Cistanche Species Mitogenomes Suggest Diversity and Complexity in Lamiales-Order Mitogenomes
Abstract
1. Introduction
2. Results
2.1. Characteristics of the Cistanche Mitogenomes
2.2. Comparison of Multi-Copy Protein-Coding Genes (PCGs) in the Three Cistanche Species and Eight Other Lamiales and Six Parasitic Species Mitogenomes
2.3. Identification of MTPTs
2.4. Repeats and Segment Duplication Analysis
2.5. Phylogenetic Analysis by Mitogenome Sequences
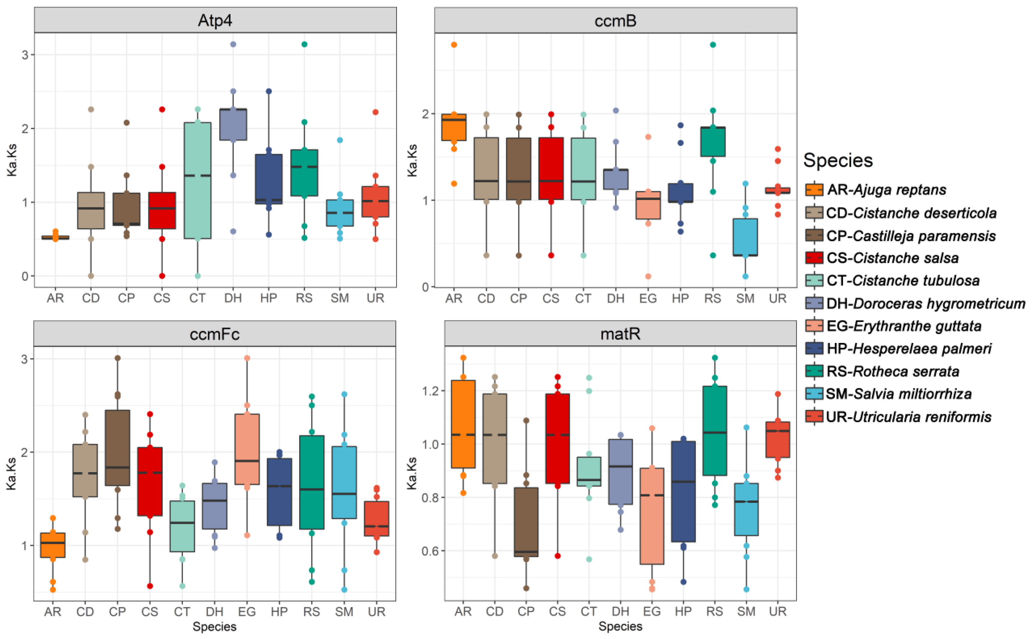
2.6. The Substitution Rate of Mitochondrial PCGs
3. Discussion
3.1. Genome Expansion in C. tubulosa
3.2. The Presence of MTPTs
4. Materials and Methods
4.1. Sampling, DNA Extraction, and Genome Sequencing
4.2. Mitogenome Assembly and Annotation
4.3. Identification of Mitochondrial Plastid DNAs (MTPTs)
4.4. Analysis of Simple Sequence Repeats (SSRs), Tandem Repeats, Interspersed Repeats, and Segment Duplication
4.5. Phylogenetic Analyses and Estimation of Nucleotide-Substitution Rates
5. Conclusions
Supplementary Materials
Author Contributions
Funding
Institutional Review Board Statement
Informed Consent Statement
Data Availability Statement
Conflicts of Interest
References
- Ataei, N.; Schneeweiss, G.M.; Garcia, M.A.; Krug, M.; Lehnert, M.; Valizadeh, J.; Quandt, D. A multilocus phylogeny of the non-photosynthetic parasitic plant Cistanche (Orobanchaceae) refutes current taxonomy and identifies four major morphologically distinct clades. Mol. Phylogenet. Evol. 2020, 151, 106898. [Google Scholar] [CrossRef] [PubMed]
- Choi, K.S.; Park, S. Complete plastid and mitochondrial genomes of Aeginetia indica reveal intracellular gene transfer (IGT), horizontal gene transfer (HGT), and cytoplasmic male sterility (CMS). Int. J. Mol. Sci. 2021, 22, 6143. [Google Scholar] [CrossRef] [PubMed]
- Li, X.; Zhang, T.C.; Qin, Q.; Ren, Z.; Zhao, J.; Takahiro, Y.; Masami, H.; Crabbe, M.; Li, J.; Yang, Z. Complete chloroplast genome sequence of holoparasite Cistanche desertiscola (Orobanchaceae) reveals gene loss and horizontal gene transfer from its host Haloxylon ammodendron (Chenopodiaceae). PLoS ONE 2013, 8, e58747. [Google Scholar] [CrossRef]
- Li, X.; Feng, T.; Randle, C.; Schneeweiss, G.M. Phylogenetic Relationships in Orobanchaceae Inferred From Low-Copy Nuclear Genes: Consolidation of Major Clades and Identification of a Novel Position of the Non-photosynthetic Orobanche Clade Sister to All other Parasitic Orobanchaceae. Front. Plant Sci. 2019, 10, 902. [Google Scholar] [CrossRef] [PubMed]
- Gruzdev, E.V.; Kadnikov, V.V.; Beletsky, A.V.; Mardanov, A.V.; Ravin, N.V. Extensive plastome reduction and loss of photosynthesis genes in Diphelypaea coccinea, a holoparasitic plant of the family Orobanchaceae. PeerJ 2019, 7, e7830. [Google Scholar] [CrossRef]
- Wicke, S.; Müller, K.F.; de Pamphilis, C.W.; Quandt, D.; Wickett, N.J.; Zhang, Y.; Renner, S.S.; Schneeweiss, G.M. Mechanisms of functional and physical genome reduction in photosynthetic and nonphotosynthetic parasitic plants of the broomrape family. Plant Cell 2013, 25, 3711–3725. [Google Scholar] [CrossRef] [PubMed]
- Frailey, D.C.; Chaluvadi, S.R.; Vaughn, J.N.; Coatney, C.G.; Bennetzen, J.L. Gene loss and genome rearrangement in the plastids of five Hemiparasites in the family Orobanchaceae. BMC Plant Biol. 2018, 18, 30. [Google Scholar] [CrossRef] [PubMed]
- Fan, W.; Zhu, A.; Kozaczek, M.; Shah, N.; Pabón-Mora, N.; González, F.; Mower, J.P. Limited mitogenomic degradation in response to a parasitic lifestyle in Orobanchaceae. Sci. Rep. 2016, 6, 36285. [Google Scholar] [CrossRef] [PubMed]
- Skippington, E.; Barkman, T.J.; Rice, D.W.; Palmer, J.D. Miniaturized mitogenome of the parasitic plant Viscum scurruloideum is extremely divergent and dynamic and has lost all nad genes. Proc. Natl. Acad. Sci. USA 2015, 112, E3515–E3524. [Google Scholar] [CrossRef] [PubMed]
- Yuan, Y.; Jin, X.H.; Liu, J.; Zhao, X.; Zhou, J.H.; Wang, X.; Wang, D.Y.; Lai, C.J.S.; Xu, W.; Huang, J.W.; et al. The Gastrodia elata genome provides insights into plant adaptation to heterotrophy. Nat. Commun. 2018, 9, 1615–1626. [Google Scholar] [CrossRef]
- Shtolz, N.; Dan, M. The mitochondrial genome-on selective constraints and signatures at the organism, cell, and single mitochondrion levels. Front. Ecol. Evol. 2019, 7, 342. [Google Scholar] [CrossRef]
- Stechmann, A.; Hamblin, K.; Pérez-Brocal, V.; Gaston, D.; Richmond, G.; Giezen, M.; Clark, C.; Roger, A.J. Organelles in blastocystis that blur the distinction between mitochondria and hydrogenosomes. Curr. Biol. 2008, 18, 580–585. [Google Scholar] [CrossRef] [PubMed]
- Sloan, D.B.; Alverson, A.J.; Chuckalovcak, J.P.; Wu, M.; McCauley, D.E.; Palmer, J.D.; Taylor, D.R. Rapid evolution of enormous, multichromosomal genomes in flowering plant mitochondria with exceptionally high mutation rates. PLoS Biol. 2012, 10, e1001241. [Google Scholar] [CrossRef]
- Alverson, A.J.; Wei, X.X.; Rice, D.W.; Stern, D.B.; Barry, K.; Palmer, J.D. Insights into the evolution of mitochondrial genome size from complete sequences of Citrullus lanatus and Cucurbita pepo (Cucurbitaceae). Mol. Biol. Evol. 2010, 27, 1436–1448. [Google Scholar] [CrossRef]
- Kan, S.L.; Shen, T.T.; Gong, P.; Ran, J.H.; Wang, X.Q. The complete mitochondrial genome of Taxus cuspidata (Taxaceae): Eight protein-coding genes have transferred to the nuclear genome. BMC Evol. Biol. 2020, 20, 10. [Google Scholar] [CrossRef]
- Pinard, D.; Myburg, A.A.; Mizrachi, E. The plastid and mitochondrial genomes of Eucalyptus grandis. BMC Genom. 2019, 20, 132. [Google Scholar] [CrossRef]
- Roulet, M.E.; Garcia, L.E.; Gandini, C.L.; Sato, H.; Sanchez-Puerta, M.V. Multichromosomal structure and foreign tracts in the Ombrophytum subterraneum (Balanophoraceae) mitochondrial genome. Plant Mol. Biol. 2020, 103, 623–638. [Google Scholar] [CrossRef] [PubMed]
- Mower, J.P.; Sloan, D.B.; Alverson, A.J. Plant mitochondrial genome diversity: The genomics revolution. In Plant Genome Diversity; Wendel, J.F., Greilhuber, J., Dolezel, J., Leitch, I.J., Eds.; Springer: Vienna, Austria, 2012; Volume 1, pp. 123–144. [Google Scholar]
- Park, S.; Grewe, F.; Zhu, A.; Ruhlman, T.A.; Sabir, J.; Mower, J.P.; Jansen, R.K. Dynamic evolution of Geranium mitochondrial genomes through multiple horizontal and intracellular gene transfers. New Phytol. 2015, 208, 570–583. [Google Scholar] [CrossRef]
- Liu, F.; Fan, W.S.; Yang, J.B.; Xiang, C.L.; Mower, J.P.; Li, D.Z.; Zhu, A.D. Episodic and guanine-cytosine-biased bursts of intragenomic and interspecific synonymous divergence in Ajugoideae (Lamiaceae) mitogenomes. New Phytol. 2020, 228, 1107–1114. [Google Scholar] [CrossRef] [PubMed]
- Wang, T.; Zhang, X.; Xie, W. Cistanche deserticola Y. C. Ma, “Desert Ginseng”: A Review. Am. J. Chin. Med. 2012, 40, 1123–1141. [Google Scholar] [CrossRef] [PubMed]
- Bougandoura, A.; D'Abrosca, B.; Ameddah, S.; Scognamiglio, M.; Mekkiou, R.; Fiorentino, A.; Benayache, S.; Benayache, F. Chemical constituents and in vitro anti-inflammatory activity of Cistanche violacea Desf. (Orobanchaceae) extract. Fitoterapia 2016, 109, 248–253. [Google Scholar] [CrossRef] [PubMed]
- Tian, S.; Miao, M.; Bai, M.; Wei, Z. Phenylethanoid glycosides of Cistanche on menopausal syndrome model in mice. Saudi Pharm. J. 2017, 25, 537–547. [Google Scholar] [CrossRef]
- Wang, D.; Wang, H.; Li, G. The antidepressant and cognitive improvement activities of the traditional Chinese herb Cistanche. Evid. Based Complement. Altern. Med. 2017, 2017, 3925903. [Google Scholar] [CrossRef]
- Xu, W.Q.; Chen, H.M.; Tian, L.X.; Jiang, M.; Yang, Q.Q.; Wang, L.Q.; Ahmad, B.; Huang, L.F. Extensive gene loss in the plastome of holoparasitic plant Cistanche tubulosa (Orobanchaceae). Mitochondrial DNA B Resour. 2020, 5, 2679–2681. [Google Scholar] [CrossRef]
- Andre, C.; Levy, A.; Walbot, V. Small repeated sequences and the structure of plant mitochondrial genomes. Trends Genet. 1992, 8, 128–132. [Google Scholar] [CrossRef]
- Ward, B.L.; Anderson, R.S.; Bendich, A.J. The mitochondrial genome is large and variable in a family of plants (cucurbitaceae). Cell 1981, 25, 793–803. [Google Scholar] [CrossRef]
- Guo, W.H.; Grewe, F.; Fan, W.S.; Young, G.J.; Knoop, V.; Palmer, J.D.; Mower, J.P. Ginkgo and welwitschia mitogenomes reveal extreme contrasts in gymnosperm mitochondrial evolution. Mol. Biol. Evol. 2016, 33, 1448–1460. [Google Scholar] [CrossRef]
- Moller, I. Plant mitochondrial and oxidative stress: Electron transport, NADPH turnover, and metabolism of reactive oxygen species. Annu. Rev. Plant Physiol. Plant Mol. Biol. 2001, 52, 561–591. [Google Scholar] [CrossRef]
- Wang, Y.; Zhang, L.; Du, Z.; Pei, J.; Huang, L. Chemical Diversity and Prediction of Potential Cultivation Areas of Cistanche Herbs. Sci. Rep. 2019, 9, 19737. [Google Scholar] [CrossRef]
- Song, Y.; Zeng, K.; Jiang, Y.; Tu, P. Cistanches Herba, from an endangered species to a big brand of Chinese medicine. Med. Res. Rev. 2021, 41, 1539–1577. [Google Scholar] [CrossRef] [PubMed]
- Thorogood, C.J.; Leon, C.J.; Lei, D.; Aldughayman, M.; Hawkins, J.A. Desert hyacinths: An obscure solution to a global problem? Plants People Planet 2021, 3, 302–307. [Google Scholar] [CrossRef]
- Wang, X.-C.; Chen, H.; Yang, D.; Liu, C. Diversity of mitochondrial plastid DNAs (MTPTs) in seed plants. Mitochondrial DNA A DNA Mapp. Seq. Anal. 2017, 29, 635–642. [Google Scholar] [CrossRef] [PubMed]
- Cheng, Y.; He, X.; Priyadarshani, S.; Wang, Y.; Qin, Y. Assembly and comparative analysis of the complete mitochondrial genome of Suaeda glauca. BMC Genom. 2020, 22, 167. [Google Scholar] [CrossRef]
- Ye, N.; Wang, X.; Li, J.; Bi, C.; Xu, Y.; Wu, D.; Ye, Q. Assembly and comparative analysis of complete mitochondrial genome sequence of an economic plant Salix suchowensis. PeerJ 2017, 5, e3148. [Google Scholar] [CrossRef]
- Kitazaki, K.; Kubo, T.; Kagami, H.; Matsumoto, T.; Fujita, A.; Matsuhira, H.; Matsunaga, M.; Mikami, T. A horizontally transferred tRNACys gene in the sugar beet mitochondrial genome: Evidence that the gene is present in diverse angiosperms and its transcript is aminoacylated. Plant J. 2011, 68, 267–272. [Google Scholar] [CrossRef]
- Emerman, A.B.; Bowman, S.K.; Barry, A.; Henig, N.; Patel, K.M.; Gardner, A.F.; Hendrickson, C.L. NEBNext Direct: A novel, rapid, hybridization-based approach for the capture and library conversion of genomic regions of interest. Curr. Protoc. Mol. Biol. 2017, 119, 7–30. [Google Scholar] [CrossRef] [PubMed]
- Bolger, A.M.; Marc, L.; Bjoern, U. Trimmomatic: A flexible trimmer for Illumina sequence data. Bioinformatics 2014, 30, 2114–2120. [Google Scholar] [CrossRef]
- Edgar, R.C. Search and clustering orders of magnitude faster than BLAST. Bioinformatics 2010, 26, 2460–2461. [Google Scholar] [CrossRef]
- Li, H. Minimap2: Pairwise alignment for nucleotide sequences. Bioinformatics 2018, 34, 3094–3100. [Google Scholar] [CrossRef] [PubMed]
- Li, H.; Handsaker, B.; Wysoker, A.; Fennell, T.; Ruan, J.; Homer, N.; Marth, G.; Abecasis, G.; Durbin, R.; Genome Project Data, P. The Sequence Alignment/Map format and SAMtools. Bioinformatics 2009, 25, 2078–2079. [Google Scholar] [CrossRef] [PubMed]
- Bankevich, A.; Nurk, S.; Antipov, D.; Gurevich, A.A.; Dvorkin, M.; Kulikov, A.S.; Lesin, V.M.; Nikolenko, S.I.; Pham, S.; Prjibelski, A.D.; et al. SPAdes: A new genome assembly algorithm and its applications to single-cell sequencing. J. Comput. Biol. 2012, 19, 455–477. [Google Scholar] [CrossRef] [PubMed]
- Hu, J.; Fan, J.; Sun, Z.; Liu, S. NextPolish: A fast and efficient genome polishing tool for long-read assembly. Bioinformatics 2020, 36, 2253–2255. [Google Scholar] [CrossRef] [PubMed]
- Chen, Y.; Ye, W.; Zhang, Y.; Xu, Y. High speed BLASTN: An accelerated MegaBLAST search tool. Nucleic Acids Res. 2015, 43, 7762–7768. [Google Scholar] [CrossRef] [PubMed]
- Li, J.; Xu, Y.; Shan, Y.; Pei, X.; Yong, S.; Liu, C.; Yu, J. Assembly of the complete mitochondrial genome of an endemic plant, Scutellaria tsinyunensis, revealed the existence of two conformations generated by a repeat-mediated recombination. Planta 2021, 254, 36. [Google Scholar] [CrossRef]
- Chen, C.; Chen, H.; Zhang, Y.; Thomas, H.R.; Frank, M.H.; He, Y.; Xia, R. TBtools: An integrative toolkit developed for interactive analyses of big biological data. Mol. Plant 2020, 13, 1194–1202. [Google Scholar] [CrossRef]
- Benson, G. Tandem repeats finder: A program to analyze DNA sequences. Nucleic Acids Res 1999, 27, 573–580. [Google Scholar] [CrossRef]
- Kurtz, S.; Choudhuri, J.V.; Ohlebusch, E.; Schleiermacher, C.; Stoye, J.; Giegerich, R. REPuter: The manifold applications of repeat analysis on a genomic scale. Nucleic Acids Res. 2001, 29, 4633–4642. [Google Scholar] [CrossRef]
- Zhang, D.; Gao, F.; Jakovlic, I.; Zou, H.; Zhang, J.; Li, W.X.; Wang, G.T. PhyloSuite: An integrated and scalable desktop platform for streamlined molecular sequence data management and evolutionary phylogenetics studies. Mol. Ecol. Resour. 2020, 20, 348–355. [Google Scholar] [CrossRef]
- John, R.; Li, S.; Mar, A.K.; Standley, D.M.; Kazutaka, K. MAFFT-DASH: Integrated protein sequence and structural alignment. Nucleic Acids Res. 2019, 47, W5–W10. [Google Scholar] [CrossRef]
- Yang, Z. PAML 4: Phylogenetic analysis by maximum likelihood. Mol. Biol. Evol. 2007, 24, 1586–1591. [Google Scholar] [CrossRef]





| C. tubulosa | C. salsa | C. deserticola | |
|---|---|---|---|
| Size (bp) | 3,978,341 | 1,708,661 | 1,860,774 |
| Chromosomes | 12 L | 6 L | 4 L |
| GC% | 44.57 | 44.52 | 44.59 |
| Genes | 126 | 75 | 82 |
| Protein coding | 65 | 41 | 37 |
| tRNA | 58 | 31 | 39 |
| rRNA | 4 | 3 | 5 |
| Se-dup-Number | 168 | 14 | 39 |
| Se-dup-Size (bp) | 2,142,551 | 199,584 | 463,566 |
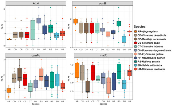
| Functional Classification | Gene | C. tubulosa | C. salsa | C. deserticola |
|---|---|---|---|---|
| Complex V | atp1 | ● | Ө | ● |
| atp4 | ● | ● | ● | |
| atp6 | ● | ● | ● | |
| atp8 | ● | ● | ● | |
| atp9 | ● | ● | ● | |
| Cytochromec biogenesis | ccmB | ● | ● | ● |
| ccmC | ● | ● | ● | |
| ccmFc | Ө | Ө | Ө | |
| ccmFn | ● | ● | ● | |
| Complex III | cob | ● | Ө | ● |
| Complex IV | cox1 | Ө | ● | Ө |
| cox2 | ● | ● | ● | |
| cox3 | ● | ● | ● | |
| Intron maturase | matR | ● | ● | ● |
| SecY independent transport | mttB | ● | ● | ● |
| Complex I | nad1 | ○ | ○ | ○ |
| nad2 | ○ | ○ | ○ | |
| nad3 | ● | ● | ● | |
| nad4 | Ө | ○ | Ө | |
| nad4L | ● | ● | ● | |
| nad5 | Ө | ○ | ○ | |
| nad6 | ● | ● | ● | |
| nad7 | Ө | Ө | Ө | |
| nad9 | × | ● | ● | |
| Ribusomal protein large subunit | rpl2 | × | Ө | × |
| rpl5 | ● | ● | ● | |
| rpl10 | Ө | ● | ● | |
| rpl16 | Ψ | Ψ | × | |
| Ribosomal protein small subunit | rps3 | Ө | Ө | × |
| rps4 | ● | ● | × | |
| rps10 | × | Ө | × | |
| rps12 | Ө | ● | ● | |
| rps13 | ● | ● | ● | |
| rps14 | Ψ | Ψ | Ψ | |
| Complex II | sdh3 | × | × | × |
| sdh4 | ● | ● | ● |
Publisher’s Note: MDPI stays neutral with regard to jurisdictional claims in published maps and institutional affiliations. |
© 2022 by the authors. Licensee MDPI, Basel, Switzerland. This article is an open access article distributed under the terms and conditions of the Creative Commons Attribution (CC BY) license (https://creativecommons.org/licenses/by/4.0/).
Share and Cite
Miao, Y.; Chen, H.; Xu, W.; Liu, C.; Huang, L. Cistanche Species Mitogenomes Suggest Diversity and Complexity in Lamiales-Order Mitogenomes. Genes 2022, 13, 1791. https://doi.org/10.3390/genes13101791
Miao Y, Chen H, Xu W, Liu C, Huang L. Cistanche Species Mitogenomes Suggest Diversity and Complexity in Lamiales-Order Mitogenomes. Genes. 2022; 13(10):1791. https://doi.org/10.3390/genes13101791
Chicago/Turabian StyleMiao, Yujing, Haimei Chen, Wanqi Xu, Chang Liu, and Linfang Huang. 2022. "Cistanche Species Mitogenomes Suggest Diversity and Complexity in Lamiales-Order Mitogenomes" Genes 13, no. 10: 1791. https://doi.org/10.3390/genes13101791
APA StyleMiao, Y., Chen, H., Xu, W., Liu, C., & Huang, L. (2022). Cistanche Species Mitogenomes Suggest Diversity and Complexity in Lamiales-Order Mitogenomes. Genes, 13(10), 1791. https://doi.org/10.3390/genes13101791
