The Potential Role of RANTES in Post-Stroke Therapy
Abstract
:1. Introduction
2. Materials and Methods
2.1. Study Group
2.2. Biochemical Testing
2.3. Statistical Methods
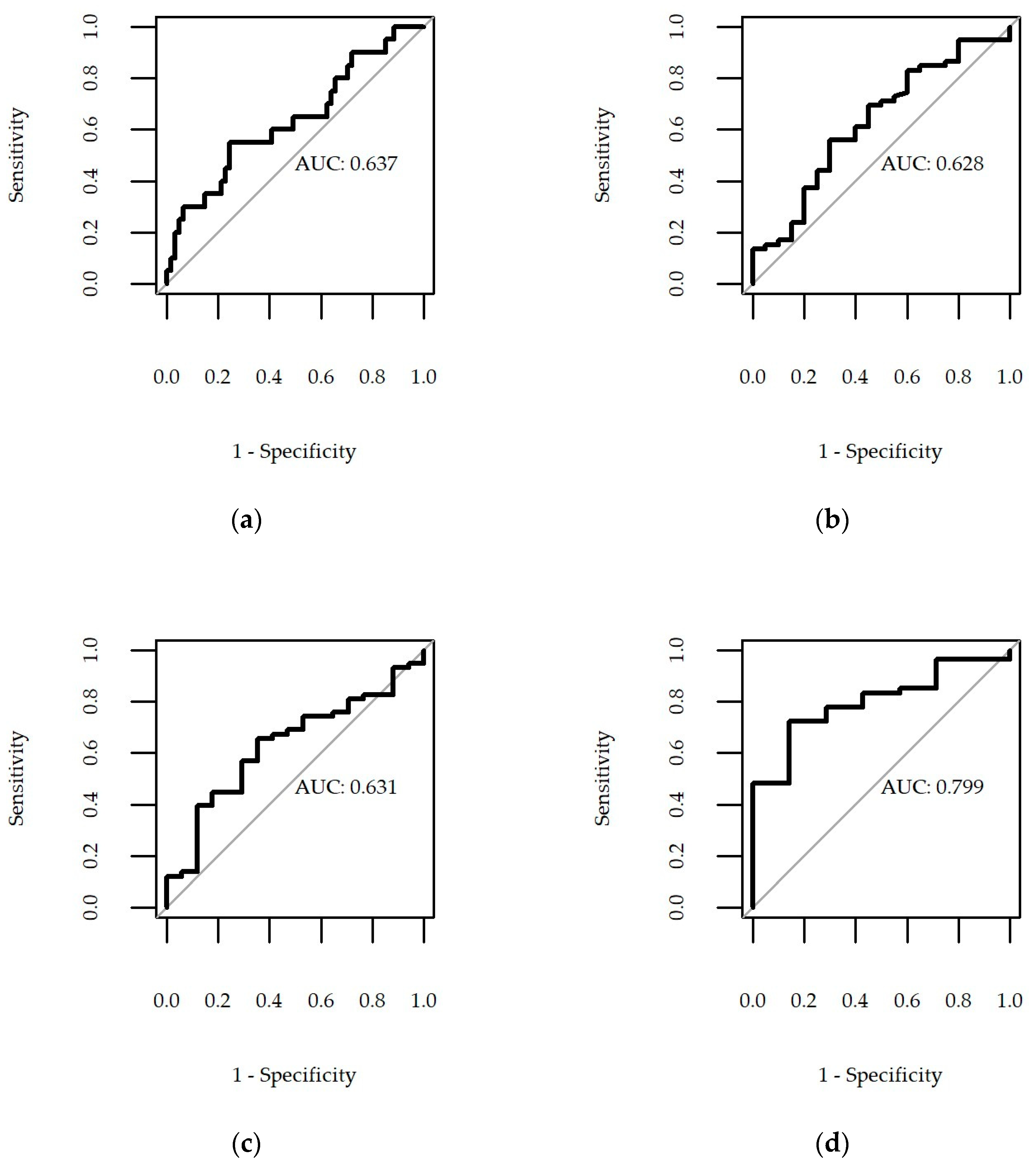
3. Results
4. Discussion
5. Conclusions
Author Contributions
Funding
Institutional Review Board Statement
Informed Consent Statement
Data Availability Statement
Conflicts of Interest
References
- Lackland, D.T.; Roccella, E.J.; Deutsch, A.F.; Fornage, M.; George, M.G.; Howard, G.; Kissela, B.M.; Kittner, S.J.; Lichtman, J.H.; Lisabeth, L.D.; et al. Factors influencing the decline in stroke mortality: A statement from the American Heart Association/American Stroke Association. Stroke 2014, 45, 315–353. [Google Scholar] [CrossRef] [PubMed]
- Benjamin, E.J.; Virani, S.S.; Callaway, C.W.; Chamberlain, A.M.; Chang, A.R.; Cheng, S.; Chiuve, S.E.; Cushman, M.; Delling, F.N.; Deo, R.; et al. Heart Disease and Stroke Statistics-2018 Update: A Report From the American Heart Association. Circulation 2018, 137, 467–492. [Google Scholar] [CrossRef] [PubMed]
- Wein, T.; Lindsay, M.P.; Cote, R.; Foley, N.; Berlingieri, J.; Bhogal, S.; Bourgoin, A.; Buck, B.H.; Cox, J.; Davidson, D.; et al. Canadian stroke best practice recommendations: Secondary prevention of stroke, sixth edition practice guidelines. Int. J. Stroke 2018, 13, 420–443. [Google Scholar] [CrossRef]
- Scimone, C.; Bramanti, P.; Ruggeri, A.; Donato, L.; Alafaci, C.; Crisafulli, C.; Mucciardi, M.; Rinaldi, C.; Sidoti, A.; D’Angelo, R. CCM3/SERPINI1 bidirectional promoter variants in patients with cerebral cavernous malformations: A molecular and functional study. BMC Med. Genet. 2016, 17, 74. [Google Scholar] [CrossRef]
- Scimone, C.; Donato, L.; Marino, S.; Alafaci, C.; D’Angelo, R.; Sidoti, A. Vis-à-vis: A focus on genetic features of cerebral cavernous malformations and brain arteriovenous malformations pathogenesis. Neurol. Sci. 2019, 40, 243–251. [Google Scholar] [CrossRef] [PubMed]
- Karin, M.; Clevers, H. Reparative inflammation takes charge of tissue regeneration. Nature 2016, 529, 307–315. [Google Scholar] [CrossRef] [PubMed]
- Gelderblom, M.; Leypoldt, F.; Steinbach, K.; Behrens, D.; Choe, C.U.; Siler, D.A.; Arumugam, T.V.; Orthey, E.; Gerloff, C.; Tolosa, E.; et al. Temporal and spatial dynamics of cerebral immune cell accumulation in stroke. Stroke 2009, 40, 1849–1857. [Google Scholar] [CrossRef] [PubMed]
- Fumagalli, S.; Coles, J.A.; Ejlerskov, P.; Ortolano, F.; Bushell, T.J.; Brewer, J.M.; De Simoni, M.G.; Dever, G.; Garside, P.; Maffia, P.; et al. In vivo real-time multiphoton imaging of T lymphocytes in the mouse brain after experimental stroke. Stroke 2011, 42, 1429–1436. [Google Scholar] [CrossRef]
- García-Berrocoso, T.; Giralt, D.; Llombart, V.; Bustamante, A.; Penalba, A.; Flores, A.; Ribó, M.; Molina, C.A.; Rosell, A.; Montaner, J. Chemokines after human ischemic stroke: From neurovascular unit to blood using protein arrays. Transl. Proteom. 2014, 3, 1–9. [Google Scholar] [CrossRef]
- Pawluk, H.; Woźniak, A.; Grześk, G.; Kołodziejska, R.; Kozakiewicz, M.; Kopkowska, E.; Grzechowiak, E.; Kozera, G. The role of selected pro-inflammatory cytokines in pathogenesis of ischemic stroke. Clin. Interv. Aging 2020, 15, 469–484. [Google Scholar] [CrossRef]
- Hurn, P.D.; Subramanian, S.; Parker, S.M.; Afentoulis, M.E.; Kaler, L.J.; Vandenbark, A.A.; Offner, H. T- and B-cell-deficient mice with experimental stroke have reduced lesion size and inflammation. J. Cereb. Blood. Flow. Metab. 2007, 27, 1798–1805. [Google Scholar] [CrossRef]
- Joy, M.T.; Assayag, E.B.; Shabashov-Stone, D.; Liraz-Zaltsman, S.; Mazzitelli, J.; Arenas, M.; Abduljawad, N.; Kliper, E.; Korczyn, A.D.; Thareja, N.S.; et al. CCR5 is a therapeutic target for recovery after stroke and traumatic brain injury. Cell 2019, 176, 1143–1157. [Google Scholar] [CrossRef] [PubMed]
- Grafman, J.; Salazar, A.M. The ebb and flow of traumatic brain injury research. In Handbook of Clinical Neurology. Traumatic Brain Injury; Part III, 3rd series; Grafman, J., Salazar, A.M., Eds.; Elsevier: Amsterdam, The Netherlands, 2015; Volume 128, pp. 795–802. [Google Scholar] [CrossRef]
- Zhang, Z.; Wang, Q.; Yao, J.; Zhou, X.; Zhao, J.; Zhang, X.; Dong, J.; Liao, L. Chemokine Receptor 5, a Double-Edged Sword in Metabolic Syndrome and Cardiovascular Disease. Front. Pharmacol. 2020, 11, 146. [Google Scholar] [CrossRef] [PubMed]
- Rostene, W.; Dansereau, M.A.; Godefroy, D.; Van Steenwinckel, J.; Reaux-Le Goazigo, A.; Melik-Parsadaniantz, S.; Apartis, E.; Hunot, S.; Beaudet, N.; Sarret, P. Neurochemokines: A menage a trois providing new insights on the functions of chemokines in the central nervous system. J. Neurochem. 2011, 118, 680–694. [Google Scholar] [CrossRef] [PubMed]
- Julián-Villaverde, F.J.; Serrano-Ponz, M.; Ramalle-Gómara, E.; Martínez, A.; Ochoa-Callejero, L. CCL5 levels predict stroke volume growth in acute ischemic stroke and significantly diminish in hemorrhagic stroke patients. Int. J. Mol. Sci. 2022, 23, 9967. [Google Scholar] [CrossRef] [PubMed]
- Liesz, A.; Suri-Payer, E.; Veltkamp, C.; Doerr, H.; Sommer, C.; Rivest, S.; Giese, T.; Veltkamp, R. Regulatory T cells are key cerebroprotective immunomodulators in acute experimental stroke. Nat. Med. 2009, 15, 192–199. [Google Scholar] [CrossRef] [PubMed]
- Qin, X.; He, Z.; Zhao, D.; Li, L.; Yuan, L. The RANTES gene promoter polymorphisms are associated with the risk of atherothrombotic cerebral infarction in Northern Han Chinese. Clin. Chim. Acta 2011, 412, 1112–1115. [Google Scholar] [CrossRef]
- Bartholomaus, I.; Kawakami, N.; Odoardi, F.; Schlager, C.; Miljkovic, D.; Ellwart, J.W.; Klinkert, W.E.; Flugel-Koch, C.; Issekutz, T.B.; Wekerle, H.; et al. Effector T cell interactions with meningeal vascular structures in nascent autoimmune CNS lesions. Nature 2009, 462, 94–98. [Google Scholar] [CrossRef]
- Shichita, T.; Sugiyama, Y.; Ooboshi, H.; Sugimori, H.; Nakagawa, R.; Takada, I.; Iwaki, T.; Okada, Y.; Iida, M.; Cua, D.J.; et al. Pivotal role of cerebral interleukin-17-producing gammadeltaT cells in the delayed phase of ischemic brain injury. Nat. Med. 2009, 15, 946–950. [Google Scholar] [CrossRef] [PubMed]
- Source, S.; Bonnefont, J.; Julien, S.; Marq-Lin, N.; Rodriguez, I.; Dubois-Dauphin, M.; Krause, K.H. Increased brain damage after ischaemic stroke in mice lacking the chemokine receptor CCR5. Br. J. Pharmacol. 2010, 160, 311–321. [Google Scholar] [CrossRef]
- Tokami, H.; Ago, T.; Sugimori, H.; Kuroda, J.; Awano, H.; Suzuki, K.; Kiyohara, Y.; Kamouchi, M.; Kitazono, T. RANTES has a potential to play a neuroprotective role in an autocrine/paracrine manner after ischemic stroke. Brain Res. 2013, 1517, 122–132. [Google Scholar] [CrossRef] [PubMed]
- Chamorro, A.; Dirnagl, U.; Urra, X.; Planas, A.M. Neuroprotection in acute stroke: Targeting excitotoxicity, oxidative and nitrosative stress, and inflammation. Lancet Neurol. 2016, 15, 869–881. [Google Scholar] [CrossRef] [PubMed]
- Suffee, N.; Le Visage, C.; Hlawaty, H.; Aid-Launais, R.; Vanneaux, V.; Larghero, J.; Haddad, O.; Oudar, O.; Charnaux, N.; Sutton, A. Pro-angiogenic effect of RANTES-loaded polysaccharide-based microparticles for a mouse ischemia therapy. Sci. Rep. 2017, 7, 13294. [Google Scholar] [CrossRef]
- Bjerregaard, T.; Krogh, N.M.; Molbech, C.R.; Subhi, Y.; Sorensen, T.L. Treatment failure in neovascular age-related macular degeneration is associated with a complex chemokine receptor profile. BMJ Open Ophthalmol. 2019, 4, e000307. [Google Scholar] [CrossRef] [PubMed]
- Zhang, Z.; Dong, J.; Lobe, C.G.; Gong, P.; Liu, J.; Liao, L. CCR5 facilitates endothelial progenitor cell recruitment and promotes the stabilization of atherosclerotic plaques in ApoE-/- mice. Stem Cell Res. Ther. 2015, 6, 36. [Google Scholar] [CrossRef]
- Yan, D.; Zhang, D.; Lu, L.; Qiu, H.; Wang, J. Vascular endothelial growth factor-modified macrophages accelerate reendothelialization and attenuate neointima formation after arterial injury in atherosclerosis-prone mice. J. Cell. Biochem. 2019, 120, 10652–10661. [Google Scholar] [CrossRef] [PubMed]
- Montecucco, F.; Lenglet, S.; Gayet-Ageron, A.; Bertolotto, M.; Pelli, G.; Palombo, D.; Pane, B.; Spinella, G.; Steffens, S.; Raffaghello, L.; et al. Systemic and intraplaque mediators of inflammation are increased in patients symptomatic for ischemic stroke. Stroke 2010, 41, 1394–1404. [Google Scholar] [CrossRef]
- Kong, Q.; Ma, X.; Lyu, J.X.; Wang, C.; Du, X.Y.; Guan, Y.Q. Plasma RANTES level is correlated with cardio-cerebral atherosclerosis burden in patients with ischemic cerebrovascular disease. Chronic Dis. Transl. Med. 2020, 6, 46–54. [Google Scholar] [CrossRef]
- Zaremba, J.; Ilkowski, J.; Losy, J. Serial measurements of levels of the chemokines CCL2, CCL3 and CCL5 in serum of patients with acute ischaemic stroke. Folia Neuropathol. 2006, 44, 282–289. [Google Scholar]
- Pawluk, H.; Grześk, G.; Kołodziejska, R.; Kozakiewicz, M.; Woźniak, A.; Grzechowiak, E.; Szumny, M.; Sobolewski, P.; Bieniaszewski, L.; Kozera, G. Effect of IL-6 and hsCRP serum levels on functional prognosis in stroke patients undergoing iv-thrombolysis. Clin. Interv. Aging 2020, 15, 1295–1303. [Google Scholar] [CrossRef] [PubMed]
- Pawluk, H.; Kołodziejska, R.; Grześk, G.; Kozakiewicz, M.; Woźniak, A.; Pawluk, M.; Kosinska, A.; Grześk, M.; Wojtasik, J.; Kozera, G. Selected mediators of inflammation in patients with acute ischemic stroke. Int. J. Mol. Sci. 2022, 23, 10614. [Google Scholar] [CrossRef] [PubMed]
- Badacz, R.; Podolec, J.; Przewlocki, T.; Siedlinski, M.; Jozefczuk, E.; Oleksy, H.; Baran, J.; Pieniazek, P.; Zmudka, K.; KablakZiembicka, A. The role of chemokine CCL5/RANTES and metalloproteinase-9 as inflammatory modulators in symptomatic internal carotid artery stenosis. J. Physiol. Pharmacol. 2019, 70, 929. [Google Scholar] [CrossRef]
- Jorgensen, H.S.; Sperling, B.; Nakayama, H.; Raaschou, H.O.; Olsen, T.S. Spontaneous reperfusion of cerebral infarcts in patients with acute stroke. Incidence, time course, and clinical outcome in the Copenhagen Stroke Study. Arch. Neurol. 1994, 51, 865–873. [Google Scholar] [CrossRef]
- Baird, A.E.; Donnan, G.A.; Austin, M.C.; Fitt, G.J.; Davis, S.M.; McKay, W.J. Reperfusion after thrombolytic therapy in ischemic stroke measured by single-photon emission computed tomography. Stroke 1994, 25, 79–85. [Google Scholar] [CrossRef]
- Emsley, H.C.; Tyrrell, P.J. Inflammation and infection in clinical stroke. J. Cereb. Blood Flow Metab. 2002, 22, 1399–1419. [Google Scholar] [CrossRef]
- Ritter, L.S.; Orozco, J.A.; Coull, B.M.; McDonagh, P.F.; Rosenblum, W.I. Leukocyte accumulation and hemodynamic changes in the cerebral microcirculation during early reperfusion after stroke. Stroke 2000, 31, 1153–1161. [Google Scholar] [CrossRef]
- Virani, S.S.; Nambi, V.; Hoogeveen, R. Relationship between circulating levels of RANTES (regulated on activation, normal T-cell expressed, and secreted) and carotid plaque characteristics: The Atherosclerosis Risk in Communities (ARIC) Carotid MRI study. Eur. Heart J. 2011, 32, 459–468. [Google Scholar] [CrossRef] [PubMed]
- Pawluk, H.; Kołodziejska, R.; Grześk, G.; Woźniak, A.; Kozakiewicz, M.; Kosińska, A.; Pawluk, M.; Grzechowiak, E.; Wojtasik, J.; Kozera, G. Increased oxidative stress markers in acute ischemic stroke patients treated with thrombolytics. Int. J. Mol. Sci. 2022, 23, 15625. [Google Scholar] [CrossRef]
- Terao, S.; Yilmaz, G.; Stokes, K.Y.; Russell, J.; Ishikawa, M.; Kawase, T.; Granger, D.N. Blood cell-derived RANTES mediates cerebral microvascular dysfunction, inflammation, and tissue injury after focal ischemia-reperfusion. Stroke 2008, 39, 2560–2570. [Google Scholar] [CrossRef] [PubMed]
- Fan, Y.; Xiong, X.; Zhang, Y.; Yan, D.; Jian, Z.; Xu, B.; Zhao, H. MKEY, a peptide inhibitor of CXCL4-CCL5 heterodimer formation, protects against stroke in mice. J. Am. Heart Assoc. 2016, 5, e003615. [Google Scholar] [CrossRef] [PubMed]
- Victoria, E.C.G.; de Brito Toscano, E.C.; de Sousa Cardoso, A.C.; da Silva, D.G.; de Miranda, A.S.; da Silva Barcelos, L.; Sugimoto, M.A.; Sousa, L.P.; de Assis Lima, I.V.; de Oliveira, A.C.P.; et al. Knockdown of C-C chemokine receptor 5 (CCR5) is protective against cerebral ischemia and reperfusion injury. Curr. Neurovasc. Res. 2017, 14, 125–131. [Google Scholar] [CrossRef] [PubMed]
- Ping, S.; Qiu, X.; Kyle, M.; Zhao, L.R. Brain-derived CCR5 contributes to neuroprotection and brain repair after experimental stroke. Aging Dis. 2021, 12, 72–92. [Google Scholar] [CrossRef] [PubMed]
- Jasinska, A.J.; Pandrea, I.; Apetrei, C. CCR5 as a coreceptor for Human Immunodeficiency Virus and Simian Immunodeficiency Viruses: A prototypic love-hate affair. Front. Immunol. 2022, 13, 835994. [Google Scholar] [CrossRef] [PubMed]
- Pan, X.; Kaminga, A.C.; Wen, S.W.; Liu, A. Chemokines in prediabetes and type 2 diabetes: A meta-analysis. Front. Immunol. 2021, 12, 622438. [Google Scholar] [CrossRef] [PubMed]
- Mikolajczyk, T.P.; Szczepaniak, P.; Vidler, F.; Maffia, P.; Graham, G.J.; Guzik, T.J. Role of inflammatory chemokines in hypertension. Pharmacol. Ther. 2021, 223, 107799. [Google Scholar] [CrossRef] [PubMed]





| Clinical Parameters | Favourable (N = 26) (mRS 0–2 pts) | Unfavourable (N = 99) (mRS 3–6 pts) | p-Value | |
|---|---|---|---|---|
| Age | Median; IQR | 59.0; 18.0 | 68.0; 16.5 | 0.003 |
| Gender (male) | n (%) | 18 (69.2) | 56 (56.6) | 0.345 |
| Current smoking | n (%) | 10 (38.5) | 29 (29.3) | 0.509 |
| BMI | Median; IQR | 26.3; 6.8 | 27.4; 7.4 | 0.650 |
| SBP on admission | Median; IQR | 148.0; 23.8 | 160.0; 25.5 | 0.003 |
| DBP on admission | Median; IQR | 80.0; 15.0 | 89.0; 18.0 | 0.068 |
| Impaired renal function | n (%) | 0 (0.0) | 3 (3.0) | 1 |
| Gout | n (%) | 1 (3.8) | 5 (5.1) | 1 |
| Diabetes Mellitus | n (%) | 9 (34.6) | 43 (43.4) | 0.556 |
| Arterial hypertension | n (%) | 18 (69.2) | 85 (85.9) | 0.078 |
| Coronary heart disease | n (%) | 1 (3.8) | 26 (26.3) | 0.028 |
| Atrial fibrillation | n (%) | 0 (0.0) | 15 (15.2) | 0.039 |
| Statin therapy before stroke | n (%) | 6 (24.0) | 29 (29.6) | 0.761 |
| Statin therapy after stroke | n (%) | 26 (100.0) | 90 (93.8) | 0.340 |
| Anticoagulant therapy before the stroke | n (%) | 0 (0.0) | 3 (3.0) | 1 |
| Infection | n (%) | 0 (0.0) | 22 (22.2) | 0.007 |
| Antibiotic | n (%) | 0 (0.0) | 22 (22.2) | 0.007 |
| NIHSS on admission | Median; IQR | 3.0; 1.8 | 5.0; 6.0 | <0.001 |
| NIHSS on discharge | Median; IQR | 0.0; 1.0 | 2.0; 4.0 | <0.001 |
| mRS on admission | Median; IQR | 2.0; 0.0 | 4.0; 2.0 | <0.001 |
| mRS on discharge | Median; IQR | 0.0; 0.0 | 1.0; 2.0 | <0.001 |
| mRS after three months | Median; IQR | 0.0; 0.0 | 1.0; 3.0 | <0.001 |
| mRS after a year | Median; IQR | 0.0; 0.2 | 1.0; 2.0 | 0.003 |
| Biomarker | Favourable (mRS 0–2 pts) | Unfavourable (mRS 3–6 pts) | p-Value | |
|---|---|---|---|---|
| (N = 26) | (N = 99) | |||
| CCL5 (0) Median; IQR [ng/mL] | on admission | 66.2; 38.0 | 79.0; 27.5 | 0.067 |
| CCL5 (1) Median; IQR [ng/mL] | 54.2; 17.8 | 91.0; 38.2 | 0.118 | |
| CCL5 (2) Median; IQR [ng/mL] | 47.8; 15.4 | 65.2; 24.1 | 0.111 | |
| (N = 91) | (N = 30) | |||
| CCL5 (0) Median; IQR [ng/mL] | on discharge | 75.9; 28.4 | 88.2; 27.5 | 0.088 |
| CCL5 (1) Median; IQR [ng/mL] | 68.0; 49.5 | 85.0; 61.0 | 0.571 | |
| CCL5 (2) Median; IQR [ng/mL] | 57.8; 14.2 | 58.5; 30.0 | 0.782 | |
| (N = 85) | (N = 28) | |||
| CCL5 (0) Median; IQR [ng/mL] | after three months | 73.5; 29.5 | 87.8; 24.3 | 0.103 |
| CCL5 (1) Median; IQR [ng/mL] | 60.3; 23.8 | 69.7; 49.4 | 0.776 | |
| CCL5 (2) Median; IQR [ng/mL] | 55.5; 7.5 | 63.2; 30.0 | 0.699 | |
| (N = 79) | (N = 17) | |||
| CCL5 (0) Median; IQR [ng/mL] | after a year | 72.4; 29.3 | 94.2; 9.9 | 0.011 |
| CCL5 (1) Median; IQR [ng/mL] | 66.9; 49.5 | 68.0; 54.0 | 0.881 | |
| CCL5 (2) Median; IQR [ng/mL] | 58.5; 28.2 | 65.4; 0.0 | 0.741 | |
| Biomarker | Favourable (NIHSS ≤ 3 pts) | Unfavourable (NIHSS > 3pts) | p-Value | |
|---|---|---|---|---|
| (N = 35) | (N = 90) | |||
| CCL5 (0) Median; IQR [ng/mL] | on admission | 73.7; 38.4 | 75.9; 26.0 | 0.509 |
| CCL5 (1) Median; IQR [ng/mL] | 67.0; 45.7 | 68.0; 52.0 | 0.876 | |
| CCL5 (2) Median; IQR [ng/mL] | 47.3; 17.7 | 65.4; 21.5 | 0.032 | |
| (N = 95) | (N = 30) | |||
| CCL5 (0) Median; IQR [ng/mL] | on discharge | 73.8; 29.7 | 87.0; 26.6 | 0.064 |
| CCL5 (1) Median; IQR [ng/mL] | 66.9; 46.8 | 85.0; 58.5 | 0.342 | |
| CCL5 (2) Median; IQR [ng/mL] | 57.8; 13.5 | 58.5; 29.1 | 1.000 | |
| Biomarker | Patients Group (N = 125) | Control Group (N = 28) | p-Value |
|---|---|---|---|
| CCL5 (0) Median; IQR [ng/mL] | 75.9; 28.4 | 45.9; 7.5 | <0.001 |
| CCL5 (1) Median; IQR [ng/mL] | 68.0; 49.5 | 45.9; 7.5 | <0.001 |
| CCL5 (2) Median; IQR [ng/mL] | 57.8; 23.7 | 45.9; 7.5 | 0.005 |
| Biomarker | LACI | POCI | PACI |
|---|---|---|---|
| CCL5 (0) Median; IQR | 69.6; 24.6 (N = 41) * | 90.67; 19.6 (N = 16) * | 73.0; 39.4 (N = 20) |
| CCL5 (1) Median; IQR | 66.9; 29.5 (N = 17) | 108.63; 87.2 (N = 6) | 68.0; 58.0 (N = 11) |
| CCL5 (2) Median; IQR | 52.9; 15.8 (N = 13) | 75.98; 14.1 (N= 5) | 62.85; 22.7 (N = 8) |
| Biomarker | Favourable (mRS 0–2 pts) | Unfavourable (mRS 3–6 pts) | p-Value |
|---|---|---|---|
| Diabetes | |||
| (N = 52) | (N = 73) | ||
| CCL5 (0) Median; IQR [ng/mL] | 73.3; 30.0 | 79.0; 28.4 | 0.996 |
| CCL5 (1) Median; IQR [ng/mL] | 56.9; 16.9 | 83.3; 44.4 | 0.059 |
| CCL5 (2) Median; IQR [ng/mL] | 63.4; 23.1 | 53.1; 18.0 | 0.763 |
| Smoking | |||
| (N = 39) | (N = 86) | ||
| CCL5 (0) Median; IQR [ng/mL] | 88.3; 27.5 | 73.8; 29.6 | 0.049 |
| CCL5 (1) Median; IQR [ng/mL] | 83.3; 51.6 | 66.3; 47.0 | 0.594 |
| CCL5 (2) Median; IQR [ng/mL] | 73.4; 10.6 | 53.0; 19.6 | 0.046 |
| Coronary artery disease | |||
| (N = 27) | (N = 98) | ||
| CCL5 (0) Median; IQR [ng/mL] | 81.7; 25.8 | 73.8; 28.8 | 0.142 |
| CCL5 (1) Median; IQR [ng/mL] | 118.5; 69.2 | 65.8; 46.8 | 0.036 |
| CCL5 (2) Median; IQR [ng/mL] | 61.4; 35.5 | 56.7; 20.5 | 0.184 |
| Atrial fibrillation | |||
| (N = 15) | (N = 110) | ||
| CCL5 (0) Median; IQR [ng/mL] | 75.9; 13.4 | 73.9; 29.8 | 0.524 |
| CCL5 (1) Median; IQR [ng/mL] | 120.2; 54.1 | 67.5; 48.1 | 0.479 |
| CCL5 (2) Median; IQR [ng/mL] | 58.7; 14.7 | 57.8; 28.3 | 1.000 |
Disclaimer/Publisher’s Note: The statements, opinions and data contained in all publications are solely those of the individual author(s) and contributor(s) and not of MDPI and/or the editor(s). MDPI and/or the editor(s) disclaim responsibility for any injury to people or property resulting from any ideas, methods, instructions or products referred to in the content. |
© 2023 by the authors. Licensee MDPI, Basel, Switzerland. This article is an open access article distributed under the terms and conditions of the Creative Commons Attribution (CC BY) license (https://creativecommons.org/licenses/by/4.0/).
Share and Cite
Pawluk, H.; Kołodziejska, R.; Grześk, G.; Woźniak, A.; Kozakiewicz, M.; Kosinska, A.; Pawluk, M.; Grześk-Kaczyńska, M.; Grzechowiak, E.; Wojtasik, J.; et al. The Potential Role of RANTES in Post-Stroke Therapy. Cells 2023, 12, 2217. https://doi.org/10.3390/cells12182217
Pawluk H, Kołodziejska R, Grześk G, Woźniak A, Kozakiewicz M, Kosinska A, Pawluk M, Grześk-Kaczyńska M, Grzechowiak E, Wojtasik J, et al. The Potential Role of RANTES in Post-Stroke Therapy. Cells. 2023; 12(18):2217. https://doi.org/10.3390/cells12182217
Chicago/Turabian StylePawluk, Hanna, Renata Kołodziejska, Grzegorz Grześk, Alina Woźniak, Mariusz Kozakiewicz, Agnieszka Kosinska, Mateusz Pawluk, Magdalena Grześk-Kaczyńska, Elżbieta Grzechowiak, Jakub Wojtasik, and et al. 2023. "The Potential Role of RANTES in Post-Stroke Therapy" Cells 12, no. 18: 2217. https://doi.org/10.3390/cells12182217
APA StylePawluk, H., Kołodziejska, R., Grześk, G., Woźniak, A., Kozakiewicz, M., Kosinska, A., Pawluk, M., Grześk-Kaczyńska, M., Grzechowiak, E., Wojtasik, J., & Kozera, G. (2023). The Potential Role of RANTES in Post-Stroke Therapy. Cells, 12(18), 2217. https://doi.org/10.3390/cells12182217

