Soil Physical Properties Spatial Variability under Long-Term No-Tillage Corn
Abstract
:1. Introduction
2. Materials and Methods
2.1. Study Area
2.2. Data Collection
2.2.1. Soil Sample Collection and Laboratory Analysis
2.2.2. Field Measurement
2.2.3. Statistical and Geostatistical Analysis
3. Results and Discussions
3.1. Descriptive Statistics
3.2. Variogram Analysis
3.3. Analysis of Correlogram
3.4. Spatial Map from Kriging
4. Summary and Conclusions
Author Contributions
Funding
Acknowledgments
Conflicts of Interest
References
- Goovaerts, P. Geostatistical tools for characterizing the spatial variability of microbiological and physico-chemical soil properties. Biol. Fertil. Soil. 1998, 27, 315–334. [Google Scholar] [CrossRef]
- Ahuja, L.R. Quantifying agricultural management effects on soil properties and processes. Geoderma 2003, 116, 1–2. [Google Scholar] [CrossRef]
- Peet, M. Sustainable Practices for Vegetable Production in the South; Focus Publishing, R. Pullins Co.: Newburyport, MA, USA, 1996. [Google Scholar]
- Schertz, D.L. Conservation tillage: An analysis of acreage projections in the United States. J. Soil Water Conserv. 1988, 43, 256–258. [Google Scholar]
- Conservation Tillage Information Center (CTIC). National Tillage Trends 1990–2004. Available online: http://www.ctic.purdue.edu/media/pdf/Core4/1990-2004data.pdf (accessed on 29 November 2012).
- Claassen, R.; Bowman, M.; McFadden, J.; Smith, D.; Wallander, S. Tillage Intensity and Conservation Cropping in the United States; United States Department of Agriculture, Economic Research Service: Washington, DC, USA, 2018; Volume EIB-197.
- Baker, N.T. Tillage Practices in the Conterminous United States, 1989–2004—Datasets Aggregated by Watershed: U.S. Geological Survey Data Series 573; Indiana Water Science Center: Indianapolis, IN, USA, 2011; p. 13.
- Cavalieri, K.M.V.; Da Silva, A.P.; Tormena, C.A.; Leão, T.P.; Dexter, A.R.; Håkansson, I. Long-term effects of no-tillage on dynamic soil physical properties in a Rhodic Ferrasol in Paraná, Brazil. Soil Till. Res. 2009, 103, 158–164. [Google Scholar] [CrossRef]
- Jakab, G.; Madarász, B.; Szabó, J.A.; Tóth, A.; Zacháry, D.; Szalai, Z.; Kertész, A.; Dyson, J. Infiltration and Soil Loss Changes during the Growing Season under Ploughing and Conservation Tillage. Sustainability 2017, 9, 1726. [Google Scholar] [CrossRef]
- Oliver, R.; Douzet, J.M.; Scopel, E.; Blanchart, E.; Curmi, P.; Alves Moreira, J.A.; Minette, S.; Guerin, P.; Fortier, M.; Maraux, F. Medium Term Impact of No Tillage on Some Physical Properties of a Brazilian Oxisol of Cerrados (Tropical Humid Savannah of Central Brazil). In Proceedings of the 17th World Congress of Soil Science: Confronting New Realities in the 21st Century, Bangkok, Thailand, 14–21 August 2002; Maraux, F., Ed.; Ksetsart University: Bangkok, Thailand, 2002; pp. 930-1–930-9. [Google Scholar]
- Fabrizzi, K.P.; Garcia, F.O.; Costa, J.L.; Picone, L.I. Soil water dynamics, physical properties and corn and wheat responses to minimum and no-tillage systems in the southern Pampas of Argentina. Soil Till. Res. 2005, 81, 57–69. [Google Scholar] [CrossRef]
- Logsdon, S.D.; Karlen, D.L. Bulk density as a soil quality indicator during conversion to no-tillage. Soil Till. Res. 2004, 78, 143–149. [Google Scholar] [CrossRef]
- Filipovic, D.; Husnjak, S.; Kosutic, S.; Gospodaric, Z. Effects of tillage systems on compaction and crop yield of Albic Luvisol in Croatia. J. Terramech. 2006, 43, 177–189. [Google Scholar] [CrossRef]
- Rhoton, F.E. Influence of time on soil response to no-till practices. Soil Sci. Soc. Am. J. 2000, 64, 700–709. [Google Scholar] [CrossRef]
- Bilandžija, D.; Zgorelec, Ž.; Kisic, I. Influence of tillage systems on short-term soil CO2 emissions. Hung. Geogr. Bull. 2017, 66, 29–35. [Google Scholar] [CrossRef]
- Dao, T.H. Tillage system and crop residue effects on surface compaction of a Paleustoll. Agron. J. 1996, 88, 141–148. [Google Scholar] [CrossRef]
- Hammel, J.E. Long term tillage and crop rotation effects on bulk density and soil impedance in northern Idaho. Soil Sci. Soc. Am. J. 1989, 53, 1515–1519. [Google Scholar] [CrossRef]
- Strudley, M.W.; Green, T.R.; Ascough, J.C. Tillage effects on soil hydraulic properties in space and time: State of the science. Soil Till. Res. 2008, 99, 4–48. [Google Scholar] [CrossRef]
- Jakab, G.; Dobos, E.; Madarász, B.; Szalai, Z.; Szabó, J.A. Spatial and Temporal Changes in Infiltration and Aggregate Stability: A Case Study of a Subhumid Irrigated Cropland. Water 2019, 11, 876. [Google Scholar] [CrossRef]
- Iqbal, J.; Thomasson, J.A.; Jenkins, J.N.; Owens, P.R.; Whisler, F.D. Spatial variability analysis of soil physical properties of alluvial soils. Soil Sci. Soc. Am. J. 2005, 69, 1338–1350. [Google Scholar] [CrossRef]
- Webster, R.; Oliver, M.A. Geostatistics for Environmental Scientists; John Wiley & Sons: New York, NY, USA, 2001. [Google Scholar]
- Isaaks, E.H.; Srivastava, R.M. An Introduction to Applied Geostatistics; Oxford University press: New York, NY, USA, 1989. [Google Scholar]
- Ikawa, H.; Sato, H.H.; Chang, A.K.S.; Nakamura, S.; Robello, E.; Periaswamy, S.P. Soils of the Hawaii Agricultural Experiment Station, University of Hawaii: Soil Survey, Laboratory Data and Soil Descriptions (Benchmark Soils Project Technical Report: 4); University of Hawaii: Honolulu, HI, USA, 1985. [Google Scholar]
- Grossman, R.B.; Reinsch, T.G. Bulk Density and Linear Extensibility. In Methods of Soil Analysis, Part 4. Physical Methods. Soil Science Society of Ameriac Book Series No.5; Dane, J.H., Topp, G.C., Eds.; SSSA: Madison, WI, USA, 2002; pp. 201–228. [Google Scholar]
- Dane, J.H.; Hopmans, J.W. Soil Water Retention and Storage—Introduction. In Methods of Soil Analysis. Part 4. Physical Methods. Soil Science Society of America Book Series No. 5; Dane, J.H., Topp, G.C., Eds.; SSSA: Madison, WI, USA, 2002; pp. 671–674. [Google Scholar]
- Konen, M.E.; Jacobs, P.M.; Burras, C.L.; Talaga, B.J.; Mason, J.A. Equations for predicting soil organic carbon using loss-on-ignition for north central U.S. soils. Soil Sci. Soc. Am. J. 2002, 66, 1878–1881. [Google Scholar] [CrossRef]
- Schulte, E.E.; Hopkins, B.G. Estimation of Soil Organic Matter by Weight Loss-on-Ignition. In Soil Organic Matter: Analysis and Interpretation, SSSA Special Publication 46, 1996; Magdoff, F.R., Tabatabai, M.A., Hanlon, E.A., Eds.; SSSA: Madison, WI, USA, 1996; pp. 21–31. [Google Scholar]
- APHA. Standard Methods for the Examination of Water and Wastewater, 19th ed.; 2540 E. Fixed and Volatile Solids Ignited at 550 °C; American Public Health Association: Washington, DC, USA; pp. 2–57.
- Wooding, R.A. Steady infiltration from a shallow circular pond. Water Resour. Res. 1968, 4, 1259–1273. [Google Scholar] [CrossRef]
- Hussen, A.A.; Warrick, A.W. Alternative analysis of hydraulic data from disc tension infiltrometers. Water Resour. Res. 1993, 29, 4103–4108. [Google Scholar] [CrossRef]
- Shapiro, S.S.; Wilk, M.B. An analysis of variance test for normality (complete samples). Biometrika 1965, 52, 591–611. [Google Scholar] [CrossRef]
- Robertson, G.P. GS+: Geostatistics for the Environmental Sciences; Gamma Design Software: Plainwell, MI, USA, 2008. [Google Scholar]
- Cambardella, C.A.; Moorman, T.B.; Novak, J.M.; Parkin, T.B.; Karlem, D.L.; Turco, R.F.; Konopka, A.E. Field scale variability of soil properties in central Iowa soil. Soil Sci. Soc. Am. J. 1994, 58, 1501–1511. [Google Scholar] [CrossRef]
- Moran, P.A.P. Notes on continuous stochastic phenomena. Biometrika 1950, 37, 17–23. [Google Scholar] [CrossRef]
- Bruland, G.L.; Richardson, C.J. Spatial variability of soil properties in created, restored, and paired natural wetlands. Soil Sci. Soc. Am. J. 2005, 69, 273–284. [Google Scholar]
- Ferreras, L.A.; Costa, J.L.; Garcia, F.O.; Pecorari, C. Effect of no-tillage on some soil physical properties of a structural degraded Petrocalcic Paleudoll of the southern “Pampas” of Argentina. Soil Till. Res. 2000, 54, 31–39. [Google Scholar] [CrossRef]
- Bhattacharyya, R.; Prakash, V.; Kundu, S.; Gupta, H.S. Effect of tillage and crop rotations on pore size distribution and soil hydraulic conductivity in sandy clay loam soil of the Indian Himalayas. Soil Till. Res. 2006, 86, 129–140. [Google Scholar] [CrossRef]
- Azooz, R.H.; Arshad, M.A. Soil infiltration and hydraulic conductivity under long-term no-tillage and conventional tillage systems. Can. J. Soil Sci. 1996, 76, 143–152. [Google Scholar] [CrossRef]
- Tsegaye, T.; Hill, R.L. Intensive tillage effects on spatial variability of soil physical properties. Soil Sci. 1998, 163, 143–154. [Google Scholar] [CrossRef]
- Warrick, A.W.; Nielsen, D.R. Spatial Variability of Soil Physical Properties in the Field. In Applications of Soil Physics; Hillel, D., Ed.; Academic Press: New York, NY, USA, 1980; pp. 319–344. [Google Scholar]
- Mulla, D.J.; McBratney, A.B. Soil Spatial Variability. In Soil Physics Companion; Warrick, A.W., Ed.; CRC Press: Boca Raton, FL, USA, 2002; pp. 343–373. [Google Scholar]
- Fares, A.; Abbas, F.; Ahmed, A.; Deenik, J.; Safeeq, M. Response of selected Soil Physical and Hydrological Properties to Manure Amendment Rates, Levels, and Types. Soil Sci. 2008, 173, 522–533. [Google Scholar] [CrossRef]
- Ankeny, M.D.; Kaspar, T.C.; Horton, R. Characterization of tillage and traffic effects on unconfined infiltration measurements. Soil Sci. Soc. Am. J. 1990, 54, 837–840. [Google Scholar] [CrossRef]
- Hill, R.L. Long-Term Conventional and No-Tillage Effects on Selected Soil Physical-Properties. Soil Sci. Soc. Am. J. 1990, 54, 161–166. [Google Scholar] [CrossRef]
- Karlen, D.L.; Wollenhaupt, N.C.; Erbach, D.C.; Berry, E.C.; Swan, J.B.; Eash, N.S.; Jordahl, J.L. Long-term tillage effects on soil quality. Soil Till. Res. 1994, 32, 313–327. [Google Scholar] [CrossRef]
- Vieira, S.R.; Reynolds, W.D.; Topp, G.C. Spatial Variability of Hydraulic Properties in a Highly Structured Clay Soil. In Proceedings of the International Conference and Workshop on the Validation of Flow and Transport Models for the Unsaturated Zone, Ruidoso, NM, USA, 22–25 May 1988; NM State University: Las Cruces, NM, USA, 1988; pp. 471–483. [Google Scholar]
- Wierenga, P.J.; Hills, R.G.; Hudson, D.B. The Las Cruces trench site: Characterization, experimental results, and one-dimensional flow predictions. Water Resour. Res. 1991, 27, 2695–2705. [Google Scholar] [CrossRef]
- Russo, D.; Bouton, M. Statistical analysis of spatial variability in unsaturated flow parameters. Water Resour. Res. 1992, 28, 1911–1925. [Google Scholar] [CrossRef]
- Parkin, T.B.; Robinson, J.A. Analysis of lognormal data. Adv. Soil Sci. 1992, 20, 193–235. [Google Scholar]
- Vauclin, M.; Vieira, S.R.; Vachaud, G.; Nielsen, D.R. The use of cokriging with limited field soil observations. Soil Sci. Soc. Am. J. 1983, 47, 175–184. [Google Scholar] [CrossRef]
- Yates, S.R.; Warrick, A.W. Estimating soil water content using cokriging. Soil Sci. Soc. Am. J. 1987, 51, 23–30. [Google Scholar] [CrossRef]
- Mulla, D.J. Estimating spatial patterns in water content, matric suction, and hydraulic conductivity. Soil Sci. Soc. Am. J. 1988, 52, 1547–1553. [Google Scholar] [CrossRef]







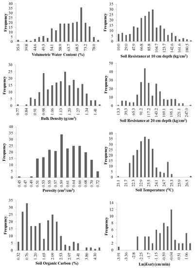
| Sampling Date | Variable | Mean | Var | CV (%) | Max | Min | N | Shapiro–Wilk Normality Test |
|---|---|---|---|---|---|---|---|---|
| 10 m × 10 m Grid | ||||||||
| 12/17/2008 | ST (°C) | 23.29 | 0.19 | 1.87 | 24.00 | 22.03 | 96 | 0.000 |
| θv (%) | 59.47 | 89.75 | 15.93 | 76.27 | 35.00 | 96 | 0.085 | |
| TIP-10 (kg cm−2) | 5.50 | 8.36 | 52.54 | 12.89 | 0.70 | 96 | 0.111 | |
| TIP-20 (kg cm−2) | 8.04 | 12.14 | 43.36 | 16.87 | 0.94 | 96 | 0.235 | |
| 12/18/2008 | ST (°C) | 23.30 | 1.05 | 4.39 | 26.80 | 21.10 | 130 | 0.000 |
| θv (%) | 67.72 | 42.94 | 9.68 | 80.40 | 44.13 | 130 | 0.003 | |
| TIP-10 (kg cm−2) | 6.39 | 5.39 | 36.32 | 13.36 | 0.94 | 130 | 0.255 | |
| TIP-20 (kg cm−2) | 8.96 | 8.45 | 32.45 | 18.28 | 1.64 | 130 | 0.000 | |
| 12/6/2008 | θt (cm3 cm−3) | 0.61 | 0.00 | 9.70 | 0. 72 | 0. 32 | 223 | 0.035 |
| ρb (g cm−3) | 1.13 | 0.02 | 12.75 | 1.45 | 0.77 | 215 | 0.001 | |
| SOC (%) | 1.61 | 0.82 | 56.23 | 4.52 | 0.32 | 228 | 0.000 | |
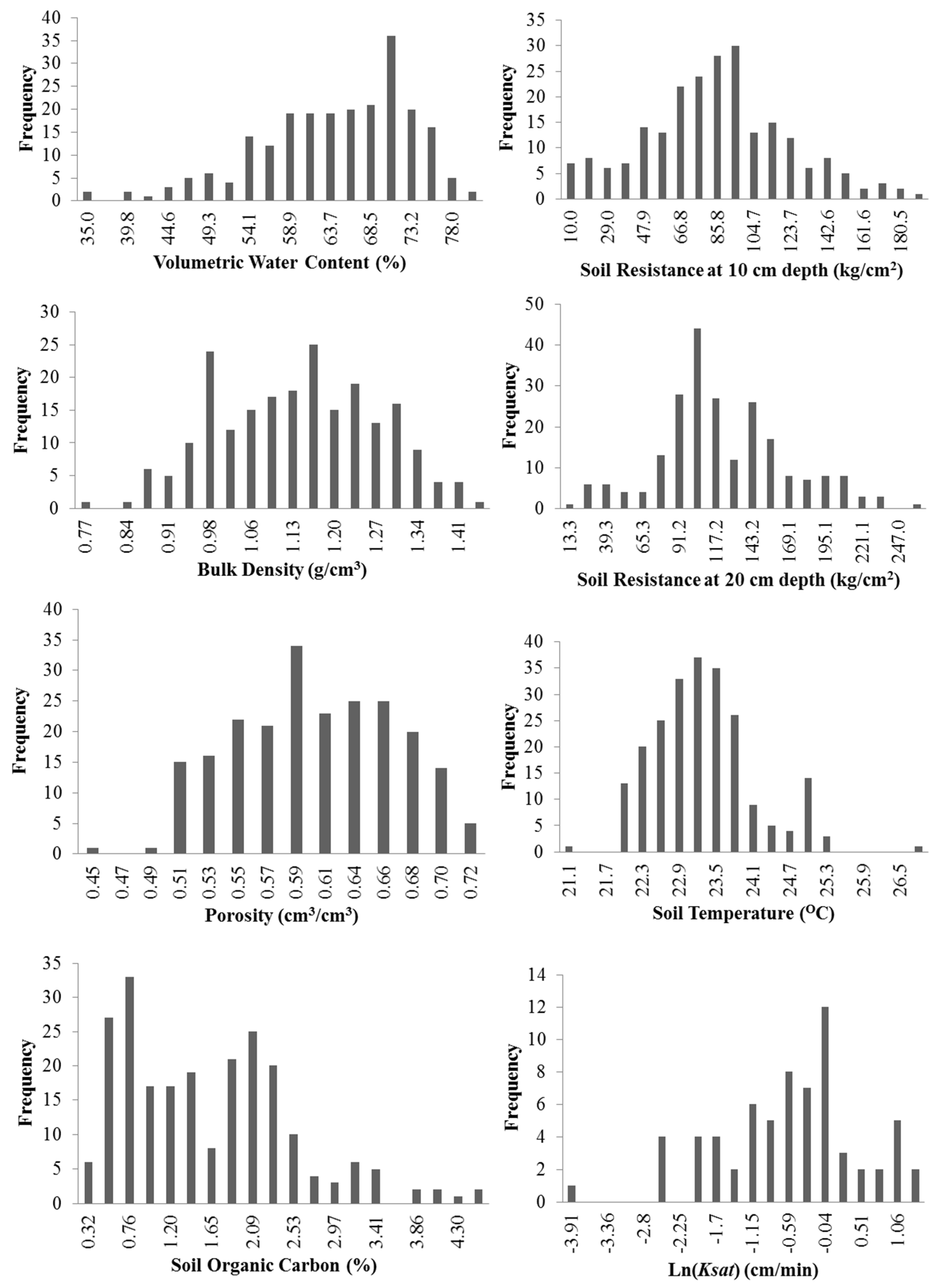
| 20 m × 20 m Grid | ||||||||
| 1/6/2009 | ST (°C) | 23.56 | 2.18 | 6.27 | 25.00 | 20.70 | 128 | 0.000 |
| θv (%) | 58.09 | 83.65 | 15.75 | 87.80 | 36.97 | 128 | 0.425 | |
| TIP-10 (kg cm−2) | 7.60 | 10.44 | 42.51 | 14.06 | 1.52 | 128 | 0.010 | |
| TIP-20 (kg cm−2) | 11.83 | 13.00 | 30.49 | 20.86 | 3.66 | 128 | 0.664 | |
| 12-6/12-10 2008 | Ksat (cm min−1) | 0.91 | 0.80 | 98.64 | 3.82 | 0.02 | 67 | 0.000/0.348 * |
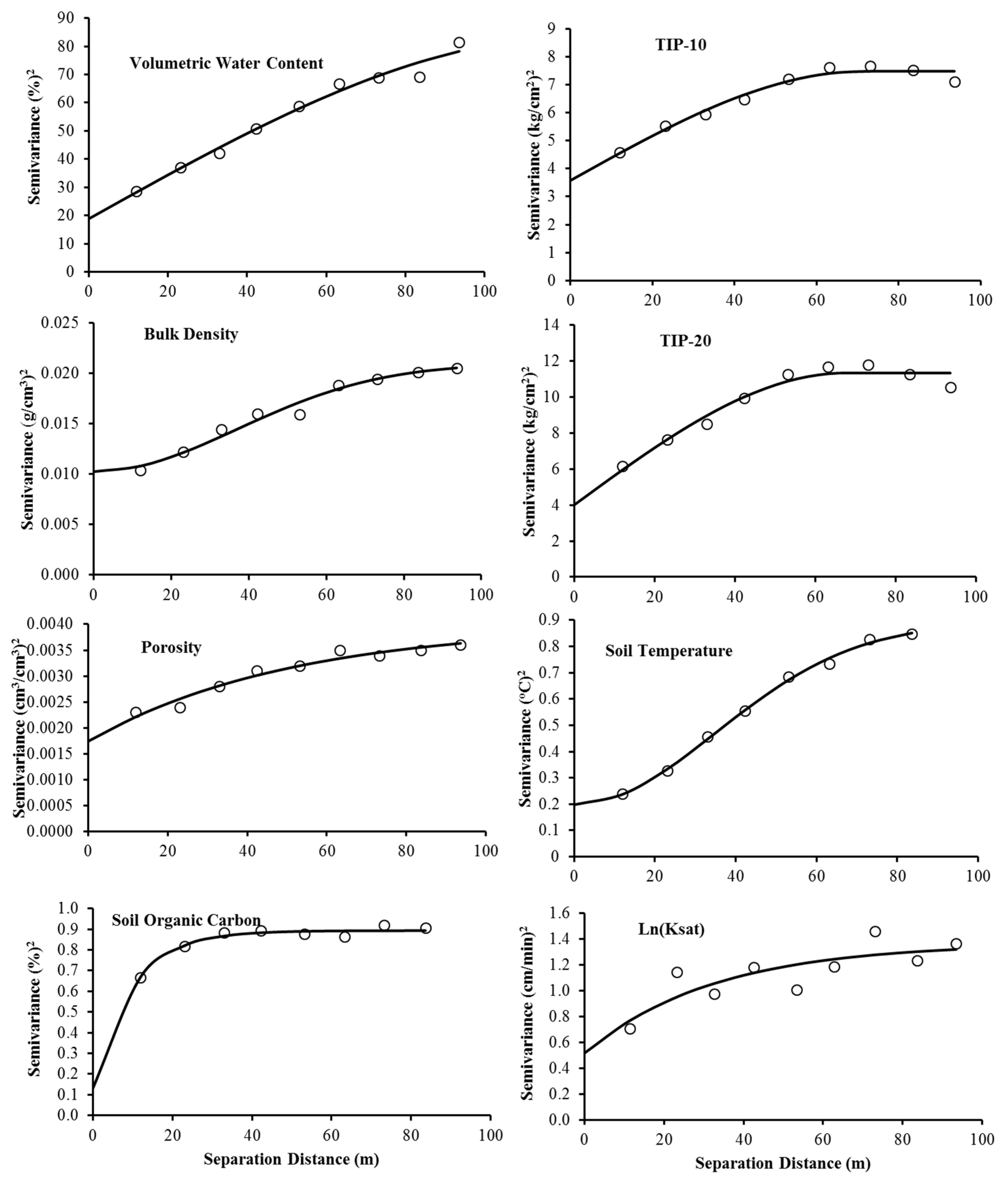
| Sampling Date | Variables | Model ‡ | C0 | C+C0 | A0 | SD † | R2 | RSS |
|---|---|---|---|---|---|---|---|---|
| 10 m ×10 m Grid | ||||||||
| 12/17 and 12/18/2008 | θv | Sph. | 18.88 | 83.54 | 123.80 | S | 0.98 | 50.50 |
| 12/17 and 12/18/2008 | TIP-10 | Sph. | 3.58 | 7.48 | 71.50 | M | 0.97 | 0.280 |
| 12/17 and 12/18/2008 | TIP-20 | Sph. | 4.02 | 11.34 | 67.30 | M | 0.96 | 1.398 |
| 12/6/2008 | θt | Exp. | 0.0017 | 0.0040 | 50.90 | M | 0.96 | 0.00 |
| 12/6/2008 | ρb | Gau. | 0.010 | 0.021 | 52.40 | M | 0.98 | 0.00 |
| 12/6/2008 | SOC | Exp. | 0.132 | 0.893 | 9.80 | S | 0.94 | 0.003 |
| 12/17 and 12/18/2008 | ST | Gau. | 0.20 | 0.89 | 49.40 | S | 1.00 | 0.00 |
| 12/17/2008 | θv | Gau. | 23.10 | 140.50 | 58.30 | S | 0.99 | 31.80 |
| 12/17/2008 | TIP-10 | Gau. | 5.05 | 13.28 | 54.30 | M | 0.99 | 0.15 |
| 12/17/2008 | TIP-20 | Gau. | 6.34 | 17.10 | 43.50 | M | 0.98 | 1.22 |
| 12/17/2008 | ST | Gau. | 0.13 | 0.26 | 50.50 | M | 0.95 | 0.00 |
| 12/18/2008 | θv | Exp. | 27.87 | 55.75 | 82.00 | M | 0.91 | 11.60 |
| 12/18/2008 | TIP-10 | Exp. | 3.45 | 9.43 | 142.20 | M | 0.93 | 0.21 |
| 12/18/2008 | TIP-20 | Gau. | 5.44 | 11.95 | 72.20 | M | 0.99 | 0.09 |
| 12/18/2008 | ST | Gau. | 0.27 | 1.80 | 67.90 | S | 0.98 | 0.02 |
| 20 m × 20 m Grid | ||||||||
| 1/6/2009 | θv | Sph. | 28.40 | 127.80 | 226.80 | S | 0.85 | 417.00 |
| 1/6/2009 | TIP-10 | Sph. | 0.36 | 11.72 | 52.00 | S | 0.86 | 9.44 |
| 1/6/2009 | TIP-20 | Sph. | 1.92 | 14.65 | 54.00 | S | 0.83 | 15.18 |
| 1/6/2009 | ST | Gau. | 0.07 | 2.20 | 11.70 | S | 0.00 | 2.63 |
| 12/6 and 12/10/2008 | Ksat* | Exp. | 0.517 | 1.366 | 32.5 | M | 0.67 | 0.131 |
| Ksat (cm min−1) | θt (cm3 cm−3) | ρb (g cm−3) | θv (%) | TIP-10 (kg cm−2) | TIP-20 (kg cm−2) | SOC (%) | |
|---|---|---|---|---|---|---|---|
| Ksat (cm min−1) | 1 | ||||||
| θt (cm3 cm−3) | 0.05 | 1 | |||||
| ρb (g cm−3) | −0.04 | −0.71 | 1 | ||||
| θv (%) | 0.10 | −0.15 | 0.24 | 1 | |||
| TIP-10 (kg cm−2) | −0.29 * | 0.21 | −0.13 | −0.17 | 1 | ||
| TIP-20 (kg cm−2) | −0.25 * | −0.03 | 0.12 | −0.03 | 0.81 ** | 1 | |
| SOC (%) | −0.04 | 0.13 | −0.15 | 0.09 | −0.08 | −0.15 | 1 |
| Sampling Date | Variables † | Model ‡ | C0 | C + C0 | A0 | R2 | RSS |
|---|---|---|---|---|---|---|---|
| 10 m × 10 m Grid | |||||||
| 12/17 and 12/18/2008 | TIP-10/θv | Gau. | −0.01 | −3.30 | 49.10 | 0.92 | 0.74 |
| 12/17 and 12/18/2008 | TIP-20/θv | Gau. | −0.94 | −3.16 | 54.50 | 0.82 | 0.80 |
| 12/6/2008 | θt/ρb | Gau. | 0.00 | −0.01 | 43.80 | 0.98 | 0.00 |
| SOC/ρb | Gau. | −0.013 | −0.05 | 68.80 | 0.83 | 0.00 | |
| SOC/θt | Gau. | 0.007 | 0.02 | 73.60 | 0.86 | 0.00 | |
| TIP-10/ρb | Gau. | 0.00 | 0.71 | 77.40 | 0.83 | 0.08 | |
| 12/17/2008 | ST/θv | Gau. | −0.001 | −1.47 | 48.40 | 0.67 | 0.90 |
| 12/17/2008 | TIP-10/θv | Gau. | −0.69 | −16.21 | 61.70 | 0.96 | 8.99 |
| 12/17/2008 | TIP-20/θv | Gau. | −1.48 | −16.07 | 78.40 | 0.89 | 34.22 |
| 12/18/2008 | ST/θv | Gau. | 0.001 | 3.01 | 51.70 | 0.98 | 0.22 |
| 12/18/2008 | TIP-10/θv | Gau. | −0.01 | −2.90 | 78.80 | 0.98 | 4.12 |
| 12/18/2008 | TIP-20/θv | Gau. | −0.01 | −4.94 | 67.10 | 0.94 | 17.55 |
| 20 m × 20 m Grid | |||||||
| 1/6/2009 | TIP-10/θv | Gau. | 4.63 | 6.61 | 93.54 | 0.04 | 68.60 |
| 1/6/2009 | TIP-20/θv | Gau. | 3.56 | 6.38 | 93.54 | 0.10 | 53.82 |
| Ksat/ρb | Exp. | 0.00 | −0.03 | 6.20 | 0.04 | 0.00 | |
| Ksat/θt | Gau. | 0.00 | 0.01 | 17.00 | 0.30 | 0.00 | |
| Ksat/SOC | Gau. | 0.001 | 0.32 | 139.50 | 0.30 | 0.03 | |
| Ksat/TIP-10 | Lin. | −0.047 | −1.168 | 93.43 | 0.686 | 0.409 | |
| Ksat/TIP-20 | Gau. | −0.633 | −3.106 | 188.1 | 0.403 | 0.425 | |
© 2019 by the authors. Licensee MDPI, Basel, Switzerland. This article is an open access article distributed under the terms and conditions of the Creative Commons Attribution (CC BY) license (http://creativecommons.org/licenses/by/4.0/).
Share and Cite
Awal, R.; Safeeq, M.; Abbas, F.; Fares, S.; Deb, S.K.; Ahmad, A.; Fares, A. Soil Physical Properties Spatial Variability under Long-Term No-Tillage Corn. Agronomy 2019, 9, 750. https://doi.org/10.3390/agronomy9110750
Awal R, Safeeq M, Abbas F, Fares S, Deb SK, Ahmad A, Fares A. Soil Physical Properties Spatial Variability under Long-Term No-Tillage Corn. Agronomy. 2019; 9(11):750. https://doi.org/10.3390/agronomy9110750
Chicago/Turabian StyleAwal, Ripendra, Mohammad Safeeq, Farhat Abbas, Samira Fares, Sanjit K. Deb, Amjad Ahmad, and Ali Fares. 2019. "Soil Physical Properties Spatial Variability under Long-Term No-Tillage Corn" Agronomy 9, no. 11: 750. https://doi.org/10.3390/agronomy9110750
APA StyleAwal, R., Safeeq, M., Abbas, F., Fares, S., Deb, S. K., Ahmad, A., & Fares, A. (2019). Soil Physical Properties Spatial Variability under Long-Term No-Tillage Corn. Agronomy, 9(11), 750. https://doi.org/10.3390/agronomy9110750

