | 1.20 | |
| SOVchr1-51019015 | 1 | 51019015 | T | C | 6.54 | 1.22 | |
| SOVchr1-51024100 | 1 | 51024100 | A | C | 6.54 | 1.22 | |
| SOVchr1-50731214 | 1 | 50731214 | C | T | 6.53 | 1.23 | |
| SOVchr3-136466183 | 3 | 136466183 | T | C | 6.53 | 1.76 | |
| Nitrate | SOVchr1-64960432 | 1 | 64960432 | T | G | 7.41 | 0.65 |
| SOVchr1-64744070 | 1 | 64744070 | C | T | 7.34 | 0.59 | |
| SOVchr4-148946915 | 4 | 148946915 | G | T | 7.32 | 0.63 | |
| SOVchr4-148947017 | 4 | 148947017 | A | G | 7.32 | 0.63 | |
| SOVchr1-64639785 | 1 | 64639785 | A | C | 7.28 | 0.56 | |
| SOVchr1-64726231 | 1 | 64726231 | A | G | 7.28 | 0.56 | |
| SOVchr1-64873483 | 1 | 64873483 | T | C | 7.21 | 0.60 | |
| SOVchr1-64971908 | 1 | 64971908 | T | G | 7.21 | 0.60 | |
| SOVchr1-64636577 | 1 | 64636577 | A | T | 7.21 | 0.60 | |
| SOVchr1-64255238 | 1 | 64255238 | A | T | 6.99 | 0.62 | |
| SOVchr1-122781901 | 1 | 122781901 | T | C | 6.95 | 0.40 | |
| SOVchr2-66337447 | 2 | 66337447 | C | A | 6.85 | 1.04 | |
| SOVchr1-122779934 | 1 | 122779934 | C | T | 6.84 | 0.38 | |
| SOVchr1-122779963 | 1 | 122779963 | T | C | 6.84 | 0.38 | |
| SOVchr1-122779967 | 1 | 122779967 | C | T | 6.84 | 0.38 | |
| SOVchr1-64826287 | 1 | 64826287 | T | C | 6.80 | 0.52 | |
| SOVchr1-64490849 | 1 | 64490849 | A | G | 6.75 | 0.54 | |
| SOVchr1-64740737 | 1 | 64740737 | T | C | 6.75 | 0.54 | |
| SOVchr1-64781014 | 1 | 64781014 | T | C | 6.75 | 0.54 | |
| SOVchr1-64983706 | 1 | 64983706 | C | A | 6.75 | 0.54 | |
| SOVchr1-65008639 | 1 | 65008639 | T | G | 6.75 | 0.54 | |
| SOVchr1-122781886 | 1 | 122781886 | A | T | 6.71 | 0.39 | |
| SOVchr1-94072908 | 1 | 94072908 | C | T | 6.69 | 0.43 | |
| SOVchr4-148944398 | 4 | 148944398 | T | G | 6.69 | 0.67 | |
| SOVchr1-64667101 | 1 | 64667101 | A | C | 6.67 | 0.61 | |
| SOVchr1-64675881 | 1 | 64675881 | G | C | 6.67 | 0.61 | |
| SOVchr1-64686189 | 1 | 64686189 | T | A | 6.67 | 0.61 | |
| SOVchr1-64772753 | 1 | 64772753 | A | G | 6.67 | 0.61 | |
| SOVchr1-64772980 | 1 | 64772980 | T | C | 6.67 | 0.61 | |
| SOVchr1-64782044 | 1 | 64782044 | T | G | 6.67 | 0.61 | |
| SOVchr1-64782074 | 1 | 64782074 | G | A | 6.67 | 0.61 | |
| SOVchr1-64858451 | 1 | 64858451 | T | G | 6.67 | 0.61 | |
| SOVchr1-64859462 | 1 | 64859462 | C | T | 6.67 | 0.61 | |
| SOVchr1-64871632 | 1 | 64871632 | T | G | 6.67 | 0.61 | |
| SOVchr1-64879489 | 1 | 64879489 | T | C | 6.67 | 0.61 | |
| SOVchr1-64894852 | 1 | 64894852 | A | G | 6.67 | 0.61 | |
| SOVchr1-64898345 | 1 | 64898345 | A | G | 6.67 | 0.61 | |
| SOVchr1-64899576 | 1 | 64899576 | T | C | 6.67 | 0.61 | |
| SOVchr1-64902305 | 1 | 64902305 | T | C | 6.67 | 0.61 | |
| SOVchr1-64905439 | 1 | 64905439 | G | A | 6.67 | 0.61 | |
| SOVchr1-64916919 | 1 | 64916919 | G | C | 6.67 | 0.61 | |
| SOVchr1-64924310 | 1 | 64924310 | A | G | 6.67 | 0.61 | |
| SOVchr1-64949052 | 1 | 64949052 | T | G | 6.67 | 0.61 | |
| SOVchr1-64972031 | 1 | 64972031 | T | G | 6.67 | 0.61 | |
| SOVchr1-64993886 | 1 | 64993886 | A | C | 6.67 | 0.61 | |
| SOVchr1-65009190 | 1 | 65009190 | T | C | 6.67 | 0.61 | |
| SOVchr1-65011906 | 1 | 65011906 | G | C | 6.67 | 0.61 | |
| SOVchr1-65439679 | 1 | 65439679 | T | C | 6.67 | 0.61 | |
| SOVchr1-122780968 | 1 | 122780968 | G | A | 6.65 | 0.38 | |
| SOVchr1-36836579 | 1 | 36836579 | C | T | 6.63 | 0.47 | |
| SOVchr1-64730231 | 1 | 64730231 | T | G | 6.56 | 0.56 | |
| SOVchr1-64820621 | 1 | 64820621 | T | C | 6.56 | 0.56 | |
| SOVchr1-64906356 | 1 | 64906356 | A | C | 6.56 | 0.56 | |
| SOVchr1-9323565 | 1 | 9323565 | A | G | 6.54 | 0.47 | |
| SOVchr4-161857844 | 4 | 161857844 | C | T | 6.53 | 0.57 | |
| SOVchr4-161857853 | 4 | 161857853 | G | A | 6.53 | 0.57 | |
| SOVchr4-161857864 | 4 | 161857864 | G | T | 6.53 | 0.57 | |
| SOVchr4-161857871 | 4 | 161857871 | G | A | 6.53 | 0.57 | |
| SOVchr1-65248580 | 1 | 65248580 | A | C | 6.53 | 0.46 | |
| Soluble Sugar | SOVchr4-62896056 | 4 | 62896056 | G | A | 7.15 | 0.16 |
| SOVchr1-122779550 | 1 | 122779550 | T | A | 6.89 | 0.09 | |
| SOVchr2-78543061 | 2 | 78543061 | C | T | 6.87 | 0.18 | |
| Mn | SOVchr5-42208975 | 5 | 42208975 | A | G | 7.06 | 1.27 |
| SOVchr5-40744482 | 5 | 40744482 | G | A | 6.80 | 1.67 | |
| SOVchr4-54452300 | 4 | 54452300 | C | T | 6.58 | 1.92 | |
| Cu | SOVchr2-26477848 | 2 | 26477848 | A | G | 31.54 | 1.36 |
| SOVchr1-6225211 | 1 | 6225211 | C | A | 26.58 | 0.32 | |
| SOVchr3-33311145 | 3 | 33311145 | T | C | 10.51 | 0.12 | |
| SOVchr3-136997057 | 3 | 136997057 | T | C | 9.49 | 0.10 | |
| SOVchr4-25830607 | 4 | 25830607 | A | T | 8.73 | 0.05 | |
| SOVchr5-91037611 | 5 | 91037611 | A | C | 7.81 | 0.09 | |
| SOVchr6-66852190 | 6 | 66852190 | T | C | 6.93 | 0.08 | |
| SOVchr4-5213538 | 4 | 5213538 | C | T | 6.75 | 0.04 | |
| Fe | SOVchr1-43602473 | 1 | 43602473 | C | A | 7.14 | 42.40 |
| SOVchr5-91913409 | 5 | 91913409 | T | C | 6.71 | 48.32 | |
Disclaimer/Publisher’s Note: The statements, opinions and data contained in all publications are solely those of the individual author(s) and contributor(s) and not of MDPI and/or the editor(s). MDPI and/or the editor(s) disclaim responsibility for any injury to people or property resulting from any ideas, methods, instructions or products referred to in the content. |
© 2024 by the authors. Licensee MDPI, Basel, Switzerland. This article is an open access article distributed under the terms and conditions of the Creative Commons Attribution (CC BY) license (https://creativecommons.org/licenses/by/4.0/).
Share and Cite
Ji, N.; Liu, Z.; She, H.; Xu, Z.; Zhang, H.; Fang, Z.; Qian, W. A Genome-Wide Association Study Reveals the Genetic Mechanisms of Nutrient Accumulation in Spinach. Genes 2024, 15, 172. https://doi.org/10.3390/genes15020172
Ji N, Liu Z, She H, Xu Z, Zhang H, Fang Z, Qian W. A Genome-Wide Association Study Reveals the Genetic Mechanisms of Nutrient Accumulation in Spinach. Genes. 2024; 15(2):172. https://doi.org/10.3390/genes15020172
Chicago/Turabian StyleJi, Ni, Zhiyuan Liu, Hongbing She, Zhaosheng Xu, Helong Zhang, Zhengwu Fang, and Wei Qian. 2024. "A Genome-Wide Association Study Reveals the Genetic Mechanisms of Nutrient Accumulation in Spinach" Genes 15, no. 2: 172. https://doi.org/10.3390/genes15020172
APA StyleJi, N., Liu, Z., She, H., Xu, Z., Zhang, H., Fang, Z., & Qian, W. (2024). A Genome-Wide Association Study Reveals the Genetic Mechanisms of Nutrient Accumulation in Spinach. Genes, 15(2), 172. https://doi.org/10.3390/genes15020172

