Use of Host Feeding Behavior and Gut Microbiome Data in Estimating Variance Components and Predicting Growth and Body Composition Traits in Swine
Abstract
:1. Introduction
2. Materials and Methods
2.1. Animals and Data
2.2. 16S rRNA Gene Sequencing and Data Processing
2.3. Statistical Analysis
2.3.1. Estimation of Variance Components and Microbiability
2.3.2. Predictive Ability of Microbiota Composition and Feeding Behavior
2.3.3. Post-Analysis of fb2 and m2 Estimates and Prediction Accuracy
3. Results
3.1. Data Summary
3.2. Proportion of Phenotypic Variances Explained by Feeding Behavior and Microbiota Composition
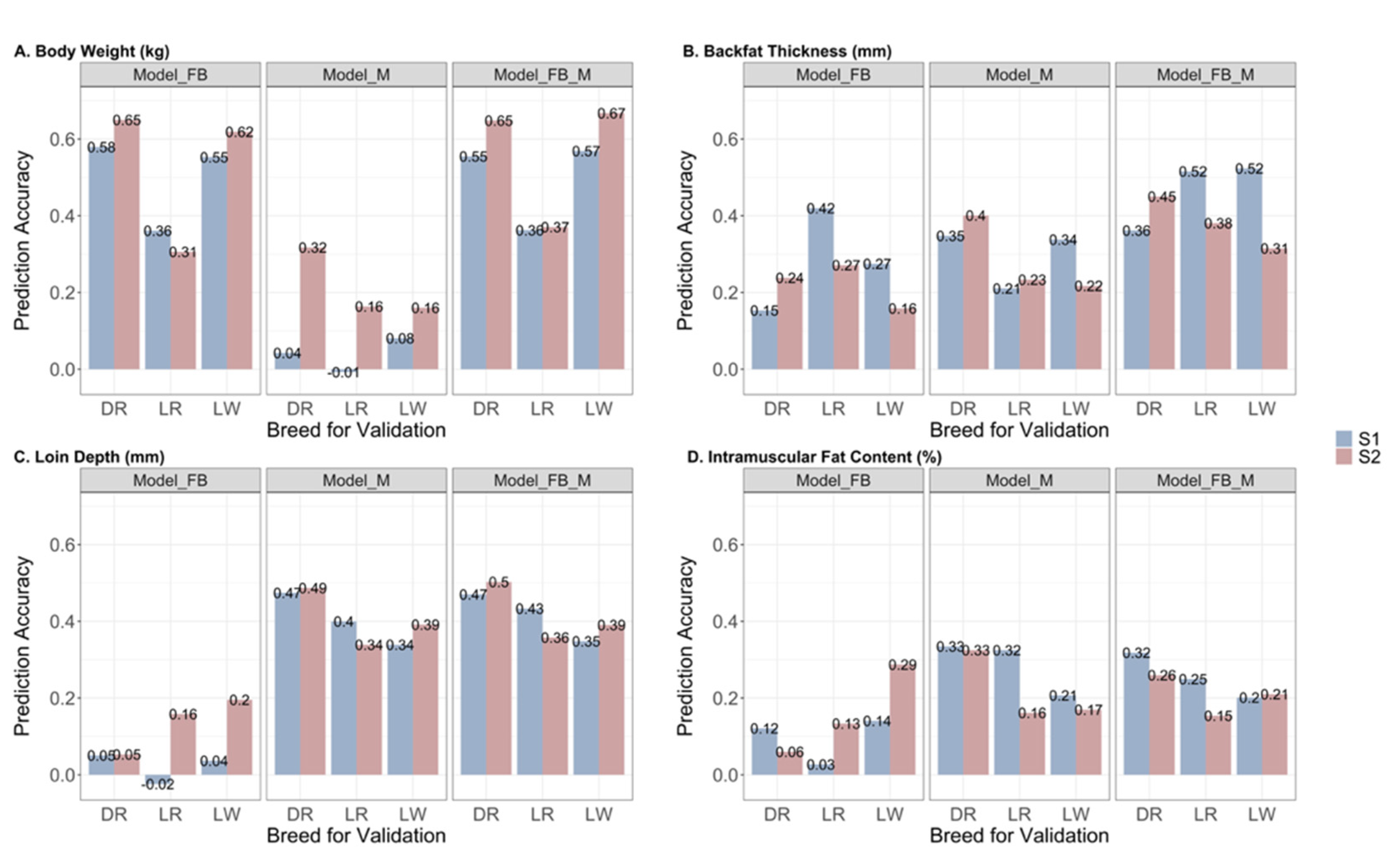
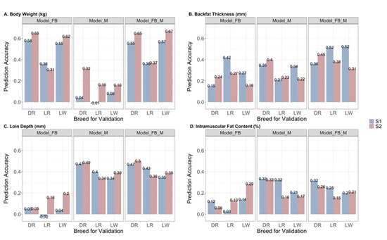
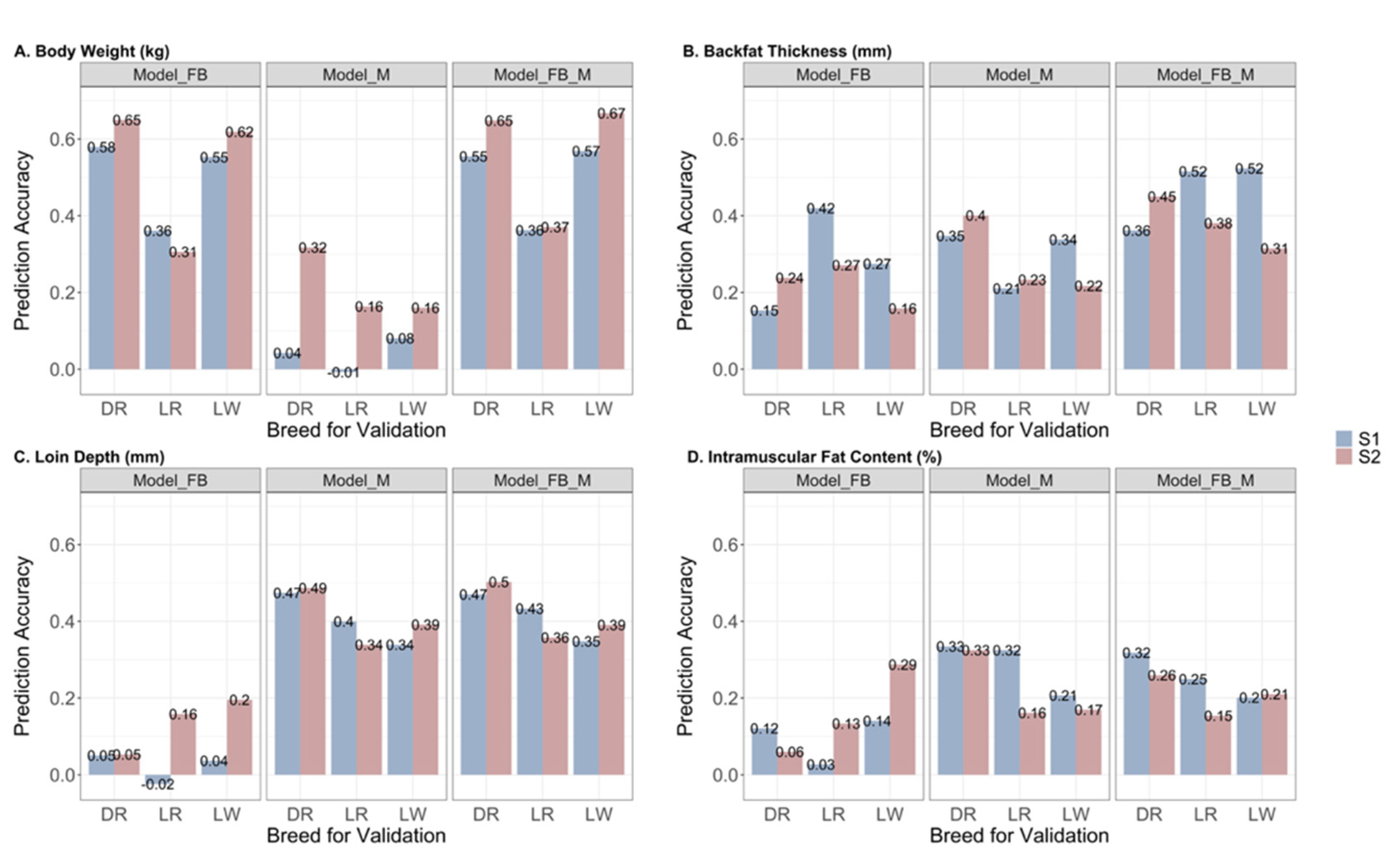
3.3. Across-Breed Prediction Performance
3.4. Across-Room Prediction Performance
4. Discussion
5. Conclusions
Supplementary Materials
Author Contributions
Funding
Institutional Review Board Statement
Informed Consent Statement
Data Availability Statement
Acknowledgments
Conflicts of Interest
References
- Pomar, C.; Remus, A. Precision pig feeding: A breakthrough toward sustainability. Anim. Front. 2019, 9, 52–59. [Google Scholar] [CrossRef] [PubMed]
- Lu, D.; Jiao, S.; Tiezzi, F.; Knauer, M.; Huang, Y.; Gray, K.A.; Maltecca, C. The relationship between different measures of feed efficiency and feeding behavior traits in Duroc pigs. J. Anim. Sci. 2017, 95, 3370–3380. [Google Scholar] [CrossRef] [PubMed]
- Renaudeau, D. Effect of housing conditions (clean vs. dirty) on growth performance and feeding behavior in growing pigs in a tropical climate. Trop. Anim. Health Prod. 2009, 41, 559–563. [Google Scholar] [CrossRef] [PubMed]
- Matthews, S.G.; Miller, A.L.; Clapp, J.; Plötz, T.; Kyriazakis, I. Early detection of health and welfare compromises through automated detection of behavioural changes in pigs. Vet. J. 2016, 217, 43–51. [Google Scholar] [CrossRef] [PubMed] [Green Version]
- Brown-Brandl, T.M.; Rohrer, G.A.; Eigenberg, R.A. Analysis of feeding behavior of group housed growing–finishing pigs. Comput. Electron. Agric. 2013, 96, 246–252. [Google Scholar] [CrossRef] [Green Version]
- Kashiha, M.; Bahr, C.; Ott, S.; Moons, C.P.H.; Niewold, T.A.; Ödberg, F.O.; Berckmans, D. Automatic identification of marked pigs in a pen using image pattern recognition. Comput. Electron. Agric. 2013, 93, 111–120. [Google Scholar] [CrossRef]
- Yang, Q.; Xiao, D.; Lin, S. Feeding behavior recognition for group-housed pigs with the Faster R-CNN. Comput. Electron. Agric. 2018, 155, 453–460. [Google Scholar] [CrossRef]
- Cryan, J.F.; O’riordan, K.J.; Cowan, C.S.M.; Sandhu, K.V.; Bastiaanssen, T.F.S.; Boehme, M.; Codagnone, M.G.; Cussotto, S.; Fulling, C.; Golubeva, A.V.; et al. The microbiota-gut-brain axis. Physiol. Rev. 2019, 99, 1877–2013. [Google Scholar] [CrossRef]
- Turnbaugh, P.J.; Ley, R.E.; Hamady, M.; Fraser-Liggett, C.M.; Knight, R.; Gordon, J.I. The Human Microbiome Project. Nature 2007, 449, 804–810. [Google Scholar] [CrossRef]
- Hu, Y.; Peng, J.; Li, F.; Wong, F.S.; Wen, L. Evaluation of different mucosal microbiota leads to gut microbiota-based prediction of type 1 diabetes in NOD mice. Sci. Rep. 2018, 8, 15451. [Google Scholar] [CrossRef] [Green Version]
- Zhou, Y.; Xu, Z.Z.; He, Y.; Yang, Y.; Liu, L.; Lin, Q.; Nie, Y.; Li, M.; Zhi, F.; Liu, S.; et al. Gut Microbiota Offers Universal Biomarkers across Ethnicity in Inflammatory Bowel Disease Diagnosis and Infliximab Response Prediction. mSystems 2018, 3, 188–205. [Google Scholar] [CrossRef] [PubMed] [Green Version]
- Zheng, Y.; Fang, Z.; Xue, Y.; Zhang, J.; Zhu, J.; Gao, R.; Yao, S.; Ye, Y.; Wang, S.; Lin, C.; et al. Specific gut microbiome signature predicts the early-stage lung cancer. Gut Microbes 2020, 11, 1030–1042. [Google Scholar] [CrossRef] [PubMed]
- Xia, Y.; Sun, J.; Chen, D.-G. What Are Microbiome Data? In Statistical Analysis of Microbiome Data with R.; ICSA Book Series in Statistics; Springer: Singapore, 2018; pp. 29–41. [Google Scholar] [CrossRef]
- Wang, X.; Tsai, T.; Deng, F.; Wei, X.; Chai, J.; Knapp, J.; Apple, J.; Maxwell, C.V.; Lee, J.A.; Li, Y.; et al. Longitudinal investigation of the swine gut microbiome from birth to market reveals stage and growth performance associated bacteria. Microbiome 2019, 7, 109. [Google Scholar] [CrossRef] [PubMed] [Green Version]
- Bergamaschi, M.; Maltecca, C.; Schillebeeckx, C.; McNulty, N.P.; Schwab, C.; Shull, C.; Fix, J.; Tiezzi, F. Heritability and genome-wide association of swine gut microbiome features with growth and fatness parameters. Sci. Rep. 2020, 10, 10134. [Google Scholar] [CrossRef]
- McCormack, U.M.; Curião, T.; Buzoianu, S.G.; Prieto, M.L.; Ryan, T.; Varley, P.; Crispie, F.; Magowan, E.; Metzler-Zebeli, B.U.; Berry, D.; et al. Exploring a possible link between the intestinal microbiota and feed efficiency in pigs. Appl. Environ. Microbiol. 2017, 83, 380–397. [Google Scholar] [CrossRef] [Green Version]
- Yang, H.; Xiang, Y.; Robinson, K.; Wang, J.; Zhang, G.; Zhao, J.; Xiao, Y. Gut Microbiota Is a Major Contributor to Adiposity in Pigs. Front. Microbiol. 2018, 9, 3045. [Google Scholar] [CrossRef]
- Maltecca, C.; Dunn, R.; He, Y.; McNulty, N.P.; Schillebeeckx, C.; Schwab, C.; Shull, C.; Fix, J.; Tiezzi, F. Microbial composition differs between production systems and is associated with growth performance and carcass quality in pigs. Anim. Microbiome 2021, 3, 57. [Google Scholar] [CrossRef]
- He, Y.; Tiezzi, F.; Howard, J.; Huang, Y.; Gray, K.; Maltecca, C. Exploring the role of gut microbiota in host feeding behavior among breeds in swine. BMC Microbiol. 2022, 22, 1. [Google Scholar] [CrossRef]
- He, J.; Guo, H.; Zheng, W.; Xue, Y.; Zhao, R.; Yao, W. Heat stress affects fecal microbial and metabolic alterations of primiparous sows during late gestation. J. Anim. Sci. Biotechnol. 2019, 10, 84. [Google Scholar] [CrossRef]
- Xiong, Y.; Yi, H.; Wu, Q.; Jiang, Z.; Wang, L. Effects of acute heat stress on intestinal microbiota in grow--finishing pigs, and associations with feed intake and serum profile. J. Appl. Microbiol. 2020, 128, 840–852. [Google Scholar] [CrossRef]
- Le Sciellour, M.; Zemb, O.; Hochu, I.; Riquet, J.; Gilbert, H.; Giorgi, M.; Billon, Y.; Gourdine, J.-L.; Renaudeau, D. Effect of chronic and acute heat challenges on fecal microbiota composition, production, and thermoregulation traits in growing pigs. J. Anim. Sci. 2019, 97, 3845–3858. [Google Scholar] [CrossRef] [PubMed]
- Casey, D.S.; Stern, H.S.; Dekkers, J.C.M. Identification of errors and factors associated with errors in data from electronic swine feeders. J. Anim. Sci. 2005, 83, 969–982. [Google Scholar] [CrossRef] [Green Version]
- Bergamaschi, M.; Tiezzi, F.; Howard, J.; Huang, Y.J.; Gray, K.A.; Schillebeeckx, C.; McNulty, N.P.; Maltecca, C. Gut microbiome composition differences among breeds impact feed efficiency in swine. Microbiome 2020, 8, 110. [Google Scholar] [CrossRef] [PubMed]
- Lu, D.; Tiezzi, F.; Schillebeeckx, C.; McNulty, N.P.; Schwab, C.; Shull, C.; Maltecca, C. Host contributes to longitudinal diversity of fecal microbiota in swine selected for lean growth. Microbiome 2018, 6, 4. [Google Scholar] [CrossRef] [PubMed] [Green Version]
- Tiezzi, F.; de los Campos, G.; Parker Gaddis, K.L.; Maltecca, C. Genotype by environment (climate) interaction improves genomic prediction for production traits in US Holstein cattle. J. Dairy Sci. 2017, 100, 2042–2056. [Google Scholar] [CrossRef] [PubMed] [Green Version]
- Ross, E.M.; Moate, P.J.; Marett, L.C.; Cocks, B.G.; Hayes, B.J. Metagenomic Predictions: From Microbiome to Complex Health and Environmental Phenotypes in Humans and Cattle. PLoS ONE 2013, 8, e73056. [Google Scholar] [CrossRef] [PubMed] [Green Version]
- Pérez, P.; De Los Campos, G. Genome-wide regression and prediction with the BGLR statistical package. Genetics 2014, 198, 483–495. [Google Scholar] [CrossRef]
- Plummer, M.; Best, N.; Cowles, K.; Vines, K. CODA: Convergence diagnosis and output analysis for MCMC. R News 2006, 6, 7–11. [Google Scholar]
- Difford, G.; Lassen, J.; Løvendahl, P. Genes and microbes, the next step in dairy cattle breeding. In Book of Abstracts, Proceedings of the 67th Annual Meeting of the European Federation of Animal Science, Belfast, UK, 29 August–2 September 2016; Wageningen Academic Publishers: Wageningen, UK; p. 285.
- Rauw, W.M.; Soler, J.; Tibau, J.; Reixach, J.; Gomez Raya, L. Feeding time and feeding rate and its relationship with feed intake, feed efficiency, growth rate, and rate of fat deposition in growing Duroc barrows. J. Anim. Sci. 2006, 84, 3404–3409. [Google Scholar] [CrossRef]
- Carcò, G.; Gallo, L.; Dalla Bona, M.; Latorre, M.A.; Fondevila, M.; Schiavon, S. The influence of feeding behaviour on growth performance, carcass and meat characteristics of growing pigs. PLoS ONE 2018, 13, e0205572. [Google Scholar] [CrossRef] [Green Version]
- Brouns, F.; Edwards, S.A. Social rank and feeding behaviour of group-housed sows fed competitively or ad libitum. Appl. Anim. Behav. Sci. 1994, 39, 225–235. [Google Scholar] [CrossRef]
- Georgsson, L.; Svendsen, J. Degree of competition at feeding differentially affects behavior and performance of group-housed growing-finishing pigs of different relative weights. J. Anim. Sci. 2002, 80, 376–383. [Google Scholar] [CrossRef] [PubMed] [Green Version]
- Do, D.N.; Strathe, A.B.; Jensen, J.; Mark, T.; Kadarmideen, H.N. Genetic parameters for different measures of feed efficiency and related traits in boars of three pig breeds. J. Anim. Sci. 2013, 91, 4069–4079. [Google Scholar] [CrossRef] [PubMed]
- Difford, G.F.; Plichta, D.R.; Løvendahl, P.; Lassen, J.; Noel, S.J.; Højberg, O.; Wright, A.-D.G.; Zhu, Z.; Kristensen, L.; Nielsen, H.B.; et al. Host genetics and the rumen microbiome jointly associate with methane emissions in dairy cows. PLOS Genet. 2018, 14, e1007580. [Google Scholar] [CrossRef] [Green Version]
- Khanal, P.; Maltecca, C.; Schwab, C.; Fix, J.; Tiezzi, F. Microbiability of meat quality and carcass composition traits in swine. J. Anim. Breed. Genet. 2021, 138, 223–236. [Google Scholar] [CrossRef]
- Camarinha-Silva, A.; Maushammer, M.; Wellmann, R.; Vital, M.; Preuss, S.; Bennewitz, J. Host genome influence on gut microbial composition and microbial prediction of complex traits in pigs. Genetics 2017, 206, 1637–1644. [Google Scholar] [CrossRef]
- Spor, A.; Koren, O.; Ley, R. Unravelling the effects of the environment and host genotype on the gut microbiome. Nat. Rev. Microbiol. 2011, 9, 279–290. [Google Scholar] [CrossRef]
- Megahed, A.; Zeineldin, M.; Evans, K.; Maradiaga, N.; Blair, B.; Aldridge, B.; Lowe, J. Impacts of environmental complexity on respiratory and gut microbiome community structure and diversity in growing pigs. Sci. Rep. 2019, 9, 1–12. [Google Scholar] [CrossRef] [Green Version]
- Kers, J.G.; Velkers, F.C.; Fischer, E.A.J.; Hermes, G.D.A.; Stegeman, J.A.; Smidt, H. Host and environmental factors affecting the intestinal microbiota in chickens. Front. Microbiol. 2018, 9, 235. [Google Scholar] [CrossRef] [Green Version]
- Chen, S.; Wang, J.; Peng, D.; Li, G.; Chen, J.; Gu, X. Exposure to heat-stress environment affects the physiology, circulation levels of cytokines, and microbiome in dairy cows. Sci. Rep. 2018, 8, 14606. [Google Scholar] [CrossRef] [Green Version]
- Cao, Y.; Liu, Y.; Dong, Q.; Wang, T.; Niu, C. Alterations in the gut microbiome and metabolic profile in rats acclimated to high environmental temperature. Microb. Biotechnol. 2021, 15, 276–288. [Google Scholar] [CrossRef] [PubMed]
- Du, F.; Li, Y.; Tang, Y.; Su, S.; Yu, J.; Yu, F.; Li, J.; Li, H.; Wang, M.; Xu, P. Response of the gut microbiome of Megalobrama amblycephala to crowding stress. Aquaculture 2019, 500, 586–596. [Google Scholar] [CrossRef]
- Zhu, L.; Liao, R.; Wu, N.; Zhu, G.; Yang, C. Heat stress mediates changes in fecal microbiome and functional pathways of laying hens. Appl. Microbiol. Biotechnol. 2019, 103, 461–472. [Google Scholar] [CrossRef]
- Maltecca, C.; Lu, D.; Schillebeeckx, C.; McNulty, N.P.; Schwab, C.; Shull, C.; Tiezzi, F. Predicting Growth and Carcass Traits in Swine Using Microbiome Data and Machine Learning Algorithms. Sci. Rep. 2019, 9, 6574. [Google Scholar] [CrossRef] [PubMed] [Green Version]
- Niu, Q.; Li, P.; Hao, S.; Zhang, Y.; Kim, S.W.; Li, H.; Ma, X.; Gao, S.; He, L.; Wu, W.; et al. Dynamic distribution of the gut microbiota and the relationship with apparent crude fiber digestibility and growth stages in pigs. Sci. Rep. 2015, 5, 9938. [Google Scholar] [CrossRef] [PubMed] [Green Version]
- Zhao, W.; Wang, Y.; Liu, S.; Huang, J.; Zhai, Z.; He, C.; Ding, J.; Wang, J.; Wang, H.; Fan, W.; et al. The dynamic distribution of porcine microbiota across different ages and gastrointestinal tract segments. PLoS ONE 2015, 10, e0117441. [Google Scholar] [CrossRef] [PubMed] [Green Version]
- Li, Y.; Wang, X.; Wang, X.; Wang, J.; Zhao, J. Life-long dynamics of the swine gut microbiome and their implications in probiotics development and food safety. Gut Microbes 2020, 11, 1824–1832. [Google Scholar] [CrossRef]






| Trait | Time | Training 1 | Validation | Model | ||
|---|---|---|---|---|---|---|
| Model_FB | Model_M | Model_FB_M | ||||
| Body Weight (kg) | S1 | LR + LW | DR | 126.00 | 142.35 | 107.76 |
| DR + LW | LR | 115.17 | 118.03 | 118.87 | ||
| DR + LR | LW | 117.99 | 156.86 | 106.92 | ||
| Average | 119.72 | 139.08 | 111.18 | |||
| S2 | LR + LW | DR | 107.83 | 127.53 | 95.03 | |
| DR + LW | LR | 110.10 | 117.06 | 105.61 | ||
| DR + LR | LW | 112.49 | 148.73 | 98.36 | ||
| Average | 110.14 | 131.10 | 99.67 | |||
| Backfat Thickness (mm) | S1 | LR + LW DR + LW | DR LR | 13.75 7.24 | 19.30 11.98 | 15.78 8.09 |
| DR + LR | LW | 16.08 | 15.42 | 11.96 | ||
| Average | 12.36 | 15.57 | 11.94 | |||
| S2 | LR + LW | DR | 11.09 | 18.12 | 14.59 | |
| DR + LW | LR | 8.26 | 10.97 | 9.47 | ||
| DR + LR | LW | 17.63 | 17.48 | 16.04 | ||
| Average | 12.33 | 15.52 | 13.37 | |||
| Loin Depth (mm) | S1 | LR + LW | DR | 45.14 | 34.22 | 34.01 |
| DR + LW | LR | 47.66 | 39.09 | 38.74 | ||
| DR + LR | LW | 51.18 | 42.95 | 42.37 | ||
| Average | 47.99 | 38.75 | 38.37 | |||
| S2 | LR + LW | DR | 45.17 | 36.56 | 33.00 | |
| DR + LW | LR | 45.40 | 43.68 | 43.84 | ||
| DR + LR | LW | 48.54 | 44.66 | 42.44 | ||
| Average | 46.37 | 41.63 | 39.76 | |||
| Intramuscular Fat Content (%) | S1 | LR + LW | DR | 0.77 | 0.76 | 0.74 |
| DR + LW | LR | 0.60 | 0.51 | 0.53 | ||
| DR + LR | LW | 0.59 | 0.60 | 0.59 | ||
| Average | 0.65 | 0.62 | 0.62 | |||
| S2 | LR + LW | DR | 0.80 | 0.72 | 0.73 | |
| DR + LW | LR | 0.58 | 0.58 | 0.59 | ||
| DR + LR | LW | 0.57 | 0.63 | 0.62 | ||
| Average | 0.65 | 0.64 | 0.65 | |||
| Trait 1 | Time | Model_FB | Model_M | Model_FB_M | |||
|---|---|---|---|---|---|---|---|
| r | MSE | r | MSE | r | MSE | ||
| BW (kg) | S1 | 0.60 ± 0.17 | 111.25 ± 38.74 | 0.16 ± 0.13 | 132.15 ± 18.06 | 0.58 ± 0.16 | 109.56 ± 38.24 |
| S2 | 0.57 ± 0.13 | 103.01 ± 22.24 | 0.29 ± 0.09 | 125.44 ± 14.77 | 0.59 ± 0.11 | 101.34 ± 24.49 | |
| BF (mm) | S1 | 0.54 ± 0.13 | 10.11 ± 4.75 | 0.41 ± 0.10 | 9.40 ± 3.15 | 0.61 ± 0.11 | 7.77 ± 3.46 |
| S2 | 0.41 ± 0.11 | 10.51 ± 4.45 | 0.33 ± 0.10 | 9.84 ± 2.69 | 0.46 ± 0.09 | 9.32 ± 3.34 | |
| LD (mm) | S1 | 0.26 ± 0.12 | 55.35 ± 38.64 | 0.13 ± 0.13 | 51.63 ± 29.88 | 0.23 ± 0.11 | 52.37 ± 30.91 |
| S2 | 0.15 ± 0.11 | 53.65 ± 36.47 | 0.11 ± 0.07 | 47.57 ± 27.58 | 0.20 ± 0.07 | 49.23 ± 28.71 | |
| IMF (%) | S1 | 0.08 ± 0.09 | 0.71 ± 0.34 | 0.10 ± 0.12 | 0.67 ± 0.30 | 0.12 ± 0.13 | 0.68 ± 0.29 |
| S2 | 0.00 ± 0.14 | 0.70 ± 0.34 | 0.00 ± 0.09 | 0.73 ± 0.30 | −0.02 ± 0.11 | 0.73 ± 0.30 | |
Publisher’s Note: MDPI stays neutral with regard to jurisdictional claims in published maps and institutional affiliations. |
© 2022 by the authors. Licensee MDPI, Basel, Switzerland. This article is an open access article distributed under the terms and conditions of the Creative Commons Attribution (CC BY) license (https://creativecommons.org/licenses/by/4.0/).
Share and Cite
He, Y.; Tiezzi, F.; Jiang, J.; Howard, J.T.; Huang, Y.; Gray, K.; Choi, J.-W.; Maltecca, C. Use of Host Feeding Behavior and Gut Microbiome Data in Estimating Variance Components and Predicting Growth and Body Composition Traits in Swine. Genes 2022, 13, 767. https://doi.org/10.3390/genes13050767
He Y, Tiezzi F, Jiang J, Howard JT, Huang Y, Gray K, Choi J-W, Maltecca C. Use of Host Feeding Behavior and Gut Microbiome Data in Estimating Variance Components and Predicting Growth and Body Composition Traits in Swine. Genes. 2022; 13(5):767. https://doi.org/10.3390/genes13050767
Chicago/Turabian StyleHe, Yuqing, Francesco Tiezzi, Jicai Jiang, Jeremy T. Howard, Yijian Huang, Kent Gray, Jung-Woo Choi, and Christian Maltecca. 2022. "Use of Host Feeding Behavior and Gut Microbiome Data in Estimating Variance Components and Predicting Growth and Body Composition Traits in Swine" Genes 13, no. 5: 767. https://doi.org/10.3390/genes13050767
APA StyleHe, Y., Tiezzi, F., Jiang, J., Howard, J. T., Huang, Y., Gray, K., Choi, J.-W., & Maltecca, C. (2022). Use of Host Feeding Behavior and Gut Microbiome Data in Estimating Variance Components and Predicting Growth and Body Composition Traits in Swine. Genes, 13(5), 767. https://doi.org/10.3390/genes13050767

