Are There Associations between Seminal Plasma Advanced Oxidation Protein Products and Selected Redox-Associated Biochemical Parameters in Infertile Male Patients? A Preliminary Report
Abstract
1. Introduction
2. Materials and Methods
2.1. Patient Samples
2.2. AOPP Determination
2.3. Biochemical Parameters Measurement
2.4. Statistical Analysis
3. Results
3.1. Seminal Plasma AOPP Levels
3.2. Seminal Plasma Biochemical Parameters Concentrations
3.3. ROC Curves Analysis
4. Discussion
5. Conclusions
Author Contributions
Funding
Institutional Review Board Statement
Informed Consent Statement
Data Availability Statement
Acknowledgments
Conflicts of Interest
References
- Barik, G.; Chaturvedula, L.; Bobby, Z. Role of oxidative stress and antioxidants in male infertility: An interventional study. J. Hum. Reprod. Sci. 2019, 12, 204–209. [Google Scholar] [CrossRef] [PubMed]
- Baskaran, S.; Agarwal, A.; Leisegang, K.; Pushparaj, P.N.; Panner Selvam, M.K.; Henkel, R. An In-Depth Bibliometric Analysis and Current Perspective on Male infertility Research. World J. Men’s Health 2021, 39, 302–314. [Google Scholar] [CrossRef] [PubMed]
- WHO World Health Organization. WHO Laboratory Manual for the Examination and Processing of Human Semen, 6th ed.; World Health Organization, Department of Reproductive Health and Research: Geneva, Switzerland, 2021; ISBN 978 92 4 0030787. [Google Scholar]
- Kratz, E.M.; Achcińska, M.K. Molecular mechanisms of fertilization: The role of male factor. Postepy Hig. Med. Dosw. Online 2011, 65, 784–795. [Google Scholar] [CrossRef] [PubMed]
- Rodriguez-Martinez, H.; Martinez, E.A.; Calvete, J.J.; Peña Vega, F.J.; Roca, J. Seminal plasma: Relevant for fertility? Int. J. Mol. Sci. 2021, 22, 4368. [Google Scholar] [CrossRef] [PubMed]
- Agarwal, A.; Baskaran, S.; Parekh, N.; Cho, C.L.; Henkel, R.; Vij, S.; Arafa, M.; Panner Selvam, M.K.; Shah, R. Male infertility. Lancet 2021, 397, 319–333. [Google Scholar] [CrossRef]
- Ritchie, C.; Ko, E.Y. Oxidative stress in the pathophysiology of male infertility. Andrologia 2021, 53, e13581. [Google Scholar] [CrossRef]
- Chen, H.; Zhao, H.X.; Huang, X.F.; Chen, G.W.; Yang, Z.X.; Sun, W.J.; Tao, M.H.; Yuan, Y.; Wu, J.Q.; Sun, F.; et al. Does high load of oxidants in human semen contribute to male factor infertility? Antioxid. Redox Signal. 2012, 16, 754–759. [Google Scholar] [CrossRef]
- Nowicka-Bauer, K.; Nixon, B. Molecular changes induced by oxidative stress that impair human sperm motility. Antioxidants 2020, 9, 134. [Google Scholar] [CrossRef]
- Sikka, S. Relative Impact of Oxidative Stress on Male Reproductive Function. Curr. Med. Chem. 2001, 8, 851–862. [Google Scholar] [CrossRef]
- Alahmar, A. Role of oxidative stress in male infertility: An updated review. J. Hum. Reprod. Sci. 2019, 12, 4–18. [Google Scholar] [CrossRef]
- Dutta, S.; Majzoub, A.; Agarwal, A. Oxidative stress and sperm function: A systematic review on evaluation and management. Arab J. Urol. 2019, 17, 87–97. [Google Scholar] [CrossRef] [PubMed]
- Gill, K.; Machalowski, T.; Harasny, P.; Kups, M.; Grabowska, M.; Duchnik, E.; Sipak, O.; Fraczek, M.; Kurpisz, M.; Kurzawa, R.; et al. Male Infertility Coexists with Decreased Sperm Genomic Integrity and Oxidative Stress in Semen Irrespective of Leukocytospermia. Antioxidants 2022, 11, 1987. [Google Scholar] [CrossRef] [PubMed]
- Wang, J.J.; Wang, S.X.; Tehmina; Feng, Y.; Zhang, R.F.; Li, X.Y.; Sun, Q.; Ding, J. Age-Related Decline of Male Fertility: Mitochondrial Dysfunction and the Antioxidant Interventions. Pharmaceuticals 2022, 15, 519. [Google Scholar] [CrossRef]
- Liu, K.S.; Mao, X.D.; Pan, F.; An, R.F. Effect and mechanisms of reproductive tract infection on oxidative stress parameters, sperm DNA fragmentation, and semen quality in infertile males. Reprod. Biol. Endocrinol. 2021, 19, 97. [Google Scholar] [CrossRef]
- Bergsma, A.T.; Li, H.T.; Eliveld, J.; Bulthuis, M.L.C.; Hoek, A.; van Goor, H.; Bourgonje, A.R.; Cantineau, A.E.P. Local and Systemic Oxidative Stress Biomarkers for Male Infertility: The ORION Study. Antioxidants 2022, 11, 1045. [Google Scholar] [CrossRef] [PubMed]
- Lewis, S.E.M.; Sterling, E.S.L.; Young, I.S.; Thompson, W. Comparison of individual antioxidants of sperm and seminal plasma in fertile and infertile men. Fertil. Steril. 1997, 67, 142–147. [Google Scholar] [CrossRef]
- Agarwal, A.; Virk, G.; Ong, C.; du Plessis, S.S. Effect of Oxidative Stress on Male Reproduction. World J. Men’s Health 2014, 32, 1. [Google Scholar] [CrossRef]
- Vernet, P.; Aitken, R.; Drevet, J. Antioxidant strategies in the epididymis. Mol. Cell. Endocrinol. 2004, 216, 31–39. [Google Scholar] [CrossRef]
- Walczak-Jędrzejowska, R. Oxidative Stress and Male Infertility. Part I: Factors Causing Oxidative Stress in Semen. Post Androl Online 2015, 2, 5–15. [Google Scholar]
- Kratz, E.M.; Piwowar, A.; Zeman, M.; Stebelová, K.; Thalhammer, T. Decreased melatonin levels and increased levels of advanced oxidation protein products in the seminal plasma are related to male infertility. Reprod. Fertil. Dev. 2016, 28, 507–515. [Google Scholar] [CrossRef]
- Piwowar, A. The advanced oxidation protein products as potential diagnostic and prognostic factor in diseases of the indicated participation of oxidative stress. Postepy Hig. Med. Dosw. 2014, 68, 446–458. [Google Scholar] [CrossRef] [PubMed]
- Puntarulo, S. Iron, oxidative stress and human health. Mol. Asp. Med. 2005, 26, 299–312. [Google Scholar] [CrossRef] [PubMed]
- Tremellen, K. Oxidative stress and male infertility: A clinical perspective. Stud. Men’s Health Fertil. 2012, 14, 325–353. [Google Scholar] [CrossRef]
- Glantzounis, G.; Tsimoyiannis, E.; Kappas, A.; Galaris, D. Uric Acid and Oxidative Stress. Curr. Pharm. Des. 2005, 11, 4145–4151. [Google Scholar] [CrossRef] [PubMed]
- Glasdam, S.-M.; Glasdam, S.; Peters, G.H. The Importance of Magnesium in the Human Body. Adv. Clin. Chem. 2016, 73, 169–193. [Google Scholar] [CrossRef]
- Abdul-Rasheed, O.F. Association between seminal plasma copper and magnesium levels with oxidative stress in Iraqi infertile men. Oman Med. J. 2010, 25, 168–172. [Google Scholar] [CrossRef] [PubMed]
- Bassey, I.; Paul Isong, I.; Sunday Esiere, K.; Essien, O.; Udoh, A.; Akpan, U. Seminal oxidative stress markers, calcium, magnesium, and semen profile of infertile diabetic and nondiabetic Nigerian men. Int. J. Appl. Basic Med. Res. 2019, 9, 159. [Google Scholar] [CrossRef] [PubMed]
- Zheltova, A.A.; Kharitonova, M.V.; Iezhitsa, I.N.; Spasov, A.A. Magnesium deficiency and oxidative stress: An update. BioMedicine 2016, 6, 8–14. [Google Scholar] [CrossRef] [PubMed]
- Witko-Sarsat, V.; Friedlander, M.; Capeillère-Blandin, C.; Nguyen-Khoa, T.; Nguyen, A.T.; Zingraff, J.; Jungers, P.; Descamps-Latscha, B. Advanced oxidation protein products as a novel marker of oxidative stress in uremia. Kidney Int. 1996, 49, 1304–1313. [Google Scholar] [CrossRef]
- Kratz, E.M.; Kałuża, A.; Ferens-Sieczkowska, M.; Olejnik, B.; Fiutek, R.; Zimmer, M.; Piwowar, A. Gelatinases and their tissue inhibitors are associated with oxidative stress: A potential set of markers connected with male infertility. Reprod. Fertil. Dev. 2016, 28, 1029–1037. [Google Scholar] [CrossRef]
- Bossuyt, X. Clinical performance characteristics of a laboratory test. A practical approach in the autoimmune laboratory. Autoimmun. Rev. 2009, 8, 543–548. [Google Scholar] [CrossRef] [PubMed]
- Demir, M.; Ozdem, S. Evaluation of total antioxidant capacity in human seminal plasma. Int. J. Med. Biochem. 2022, 5, 54–59. [Google Scholar] [CrossRef]
- Piwowar, A. Advanced oxidation protein products. Part I. Mechanism of the formation, characteristics and property. Pol. Merkur. Lekarski 2010, 28, 166–169. [Google Scholar] [PubMed]
- Collodel, G.; Nerucci, F.; Signorini, C.; Iacoponi, F.; Moretti, E. Associations between biochemical components of human semen with seminal conditions. Syst. Biol. Reprod. Med. 2019, 65, 155–163. [Google Scholar] [CrossRef] [PubMed]
- Mendeluk, G.; González Flecha, F.L.; Castello, P.R.; Bregni, C. Factors involved in the biochemical etiology of human seminal plasma hyperviscosity. J. Androl. 2000, 21, 262–267. [Google Scholar] [CrossRef] [PubMed]
- Skandhan, K.P.; Mazumdar, B.N.; Sumangala, B. Study into the iron content of seminal plasma in normal and infertile subjects. Urologia 2012, 79, 54–57. [Google Scholar] [CrossRef]
- Jia, X.; Dong, T.; Han, Y.; Yue, Z.; Zhang, P.; Ren, J.; Wang, Y.; Wu, W.; Yang, H.; Guo, H.; et al. Identifying the dose response relationship between seminal metal at low levels and semen quality using restricted cubic spline function. Chemosphere 2022, 295, 133805. [Google Scholar] [CrossRef]
- Shukla, K.K.; Mahdi, A.A.; Mishra, V.; Rajender, S.; Sankhwar, S.N.; Patel, D.; Das, M. Withania somnifera improves semen quality by combating oxidative stress and cell death and improving essential metal concentrations. Reprod. Biomed. Online 2011, 22, 421–427. [Google Scholar] [CrossRef]
- Pant, N.; Srivastava, S.P. Correlation of trace mineral concentrations with fructose, γ-glutamyl transpeptidase, and acid phosphatase in seminal plasma of different categories of infertile men. Biol. Trace Elem. Res. 2003, 93, 31–38. [Google Scholar] [CrossRef]
- Marzec-Wróblewska, U.; Kamiński, P.; Łakota, P.; Szymański, M.; Wasilow, K.; Ludwikowski, G.; Kuligowska-Prusińska, M.; Odrowąż-Sypniewska, G.; Stuczyński, T.; Michałkiewicz, J. Zinc and iron concentration and SOD activity in human semen and seminal plasma. Biol. Trace Elem. Res. 2011, 143, 167–177. [Google Scholar] [CrossRef]
- Magalí, B.; Esteban, R.; Adriana, B. Oxidative stress and iron metabolism in human sperm. Pharm. Pharmacol. Int. J. 2022, 10, 185–188. [Google Scholar] [CrossRef]
- Lazzarino, G.; Listorti, I.; Muzii, L.; Amorini, A.M.; Longo, S.; Di Stasio, E.; Caruso, G.; D’Urso, S.; Puglia, I.; Pisani, G.; et al. Low-molecular weight compounds in human seminal plasma as potential biomarkers of male infertility. Hum. Reprod. 2018, 33, 1817–1828. [Google Scholar] [CrossRef] [PubMed]
- Kanďár, R.; Drábková, P.; Hampl, R. The determination of ascorbic acid and uric acid in human seminal plasma using an HPLC with UV detection. J. Chromatogr. B Anal. Technol. Biomed. Life Sci. 2011, 879, 2834–2839. [Google Scholar] [CrossRef] [PubMed]
- Allahkarami, S.; Atabakhsh, M.; Moradi, M.N.; Ghasemi, H.; Bahmanzadeh, M.; Tayebinia, H. Correlation of uric acid, urea, ammonia and creatinine of seminal plasma with semen parameters and fertilization rate of infertile couples. Avicenna J. Med. Biochem. 2017, 5, 76–80. [Google Scholar] [CrossRef]
- Colagar, A.H.; Marzony, E.T.; Chaichi, M.J. Zinc levels in seminal plasma are associated with sperm quality in fertile and infertile men. Nutr. Res. 2009, 29, 82–88. [Google Scholar] [CrossRef] [PubMed]
- Wong, W.Y.; Flik, G.; Groenen, P.M.W.; Swinkels, D.W.; Thomas, C.M.G.; Copius-Peereboom, J.H.J.; Merkus, H.M.W.M.; Steegers-Theunissen, R.P.M. The impact of calcium, magnesium, zinc, and copper in blood and seminal plasma on semen parameters in men. Reprod. Toxicol. 2001, 15, 131–136. [Google Scholar] [CrossRef]
- Sørensen, M.B.; Bergdahl, I.A.; Hjøllund, N.H.I.; Bonde, J.P.E.; Stoltenberg, M.; Ernst, E. Zinc, magnesium and calcium in human seminal fluid: Relations to other semen parameters and fertility. Mol. Hum. Reprod. 1999, 5, 331–337. [Google Scholar] [CrossRef]
- Abou-Shakra, F.R.; Ward, N.I.; Everard, D.M. The role of trace elements in male infertility. Fertil. Steril. 1989, 52, 307–310. [Google Scholar] [CrossRef]
- Kasperczyk, A.; Dobrakowski, M.; Zalejska-Fiolka, J.; Horak, S.; Machoń, A.; Birkner, E. The role of calcium in human sperm in relation to the antioxidant system. Environ. Med. 2014, 17, 34–50. [Google Scholar]
- Metzendorf, C.; Lind, M.I. Drosophila mitoferrin is essential for male fertility: Evidence for a role of mitochondrial iron metabolism during spermatogenesis. BMC Dev. Biol. 2010, 10, 68. [Google Scholar] [CrossRef]




| Group | N n = 33 | T n = 30 | AT n = 18 | OAT n = 28 | |
|---|---|---|---|---|---|
| Parameter | MEAN ± SD Median (Range) | MEAN ± SD Median (Range) | MEAN ± SD Median (Range) | MEAN ± SD Median (Range) | |
| AOPP (µmol/L) | 451.89 ± 222.02 483.19 (255.53–552.34) p = 0.000035 a p = 0.000002 b | 452.70 ± 183.11 505.00 (439.57–554.47) p = 0.000043 a p = 0.000002 b | 173.79 ± 76.06 163.51 (128.94–206.60) | 154.05 ± 61.52 134.26 (110.85–207.13) | |
| TP (g/dL) | 3.62 ± 1.12 3.64 (2.69–4.25) | 3.18 ± 0.86 3.02 (2.80–3.32) p = 0.007072 a p = 0.030200 b | 3.94 ± 1.13 4.13 (3.19–4.86) | 3.75 ± 0.93 3.66 (2.92–4.26) | |
| Fe (µg/dL) | 21.82 ± 10.40 22.01 (14.24–27.57) p = 0.031121 b | 17.75 ± 6.14 16.44 (14.16–20.47) p = 0.020539 b | 16.80 ± 3.88 16.15 (13.53–20.14) | 14.43 ± 6.18 12.80 (9.82–18.69) | |
| UA (mg/dL) | 6.44 ± 2.36 6.58 (4.48–7.34) | 5.85 ± 1.26 5.84 (4.91–6.44) | 6.28 ± 1.75 5.84 (4.83–7.14) | 6.48 ± 1.97 6.47 (4.98–7.42) | |
| Mg (mg/dL) | 7.40 ± 2.58 8.25 (5.82–9.41) | 6.88 ± 1.97 7.28 (5.01–8.59) | 6.68 ± 1.73 6.87 (5.00–7.85) | 6.35 ± 2.27 5.80 (4.65–8.54) | |
| Ca (mg/dL) | 25.16 ± 13.27 26.79 (12.56–32.86) | 21.73 ± 9.66 23.58 (13.03–27.55) | 19.38 ± 7.61 18.37 (13.76–23.21) | 17.03 ± 10.12 13.95 (9.14–27.81) | |
| Compared Parameters | R | p |
|---|---|---|
| Ca & Mg | 0.8714 | <0.001 |
| Ca & Fe | 0.8120 | <0.001 |
| Mg & Fe | 0.7885 | <0.001 |
| AOPP & Fe | 0.5393 | <0.001 |
| AOPP & Ca | 0.5262 | <0.001 |
| AOPP & Mg | 0.4511 | <0.001 |
| AOPP & TP | −0.2650 | 0.022 |
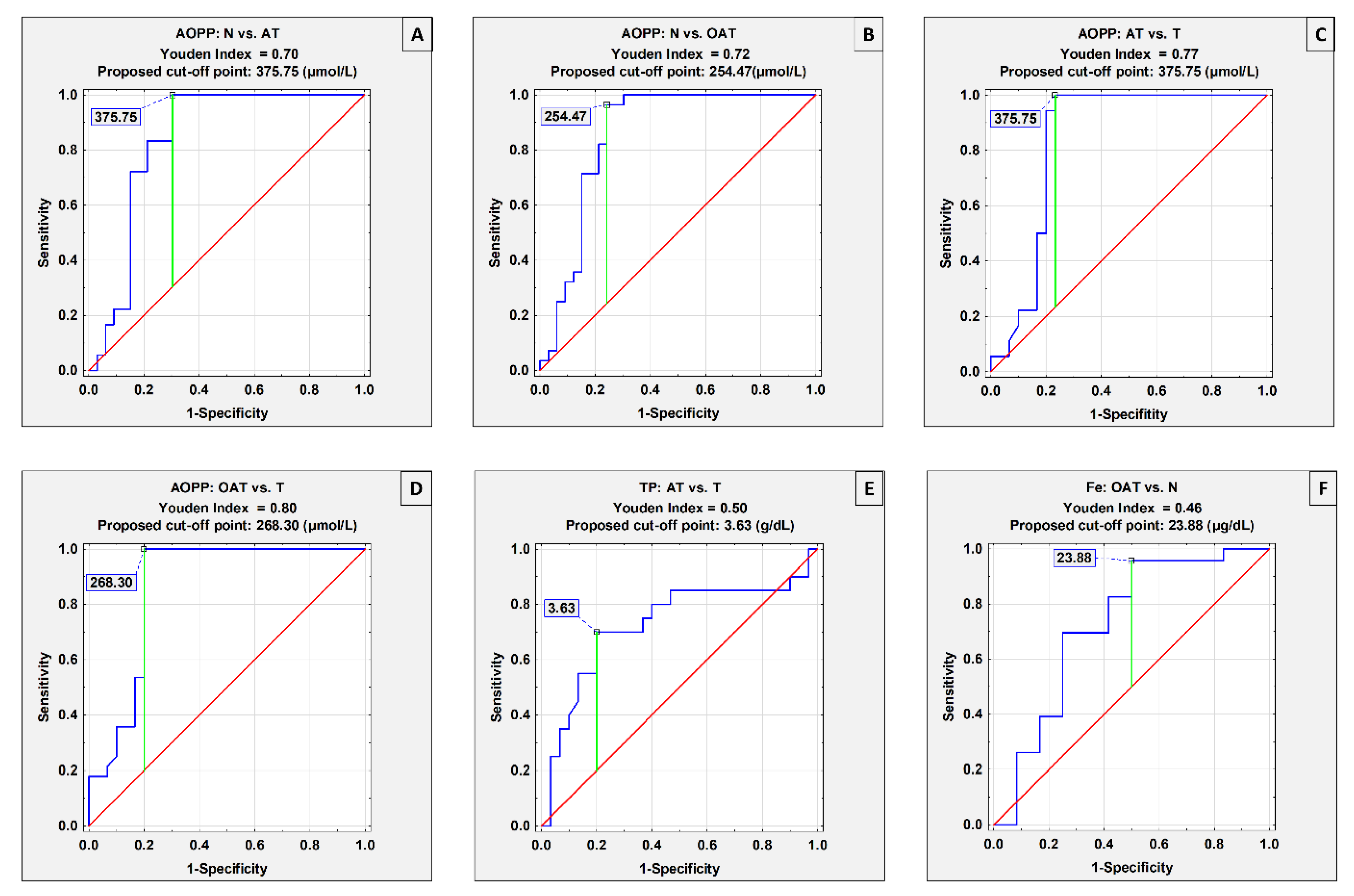
| Parameter | Compared Groups | AUC | AUC with 95% Confidence Interval | Cut Off Point | Sensitivity | Specificity | p | |
|---|---|---|---|---|---|---|---|---|
| AOPP | T | vs. N | 0.513 | 0.368–0.657 | 482.13 | 0.667 | 0.485 | 0.864 |
| AT | 0.837 | 0.724–0.949 | 375.75 | 1.000 | 0.697 | 0.000 | ||
| OAT | 0.855 | 0.752–0.958 | 254.47 | 0.964 | 0.758 | 0.000 | ||
| AT vs. T | 0.838 | 0.717–0.959 | 375.75 | 1.000 | 0.767 | 0.000 | ||
| OAT vs. T | 0.861 | 0.755–0.967 | 268.30 | 1.000 | 0.800 | 0.000 | ||
| OAT vs. AT | 0.552 | 0.380–0.723 | 125.75 | 0.393 | 0.778 | 0.555 | ||
| TP | T | vs. N | 0.364 | 0.213–0.515 | 2.76 | 0.800 | 0.286 | 0.077 |
| AT | 0.596 | 0.429–0.762 | 4.12 | 0.550 | 0.679 | 0.262 | ||
| OAT | 0.531 | 0.373–0.690 | 2.62 | 0.958 | 0.214 | 0.699 | ||
| AT vs. T | 0.728 | 0.571–0.884 | 3.63 | 0.700 | 0.800 | 0.004 | ||
| OAT vs. T | 0.674 | 0.526–0.822 | 3.47 | 0.625 | 0.767 | 0.021 | ||
| OAT vs. AT | 0.585 | 0.410–0.761 | 4.09 | 0.708 | 0.550 | 0.340 | ||
| Fe | T | vs. N | 0.370 | 0.150–0.591 | 12.57 | 0.889 | 0.250 | 0.249 |
| AT | 0.656 | 0.417–0.894 | 23.72 | 1.000 | 0.500 | 0.200 | ||
| OAT | 0.725 | 0.526–0.923 | 23.88 | 0.957 | 0.500 | 0.027 | ||
| AT vs. T | 0.541 | 0.361–0.721 | 23.72 | 1.000 | 0.185 | 0.657 | ||
| OAT vs. T | 0.692 | 0.539–0.846 | 14.21 | 0.696 | 0.741 | 0.014 | ||
| OAT vs. AT | 0.672 | 0.502–0.843 | 12.47 | 0.435 | 0.933 | 0.047 | ||
Publisher’s Note: MDPI stays neutral with regard to jurisdictional claims in published maps and institutional affiliations. |
© 2022 by the authors. Licensee MDPI, Basel, Switzerland. This article is an open access article distributed under the terms and conditions of the Creative Commons Attribution (CC BY) license (https://creativecommons.org/licenses/by/4.0/).
Share and Cite
Janiszewska, E.; Kokot, I.; Kmieciak, A.; Gilowska, I.; Faundez, R.; Kratz, E.M. Are There Associations between Seminal Plasma Advanced Oxidation Protein Products and Selected Redox-Associated Biochemical Parameters in Infertile Male Patients? A Preliminary Report. Cells 2022, 11, 3667. https://doi.org/10.3390/cells11223667
Janiszewska E, Kokot I, Kmieciak A, Gilowska I, Faundez R, Kratz EM. Are There Associations between Seminal Plasma Advanced Oxidation Protein Products and Selected Redox-Associated Biochemical Parameters in Infertile Male Patients? A Preliminary Report. Cells. 2022; 11(22):3667. https://doi.org/10.3390/cells11223667
Chicago/Turabian StyleJaniszewska, Ewa, Izabela Kokot, Agnieszka Kmieciak, Iwona Gilowska, Ricardo Faundez, and Ewa Maria Kratz. 2022. "Are There Associations between Seminal Plasma Advanced Oxidation Protein Products and Selected Redox-Associated Biochemical Parameters in Infertile Male Patients? A Preliminary Report" Cells 11, no. 22: 3667. https://doi.org/10.3390/cells11223667
APA StyleJaniszewska, E., Kokot, I., Kmieciak, A., Gilowska, I., Faundez, R., & Kratz, E. M. (2022). Are There Associations between Seminal Plasma Advanced Oxidation Protein Products and Selected Redox-Associated Biochemical Parameters in Infertile Male Patients? A Preliminary Report. Cells, 11(22), 3667. https://doi.org/10.3390/cells11223667

