Genotypic Influences on Actuators of Aerobic Performance in Tactical Athletes
Abstract
1. Introduction
2. Materials and Methods
3. Results
3.1. Physiological Characteristics of the Test of Loaded Ramped Running Exercise
3.2. Genetic Characteristics
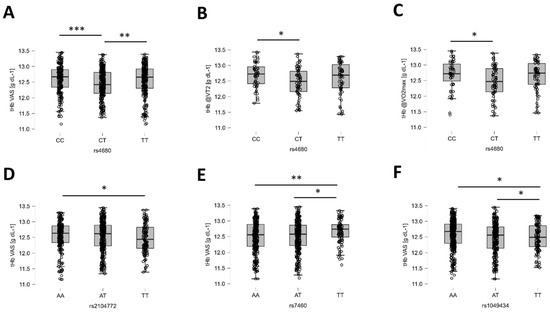
3.3. Exploratory Associations of Genotypes with Oxygen Transport
3.4. Exploratory Influence on Pulmonary Parameters
3.5. Exploratory Influence on Cardiovascular Parameters
3.6. Exploratory Influence on Muscle Metabolism Related Parameters
3.7. Exploratory Influence on Physical Performance
3.8. Exploratory Influence on Recovery from Exercise
4. Discussion
5. Conclusions
Supplementary Materials
Author Contributions
Funding
Institutional Review Board Statement
Informed Consent Statement
Data Availability Statement
Acknowledgments
Conflicts of Interest
References
- van der Zwaard, S.; Brocherie, F.; Jaspers, R.T. Under the Hood: Skeletal Muscle Determinants of Endurance Performance. Front. Sports Act. Living 2021, 3, 719434. [Google Scholar] [CrossRef] [PubMed]
- Liu, Y.; Abdullah, B.B.; Abu Saad, H.B. Effects of high-intensity interval training on strength, speed, and endurance performance among racket sports players: A systematic review. PLoS ONE 2024, 19, e0295362. [Google Scholar] [CrossRef] [PubMed]
- Hornick, A.; Daniels, C.J. Cardiovascular Evaluation and Treatment in the Endurance Athlete. In Endurance Sports Medicine: A Clinical Guide, 2nd ed.; Springer International Publishing: Berlin/Heidelberg, Germany, 2023; pp. 19–36. [Google Scholar]
- Konopka, M.J.; Zeegers, M.P.; Solberg, P.A.; Delhaije, L.; Meeusen, R.; Ruigrok, G.; Rietjens, G.; Sperlich, B. Factors associated with high-level endurance performance: An expert consensus derived via the Delphi technique. PLoS ONE 2022, 17, e0279492. [Google Scholar] [CrossRef] [PubMed]
- Hoppeler, H.; Vogt, M.; Weibel, E.R.; Flück, M. Response of Skeletal Muscle Mitochondria to Hypoxia. Exp. Physiol. 2003, 88, 109–119. [Google Scholar] [CrossRef] [PubMed]
- Biro, G.P. From the Atmosphere to the Mitochondrion: The Oxygen Cascade. In Hemoglobin-Based Oxygen Carriers as Red Cell Substitutes and Oxygen Therapeutics; Kim, H., Greenburg, A., Eds.; Springer: Berlin/Heidelberg, Germany, 2013. [Google Scholar]
- Polymeropoulos, E.T.; Milsom, W.K. Editorial: Untangling the oxygen transport cascade: A tribute to Peter Frappell (Frapps). J. Comp. Physiol. B 2021, 191, 973–978. [Google Scholar] [CrossRef]
- Dominelli, P.B.; Wiggins, C.C.; Roy, T.K.; Secomb, T.W.; Curry, T.B.; Joyner, M.J. The Oxygen Cascade During Exercise in Health and Disease. Mayo Clin. Proc. 2021, 96, 1017–1032. [Google Scholar] [CrossRef]
- Li, N.; Cruz, J.; Chien, C.S.; Sojoudi, S.; Recht, B.; Stone, D.; Csete, M.; Bahmiller, D.; Doyle, J.C. Robust efficiency and actuator saturation explain healthy heart rate control and variability. Proc. Natl. Acad. Sci. USA 2014, 111, E3476–E3485. [Google Scholar] [CrossRef]
- Di Prampero, P.E. Metabolic and circulatory limitations to VO2 max at the whole animal level. J. Exp. Biol. 1985, 115, 319–331. [Google Scholar] [CrossRef]
- Weibel, E.R.; Taylor, C.R.; Hoppeler, H. The concept of symmorphosis: A testable hypothesis of structure-function relationship. Proc. Natl. Acad. Sci. USA 1991, 88, 10357–10361. [Google Scholar] [CrossRef]
- Hoppeler, H.; Weibel, E.R. Limits for Oxygen and Substrate Transport in Mammals. J. Exp. Biol. 1998, 201 Pt 8, 1051–1064. [Google Scholar] [CrossRef]
- Treacher, D.F.; Leach, R.M. Oxygen transport-1. Basic principles. BMJ 1998, 317, 1302–1306. [Google Scholar] [CrossRef] [PubMed]
- Yartsev, A. The Oxygen Cascade. 2019. Available online: https://derangedphysiology.com/main/cicm-primary-exam/required-reading/respiratory-system/Chapter%20101/oxygen-cascade (accessed on 26 November 2024).
- Gonzalez-Alonso, J.; Mortensen, S.P. Comments of point:counterpoint: Maximal oxygen uptake is/is not limited by a central nervous system governor. J. Appl. Physiol. 2009, 106, 344–345. [Google Scholar] [PubMed]
- Levine, B.D. VO2max: What do we know, and what do we still need to know? J. Physiol. 2008, 586, 25–34. [Google Scholar] [CrossRef] [PubMed]
- Dufour, S.P.; Ponsot, E.; Zoll, J.; Doutreleau, S.; Lonsdorfer-Wolf, E.; Geny, B.; Lonsdorfer, J. Exercise training in normobaric hypoxia in endurance runners. I. Improvement in aerobic performance capacity. J. Appl. Physiol. 2006, 100, 1238–1248. [Google Scholar] [CrossRef] [PubMed]
- Noonan, V.; Dean, E. Submaximal Exercise Testing: Clinical Application and Interpretation. Phys. Ther. 2000, 80, 782–807. [Google Scholar] [CrossRef]
- Michalik, K.; Danek, N. Submaximal Verification Test to Exhaustion Confirms Maximal Oxygen Uptake: Roles of Anaerobic Performance and Respiratory Muscle Strength. J. Clin. Med. 2024, 13, 5758. [Google Scholar] [CrossRef]
- Williams, C.J.; Williams, M.G.; Eynon, N.; Ashton, K.J.; Little, J.P.; Wisloff, U.; Coombes, J.S. Genes to predict VO2max trainability: A systematic review. BMC Genom. 2017, 18 (Suppl. S8), 81–110. [Google Scholar] [CrossRef]
- Flück, M.; Kramer, M.; Fitze, D.P.; Kasper, S.; Franchi, M.V.; Valdivieso, P. Cellular Aspects of Muscle Specialization Demonstrate Genotype—Phenotype Interaction Effects in Athletes. Front. Physiol. 2019, 10, 526. [Google Scholar] [CrossRef]
- Bouchard, C.; Sarzynski, M.A.; Rice, T.K.; Kraus, W.E.; Church, T.S.; Sung, Y.J.; Rao, D.C.; Rankinen, T. Genomic predictors of the maximal O2 uptake response to standardized exercise training programs. J. Appl. Physiol. 2011, 110, 1160–1170. [Google Scholar] [CrossRef]
- Bouchard, C.; Daw, E.W.; Rice, T.; Pérusse, L.; Gagnon, J.; Province, M.A.; Leon, A.S.; Rao, D.C.; Skinner, J.S.; Wilmore, J.H. Familial resemblance for VO2max in the sedentary state: The HERITAGE family study. Med. Sci. Sports Exerc. 1998, 30, 252–258. [Google Scholar] [CrossRef]
- Chung, H.C.; Keiller, D.R.; Roberts, J.D.; Gordon, D.A. Do exercise-associated genes explain phenotypic variance in the three components of fitness? A systematic review & meta-analysis. PLoS ONE 2021, 16, e0249501. [Google Scholar] [CrossRef]
- Fountain, J.H.; Kaur, J.; Lappin, S.L. Physiology, Renin Angiotensin System; StatPearls: Treasure Island, FL, USA, 2024. [Google Scholar]
- Varillas-Delgado, D.; Del Coso, J.; Gutiérrez-Hellín, J.; Aguilar-Navarro, M.; Muñoz, A.; Maestro, A.; Morencos, E. Genetics and sports performance: The present and future in the identification of talent for sports based on DNA testing. Eur. J. Appl. Physiol. 2022, 122, 1811–1830. [Google Scholar] [CrossRef] [PubMed]
- Nakajima, T.; Jorde, L.B.; Ishigami, T.; Umemura, S.; Emi, M.; Lalouel, J.-M.; Inoue, I. Nucleotide Diversity and Haplotype Structure of the Human Angiotensinogen Gene in Two Populations. Am. J. Hum. Genet. 2002, 70, 108–123. [Google Scholar] [CrossRef] [PubMed]
- Valdivieso, P.; Vaughan, D.; Laczko, E.; Brogioli, M.; Waldron, S.; Rittweger, J.; Flück, M. The Metabolic Response of Skeletal Muscle to Endurance Exercise Is Modified by the ACE-I/D Gene Polymorphism and Training State. Front Physiol. 2017, 8, 993. [Google Scholar] [CrossRef]
- Gasser, B.; Franchi, M.V.; Ruoss, S.; Frei, A.; Popp, W.L.; Niederseer, D.; Catuogno, S.; Frey, W.O.; Flück, M. Accelerated Muscle Deoxygenation in Aerobically Fit Subjects During Exhaustive Exercise Is Associated with the ACE Insertion Allele. Front. Sports Act. Living 2022, 4, 814975. [Google Scholar] [CrossRef]
- Vaughan, D.; Huber-Abel, F.A.; Graber, F.; Hoppeler, H.; Flück, M. The angiotensin converting enzyme insertion/deletion polymorphism alters the response of muscle energy supply lines to exercise. Eur. J. Appl. Physiol. 2013, 113, 1719–1729. [Google Scholar] [CrossRef]
- Puthucheary, Z.; Skipworth, J.R.; Rawal, J.; Loosemore, M.; Van Someren, K.; Montgomery, H.E. The ACE gene and human performance: 12 years on. Sports Med. 2011, 41, 433–448. [Google Scholar] [CrossRef]
- Gremlich, S.; Roth-Kleiner, M.; Equey, L.; Fytianos, K.; Schittny, J.C.; Cremona, T.P. Tenascin-C inactivation impacts lung structure and function beyond lung development. Sci. Rep. 2020, 10, 5118. [Google Scholar] [CrossRef]
- Mund, S.I.; Schittny, J.C. Tenascin-C deficiency impairs alveolarization and microvascular maturation during postnatal lung development. J. Appl. Physiol. 2020, 128, 1287–1298. [Google Scholar] [CrossRef]
- Valdivieso, P.; Toigo, M.; Hoppeler, H.; Flück, M. T/T homozygosity of the tenascin-C gene polymorphism rs2104772 negatively influences exercise-induced angiogenesis. PLoS ONE 2017, 12, e0174864. [Google Scholar] [CrossRef]
- Bishop, S.J.; Fossella, J.; Croucher, C.J.; Duncan, J. COMT val158met Genotype Affects Recruitment of Neural Mechanisms Supporting Fluid Intelligence. Cereb. Cortex 2008, 18, 2132–2140. [Google Scholar] [CrossRef] [PubMed]
- Sonne, J.; Goyal, A.; Lopez-Ojeda, W. Dopamine; StatPearls Publishing: Treasure Island, FL, USA, 2024. [Google Scholar]
- Tartar, J.L.; Cabrera, D.; Knafo, S.; Thomas, J.D.; Antonio, J.; Peacock, C.A. The “Warrior” COMT Val/Met Genotype Occurs in Greater Frequencies in Mixed Martial Arts Fighters Relative to Controls. J. Sports Sci. Med. 2020, 19, 38–42. [Google Scholar] [PubMed]
- Park, W.J.; Jeong, D.; Oh, J.G. Tenascin-C in Cardiac Hypertrophy and Fibrosis: Friend or Foe? J. Am. Coll. Cardiol. 2017, 70, 1616–1617. [Google Scholar] [CrossRef] [PubMed]
- Imanaka-Yoshida, K.; Yoshida, T.; Miyagawa-Tomita, S. Tenascin-C in Development and Disease of Blood Vessels. Anat. Rec. 2014, 297, 1747–1757. [Google Scholar] [CrossRef] [PubMed]
- Flück, M.; Mund, S.I.; Schittny, J.C.; Klossner, S.; Durieux, A.C.; Giraud, M.N. Mechano-regulated tenascin-C orchestrates muscle repair. Proc. Natl. Acad. Sci. USA 2008, 105, 13662–13667. [Google Scholar] [CrossRef]
- Thomason, M.E.; Waugh, C.E.; Glover, G.H.; Gotlib, I.H. COMT genotype and resting brain perfusion in children. NeuroImage 2009, 48, 217–222. [Google Scholar] [CrossRef][Green Version]
- Schwarz, P.B.; Peever, J.H. Dopamine triggers skeletal muscle tone by activating D1-like receptors on somatic motoneurons. J. Neurophysiol. 2011, 106, 1299–1309. [Google Scholar] [CrossRef][Green Version]
- Stroth, S.; Reinhardt, R.K.; Thöne, J.; Hille, K.; Schneider, M.; Härtel, S.; Weidemann, W.; Bös, K.; Spitzer, M. Impact of aerobic exercise training on cognitive functions and affect associated to the COMT polymorphism in young adults. Neurobiol. Learn. Mem. 2010, 94, 364–372. [Google Scholar] [CrossRef]
- Humińska-Lisowska, K.; Chmielowiec, K.; Chmielowiec, J.; Pluta, A.S.; Bojarczuk, A.; Dzitkowska-Zabielska, M.; Łubkowska, B.; Spieszny, M.; Surała, O.; Grzywacz, A. Association Between the rs4680 Polymorphism of the COMT Gene and Personality Traits among Combat Sports Athletes. J. Hum. Kinet. 2023, 89, 89–99. [Google Scholar] [CrossRef]
- Mir, R.; Bhat, M.; Javid, J.; Jha, C.; Saxena, A.; Banu, S. Potential Impact of COMT-rs4680 G > A Gene Polymorphism in Coronary Artery Disease. J. Cardiovasc. Dev. Dis. 2018, 5, 38. [Google Scholar] [CrossRef]
- Zmijewski, P.; Leońska-Duniec, A.; Stuła, A.; Sawczuk, M. Evaluation of the Association of COMT Rs4680 Polymorphism with Swimmers’ Competitive Performance. Genes 2021, 12, 1641. [Google Scholar] [CrossRef] [PubMed]
- Hytönen, V.P.; Wehrle-Haller, B. Mechanosensing in cell–matrix adhesions—Converting tension into chemical signals. Exp. Cell Res. 2016, 343, 35–41. [Google Scholar] [CrossRef] [PubMed]
- Mierke, C.T. Extracellular Matrix Cues Regulate Mechanosensing and Mechanotransduction of Cancer Cells. Cells 2024, 13, 96. [Google Scholar] [CrossRef] [PubMed]
- Urciuoli, E.; Peruzzi, B. Involvement of the FAK Network in Pathologies Related to Altered Mechanotransduction. Int. J. Mol. Sci. 2020, 21, 9426. [Google Scholar] [CrossRef]
- Vadali, K.; Cai, X.; Schaller, M.D. Focal adhesion kinase: An essential kinase in the regulation of cardiovascular functions. IUBMB Life 2007, 59, 709–716. [Google Scholar] [CrossRef]
- Flück, M. Genetic influence of mechano-regulated protein tyrosine kinase 2 on muscle power andmuscle composition. In Proceedings of the XVIII Conference on Space Biology and Medicine, Moscow, Russia, 9 November 2023. [Google Scholar]
- Franchi, M.V.; Ruoss, S.; Valdivieso, P.; Mitchell, K.W.; Smith, K.; Atherton, P.J.; Narici, M.V.; Flück, M. Regional regulation of focal adhesion kinase after concentric and eccentric loading is related to remodelling of human skeletal muscle. Acta Physiol. 2018, 223, e13056. [Google Scholar] [CrossRef]
- Durieux, A.; D’antona, G.; Desplanches, D.; Freyssenet, D.; Klossner, S.; Bottinelli, R.; Flück, M. Focal adhesion kinase is a load-dependent governor of the slow contractile and oxidative muscle phenotype. J. Physiol. 2009, 587 Pt 14, 3703–3717. [Google Scholar] [CrossRef]
- Samarel, A.M. Focal adhesion signaling in heart failure. Pflugers Arch. Eur. J. Physiol. 2014, 466, 1101–1111. [Google Scholar] [CrossRef][Green Version]
- Ilic, D.; Kovacic, B.; McDonagh, S.; Jin, F.; Baumbusch, C.; Gardner, D.G.; Damsky, C.H. Focal Adhesion Kinase Is Required for Blood Vessel Morphogenesis. Circ. Res. 2003, 92, 300–307. [Google Scholar] [CrossRef]
- Zebda, N.; Dubrovskyi, O.; Birukov, K.G. Focal Adhesion Kinase Regulation of Mechanotransduction and its Impact on Endothelial Cell Functions. Microvasc Res. 2012, 83, 71–81. [Google Scholar] [CrossRef]
- Appel, M.; Zentgraf, K.; Krüger, K.; Alack, K. Effects of Genetic Variation on Endurance Performance, Muscle Strength, and Injury Susceptibility in Sports: A Systematic Review. Front. Physiol. 2021, 12, 694411. [Google Scholar] [CrossRef] [PubMed]
- Psatha, A.; Al-Mahayri, Z.N.; Mitropoulou, C.; Patrinos, G.P. Meta-analysis of genomic variants in power and endurance sports to decode the impact of genomics on athletic performance and success. Hum. Genom. 2024, 18, 47. [Google Scholar] [CrossRef] [PubMed]
- John, R.; Dhillon, M.S.; Dhillon, S. Genetics and the Elite Athlete: Our Understanding in 2020. Indian J. Orthop. 2020, 54, 256–263. [Google Scholar] [CrossRef] [PubMed]
- El Ouali, E.M.; Barthelemy, B.; Del Coso, J.; Hackney, A.C.; Laher, I.; Govindasamy, K.; Mesfioui, A.; Granacher, U.; Zouhal, H. A Systematic Review and Meta-analysis of the Association Between ACTN3 R577X Genotypes and Performance in Endurance Versus Power Athletes and Non-athletes. Sports Med.-Open 2024, 10, 37. [Google Scholar] [CrossRef]
- Pickering, C.; Kiely, J. ACTN3: More than Just a Gene for Speed. Front. Physiol. 2017, 8, 1080. [Google Scholar] [CrossRef]
- Haug, M.; Reischl, B.; Nübler, S.; Kiriaev, L.; Mázala, D.A.G.; Houweling, P.J.; North, K.N.; Friedrich, O.; Head, S.I. Absence of the Z-disc protein α-actinin-3 impairs the mechanical stability of Actn3KO mouse fast-twitch muscle fibres without altering their contractile properties or twitch kinetics. Skelet. Muscle 2022, 12, 14. [Google Scholar] [CrossRef]
- Mouisel, E.; Relizani, K.; Mille-Hamard, L.; Denis, R.; Hourdé, C.; Agbulut, O.; Patel, K.; Arandel, L.; Morales-Gonzalez, S.; Vignaud, A.; et al. Myostatin is a key mediator between energy metabolism and endurance capacity of skeletal muscle. Am. J. Physiol. Integr. Comp. Physiol. 2014, 307, R444–R454. [Google Scholar] [CrossRef]
- Kruszewski, M.; Aksenov, M.O. Association of Myostatin Gene Polymorphisms with Strength and Muscle Mass in Athletes: A Systematic Review and Meta-Analysis of the MSTN rs1805086 Mutation. Genes 2022, 13, 2055. [Google Scholar] [CrossRef]
- Santiago, C.; Ruiz, J.R.; Rodríguez-Romo, G.; Fiuza-Luces, C.; Yvert, T.; Gonzalez-Freire, M.; Gómez-Gallego, F.; Morán, M.; Lucia, A. The K153R Polymorphism in the Myostatin Gene and Muscle Power Phenotypes in Young, Non-Athletic Men. PLoS ONE 2011, 6, e16323. [Google Scholar] [CrossRef]
- Chen, C.; Sun, Y.; Liang, H.; Yu, D.; Hu, S. A meta-analysis of the association of CKM gene rs8111989 polymorphism with sport performance. Biol. Sport 2017, 34, 323–330. [Google Scholar] [CrossRef]
- Sprouse, C.; Tosi, L.L.; Gordish-Dressman, H.; Abdel-Ghani, M.S.; Panchapakesan, K.; Niederberger, B.; Devaney, J.M.; Kelly, K.R. CK-MM Polymorphism is Associated with Physical Fitness Test Scores in Military Recruits. Mil. Med. 2015, 180, 1001–1005. [Google Scholar] [CrossRef] [PubMed][Green Version]
- Wallimann, T.; Tokarska-Schlattner, M.; Schlattner, U. The creatine kinase system and pleiotropic effects of creatine. Amino Acids 2011, 40, 1271–1296. [Google Scholar] [CrossRef] [PubMed]
- Wang, X.; Soh, K.G.; Samsudin, S.; Deng, N.; Liu, X.; Zhao, Y.; Akbar, S. Effects of high-intensity functional training on physical fitness and sport-specific performance among the athletes: A systematic review with meta-analysis. PLoS ONE 2023, 18, e0295531. [Google Scholar] [CrossRef] [PubMed]
- Dambroz, F.; Clemente, F.M.; Teoldo, I. The effect of physical fatigue on the performance of soccer players: A systematic review. PLoS ONE 2022, 17, e0270099. [Google Scholar] [CrossRef]
- Jacob, Y.; Spiteri, T.; Hart, N.H.; Anderton, R.S. The Potential Role of Genetic Markers in Talent Identification and Athlete Assessment in Elite Sport. Sports 2018, 6, 88. [Google Scholar] [CrossRef]
- Toon, A.; Bailey, S.; Roelands, B. Effects of Nutritional Interventions on Athletic Performance. Nutrients 2023, 15, 4498. [Google Scholar] [CrossRef]
- Wackerhage, H.; Schoenfeld, B.J. Personalized, Evidence-Informed Training Plans and Exercise Prescriptions for Performance, Fitness and Health. Sports Med. 2021, 51, 1805–1813. [Google Scholar] [CrossRef]
- Flück, M. Diagnostics of endurance performance on the level of gene expression. Sports Orthop. Traumatol. 2013, 29, 203–213. [Google Scholar] [CrossRef][Green Version]
- Dössegger, A.; Flück, M.; Protte, C.; Häusler, E.; Züger, R. Measuring Individual Potential and Nature-Nurture Interactions to Support and Select Personnel for Professions with Very High Physical and Mental Load. Anat. Physiol. Biochem. Int. J. 2024, 7, 555718. [Google Scholar] [CrossRef]
- Moorchung, N.; Puri, B.; Bhatti, V.; Lahareesh, B.; Singh, S.; Sitaram, W.T. In the search of a ‘fitness gene’: An analysis of ACTN gene polymorphisms in serving soldiers. Med. J. Armed Forces India 2019, 75, 246–250. [Google Scholar] [CrossRef]
- Boscarino, J.A.; Adams, R.E.; Urosevich, T.G.; Hoffman, S.N.; Kirchner, H.L.; Chu, X.; Figley, C.R. Genetic and Psychosocial Risk Factors Associated with Suicide Among Community Veterans: Implications for Screening, Treatment and Precision Medicine. Pharmgenomics Pers. Med. 2022, 15, 17–27. [Google Scholar] [CrossRef] [PubMed]
- Taylor, M.K.; Hernández, L.M.; Schoenherr, M.R.; Stump, J. Genetic, Physiologic, and Behavioral Predictors of Cardiorespiratory Fitness in Specialized Military Men. Mil. Med. 2019, 184, e474–e481. [Google Scholar] [CrossRef] [PubMed]
- Hecksteden, A.; Forster, S.; Egger, F.; Buder, F.; Kellner, R.; Meyer, T. Dwarfs on the Shoulders of Giants: Bayesian Analysis With Informative Priors in Elite Sports Research and Decision Making. Front. Sports Act. Living 2022, 4, 793603. [Google Scholar] [CrossRef] [PubMed]
- Kelter, R. Bayesian alternatives to null hypothesis significance testing in biomedical research: A non-technical introduction to Bayesian inference with JASP. BMC Med. Res. Methodol. 2020, 20, 142. [Google Scholar] [CrossRef]
- Harris, P.A.; Taylor, R.; Minor, B.L.; Elliott, V.; Fernandez, M.; O’Neal, L.; McLeod, L.; Delacqua, G.; Delacqua, F.; Kirby, J.; et al. The REDCap consortium: Building an international community of software platform partners. J. Biomed. Inform. 2019, 95, 103208. [Google Scholar] [CrossRef]
- Kroidl, R.; Schwarz, S.; Lehnigk, B.; Fritsch, J. 3.6 Spiroergometrische Bestimmung der aerob-anaeroben Schwelle (VT1 und VT2). In Kursbuch Spiroergometrie; Georg Thieme Verlag KG: Stuttgart, Germany, 2015. [Google Scholar]
- Pescatello, L.; Arena, R.; Riebe, D.; Thompson, P.D. ACSM’s Guidelines for Exercise Testing and Prescription; Wolters Kluwer/Lippincott Williams & Wilkins: Philadelphia, PA, USA, 2014. [Google Scholar]
- Sandford, G.N.; Laursen, P.B.; Buchheit, M. Anaerobic Speed/Power Reserve and Sport Performance: Scientific Basis, Current Applications and Future Directions. Sports Med. 2021, 51, 2017–2028. [Google Scholar] [CrossRef]
- Jiménez-Redondo, G.; Castro-Frecha, B.; Martínez-Noguera, F.J.; Alcaraz, P.E.; Marín-Pagán, C. Physiological Responses in Trail Runners during a Maximal Test with Different Weighted-Vest Loads. Sports 2024, 12, 189. [Google Scholar] [CrossRef]
- Gasser, B.; Flück, M.; Frey, W.O.; Valdivieso, P.; Spörri, J. Association of Gene Variants for Mechanical and Metabolic Muscle Quality with Cardiorespiratory and Muscular Variables Related to Performance in Skiing Athletes. Genes 2022, 13, 1798. [Google Scholar] [CrossRef]
- 90. van Doorn, J.; et al., The JASP guidelines for conducting and reporting a Bayesian analysis. Psychon. Bull Rev. 2021, 28, 813–826. [Google Scholar] [CrossRef]
- Van den Bergh, D.; van Doorn, J.; Marsman, M.; Draws, T.; van Kesteren, E.-J.; Derks, K.; Dablander, F.; Gronau, Q.F.; Kucharský, Š.; Raj, A.; et al. A tutorial on conducting and interpreting a Bayesian ANOVA in JASP. L’Année Psychol. 2020, 120, 73–96. [Google Scholar] [CrossRef]
- Zwingmann, L.; Zedler, M.; Kurzner, S.; Wahl, P.; Goldmann, J.-P. How Fit Are Special Operations Police Officers? A Comparison With Elite Athletes From Olympic Disciplines. Front. Sports Act. Living 2021, 3, 742655. [Google Scholar] [CrossRef] [PubMed]
- Maupin, D.; Wills, T.; Orr, R.M.; Schram, B. Fitness Profiles in Elite Tactical Units: A Critical Review. Int. J. Exerc. Sci. 2018, 11, 1041–1062. [Google Scholar] [CrossRef]
- Bordbar, A.; Feist, A.M.; Usaite-Black, R.; Woodcock, J.; Palsson, B.O.; Famili, I. A multi-tissue type genome-scale metabolic network for analysis of whole-body systems physiology. BMC Syst. Biol. 2011, 5, 180. [Google Scholar] [CrossRef] [PubMed]
- Eanes, W.F. New views on the selection acting on genetic polymorphism in central metabolic genes. Ann. New York Acad. Sci. 2017, 1389, 108–123. [Google Scholar] [CrossRef] [PubMed]
- Chan, E.K.F.; Rowe, H.C.; Hansen, B.G.; Kliebenstein, D.J. The Complex Genetic Architecture of the Metabolome. PLoS Genet. 2010, 6, e1001198. [Google Scholar] [CrossRef]
- Prior, S.J.; Hagberg, J.M.; Phares, D.A.; Brown, M.D.; Fairfull, L.; Ferrell, R.E.; Roth, S.M. Sequence variation in hypoxia-inducible factor 1α (HIF1A): Association with maximal oxygen consumption. Physiol. Genom. 2003, 15, 20–26. [Google Scholar] [CrossRef]
- Collado-Vides, J.; Gaudet, P.; de Lorenzo, V. Missing Links Between Gene Function and Physiology in Genomics. Front. Physiol. 2022, 13, 815874. [Google Scholar] [CrossRef]
- Klein, G. The 20th International Symposium of the Princess Takamatsu Cancer Research Fund on “Genetic Basis for Carcinogenesis: Tumor suppressor genes and oncogenes”. Statement of the International Symposia of the Princess Takamatsu Cancer Research Fund. Jpn J. Cancer Res. 1990, 81, 1069–1070. [Google Scholar]
- Pingault, J.-B.; Rijsdijk, F.; Schoeler, T.; Choi, S.W.; Selzam, S.; Krapohl, E.; O’reilly, P.F.; Dudbridge, F. Genetic sensitivity analysis: Adjusting for genetic confounding in epidemiological associations. PLoS Genet. 2021, 17, e1009590. [Google Scholar] [CrossRef]
- Åstrand, P.O.; Rodahl, K. Textbook of Work Physiology: Physiological Bases of Exercise, 3rd ed.; McGraw Hill: New York, NY, USA, 1986. [Google Scholar] [CrossRef]
- Ekblom, B. Effect of physical training on oxygen transport system in man. Acta Physiol. Scand. Suppl. 1968, 328, 1–45. [Google Scholar]
- Hoppeler, H.; Weibel, E. Structural and functional limits for oxygen supply to muscle. Acta Physiol. Scand. 2000, 168, 445–456. [Google Scholar] [CrossRef] [PubMed]
- di Prampero, P.E. An analysis of the factors limiting maximal oxygen consumption in healthy subjects. Chest 1992, 101 (Suppl. S5), 188S–191S. [Google Scholar] [CrossRef] [PubMed]
- Sawczuk, M.; Banting, L.K.; Cięszczyk, P.; Maciejewska-Karłowska, A.; Zarębska, A.; Leońska-Duniec, A.; Eynon, N. MCT1 A1470T: A novel polymorphism for sprint performance? J. Sci. Med. Sport 2015, 18, 114–118. [Google Scholar] [CrossRef] [PubMed]
- Gasser, B.; Dössegger, A.; Giraud, M.-N.; Flück, M. T-Allele Carriers of Mono Carboxylate Transporter One Gene Polymorphism rs1049434 Demonstrate Altered Substrate Metabolization during Exhaustive Exercise. Genes 2024, 15, 918. [Google Scholar] [CrossRef]
- Brooks, G.A.; Osmond, A.D.; Arevalo, J.A.; Duong, J.J.; Curl, C.C.; Moreno-Santillan, D.D.; Leija, R.G. Lactate as a myokine and exerkine: Drivers and signals of physiology and metabolism. J. Appl. Physiol. 2023, 134, 529–548. [Google Scholar] [CrossRef]
- Lundholm, L. The mechanism of the vasodilator effect of adrenaline. III. Influence of adrenaline, noradrenaline, lactic acid and sodium lactate on the blood pressure and cardiac output in unanesthetized rabbits. Acta Physiol. Scand. 1958, 43, 27–50. [Google Scholar] [CrossRef]
- Desplanches, D.; Amami, M.; Dupré-Aucouturier, S.; Valdivieso, P.; Schmutz, S.; Mueller, M.; Flück, M. Hypoxia refines plasticity of mitochondrial respiration to repeated muscle work. Eur. J. Appl. Physiol.s 2014, 114, 405–417. [Google Scholar] [CrossRef]
- Flueck, M. Plasticity of the muscle proteome to exercise at altitude. High Alt. Med. Biol. 2009, 10, 183–193. [Google Scholar] [CrossRef]
- Döring, F.; Onur, S.; Fischer, A.; Boulay, M.R.; Pérusse, L.; Rankinen, T.; Rauramaa, R.; Wolfarth, B.; Bouchard, C. A common haplotype and the Pro582Ser polymorphism of the hypoxia-inducible factor-1α (HIF1A) gene in elite endurance athletes. J. Appl. Physiol. 2010, 108, 1497–1500. [Google Scholar] [CrossRef]
- Däpp, C.; Gassmann, M.; Hoppeler, H.; Flück, M. Hypoxia-induced gene activity in disused oxidative muscle. Adv. Exp. Med. Biol. 2006, 588, 171–188. [Google Scholar]
- McPhee, J.S.; Perez-Schindler, J.; Degens, H.; Tomlinson, D.; Hennis, P.; Baar, K.; Williams, A.G. HIF1A P582S gene association with endurance training responses in young women. Eur. J. Appl. Physiol. 2011, 111, 2339–2347. [Google Scholar] [CrossRef] [PubMed]
- Matsuda, A.; Hirota, T.; Akahoshi, M.; Shimizu, M.; Tamari, M.; Miyatake, A.; Takahashi, A.; Nakashima, K.; Takahashi, N.; Obara, K.; et al. Coding SNP in tenascin-C Fn-III-D domain associates with adult asthma. Hum. Mol. Genet. 2005, 14, 2779–2786. [Google Scholar] [CrossRef] [PubMed]
- Rizzo, M.T. Focal adhesion kinase and angiogenesis. Where do we go from here? Cardiovasc. Res. 2004, 64, 377–378. [Google Scholar] [CrossRef] [PubMed]
- Graham, Z.A.; Gallagher, P.M.; Cardozo, C.P. Focal adhesion kinase and its role in skeletal muscle. J. Muscle Res. Cell Motil. 2015, 36, 305–315. [Google Scholar] [CrossRef]
- Flück, M.; Valdivieso, P.; Giraud, M.-N.; Humphreys, B.K. Isometric Fatigue Resistance of Lumbar Extensors and Cardiovascular Strain in Lower Back Pain Patients Are Associated with Angiotensin-Converting Enzyme and Tenascin-C Gene Polymorphisms. Physiologia 2024, 4, 286–304. [Google Scholar] [CrossRef]
- Corley, K.M.; Taylor, C.J.; Lilly, B. Hypoxia-inducible factor 1α modulates adhesion, migration, and FAK phosphorylation in vascular smooth muscle cells. J. Cell. Biochem. 2005, 96, 971–985. [Google Scholar] [CrossRef]
- Erskine, R.M.; Williams, A.G.; Jones, D.A.; Stewart, C.E.; Degens, H. Do PTK2 gene polymorphisms contribute to the interindividual variability in muscle strength and the response to resistance training? A preliminary report. J. Appl. Physiol. 2012, 112, 1329–1334. [Google Scholar] [CrossRef][Green Version]
- Semenova, E.A.; Hall, E.C.R.; Ahmetov, I.I. Genes and Athletic Performance: The 2023 Update. Genes 2023, 14, 1235. [Google Scholar] [CrossRef]
- Aleksandra, Z.; Zbigniew, J.; Waldemar, M.; Agata, L.-D.; Mariusz, K.; Marek, S.; Agnieszka, M.-S.; Piotr, Ż.; Krzysztof, F.; Grzegorz, T.; et al. The AGT Gene M235T Polymorphism and Response of Power-Related Variables to Aerobic Training. J. Sports Sci. Med. 2016, 15, 616–624. [Google Scholar]
- van Ginkel, S.; de Haan, A.; Woerdeman, J.; Vanhees, L.; Serné, E.; de Koning, J.; Flück, M. Exercise intensity modulates capillary perfusion in correspondence with ACE I/D modulated serum angiotensin II levels. Appl. Transl. Genom. 2015, 4, 33–37. [Google Scholar] [CrossRef]
- Rankinen, T.; Gagnon, J.; Pérusse, L.; Chagnon, Y.C.; Rice, T.; Leon, A.S.; Skinner, J.S.; Wilmore, J.H.; Rao, D.C.; Bouchard, C.; et al. AGT M235T and ACE ID polymorphisms and exercise blood pressure in the HERITAGE Family Study. Am. J. Physiol. Heart Circ. Physiol. 2000, 279, H368–H374. [Google Scholar] [CrossRef] [PubMed]
- Gasser, B.; Niederseer, D.; Frey, W.O.; Catuogno, S.; Flück, M. ACE-I/D Allele Modulates Improvements of Cardiorespiratory Function and Muscle Performance with Interval-Type Exercise. Genes 2023, 14, 1100. [Google Scholar] [CrossRef] [PubMed]
- Staessen, J.; Fagard, R.; Hespel, P.; Lijnen, P.; Vanhees, L.; Amery, A. Plasma renin system during exercise in normal men. J. Appl. Physiol. 1985, 63, 188–194. [Google Scholar] [CrossRef] [PubMed]
- Baffour-Awuah, B.; Man, M.; Goessler, K.F.; Cornelissen, V.A.; Dieberg, G.; Smart, N.A.; Pearson, M.J. Effect of exercise training on the renin-angiotensin-aldosterone system: A meta-analysis. J. Hum. Hypertens. 2024, 38, 89–101. [Google Scholar] [CrossRef]
- Durmic, T.S.; Zdravkovic, M.D.; Djelic, M.N.; Gavrilovic, T.D.; Saranovic, S.A.D.; Plavsic, J.N.; Mirkovic, S.V.; Batinic, D.V.; Antic, M.N.; Mihailovic, Z.R.; et al. Polymorphisms in ACE and ACTN3 Genes and Blood Pressure Response to Acute Exercise in Elite Male Athletes from Serbia. Tohoku J. Exp. Med. 2017, 243, 311–320. [Google Scholar] [CrossRef]
- Walsh, S.; Liu, D.; Metter, E.J.; Ferrucci, L.; Roth, S.M. ACTN3 genotype is associated with muscle phenotypes in women across the adult age span. J. Appl. Physiol. 2008, 105, 1486–1491. [Google Scholar] [CrossRef]
- Semenza, G.L. Oxygen-dependent regulation of mitochondrial respiration by hypoxia-inducible factor 1. Biochem. J. 2007, 405, 1–9. [Google Scholar] [CrossRef]
- Flueck, M. Myocellular limitations of human performance and their modification through genome-dependent responses at altitude. Exp. Physiol. 2010, 95, 451–462. [Google Scholar] [CrossRef]
- Chen, B.; Cole, J.W.; Grond-Ginsbach, C. Departure from Hardy Weinberg Equilibrium and Genotyping Error. Front. Genet. 2017, 8, 167. [Google Scholar] [CrossRef]
- Trikalinos, T.A.; Salanti, G.; Khoury, M.J.; Ioannidis, J.P.A. Impact of Violations and Deviations in Hardy-Weinberg Equilibrium on Postulated Gene-Disease Associations. Am. J. Epidemiol. 2006, 163, 300–309. [Google Scholar] [CrossRef]
- Shiels, M.S.; Huang, H.Y.; Hoffman, S.C.; Shugart, Y.Y.; Bolton, J.H.; Platz, E.A.; Helzlsouer, K.J.; Alberg, A.J. A community-based study of cigarette smoking behavior in relation to variation in three genes involved in dopamine metabolism: Catechol-O-methyltransferase (COMT), dopamine Beta-hydroxylase (DBH) and monoamine oxidase-A (MAO-A). Prev. Med. 2008, 47, 116–122. [Google Scholar] [CrossRef] [PubMed][Green Version]
- Ginevičienė, V.; Jakaitienė, A.; Utkus, A.; Hall, E.C.; Semenova, E.A.; Andryushchenko, L.B.; Ahmetov, I.I. CKM Gene rs8111989 Polymorphism and Power Athlete Status. Genes 2021, 12, 1499. [Google Scholar] [CrossRef] [PubMed]
- Burr, S.P.C.; Patrick, F. Heredity and segregation of mtDNA. In The Human Mitochondrial Genome—From Basic Biology to Disease; Elsevier Inc.: Amsterdam, The Netherlands, 2020; pp. 87–107. [Google Scholar]
- Van Hooren, B.; Souren, T.; Bongers, B.C. Accuracy of respiratory gas variables, substrate, and energy use from 15 CPET systems during simulated and human exercise. Scand. J. Med. Sci. Sports 2024, 34, e14490. [Google Scholar] [CrossRef] [PubMed]
- Knaier, R.; Infanger, D.; Niemeyer, M.; Cajochen, C.; Schmidt-Trucksäss, A. In Athletes, the Diurnal Variations in Maximum Oxygen Uptake Are More Than Twice as Large as the Day-to-Day Variations. Front. Physiol. 2019, 10, 219. [Google Scholar] [CrossRef]
- Cupeiro, R.; Benito, P.J.; Maffulli, N.; Calderón, F.J.; González-Lamuño, D. MCT1 genetic polymorphism influence in high intensity circuit training: A pilot study. J. Sci. Med. Sport 2010, 13, 526–530. [Google Scholar] [CrossRef]
- Ramírez de la Piscina-Viúdez, X.; Álvarez-Herms, J.; Bonilla, D.A.; Castañeda-Babarro, A.; Larruskain, J.; Díaz-Ramírez, J.; Odriozola-Martínez, A. Putative Role of MCT1 rs1049434 Polymorphism in High-Intensity Endurance Performance: Concept and Basis to Understand Possible Individualization Stimulus. Sports 2021, 9, 143. [Google Scholar] [CrossRef]










| Gene | Nucleotide | Rside | Oligonucleotide (Sense) | Oligonucleotide (Anti-Sense) | Cycling Conditions | Ramp Protocol | Reagent |
|---|---|---|---|---|---|---|---|
| AGT # | (frame) | rs699 | CCATCTCCAAGGCCTGACTG | TATACCCCTGTGGTCCTCCC | 35 × [15″ @ 95 °C, 30′ @ 55 °C, 30″ @ 72 °C] | 55–95 °C, 0.3 °C s−1 | KAPA SYBR Fast |
| T or C | rs699 | TAGGTGTTGAAAGCCAGGGTG | GTGACAGGATGGAAGACTGGC | 40 × [15″ @ 95 °C, 60″ @ 55 °C] | 50–95 °C, 0.1 °C s−1 | SensiFAST | |
| ACE | I | rs1799752 | TGGGATTACAGGCGTGATACAG | AATTTCAGAGCTGGAATAAAATT | 40 × [15″ @ 95 °C, 60″ @ 55 °C] | 60–95 °C, 0.3 °C s−1 | KAPA SYBR Fast |
| D | rs1799752 | CATCCTTTCTCCCATTTCTC | AATTTCAGAGCTGGAATAAAATT | 40 × [15″ @ 95 °C, 60″ @ 55 °C] | 60–95 °C, 0.3 °C s−1 | KAPA SYBR Fast | |
| COMT | T | rs4680 | CGCGGCCGGCCGATGGTGGATTTCGCTGGAA | TTTCCAGGTCTGACAACGG | 45 × [15″ @ 95 °C, 60′ @ 63 °C] | 60–95 °C, 0.05 °C s−1 | KAPA SYBR Fast |
| C | rs4680 | GATGGTGGATTTCGCTGGAG | TTTCCAGGTCTGACAACGG | 45 × [15″ @ 95 °C, 60′ @ 63 °C] | 60–95 °C, 0.05 °C s−1 | KAPA SYBR Fast | |
| TNC | A or T | rs2104772 | CAAAAAAAGCAGTCTCTGAGCCAC | TTCAGTAGTCTCTCTCTGAGAC | 40 × [15″ @ 95 °C, 15″ @ 60 °C, 30″ @ 72 °C] | 55–95 °C, 0.1 °C s−1 | SensiFAST |
| PTK2 | T or A | rs7460 | TGGGTCGGGAACTAGCTGTA | ATGGAAAAAGGGGATGGTCC | 40 × [15″ @ 95 °C, 15″ @ 60 °C, 30″ @ 72 °C] | 55–95 °C, 0.1 °C s−1 | SensiFAST HRM kit |
| PTK2 | C or A | rs7843014 | TGATGGGACCTAAACCCATT | TTTCCCATCAGCTGCTTGTT | 40 × [15″ @ 95 °C, 15″ @ 60 °C, 30 @ 72 °C] | 55–95 °C, 0.1 °C s−1 | SensiFAST HRM kit |
| HIF-1A | C or T | rs11549465 | CCTCCAGTTACGTTCCTTCG | TGAGGACTTGCGCTTTCAGG | 40 × [15″ @ 95 °C, 15″ @ 55 °C, 30″ @ 72 °C] | 55–95 °C, 0.1 °C s−1 | SensiFAST |
| MCT1 | A or T | rs1049434 | AGATGTTGCTGGGAAGCCAA | CTTCAGCCCCATGGATTCAG | 40 × [15″ @ 95 °C, 15″ @ 55 °C, 30″ @ 72 °C] | 50–95 °C, 0.1 °C s−1 | SensiFAST |
| CKM | T or C | rs8111989 | TTCAGTGTGGCCTTGAGTTG | GCTGCCAGTCCCTTACTTTC | 40 × [15″ @ 95 °C, 15″ @ 55 °C, 30″ @ 72 °C] | 55–95 °C, 0.1 °C s−1 | SensiFAST HRM kit |
| ACTN3 | T or C | rs1815739 | ACACTTCCTGCCTGTCGTCC | GATCTTCTGGATCTCACCCTGG | 40 × [15″ @ 95 °C, 15″ @ 60 °C, 30″ @ 72 °C] | 65–95 °C, 0.3 °C s−1 | SensiFAST |
| MSTN | T or C | rs1805086 | TGGAAAACCCAAATGTTGCTTC | AGTCTCGACGGGTCTCAAAT | 40 × [15″ @ 95 °C, 15″ @ 50 °C, 30″ @ 72 °C] | 55–95 °C, 0.1 °C s−1 | SensiFAST HRM kit |
| Parameter | Unit | Mean ± SE | [Min–Max] |
|---|---|---|---|
| age | [years] | 28.16 ± 0.46 | [18.00–52.00] |
| body mass | [kg] | 79.59 ± 0.69 | [52.25–111.40] |
| body height | [cm] | 179.40 ± 0.45 | [161.50–201.00] |
| BMI | [kg m−2] | 24.68 ± 0.17 | [18.40–34.60] |
| strength training | [%] | 45.38 ± 1.69 | [0.00–100.00] |
| endurance training | [%] | 35.20 ± 1.49 | [0.00–100.00] |
| tactical and other training | [%] | 13.50 ± 1.14 | [0.00–100.00] |
| VO2max | [L O2 min−1] | 4.26 ± 0.04 | [2.29–6.28] |
| max cardiac output | [L min−1] | 26.00 ± 0.25 | [13.99–37.47] |
| max heart rate | [beats min−1] | 188.34 ± 0.71 | [106.00–212.00] |
| SmO2 VAS VO2max | [%] | 14.93 ± 0.78 | [0.50–77.50] |
| SmO2 GAS VO2max | [%] | 17.50 ± 0.66 | [1.00–41.90] |
| tHb VAS VO2max | [%] | 12.59 ± 0.03 | [11.43–13.43] |
| time to exhaustion | [sec] | 556.6 ± 6.5 | [300–730] |
| max RER | [mL CO2/mL O2] | 1.38 ± 0.01 | [0.99–1.70] |
| max lactate | [mM] | 13.69 ± 0.21 | [5.44–23.30] |
| max aerobic power | [W kg−1] | 3.64 ± 0.05 | [1.70–5.31] |
| anaerobic power reserve | [Watt kg−1] | 0.88 ± 0.03 | [0.11–3.01] |
| Gene | Rsid | M/m | MM | Mm | mm | p-Value |
|---|---|---|---|---|---|---|
| AGT | rs699 | T/C | 29.08% | 54.98% | 15.94% | 0.0600 |
| ACE | rs1799752 | I/D | 17.53% | 63.75% | 18.73% | <0.001 |
| COMT | rs4680 | T/C | 35.38% | 31.28% | 33.33% | <0.001 |
| TNC | rs2104772 | A/T | 26.69% | 51.79% | 21.51% | 0.540 |
| PTK2 | rs7460 | T/A | 14.34% | 45.82% | 39.84% | 0.752 |
| PTK2 | rs7843014 | C/A | 20.72% | 39.84% | 39.44% | 0.006 |
| HIF1A | rs11549465 | C/T | 76.89% | 7.17% | 15.94% | <0.001 |
| MCT1 | rs1049434 | A/T | 49.40% | 36.25% | 14.34% | 0.006 |
| CKM | rs8111989 | T/C | 60.16% | 31.47% | 8.37% | 0.027 |
| ACTN3 | rs1815739 | T/C | 3.98% | 36.65% | 59.36% | 0.364 |
| MSTN | rs1805086 | T/C | 94.42% | 5.58% | 0.00% | 0.650 |
| Polymorphism | rs699 | rs1799752 | rs4680 | rs2104772 | rs7460 | rs7843014 | rs11549465 | rs1049434 | rs8111989 | rs1815739 | rs1805086 | |
|---|---|---|---|---|---|---|---|---|---|---|---|---|
| Process | CVASC | CVASC | CVAS | CVASC | CVASC | CVASC | Aemet and Gly | Aemet | Charging F | Develop F | Maintain F | |
| Parameter | Time Point/Gene | AGT | ACE | COMT | TNC | PTK2 | PTK2 | HIF1A | MCT1 | CKM | ACTN3 | MSTN |
| oxygen uptake [mL O2 min−1 kg−1] | overall GP | 0.052 | 0.035 | 0.032 | 0.378 | 0.027 | 0.378 | 0.083 | 0.028 | 0.071 | 0.06 | 0.217 |
| max GP | 0.280 | 0.157 | 0.171 | 2.768 | 0.139 | 1.818 | 0.298 | 0.151 | 0.361 | 0.391 | 0.217 | |
| RM | 5.72 × 10 + 230 | 5.72 × 10 + 230 | 5.72 × 10 + 230 | 5.72 × 10 + 230 | 5.72 × 10 + 230 | 5.72 × 10 + 230 | 5.72 × 10 + 230 | 5.72 × 10 + 230 | 5.72 × 10 + 230 | 5.72 × 10 + 230 | 5.67 × 10 + 230 | |
| RM + GP | 1.58 × 10 + 230 | 1.09 × 10 + 230 | 1.04 × 10 + 230 | 1.24 × 10 + 231 | 8.54 × 10 + 229 | 1.38 × 10 + 231 | 2.03 × 10 + 230 | 8.04 × 10 + 229 | 1.97 × 10 + 230 | 1.34 × 10 + 230 | 3.24 × 10 + 230 | |
| VT1 | 0.380 | 0.372 | 0.581 | 0.392 | 1.116 | 67.930 | 0.289 | 0.484 | 0.408 | 0.803 | 0.463 | |
| VT2 | 0.515 | 0.225 | 0.240 | 138.262 | 0.234 | 0.904 | 0.687 | 0.218 | 0.790 | 0.380 | 0.308 | |
| VO2max | 0.450 | 0.267 | 0.204 | 5.934 | 0.212 | 1.443 | 0.415 | 0.243 | 0.373 | 0.642 | 0.297 | |
| RER | overall GP | 0.026 | 0.034 | 0.02 | 0.061 | 0.025 | 0.123 | 0.196 | 0.026 | 0.035 | 0.04 | 0.309 |
| max GP | 0.155 | 0.171 | 0.111 | 0.302 | 0.136 | 0.648 | 0.547 | 0.135 | 0.172 | 0.233 | 0.216 | |
| RM | 1.693 × 10 + 251 | 1.674 × 10 + 251 | 1.674 × 10 + 251 | 1.674 × 10 + 251 | 1.674 × 10 + 251 | 1.674 × 10 + 251 | 1.693 × 10 + 251 | 1.693 × 10 + 251 | 1.693 × 10 + 251 | 1.693 × 10 + 251 | 1.693 × 10 + 251 | |
| RM + GP | 1.630 × 10 + 250 | 2.480 × 10 + 250 | 1.059 × 10 + 250 | 1.042 × 10 + 251 | 1.559 × 10 + 250 | 5.523 × 10 + 251 | 7.423 × 10 + 251 | 1.396 × 10 + 250 | 2.347 × 10 + 250 | 2.007 × 10 + 250 | 6.893 × 10 + 250 | |
| VT1 | 0.215 | 1.248 | 0.335 | 0.871 | 0.525 | 0.743 | 2.041 | 0.311 | 0.428 | 1.941 | 0.464 | |
| VT2 | 0.300 | 0.332 | 0.288 | 0.675 | 0.393 | 3.37 | 19.971 | 0.231 | 0.313 | 0.341 | 0.314 | |
| VO2max | 1.335 | 0.263 | 0.287 | 2.931 | 0.307 | 12.750 | 1.401 | 0.219 | 0.256 | 0.498 | 0.318 | |
| cardiac output [L min−1] | overall GP | 0.188 | 0.106 | 0.088 | 0.134 | 0.729 | 0.193 | 0.21 | 0.183 | 0.347 | 0.49 | 0.399 |
| max GP | 0.611 | 0.171 | 0.113 | 0.306 | 22.036 | 0.601 | 0.292 | 0.775 | 3.425 | 2.694 | 0.399 | |
| RM | 1.24 × 10 + 193 | 1.24 × 10 + 193 | 1.27 × 10 + 193 | 1.39 × 10 + 193 | 2.72 × 10 + 193 | 1.27 × 10 + 193 | 1.27 × 10 + 193 | 1.27 × 10 + 193 | 1.23 × 10 + 193 | 1.27 × 10 + 193 | 1.23 × 10 + 193 | |
| RM + GP | 6.18 × 10 + 192 | 4.71 × 10 + 192 | 3.86 × 10 + 192 | 4.56 × 10 + 192 | 1.39 × 10 + 193 | 6.4 × 10 + 192 | 6.79 × 10 + 192 | 5.91 × 10 + 192 | 6.12 × 10 + 192 | 1.08 × 10 + 193 | 8.45 × 10 + 192 | |
| VT1 | 0.377 | 0.289 | 0.184 | 0.255 | 2.422 | 0.661 | 0.286 | 0.643 | 0.679 | 0.395 | 0.370 | |
| VT2 | 0.384 | 0.230 | 0.177 | 0.382 | 1.448 | 0.285 | 0.311 | 0.344 | 0.966 | 0.485 | 0.306 | |
| VO2max | 0.416 | 0.233 | 0.216 | 0.305 | 2.015 | 0.309 | 0.293 | 0.345 | 0.562 | 0.348 | 0.317 | |
| tHb m. vastus lateralis [g dL−1] | overall GP | 0.46 | 0.559 | 2.415 | 0.499 | 0.387 | 0.43 | 0.517 | 0.797 | 0.479 | 0.48 | 0.683 |
| max GP | 0.569 | 2.287 | 17.426 | 2.562 | 11.678 | 0.771 | 0.363 | 6.639 | 0.273 | 0.234 | 1.076 | |
| RM | 1.916 × 10 + 29 | 1.915 × 10 + 29 | 1.916 × 10 + 29 | 1.916 × 10 + 29 | 1.916 × 10 + 29 | 1.916 × 10 + 29 | 1.916 × 10 + 29 | 1.916 × 10 + 29 | 1.916 × 10 + 29 | 1.916 × 10 + 29 | 1.916 × 10 + 29 | |
| RM + GP | 1.105 × 10 + 29 | 1.071 × 10 + 29 | 3.976 × 10 + 29 | 1.059 × 10 + 29 | 2.653 × 10 + 29 | 9.463 × 10 + 28 | 1.016 × 10 + 29 | 1.097 × 10 + 29 | 9.837 × 10 + 28 | 1.017 × 10 + 29 | 1.376 × 10 + 29 | |
| Start | 0.243 | 0.490 | 0.674 | 0.291 | 1.449 | 0.221 | 0.696 | 2.411 | 0.407 | 0.417 | 0.553 | |
| VT1 | 0.280 | 0.330 | 1.428 | 0.242 | 0.564 | 0.294 | 0.382 | 0.412 | 0.404 | 0.385 | 0.393 | |
| VT2 | 0.336 | 0.456 | 9.211 | 0.475 | 0.593 | 0.424 | 0.341 | 0.448 | 0.298 | 0.398 | 0.779 | |
| VO2max | 0.284 | 0.801 | 2.561 | 0.275 | 0.593 | 0.291 | 0.339 | 0.950 | 0.285 | 0.389 | 0.552 | |
| Sm O2 m. vastus lateralis [%] | overall GP | 0.110 | 0.129 | 0.206 | 0.084 | 0.051 | 0.106 | 0.075 | 0.187 | 0.073 | 0.371 | 0.525 |
| max GP | 0.527 | 0.487 | 1.722 | 0.419 | 0.221 | 0.615 | 0.236 | 0.931 | 0.293 | 0.705 | 0.521 | |
| RM | 1.517 × 10 + 101 | 1.517 × 10 + 101 | 1.517 × 10 + 101 | 1.517 × 10 + 101 | 1.517 × 10 + 101 | 1.517 × 10 + 101 | 1.517 × 10 + 101 | 1.517 × 10 + 101 | 1.517 × 10 + 101 | 1.521 × 10 + 101 | 1.518 × 10 + 101 | |
| RM + GP | 4.611 × 10 + 100 | 5.325 × 10 + 100 | 1.054 × 10 + 101 | 3.386 × 10 + 100 | 2.311 × 10 + 100 | 4.496 × 10 + 100 | 2.731 × 10 + 100 | 8.242 × 10 + 100 | 2.958 × 10 + 100 | 1.177 × 10 + 101 | 1.111 × 10 + 101 | |
| Start | 0.394 | 1.37 | 2.934 | 1.467 | 0.419 | 0.801 | 0.374 | 1080.411 | 0.352 | 0.874 | 0.329 | |
| VT1 | 0.264 | 0.805 | 4.442 | 0.321 | 0.313 | 1.05 | 0.347 | 54.682 | 0.705 | 0.459 | 1.148 | |
| VT2 | 0.809 | 1.150 | 0.562 | 0.333 | 0.279 | 0.828 | 0.346 | 0.291 | 0.504 | 0.911 | 0.426 | |
| VO2max | 1.532 | 0.289 | 0.211 | 0.563 | 0.393 | 0.670 | 0.363 | 0.487 | 0.298 | 3.385 | 0.317 | |
| Sm O2 m. gastrocnemius [%] | overall GP | 0.108 | 0.054 | 0.091 | 0.191 | 0.106 | 0.05 | 0.306 | 0.163 | 0.065 | 0.168 | 0.378 |
| max GP | 0.277 | 0.160 | 0.299 | 0.700 | 0.477 | 0.146 | 1.395 | 0.712 | 0.218 | 0.483 | 0.367 | |
| RM | 3.896 × 10 + 44 | 3.896 × 10 + 44 | 3.896 × 10 + 44 | 3.896 × 10 + 44 | 9.072 × 10 + 46 | 9.072 × 10 + 46 | 9.072 × 10 + 46 | 9.072 × 10 + 46 | 9.072 × 10 + 46 | 9.105 × 10 + 46 | 9.165 × 10 + 46 | |
| RM + GP | 1.709 × 10 + 46 | 9.124 × 10 + 45 | 1.445 × 10 + 46 | 3.016 × 10 + 46 | 1.556 × 10 + 46 | 8.185 × 10 + 45 | 4.189 × 10 + 46 | 2.547 × 10 + 46 | 1.054 × 10 + 46 | 2.352 × 10 + 46 | 4.415 × 10 + 46 | |
| Start | 0.318 | 0.262 | 0.982 | 0.281 | 2.851 | 0.378 | 0.390 | 121.206 | 0.438 | 0.673 | 0.299 | |
| VT1 | 0.264 | 0.359 | 0.689 | 0.313 | 0.601 | 0.332 | 7.511 | 0.643 | 0.303 | 0.567 | 0.302 | |
| VT2 | 1.136 | 0.276 | 0.292 | 0.316 | 1.337 | 0.629 | 1.075 | 0.834 | 0.288 | 1.699 | 0.526 | |
| VO2max | 1.888 | 0.289 | 0.857 | 0.527 | 0.525 | 1.857 | 0.632 | 5.475 | 0.302 | 0.277 | 1.780 | |
| tHb recovery m. vastus lateralis [g dL−1] | overall GP | 0.408 | 0.613 | 4.422 | 0.266 | 0.425 | 0.534 | 0.445 | 0.549 | 0.290 | 0.327 | 0.676 |
| max GP | 0.396 | 1.785 | 137.344 | 0.198 | 1.519 | 1.285 | 0.59 | 0.967 | 0.254 | 0.352 | 0.391 | |
| RM | 0.160 | 363.206 | 1.900 | 0.160 | 0.160 | 0.160 | 0.160 | 0.160 | 0.160 | 0.152 | 0.158 | |
| RM + GP | 0.062 | 78.365 | 0.160 | 0.042 | 0.063 | 0.083 | 0.071 | 0.083 | 0.046 | 0.050 | 0.105 | |
| SmO2 recovery m. vastus lateralis [%] | overall GP | 0.041 | 0.056 | 0.035 | 0.042 | 0.044 | 0.040 | 0.075 | 0.042 | 0.051 | 0.082 | 0.227 |
| max GP | 0.183 | 0.218 | 0.148 | 0.000 | 0.196 | 0.184 | 0.264 | 0.186 | 0.218 | 0.388 | 0.221 | |
| RM | 9.113 × 10 + 176 | 9.113 × 10 + 176 | 9.113 × 10 + 176 | 1.258 × 10 + 177 | 9.113 × 10 + 176 | 9.113 × 10 + 176 | 9.113 × 10 + 176 | 9.113 × 10 + 176 | 9.113 × 10 + 176 | 9.113 × 10 + 176 | 9.230 × 10 + 176 | |
| RM + GP | 5.074 × 10 + 175 | 6.105 × 10 + 176 | 6.175 × 10 + 175 | 6.805 × 10 + 175 | 7.551 × 10 + 175 | 1.033 × 10 + 176 | 3.579 × 10 + 176 | 5.614 × 10 + 175 | 9.130 × 10 + 175 | 1.014 × 10 + 176 | 2.390 × 10 + 176 | |
| SmO2 GAS recovery [%] | overall GP | 0.049 | 0.047 | 0.041 | 0.049 | 0.052 | 0.048 | 0.086 | 0.046 | 0.054 | 0.104 | 0.268 |
| max GP | 0.194 | 0.197 | 0.156 | 0.200 | 0.212 | 0.186 | 0.277 | 0.194 | 0.221 | 0.479 | 0.257 | |
| RM | 1.279 × 10 + 168 | 1.279 × 10 + 168 | 1.279 × 10 + 168 | 1.279 × 10 + 168 | 1.279 × 10 + 168 | 1.279×10 + 168 | 1.279 × 10 + 168 | 1.279 × 10 + 168 | 1.279 × 10 + 168 | 1.290 × 10 + 168 | 1.265 × 10 + 168 | |
| RM + GP | 1.337 × 10 + 167 | 8.462 × 10 + 166 | 1.076 ×10 + 167 | 1.410 × 10 + 167 | 1.109 × 10 + 167 | 4.126×10 + 167 | 9.265 × 10 + 167 | 7.615 × 10 + 166 | 1.098 × 10 + 167 | 3.482 × 10 + 167 | 8.962 × 10 + 167 | |
| performance [W kg−1] | overall GP | 0.028 | 0.028 | 0.049 | 0.036 | 0.026 | 0.042 | 0.108 | 0.026 | 0.035 | 0.049 | 0.211 |
| max GP | 0.157 | 0.142 | 0.143 | 0.196 | 0.147 | 0.247 | 0.353 | 0.155 | 0.163 | 0.261 | 0.211 | |
| RM | 6.474 × 10 + 269 | 6.474 × 10 + 269 | 6.474 × 10 + 269 | 6.474 × 10 + 269 | 6.474 × 10 + 269 | 6.474 × 10 + 269 | 6.474 × 10 + 269 | 6.474 × 10 + 269 | 6.474 × 10 + 269 | 6.427 × 10 + 269 | 6.514 × 10 + 269 | |
| RM + GP | 8.057 × 10 + 268 | 6.499 × 10 + 268 | 1.023 × 10 + 269 | 1.406 × 10 + 269 | 6.553 × 10 + 268 | 2.694 × 10 + 269 | 7.487 × 10 + 269 | 7.416 × 10 + 268 | 1.043 × 10 + 269 | 1.454 × 10 + 269 | 2.7 × 10 + 269 | |
| VT1 | 1.096 | 0.338 | 1.175 | 0.293 | 5.000 | 1.268 | 0.287 | 0.216 | 0.495 | 3.795 | 0.418 | |
| VT2 | 0.322 | 0.284 | 0.319 | 4.003 | 0.266 | 0.377 | 4.694 | 0.310 | 0.323 | 0.334 | 0.323 | |
| VO2max | 0.547 | 0.280 | 0.232 | 0.769 | 0.263 | 0.943 | 2.884 | 0.477 | 0.260 | 0.410 | 0.362 | |
| anaerobic power reserve | overall GP | 2.507 | 0.225 | 0.269 | 0.586 | 0.545 | 0.193 | 2.176 | 0.380 | 1.356 | 2.728 | 0.369 |
| body mass [kg] | overall GP | 0.101 | 0.064 | 0.072 | 0.465 | 1.045 | 7.005 | 0.085 | 0.073 | 0.075 | 0.211 | 0.286 |
| max GP | 0.404 | 0.221 | 0.282 | 1.559 | 3.555 | 26.05 | 0.309 | 0.305 | 0.297 | 0.465 | 0.286 |
Disclaimer/Publisher’s Note: The statements, opinions and data contained in all publications are solely those of the individual author(s) and contributor(s) and not of MDPI and/or the editor(s). MDPI and/or the editor(s) disclaim responsibility for any injury to people or property resulting from any ideas, methods, instructions or products referred to in the content. |
© 2024 by the authors. Licensee MDPI, Basel, Switzerland. This article is an open access article distributed under the terms and conditions of the Creative Commons Attribution (CC BY) license (https://creativecommons.org/licenses/by/4.0/).
Share and Cite
Flück, M.; Protte, C.; Giraud, M.-N.; Gsponer, T.; Dössegger, A. Genotypic Influences on Actuators of Aerobic Performance in Tactical Athletes. Genes 2024, 15, 1535. https://doi.org/10.3390/genes15121535
Flück M, Protte C, Giraud M-N, Gsponer T, Dössegger A. Genotypic Influences on Actuators of Aerobic Performance in Tactical Athletes. Genes. 2024; 15(12):1535. https://doi.org/10.3390/genes15121535
Chicago/Turabian StyleFlück, Martin, Christian Protte, Marie-Noëlle Giraud, Thomas Gsponer, and Alain Dössegger. 2024. "Genotypic Influences on Actuators of Aerobic Performance in Tactical Athletes" Genes 15, no. 12: 1535. https://doi.org/10.3390/genes15121535
APA StyleFlück, M., Protte, C., Giraud, M.-N., Gsponer, T., & Dössegger, A. (2024). Genotypic Influences on Actuators of Aerobic Performance in Tactical Athletes. Genes, 15(12), 1535. https://doi.org/10.3390/genes15121535

