Stable Isotope Tracing Reveals an Altered Fate of Glucose in N-Acetyltransferase 1 Knockout Breast Cancer Cells
Abstract
1. Introduction
2. Materials and Methods
2.1. Reagents
2.2. Cell Culture
2.3. Measurement of N-Acetylation of PABA
2.4. [U-13C]-Glucose Tracer Studies
2.5. Statistical Analysis
3. Results
3.1. NAT1 Knockout Does Not Alter the Glycolytic Intermediates in MDA-MB-231 Cells
3.2. NAT1 Knockout Reduces the TCA/Krebs Cycle Intermediates of MDA-MB-231 Cells
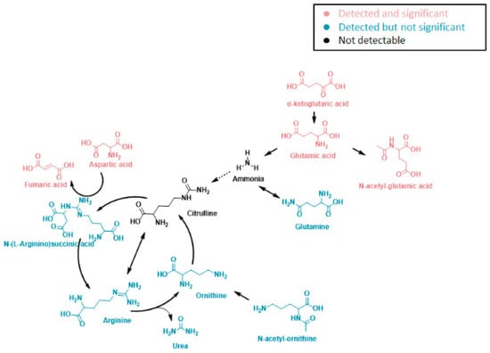
3.3. NAT1 Knockout Alters the Amino Acid Production of MDA-MB-231 Cells
3.4. NAT1 Knockout Alters the S-Adenosyl Methionine (SAM) Cycle of MDA-MB-231 Cells
3.5. NAT1 Knockout Alters the Amino Acid Production of MDA-MB-231 Cells
4. Discussion
Supplementary Materials
Author Contributions
Funding
Institutional Review Board Statement
Informed Consent Statement
Data Availability Statement
Conflicts of Interest
Appendix A
Detailed LC-MS Setting Information
References
- Hein, D.W.; Doll, M.A.; Fretland, A.J.; Leff, M.A.; Webb, S.J.; Xiao, G.H.; Devanaboyina, U.S.; Nangju, N.A.; Feng, Y. Molecular genetics and epidemiology of the NAT1 and NAT2 acetylation polymorphisms. Cancer Epidemiol. Biomark. Prev. 2000, 9, 29–42. [Google Scholar]
- Hein, D.W. Molecular genetics and function of NAT1 and NAT2: Role in aromatic amine metabolism and carcinogenesis. Mutat. Res. 2002, 506–507, 65–77. [Google Scholar] [CrossRef] [PubMed]
- Sim, E.; Abuhammad, A.; Ryan, A. Arylamine N-acetyltransferases: From drug metabolism and pharmacogenetics to drug discovery. Br. J. Pharm. 2014, 171, 2705–2725. [Google Scholar] [CrossRef] [PubMed]
- Fei, H.; Chen, S.; Xu, C. RNA-sequencing and microarray data mining revealing: The aber-rantly expressed mRNAs were related with a poor outcome in the triple negative breast cancer patients. Ann. Transl. Med. 2020, 8, 363. [Google Scholar] [CrossRef]
- Perou, C.M.; Jeffrey, S.S.; van de Rijn, M.; Rees, C.A.; Eisen, M.B.; Ross, D.T.; Pergamenschikov, A.; Williams, C.F.; Zhu, S.X.; Lee, J.C.; et al. Distinctive gene expression patterns in human mammary epithelial cells and breast cancers. Proc. Natl. Acad. Sci. USA 1999, 96, 9212–9217. [Google Scholar] [CrossRef]
- Wakefield, L.; Robinson, J.; Long, H.; Ibbitt, J.C.; Cooke, S.; Hurst, H.C.; Sim, E. Arylamine N-acetyltransferase 1 expression in breast cancer cell lines: A potential marker in estrogen receptor-positive tumors. Genes Chromosomes Cancer 2008, 47, 118–126. [Google Scholar] [CrossRef]
- Zhao, H.; Langerød, A.; Ji, Y.; Nowels, K.W.; Nesland, J.M.; Tibshirani, R.; Bukholm, I.K.; Kåresen, R.; Botstein, D.; Børresen-Dale, A.L.; et al. Different gene expression patterns in invasive lobular and ductal carcinomas of the breast. Mol. Biol. Cell 2004, 15, 2523–2536. [Google Scholar] [CrossRef]
- Carlisle, S.M.; Trainor, P.J.; Yin, X.; Doll, M.A.; Stepp, M.W.; States, J.C.; Zhang, X.; Hein, D.W. Untargeted polar metabolomics of transformed MDA-MB-231 breast cancer cells expressing varying levels of human arylamine N-acetyltransferase 1. Metabolomics 2016, 12, 1–12. [Google Scholar] [CrossRef]
- Carlisle, S.M.; Trainor, P.J.; Doll, M.A.; Stepp, M.W.; Klinge, C.M.; Hein, D.W. Knockout of human arylamine N-acetyltransferase 1 (NAT1) in MDA-MB-231 breast cancer cells leads to increased reserve capacity, maximum mitochondrial capacity, and glycolytic reserve capacity. Mol. Carcinog. 2018, 57, 1458–1466. [Google Scholar] [CrossRef]
- Carlisle, S.M.; Trainor, T.; Hong, K.U.; Doll, M.A.; Hein, D.W. CRISPR/Cas9 knockout of hu-man arylamine N-acetyltransferase 1 in MDAMB-231 breast cancer cells suggests a role in cellular metabolism. Sci. Rep. 2020, 10, 9804. [Google Scholar] [CrossRef]
- Hong, K.U.; Gardner, J.Q.; Doll, M.A.; Stepp, M.W.; Wilkey, D.W.; Benz, F.W.; Cai, J.; Merchant, M.L.; Hein, D.W. Proteomic analysis of arylamine N-acetyltransferase 1 knockout breast cancer cells: Implications in immune evasion and mitochondrial biogenesis. Toxicol. Rep. 2022, 9, 1566–1573. [Google Scholar] [CrossRef]
- Li, P.; Butcher, N.J.; Minchin, R.F. Arylamine N-acetyltransferase 1 regulates expression of matrix metalloproteinase 9 in breast cancer cells: Role of hypoxia-inducible factor 1-α Mol. Mol. Pharmacol. 2019, 96, 573–579. [Google Scholar] [CrossRef] [PubMed]
- Li, P.; Butcher, N.J.; Minchin, R.F. Effect arylamine N-acetyltransferase 1 on morphology, adhesion, migration, and invasion of MDA-MB-231 cells: Role of matrix metalloproteinases and integrin αV. Cell Adhes. Migr. 2020, 14, 1–11. [Google Scholar] [CrossRef]
- Stepp, M.W.; Doll, M.A.; Carlisle, S.M.; States, J.C.; Hein, D.W. Genetic and small molecule inhibition of arylamine N-acetyltransferase 1 reduces anchorage-independent growth in human breast cancer cell line MDA-MB-231. Mol. Carcinog. 2018, 57, 549–558. [Google Scholar] [CrossRef] [PubMed]
- Stepp, M.W.; Salazar-González, R.A.; Hong, K.U.; Doll, M.A.; Hein, D.W. N-Acetyltransferase 1 knockout elevates acetyl coenzyme A levels and reduces anchorage-independent growth in human breast cancer cell lines. J. Oncol. 2019, 2019, 3860426. [Google Scholar] [CrossRef]
- Wang, L.; Minchin, R.F.; Essebier, P.J.; Butcher, N.J. Loss of human arylamine N-acetyltransferase I regulates mitochondrial function by inhibition of the pyruvate de-hydrogenase complex. Int. J. Biochem. Cell Biol. 2019, 110, 84–90. [Google Scholar] [CrossRef] [PubMed]
- Doll, M.A.; Ray, A.R.; Salazar-González, R.A.; Shah, P.P.; Vega, A.A.; Sears, S.M.; Krueger, A.M.; Hong, K.U.; Beverly, L.J.; Hein, D.W. Deletion of arylamine N-acetyltransferase 1 in MDA-MB-231 human breast cancer cells reduces primary and secondary tumor growth in vivo with no significant effects on metastasis. Mol. Carcinog. 2022, 61, 481–493. [Google Scholar] [CrossRef]
- Hong, K.U.; Tagnedji, A.H.; Doll, M.A.; Walls, K.M.; Hein, D.W. Upregulation of cytidine deaminase in NAT1 knockout breast cancer cells. J. Cancer Res. Clin. Oncol. 2022, 1–14. [Google Scholar] [CrossRef]
- Tiang, J.M.; Butcher, N.J.; Cullinane, C.; Humbert, P.O.; Minchin, R.F. RNAi-mediated knock-down of arylamine N-acetyltransferase-1 expression induces E-cadherin up-regulation and cell-cell contact growth inhibition. PLoS ONE 2011, 6, e17031. [Google Scholar] [CrossRef]
- Tiang, J.M.; Butcher, N.J.; Minchin, R.F. Effects of human arylamine N-acetyltransferase I knockdown in triple-negative breast cancer cell lines. Cancer Med. 2015, 4, 565–574. [Google Scholar] [CrossRef]
- Husain, A.; Zhang, X.; Doll, M.A.; States, J.C.; Barker, D.F.; Hein, D.W. Identification of N-acetyltransferase 2 (NAT2) transcription start sites and quantitation of NAT2-specific mRNA in human tissues. Drug Metab. Dispos. 2007, 35, 721–727. [Google Scholar] [CrossRef]
- Conroy, L.R.; Lorkiewicz, P.; He, L.; Yin, X.; Zhang, X.; Rai, S.N.; Clem, B.F. Palbociclib treatment alters nucleotide biosynthesis and glutamine dependency in A549 cells. Cancer Cell Int. 2020, 20, 280. [Google Scholar] [CrossRef] [PubMed]
- Wei, X.; Lorkiewicz, P.; Salabei, J.K.; Shi, B.; Hill, B.G.; Kim, S.; McClain, C.J.; Zhang, X. Analysis of stable isotope assisted metabolomics data acquired by high resolution mass spectrometry. Anal. Methods 2017, 9, 2275–2283. [Google Scholar] [CrossRef]
- Wei, X.; Shi, X.; Kim, S.; Patrick, J.S.; Binkley, J.; Kong, M.; McClain, C.J.; Zhang, X. Data dependent chromatographic peak model-based spectrum deconvolution for analysis of LC-MS data. Anal. Chem. 2014, 86, 2156–2165. [Google Scholar] [CrossRef] [PubMed]
- Wei, X.; Sun, W.; Shi, X.; Koo, I.; Wang, B.; Yin, X.; Tang, Y.; Bogdanov, B.; Kim, S.; Zhou, Z.; et al. MetSign: A computational platform for high-resolution mass spectrometry-based metabolomics. Anal. Chem. 2011, 83, 7668–7675. [Google Scholar] [CrossRef] [PubMed]
- Benjamini, Y.; Hochberg, Y. Controlling the False Discovery Rate—A Practical and Powerful Approach to Multiple Testing. J. R. Stat. Soc. Ser. B Stat. Methodol. 1995, 57, 289–300. [Google Scholar] [CrossRef]














Disclaimer/Publisher’s Note: The statements, opinions and data contained in all publications are solely those of the individual author(s) and contributor(s) and not of MDPI and/or the editor(s). MDPI and/or the editor(s) disclaim responsibility for any injury to people or property resulting from any ideas, methods, instructions or products referred to in the content. |
© 2023 by the authors. Licensee MDPI, Basel, Switzerland. This article is an open access article distributed under the terms and conditions of the Creative Commons Attribution (CC BY) license (https://creativecommons.org/licenses/by/4.0/).
Share and Cite
Wise, J.T.F.; Yin, X.; Ma, X.; Zhang, X.; Hein, D.W. Stable Isotope Tracing Reveals an Altered Fate of Glucose in N-Acetyltransferase 1 Knockout Breast Cancer Cells. Genes 2023, 14, 843. https://doi.org/10.3390/genes14040843
Wise JTF, Yin X, Ma X, Zhang X, Hein DW. Stable Isotope Tracing Reveals an Altered Fate of Glucose in N-Acetyltransferase 1 Knockout Breast Cancer Cells. Genes. 2023; 14(4):843. https://doi.org/10.3390/genes14040843
Chicago/Turabian StyleWise, James T. F., Xinmin Yin, Xipeng Ma, Xiang Zhang, and David W. Hein. 2023. "Stable Isotope Tracing Reveals an Altered Fate of Glucose in N-Acetyltransferase 1 Knockout Breast Cancer Cells" Genes 14, no. 4: 843. https://doi.org/10.3390/genes14040843
APA StyleWise, J. T. F., Yin, X., Ma, X., Zhang, X., & Hein, D. W. (2023). Stable Isotope Tracing Reveals an Altered Fate of Glucose in N-Acetyltransferase 1 Knockout Breast Cancer Cells. Genes, 14(4), 843. https://doi.org/10.3390/genes14040843

