Quantitative Trait Locus Analysis of Hessian Fly Resistance in Soft Red Winter Wheat
Abstract
1. Introduction
2. Materials and Methods
2.1. Plant Materials
2.2. Field Experimental Design
2.3. Growth Chamber Experimental Design
2.4. Data Collection
2.5. Phenotypic Data Analysis
2.6. QTL Analysis, Candidate Gene Identification, and Linkage Disequilibrium Decay Analysis
2.7. KASP Validation of H32
3. Results
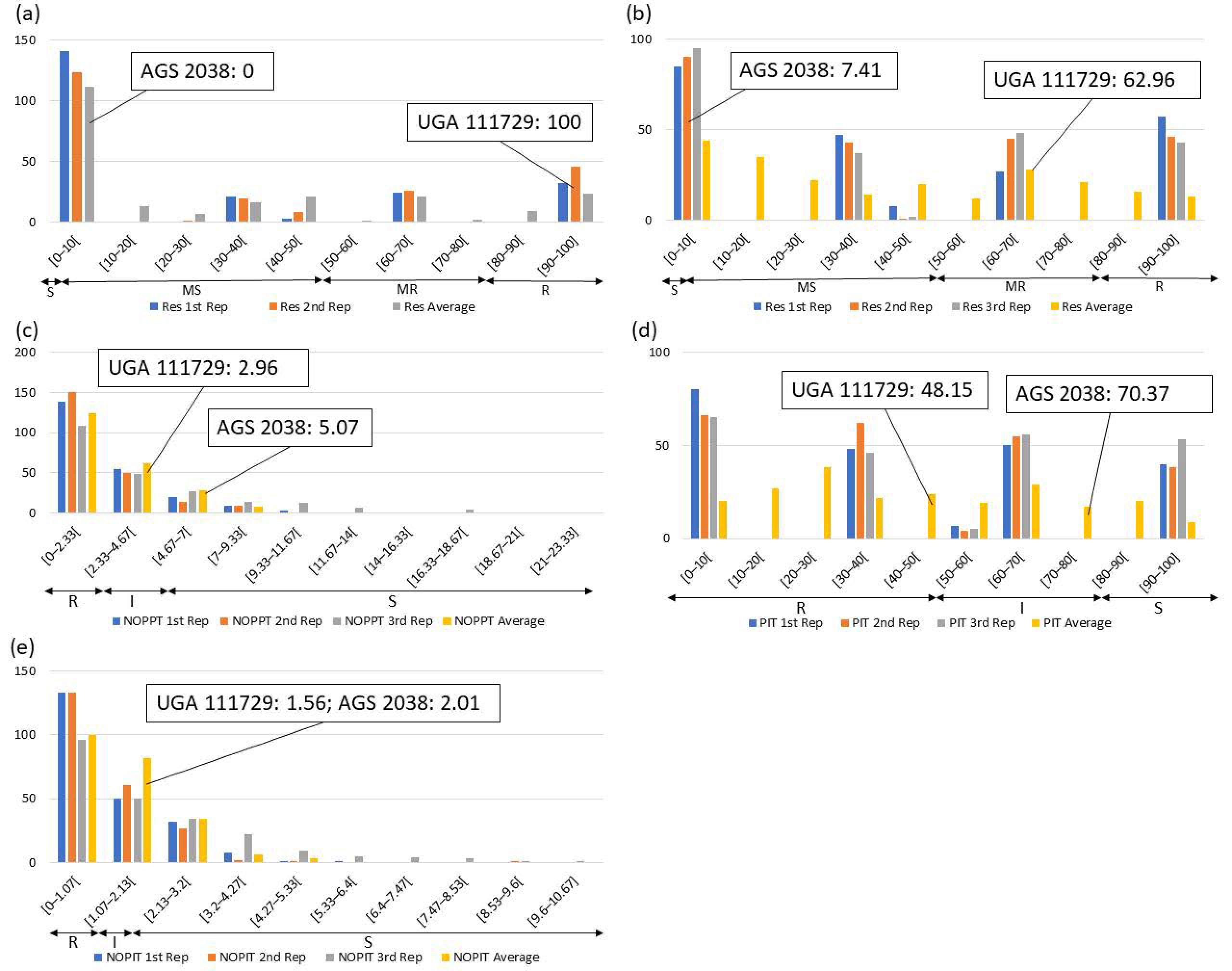
3.1. Phenotype Results and Frequency Distributions
3.2. X2 Tests, Normality Tests, and Heritability
3.3. Correlation between Phenotypic Traits and ANOVA Results
3.4. Quantitative Trait Locus and Linkage Disequilibrium Decay Analysis and Candidate Gene Identification
3.5. KASP Marker and Phenotypic Validation
4. Discussion
Supplementary Materials
Author Contributions
Funding
Institutional Review Board Statement
Informed Consent Statement
Data Availability Statement
Acknowledgments
Conflicts of Interest
References
- Gallun, R.L. Genetic Basis of Hessian Fly Epidemics. Ann. N. Y. Acad. Sci. 1977, 287, 223–229. [Google Scholar] [CrossRef]
- Stuart, J.J.; Chen, M.-S.; Shukle, R.; Harris, M.O. Gall Midges (Hessian Flies) as Plant Pathogens. Annu. Rev. Phytopathol. 2012, 50, 339–357. [Google Scholar] [CrossRef] [PubMed]
- Flanders, K.L.; Reisig, D.D.; Buntin, G.D.; Winslow, M.; Herbert, D.A., Jr.; Johnson, D. Biology and Management of the Hessian Fly in the Southeast. Available online: https://entomology.ca.uky.edu/ef155 (accessed on 14 July 2021).
- Schmid, R.B.; Knutson, A.; Giles, K.L.; McCornack, B.P. Hessian Fly (Diptera: Cecidomyiidae) Biology and Management in Wheat. J. Integr. Pest Manag. 2018, 9, 14. [Google Scholar] [CrossRef]
- Buntin, G.D. Hessian Fly (Diptera: Cecidomyiidae) Injury and Loss of Winter Wheat Grain Yield and Quality. J. Econ. Entomol. 1999, 92, 1190–1197. [Google Scholar] [CrossRef]
- Hayhurst, P. Quack Grass (Agropyron), a Host of the Hessian Fly. J. Econ. Entomol. 1909, 2, 231–234. [Google Scholar] [CrossRef][Green Version]
- Hessian Fly. Available online: https://extension.entm.purdue.edu/fieldcropsipm/insects/hessianfly.php (accessed on 16 July 2021).
- Stuart, J.J.; Chen, M.-S.; Harris, M.O. Hessian Fly. In Genome Mapping and Genomics in Arthropods; Springer: Berlin/Heidelberg, Germany, 2008; pp. 93–102. [Google Scholar]
- Ganehiarachchi, G.A.S.M.; Anderson, K.M.; Harmon, J.; Harris, M.O. Why Oviposit There? Fitness Consequences of a Gall Midge Choosing the Plant’s Youngest Leaf. Environ. Entomol. 2013, 42, 123–130. [Google Scholar] [CrossRef]
- Tadesse, W.; El-Hanafi, S.; El-Fakhouri, K.; Imseg, I.; Ezzahra Rachdad, F.; El-Gataa, Z.; El Bouhssini, M. Wheat breeding for Hessian fly resistance at ICARDA. Crop J. 2022, 10, 1528–1535. [Google Scholar] [CrossRef]
- Buntin, D.G.; Bruckner, P.L.; Johnson, J.W. Management of Hessian Fly (Diptera: Cecidomyiidae) in Georgia by Delayed Planting of Winter Wheat. J. Econ. Entomol. 2014, 83, 1025–1033. [Google Scholar] [CrossRef]
- Zhao, L.; Abdelsalam, N.R.; Xu, Y.; Chen, M.-S.; Feng, Y.; Kong, L.; Bai, G. Identification of two novel Hessian fly resistance genes H35 and H36 in a hard winter wheat line SD06165. Theor. Appl. Genet. 2020, 133, 2343–2353. [Google Scholar] [CrossRef]
- Cambron, S.E.; David Buntin, G.; Weisz, R.; Holland, J.D.; Flanders, K.L.; Schemerhorn, B.J.; Shukle, R.H. Virulence in Hessian Fly (Diptera: Cecidomyiidae) Field Collections From the Southeastern United States to 21 Resistance Genes in Wheat. J. Econ. Entomol. 2010, 103, 2229–2235. [Google Scholar] [CrossRef]
- Shukle, R.H.; Cambron, S.E.; Moniem, H.A.; Schemerhorn, B.J.; Redding, J.; David Buntin, G.; Flanders, K.L.; Reisig, D.D.; Mohammadi, M. Effectiveness of Genes for Hessian Fly (Diptera: Cecidomyiidae) Resistance in the Southeastern United States. J. Econ. Entomol. 2015, 109, 399–405. [Google Scholar] [CrossRef]
- Chen, M.-S.; Echegaray, E.; Jeffrey Whitworth, R.; Wang, H.; Sloderbeck, P.E.; Knutson, A.; Giles, K.L.; Royer, T.A. Virulence Analysis of Hessian Fly Populations From Texas, Oklahoma, and Kansas. J. Econ. Entomol. 2009, 102, 774–780. [Google Scholar] [CrossRef]
- Morton, P.K.; Schemerhorn, B.J. Population structure and the colonization route of one of the oldest North American invasive insects: Stories from the worn road of the Hessian fly, Mayetiola destructor (Say). PLoS ONE 2013, 8, e59833. [Google Scholar] [CrossRef][Green Version]
- Winn, Z.J.; Acharya, R.; Merrill, K.; Lyerly, J.; Brown-Guedira, G.; Cambron, S.; Harrison, S.H.; Reisig, D.; Murphy, J.P. Mapping of a novel major effect Hessian fly field partial-resistance locus in southern soft red winter wheat line LA03136E71. Theor. Appl. Genet. 2021, 134, 3911–3923. [Google Scholar] [CrossRef]
- Ando, K.; Rynearson, S.; Muleta, K.T.; Gedamu, J.; Girma, B.; Bosque-Pérez, N.A.; Chen, M.-S.; Pumphrey, M.O. Genome-wide associations for multiple pest resistances in a Northwestern United States elite spring wheat panel. PLoS ONE 2018, 13, e0191305. [Google Scholar] [CrossRef]
- Xu, Y.; La, G.; Fatima, N.; Liu, Z.; Zhang, L.; Zhao, L.; Chen, M.-S.; Bai, G. Precise mapping of QTL for Hessian fly resistance in the hard winter wheat cultivar ‘Overland’. Theor. Appl. Genet. 2021, 134, 3951–3962. [Google Scholar] [CrossRef]
- Bassi, F.; Brahmi, H.; Sabraoui, A.; Amri, A.; Nsarellah, N.; Nachit, M.; Al-Abdallat, A.; Chen, M.; Lazraq, A.; El Bouhssini, M. Genetic identification of loci for Hessian fly resistance in durum wheat. Mol. Breed. 2019, 39, 24. [Google Scholar] [CrossRef]
- Liu, G.; Liu, X.; Xu, Y.; Bernardo, A.; Chen, M.; Li, Y.; Niu, F.; Zhao, L.; Bai, G. Reassigning Hessian fly resistance genes H7 and H8 to chromosomes 6A and 2B of the wheat cultivar ‘Seneca’ using genotyping-by-sequencing. Crop Sci. 2020, 60, 1488–1498. [Google Scholar] [CrossRef]
- Carter, A.H.; Kidwell, K.K.; DeMacon, V.L.; Shelton, G.B.; Burke, A.B.; Balow, K.A.; Herr, A. Registration of the Louise-Penawawa spring wheat recombinant inbred line mapping population. J. Plant Regist. 2020, 14, 474–480. [Google Scholar] [CrossRef]
- Carter, A.H.; Cambron, S.E.; Ohm, H.W.; Bosque-Pérez, N.A.; Kidwell, K.K. Hessian Fly (Mayetiola destructor [Say]) Resistance Identified on Chromosome 1AS in the Spring Wheat (Triticum aestivum L.) Cultivar ‘Louise’. Crop Sci. 2014, 54, 971–981. [Google Scholar] [CrossRef]
- Gill, B.; Wilson, D.; Raupp, W.; Hatchett, J.; Cox, T. Registration of KS89WGRC3 and KS89WGRC6 Hessian fly-resistant hard red winter wheat germplasm. Crop Sci. 1991, 31, 245. [Google Scholar] [CrossRef]
- Raupp, W.; Amri, A.; Hatchett, J.; Gill, B.; Wilson, D.; Cox, T. Chromosomal location of hessian fly–resistance Genes H22, H23, and H24 derived from Triticum tauschii in the D Genome of Wheat. J. Hered. 1993, 84, 142–145. [Google Scholar] [CrossRef]
- Ma, Z.-Q.; Gill, B.; Sorrells, M.; Tanksley, S. RFLP markers linked to two Hessian fly-resistance genes in wheat (Triticum aestivum L.) from Triticum tauschii (coss.) Schmal. Theor. Appl. Genet. 1993, 85, 750–754. [Google Scholar] [CrossRef]
- Sardesai, N.; Nemacheck, J.A.; Subramanyam, S.; Williams, C.E. Identification and mapping of H32, a new wheat gene conferring resistance to Hessian fly. Theor. Appl. Genet. 2005, 111, 1167–1173. [Google Scholar] [CrossRef]
- Yu, G.T.; Williams, C.E.; Harris, M.O.; Cai, X.; Mergoum, M.; Xu, S.S. Development and Validation of Molecular Markers Closely Linked to H32 for Resistance to Hessian Fly in Wheat. Crop Sci. 2010, 50, 1325–1332. [Google Scholar] [CrossRef]
- Tan, C.-T.; Yu, H.; Yang, Y.; Xu, X.; Chen, M.-S.; Rudd, J.; Xue, Q.; Ibrahim, A.; Garza, L.; Wang, S.; et al. Development and validation of KASP markers for the greenbug resistance gene Gb7 and the Hessian fly resistance gene H32 in wheat. Theor. Appl. Genet. 2017, 130, 1867–1884. [Google Scholar] [CrossRef]
- Yu, G.T.; Cai, X.; Harris, M.O.; Gu, Y.Q.; Luo, M.-C.; Xu, S.S. Saturation and comparative mapping of the genomic region harboring Hessian fly resistance gene H26 in wheat. Theor. Appl. Genet. 2009, 118, 1589–1599. [Google Scholar] [CrossRef]
- Zhang, L.; Xu, Y.; Chen, M.-S.; Su, Z.; Liu, Y.; Xu, Y.; La, G. Identification of a major QTL for Hessian fly resistance in wheat cultivar ‘Chokwang’. Crop J. 2021, 10, 775–782. [Google Scholar] [CrossRef]
- McDonald, M.J.; Ohm, H.W.; Rinehart, K.D.; Giovanini, M.P.; Williams, C.E. H33: A Wheat Gene Providing Hessian Fly Resistance for the Southeastern United States. Crop Sci. 2014, 54, 2045–2053. [Google Scholar] [CrossRef]
- Sapkota, S.; Mergoum, M.; Kumar, A.; Fiedler, J.D.; Johnson, J.; Bland, D.; Lopez, B.; Sutton, S.; Ghimire, B.; Buck, J.; et al. A novel adult plant leaf rust resistance gene Lr2K38 mapped on wheat chromosome 1AL. Plant Genom. 2020, 13, e20061. [Google Scholar] [CrossRef]
- Hao, Y.; Cambron, S.E.; Chen, Z.; Wang, Y.; Bland, D.E.; Buntin, G.D.; Johnson, J.W. Characterization of new loci for Hessian fly resistance in common wheat. Theor. Appl. Genet. 2013, 126, 1067–1076. [Google Scholar] [CrossRef]
- Mergoum, M.; Johnson, J.W.; Buck, J.W.; Sutton, S.; Lopez, B.; Bland, D.; Chen, Z.; Buntin, G.D.; Mailhot, D.J.; Babar, M.A.; et al. ‘GA JT141-14E45’: A new soft red winter wheat cultivar adapted to Georgia and the U.S. Southeast region. J. Plant Regist. 2021, 15, 471–478. [Google Scholar] [CrossRef]
- Griffey, C.A.; Thomason, W.E.; Pitman, R.M.; Beahm, B.R.; Paling, J.J.; Chen, J.; Fanelli, J.K.; Kenner, J.C.; Dunaway, D.W.; Brooks, W.S.; et al. Registration of ‘USG 3555’ Wheat. J. Plant Regist. 2009, 3, 273–278. [Google Scholar] [CrossRef]
- Mailhot, D.J. Georgia 2017–2018 Small Grain Performance Tests; University of Georgia University of Georgia Griffin Campus: Griffin, GA, USA, 2018; p. 83. [Google Scholar]
- Gassett, J.D. Georgia 2014–2015 Small Grain Performance Tests; University of Georgia University of Georgia Griffin Campus: Griffin, GA, USA, 2015; p. 89. [Google Scholar]
- Tan, C.T.; Carver, B.F.; Chen, M.-S.; Gu, Y.-Q.; Yan, L. Genetic association of OPR genes with resistance to Hessian fly in hexaploid wheat. BMC Genom. 2013, 14, 369. [Google Scholar] [CrossRef] [PubMed]
- Large, E.C. Growth Stages in Cereals Illustration of the Feekes Scale. Plant Pathol. 1954, 3, 128–129. [Google Scholar] [CrossRef]
- Harrell, F.E., Jr.; Harrell, M.F.E., Jr. Package ‘hmisc’. CRAN2018 2019, 2019, 235–236. [Google Scholar]
- Fox, J.; Weisberg, S.; Adler, D.; Bates, D.; Baud-Bovy, G.; Ellison, S.; Firth, D.; Friendly, M.; Gorjanc, G.; Graves, S. Package ‘car’. Vienna R Found. Stat. Comput. 2012, 16, 1–158. [Google Scholar]
- Sapkota, S.; Hao, Y.; Johnson, J.; Lopez, B.; Bland, D.; Chen, Z.; Sutton, S.; Buck, J.; Youmans, J.; Mergoum, M. Genetic mapping of a major gene for leaf rust resistance in soft red winter wheat cultivar AGS 2000. Mol. Breed. 2018, 39, 8. [Google Scholar] [CrossRef]
- Bates, D.; Maechler, M.; Bolker, B.; Walker, S.; Bojesen Christensen, R.H.; Singmann, H.; Dai, B.; Scheipl, F.; Grothendieck, G.; Green, P.; et al. lme4: Linear Mixed-Effects Models using ‘Eigen’ and S4. Available online: https://cran.r-project.org/web/packages/lme4/index.html (accessed on 26 August 2021).
- Endelman, J.; Endelman, M.J. Package ‘rrBLUP’. CRAN 2015, 4, 24. [Google Scholar]
- Meng, L.; Li, H.; Zhang, L.; Wang, J. QTL IciMapping: Integrated software for genetic linkage map construction and quantitative trait locus mapping in biparental populations. Crop J. 2015, 3, 269–283. [Google Scholar] [CrossRef]
- Ouellette, L.A.; Reid, R.W.; Blanchard, S.G.; Brouwer, C.R. LinkageMapView—Rendering high-resolution linkage and QTL maps. Bioinformatics 2018, 34, 306–307. [Google Scholar] [CrossRef] [PubMed]
- Bradbury, P.J.; Zhang, Z.; Kroon, D.E.; Casstevens, T.M.; Ramdoss, Y.; Buckler, E.S. TASSEL: Software for association mapping of complex traits in diverse samples. Bioinformatics 2007, 23, 2633–2635. [Google Scholar] [CrossRef] [PubMed]
- Otyama, P.I.; Wilkey, A.; Kulkarni, R.; Assefa, T.; Chu, Y.; Clevenger, J.; O’Connor, D.J.; Wright, G.C.; Dezern, S.W.; MacDonald, G.E.; et al. Evaluation of linkage disequilibrium, population structure, and genetic diversity in the U.S. peanut mini core collection. BMC Genomics 2019, 20, 481. [Google Scholar] [CrossRef]
- Hill, W.G.; Weir, B.S. Variances and covariances of squared linkage disequilibria in finite populations. Theor. Popul. Biol. 1988, 33, 54–78. [Google Scholar] [CrossRef] [PubMed]
- Roncallo, P.F.; Larsen, A.O.; Achilli, A.L.; Pierre, C.S.; Gallo, C.A.; Dreisigacker, S.; Echenique, V. Linkage disequilibrium patterns, population structure and diversity analysis in a worldwide durum wheat collection including Argentinian genotypes. BMC Genomics 2021, 22, 233. [Google Scholar] [CrossRef] [PubMed]
- Saghai-Maroof, M.A.; Soliman, K.M.; Jorgensen, R.A.; Allard, R.W. Ribosomal DNA spacer-length polymorphisms in barley: Mendelian inheritance, chromosomal location, and population dynamics. Proc. Natl. Acad. Sci. USA 1984, 81, 8014–8018. [Google Scholar] [CrossRef] [PubMed]
- Ratcliffe, R.H.; Cambron, S.E.; Flanders, K.L.; Bosque-Perez, N.A.; Clement, S.L.; Ohm, H.W. Biotype Composition of Hessian Fly (Diptera: Cecidomyiidae) Populations from the Southeastern, Midwestern, and Northwestern United States and Virulence to Resistance Genes in Wheat. J. Econ. Entomol. 2000, 93, 1319–1328. [Google Scholar] [CrossRef]
- Smiley, R.W.; Gourlie, J.A.; Whittaker, R.G.; Easley, S.A.; Kidwell, K.K. Economic Impact of Hessian Fly (Diptera: Cecidomyiidae) on Spring Wheat in Oregon and Additive Yield Losses with Fusarium Crown Rot and Lesion Nematode. J. Econ. Entomol. 2004, 97, 397–408. [Google Scholar] [CrossRef]
- Li, C.; Bai, G.; Chao, S.; Carver, B.; Wang, Z. Single nucleotide polymorphisms linked to quantitative trait loci for grain quality traits in wheat. Crop J. 2016, 4, 1–11. [Google Scholar] [CrossRef]
- Joukhadar, R.; El-Bouhssini, M.; Jighly, A.; Ogbonnaya, F.C. Genome-wide association mapping for five major pest resistances in wheat. Mol. Breed. 2013, 32, 943–960. [Google Scholar] [CrossRef]
- Pariyar, S.R.; Dababat, A.A.; Sannemann, W.; Erginbas-Orakci, G.; Elashry, A.; Siddique, S.; Morgounov, A.; Leon, J.; Grundler, F.M. Genome-wide association study in wheat identifies resistance to the cereal cyst nematode Heterodera filipjevi. Phytopathology 2016, 106, 1128–1138. [Google Scholar] [CrossRef] [PubMed]






| Trait | Location | Year | Abbreviation | UGA 111729 | AGS 2038 | ||
|---|---|---|---|---|---|---|---|
| Mean | SE | Mean | SE | ||||
| PIT | Plains | 2021 | P21_PIT | 0.83 | 0.83 | 35 | 5 |
| Williamson | 2021 | W21_PIT | 0 | 0 | 1.67 | 0.83 | |
| 2022 | W22_PIT | 0 | 0 | 6.67 | 3.33 | ||
| Growth chamber | 2021 | G21_PIT | 48.15 | 3.70 | 70.37 | 13.35 | |
| NOPPT | Plains | 2021 | P21_NOPPT | 0.01 | 0.01 | 1.13 | 0.03 |
| Williamson | 2021 | W21_NOPPT | 0 | 0 | 0.04 | 0.02 | |
| 2022 | W22_NOPPT | 0 | 0 | 0.22 | 0.15 | ||
| Growth chamber | 2021 | G21_NOPPT | 2.96 | 1.58 | 5.07 | 1.84 | |
| NOPIT | Plains | 2021 | P21_NOPIT | 0.17 | 0.17 | 3.61 | 0.66 |
| Williamson | 2021 | W21_NOPIT | 0 | 0 | 0.83 | 0.44 | |
| 2022 | W22_NOPIT | 0 | 0 | 2.17 | 1.48 | ||
| Growth chamber | 2021 | G21_NOPIT | 1.56 | 0.62 | 2.01 | 0.52 | |
| Res | Growth chamber | 2019 | G19_Res | 100 | 0 | 0 | 0 |
| 2021 | G21_Res | 62.96 | 7.41 | 7.41 | 7.41 | ||
| Trait | Year | Rep. | S | S Total | R | R Total | S:R = 1:1 | S:MS:MR:R = 1:1:1:1 | ||||
|---|---|---|---|---|---|---|---|---|---|---|---|---|
| S | MS | MR | R | X2 | p | X2 | p | |||||
| Res | 2021 | 1 | 85 | 55 | 140 | 27 | 57 | 84 | 14 | 0 | 30.07 | 1.33 × 10−6 |
| 2 | 90 | 44 | 134 | 45 | 46 | 91 | 8.22 | 0 | 27.04 | 5.79 × 10−6 | ||
| 3 | 95 | 39 | 134 | 48 | 43 | 91 | 8.22 | 0 | 36.32 | 6.42 × 10−8 | ||
| Avg. | 44 | 91 | 135 | 61 | 29 | 90 | 9 | 0 | 37.74 | 3.21 × 10−8 | ||
| 2019 | 1 | 141 | 24 | 165 | 24 | 32 | 56 | 53.76 | 2.27 × 10−13 | 178.22 | <2.2 × 10−16 | |
| 2 | 124 | 28 | 152 | 26 | 46 | 72 | 28.57 | 9.03 × 10−8 | 114.43 | <2.2 × 10−16 | ||
| Avg. | 112 | 57 | 169 | 24 | 32 | 56 | 56.75 | 4.95× 10−14 | 84.21 | <2.2 × 10−16 | ||
| Trait | Year | Loc. | Rep. | R | I | S | Total | S:I:R 1:1:1 | |
|---|---|---|---|---|---|---|---|---|---|
| X2 | p | ||||||||
| PIT | 2021 | P | Rep 1 | 186 | 23 | 16 | 225 | 246.75 | <2.2 × 10−16 |
| Rep 2 | 189 | 17 | 18 | 224 | 262.62 | <2.2 × 10−16 | |||
| Average | 193 | 13 | 19 | 225 | 278.72 | <2.2 × 10−16 | |||
| W | Rep 1 | 219 | 6 | 0 | 225 | 414.96 | <2.2 × 10−16 | ||
| Rep 2 | 218 | 2 | 4 | 224 | 412.75 | <2.2 × 10−16 | |||
| Average | 218 | 7 | 0 | 225 | 409.31 | <2.2 × 10−16 | |||
| GC | Rep 1 | 128 | 57 | 40 | 225 | 58.11 | 2.41 × 10−13 | ||
| Rep 2 | 128 | 59 | 38 | 225 | 59.12 | 1.45 × 10−13 | |||
| Rep 3 | 111 | 61 | 53 | 225 | 26.35 | 1.90 × 10−6 | |||
| Average | 131 | 48 | 46 | 225 | 62.75 | 2.37 × 10−14 | |||
| 2022 | W | Rep 1 | 206 | 14 | 4 | 224 | 347.18 | <2.2 × 10−16 | |
| NOPPT | 2021 | P | Rep 1 | 215 | 6 | 4 | 225 | 392.03 | <2.2 × 10−16 |
| Rep 2 | 211 | 10 | 3 | 224 | 373.72 | <2.2 × 10−16 | |||
| Average | 213 | 10 | 2 | 225 | 381.31 | <2.2 × 10−16 | |||
| W | Rep 1 | 225 | 0 | 0 | 225 | 450 | <2.2 × 10−16 | ||
| Rep 2 | 222 | 2 | 0 | 224 | 436.11 | <2.2 × 10−16 | |||
| Average | 225 | 0 | 0 | 225 | 450 | <2.2 × 10−16 | |||
| GC | Rep 1 | 165 | 34 | 26 | 225 | 162.43 | <2.2 × 10−16 | ||
| Rep 2 | 170 | 35 | 20 | 225 | 182 | <2.2 × 10−16 | |||
| Rep 3 | 142 | 50 | 33 | 225 | 52.67 | 3.66 × 10−12 | |||
| Average | 142 | 50 | 33 | 225 | 91.71 | <2.2 × 10−16 | |||
| 2022 | W | Rep 1 | 222 | 1 | 2 | 225 | 432.19 | <2.2 × 10−16 | |
| NOPIT | 2021 | P | Rep 1 | 187 | 33 | 5 | 225 | 256.11 | <2.2 × 10−16 |
| Rep 2 | 195 | 25 | 4 | 224 | 293.85 | <2.2 × 10−16 | |||
| Average | 198 | 27 | 0 | 225 | 307.44 | <2.2 × 10−16 | |||
| W | Rep 1 | 214 | 9 | 2 | 225 | 414.96 | <2.2 × 10−16 | ||
| Rep 2 | 212 | 10 | 2 | 224 | 412.75 | <2.2 × 10−16 | |||
| Average | 218 | 6 | 1 | 225 | 409.31 | <2.2 × 10−16 | |||
| GC | Rep 1 | 160 | 20 | 45 | 225 | 58.11 | 2.41 × 10−13 | ||
| Rep 2 | 168 | 24 | 33 | 225 | 173.52 | <2.2 × 10−16 | |||
| Rep 3 | 118 | 27 | 80 | 225 | 55.71 | 8.01 × 10−13 | |||
| Average | 148 | 28 | 49 | 225 | 109.52 | <2.2 × 10−16 | |||
| 2022 | W | Rep 1 | 225 | 0 | 0 | 225 | 347.18 | <2.2 × 10−16 |
| Trait | Location | Year | Abbreviation | H2 | h2 |
|---|---|---|---|---|---|
| NOPPT | Plains | 2021 | P21_NOPPT | 0.60 | 0.47 |
| PIT | P21_PIT | 0.64 | 0.52 | ||
| NOPIT | P21_NOPIT | 0.29 | 0.18 | ||
| NOPPT | Williamson | 2021 | W21_NOPPT | 0.12 | 0.03 |
| PIT | W21_PIT | 0.16 | 0.03 | ||
| NOPIT | W21_NOPIT | 0.19 | 0.06 | ||
| Res | Growth chamber | 2019 | G19_Res | 0.77 | 0.74 |
| Res | 2021 | G21_Res | 0.88 | 0.79 | |
| NOPPT | G21_NOPPT | 0.47 | 0.33 | ||
| PIT | G21_PIT | 0.70 | 0.67 | ||
| NOPIT | G21_NOPIT | 0.39 | 0.27 |
| G19_Res_Avg | G21_Res_Avg | G21_NOPPT_Avg | G21_PIT_Avg | G21_NOPIT_Avg | P21_NOPPT_Avg | P21_PIT_Avg | P21_NOPIT_Avg | W21_NOPPT_Avg | W21_PIT_Avg | W21_NOPIT_Avg | W22_NOPPT_R1 | W22_PIT_R1 | W22_NOPIT_R1 | |
|---|---|---|---|---|---|---|---|---|---|---|---|---|---|---|
| G19_Res_Avg | 1 | p < 0.05 | p < 0.05 | p < 0.05 | p < 0.05 | p < 0.05 | p < 0.05 | p < 0.05 | p < 0.05 | p < 0.05 | p < 0.05 | p < 0.05 | p < 0.05 | p < 0.05 |
| G21_Res_Avg | 0.70 | 1 | p < 0.05 | p < 0.05 | p < 0.05 | p < 0.05 | p < 0.05 | p < 0.05 | p < 0.05 | p < 0.05 | p < 0.05 | p < 0.05 | p < 0.05 | p < 0.05 |
| G21_NOPPT_Avg | −0.57 | −0.74 | 1 | p < 0.05 | p < 0.05 | p < 0.05 | p < 0.05 | p < 0.05 | 0.056 | 0.061 | p < 0.05 | p < 0.05 | p < 0.05 | p < 0.05 |
| G21_PIT_Avg | −0.60 | −0.84 | 0.83 | 1 | p < 0.05 | p < 0.05 | p < 0.05 | p < 0.05 | 0.088 | p < 0.05 | p < 0.05 | p < 0.05 | p < 0.05 | p < 0.05 |
| G21_NOPIT_Avg | −0.52 | −0.67 | 0.90 | 0.70 | 1 | p < 0.05 | p < 0.05 | p < 0.05 | 0.0615 | p < 0.05 | p < 0.05 | p < 0.05 | p < 0.05 | p < 0.05 |
| P21_NOPPT_Avg | −0.29 | −0.33 | 0.23 | 0.34 | 0.20 | 1 | p < 0.05 | p < 0.05 | p < 0.05 | 0.136 | p < 0.05 | 0.135 | p < 0.05 | 0.062 |
| P21_PIT_Avg | −0.32 | −0.38 | 0.26 | 0.37 | 0.23 | 0.96 | 1 | p < 0.05 | p < 0.05 | p < 0.05 | p < 0.05 | 0.092 | p < 0.05 | p < 0.05 |
| P21_NOPIT_Avg | −0.31 | −0.32 | 0.25 | 0.33 | 0.22 | 0.74 | 0.70 | 1 | p < 0.05 | 0.064 | p < 0.05 | 0.301 | 0.245 | 0.115 |
| W21_NOPPT_Avg | −0.15 | −0.17 | 0.13 | 0.12 | 0.12 | 0.09 | 0.16 | 0.13 | 1 | p < 0.05 | p < 0.05 | p < 0.05 | p < 0.05 | 0.094 |
| W21_PIT_Avg | −0.16 | −0.17 | 0.12 | 0.13 | 0.13 | 0.06 | 0.10 | 0.10 | 0.88 | 1 | p < 0.05 | p < 0.05 | p < 0.05 | p < 0.05 |
| W21_NOPIT_Avg | −0.21 | −0.24 | 0.21 | 0.17 | 0.20 | 0.13 | 0.22 | 0.14 | 0.80 | 0.67 | 1 | p < 0.05 | p < 0.05 | 0.077 |
| W22_NOPPT_R1 | −0.16 | −0.20 | 0.16 | 0.16 | 0.18 | 0.12 | 0.13 | 0.09 | 0.16 | 0.25 | 0.15 | 1 | p < 0.05 | p < 0.05 |
| W22_PIT_R1 | −0.23 | −0.26 | 0.22 | 0.22 | 0.22 | 0.19 | 0.21 | 0.10 | 0.21 | 0.33 | 0.20 | 0.79 | 1 | p < 0.05 |
| W22_NOPIT_R1 | −0.16 | −0.20 | 0.20 | 0.18 | 0.22 | 0.17 | 0.18 | 0.15 | 0.14 | 0.18 | 0.14 | 0.76 | 0.70 | 1 |
| QTL | Trait Abbreviation | Chr. | Marker at Peak/cM | Marker Interval/cM | LOD | R2 | Add. |
|---|---|---|---|---|---|---|---|
| QHf.ga.srww.3DL | P21_NOPPT_R1 | 3D | IWB65911/132.957 | IWB26378/126.977–IWB19391/136.836 | 4.02–37.55 | 7.18–67.48 | −29.23–22.16 |
| P21_NOPPT_R2 | |||||||
| P21_NOPPT_Avg | |||||||
| P21_PIT_R1 | |||||||
| P21_PIT_R2 | |||||||
| P21_PIT_Avg | |||||||
| P21_NOPIT_R1 | |||||||
| P21_NOPIT_R2 | |||||||
| P21_NOPIT_Avg | |||||||
| G19_Res_R2 | |||||||
| G19_Res_Avg | |||||||
| G21_NOPPT_R1 | |||||||
| G21_NOPPT_R2 | |||||||
| G21_NOPPT_R3 | |||||||
| G21_NOPPT_Avg | |||||||
| G21_PIT_R1 | |||||||
| G21_PIT_R2 | |||||||
| G21_PIT_R3 | |||||||
| G21_PIT_Avg | |||||||
| G21_Res_R1 | |||||||
| G21_Res_R2 | |||||||
| G21_Res_R3 | |||||||
| G21_Res_Avg | |||||||
| G21_NOPIT_R1 | |||||||
| G21_NOPIT_R2 | |||||||
| G21_NOPIT_R3 | |||||||
| G21_NOPIT_Avg | |||||||
| QHf.ga.srww.3A | P21_NOPPT_Avg | 3A1 | IWB14875/22.285 | IWA6387/1.643–IWB14875/22.285 | 2.91–4.12 | 2.72–5.91 | −0.04–0.28 |
| G21_NOPIT_R1 | |||||||
| QHf.ga.srww.6B | G19_Res_R2 | 6B2 | IWB59262/68.412 | IWB62788/63.327–IWB59262/68.412 | 36.40 | 26.16 | −30.43 |
Disclaimer/Publisher’s Note: The statements, opinions and data contained in all publications are solely those of the individual author(s) and contributor(s) and not of MDPI and/or the editor(s). MDPI and/or the editor(s) disclaim responsibility for any injury to people or property resulting from any ideas, methods, instructions or products referred to in the content. |
© 2023 by the authors. Licensee MDPI, Basel, Switzerland. This article is an open access article distributed under the terms and conditions of the Creative Commons Attribution (CC BY) license (https://creativecommons.org/licenses/by/4.0/).
Share and Cite
Bagwell, J.W.; Subedi, M.; Sapkota, S.; Lopez, B.; Ghimire, B.; Chen, Z.; Buntin, G.D.; Bahri, B.A.; Mergoum, M. Quantitative Trait Locus Analysis of Hessian Fly Resistance in Soft Red Winter Wheat. Genes 2023, 14, 1812. https://doi.org/10.3390/genes14091812
Bagwell JW, Subedi M, Sapkota S, Lopez B, Ghimire B, Chen Z, Buntin GD, Bahri BA, Mergoum M. Quantitative Trait Locus Analysis of Hessian Fly Resistance in Soft Red Winter Wheat. Genes. 2023; 14(9):1812. https://doi.org/10.3390/genes14091812
Chicago/Turabian StyleBagwell, John W., Madhav Subedi, Suraj Sapkota, Benjamin Lopez, Bikash Ghimire, Zhenbang Chen, G. David Buntin, Bochra A. Bahri, and Mohamed Mergoum. 2023. "Quantitative Trait Locus Analysis of Hessian Fly Resistance in Soft Red Winter Wheat" Genes 14, no. 9: 1812. https://doi.org/10.3390/genes14091812
APA StyleBagwell, J. W., Subedi, M., Sapkota, S., Lopez, B., Ghimire, B., Chen, Z., Buntin, G. D., Bahri, B. A., & Mergoum, M. (2023). Quantitative Trait Locus Analysis of Hessian Fly Resistance in Soft Red Winter Wheat. Genes, 14(9), 1812. https://doi.org/10.3390/genes14091812

