Residues Management Practices and Nitrogen-Potassium Fertilization Influence on the Quality of Pineapple (Ananas comosus (L.) Merrill) Sugarloaf Fruit for Exportation and Local Consumption
Abstract
:1. Introduction
2. Materials and Methods
2.1. Study Area
2.2. Experimental Design and Management
2.3. Fruit Weight Attributes and Fresh Juice Physico-Chemical Measurements
2.4. Panel of Tasters’ Selection and Fruit Sensory Characteristics Measurements
2.5. Statistical Analysis
3. Results
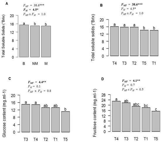
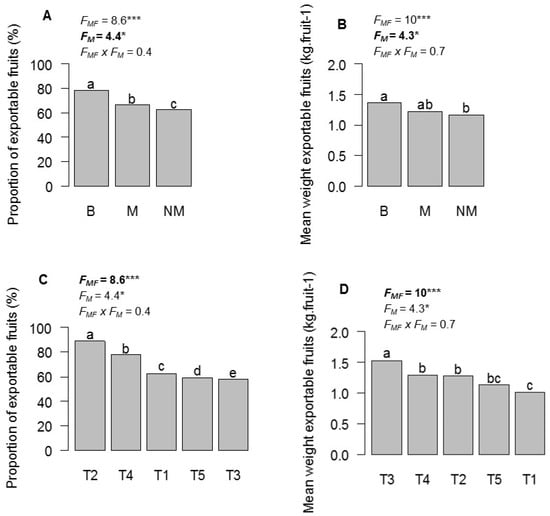
3.1. Influence of Mulching and N-K Fertilization on Pineapple Fresh Fruit Juice Quality and Proportion of Fruit Meeting European Standards
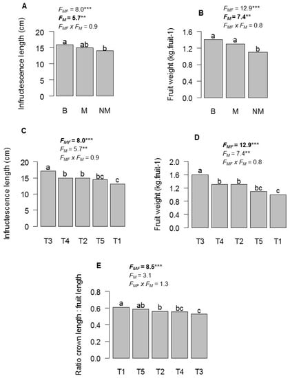
3.2. Influence of Mulching and N-K Fertilization on Pineapple Fruit Quality for Local Consumption
3.3. Relation Between Fruit Morphological and Physico-Chemical Properties
4. Discussion
4.1. Influence of Mulching and N-K Fertilization on Pineapple Fresh Fruit Juice Quality and Proportion of Fruit Meeting European Standards and Local Acceptability
4.2. Fruit Morphological Characteristics Were Correlated with Physico-Chemical Properties
5. Conclusions
Acknowledgments
Author Contributions
Conflicts of Interest
References
- Vagneron, I.; Faure, G.; Loeillet, D. Is there a pilot in the chain? Identifying the key drivers of change in the fresh pineapple sector. Food Policy 2009, 34, 437–446. [Google Scholar] [CrossRef]
- Calderon, M.M.; Graü, M.A.R.; Belloso, O.M. Mechanical and chemical properties of Gold cultivar pineapple flesh (Ananas comosus). Eur. Food Res. Technol. 2009, 230, 675–686. [Google Scholar] [CrossRef]
- Hounhouigan, M.H.; Lineman, A.R.; Ingenbleek, P.T.M.; Soumanou, M.M.; van Trijp, H.C.M.; van Boekel, M.A.J.S. Effect of physical damage and storage of pineapple fruits on their suitability for juice production. J. Food Qual. 2014, 37, 268–273. [Google Scholar] [CrossRef]
- INSAE (Institut National de la Statistique et de l’Analyse Economique). Dynamique des Filières D’exportation au Bénin; Ministère du Plan: Cotonou, Benin, 2009; p. 50. [Google Scholar]
- Fassinou, H.V.N.; Lommen, W.; van der Vorst, J.; Agbossou, K.E.; Struik, P. Analysis of pineapple production systems in Benin. Acta Hortic. 2012, 928, 47–58. [Google Scholar] [CrossRef]
- Fassinou, H.V.N.; Lommen, W.J.M.; Agbossou, K.E.; Struik, P.C. Influence of weight and type of planting material on fruit quality and its heterogeneity in pineapple (Ananas comosus (L.) Merrill). Front. Plant Sci. 2015, 5, 1–16. [Google Scholar] [CrossRef] [PubMed]
- Djalalou-Dine, A.A.A. Marketing channel selection by smallholder farmers in pineapple supply chain in Benin. J. Food Prod. Mark. 2015, 21, 337–357. [Google Scholar]
- Agbangba, C.E.; Olodo, G.P.; Dagbenonbakin, D.G.; Akpo, L.E.; Sokpon, N. Preliminary DRIS Model parametrization to access pineapple variety ‘Perola’ nutrient status in Benin (West Africa). Afr. J. Agric. Res. 2011, 6, 5841–5847. [Google Scholar]
- Malezieux, E.; Bartholomew, D.P. Plant nutrition. In The Pineapple: Botany, Production and Uses; Bartholomew, D.P., Paull, R.E., Rohrbach, K.G., Eds.; CABI Publishing: New York, NY, USA, 2003; pp. 143–165. [Google Scholar]
- Soares, A.G.; Trugo, L.C.; Botrel, N.; Sousa, L.F.S. Reduction of internal browning of pineapple fruit (Ananas comusus L.) by preharvest soil application of potassium Postharvest. Biol. Technol. 2005, 35, 201–207. [Google Scholar] [CrossRef]
- Spironello, A.; Quaggio, J.A.; Teixeira, L.A.J.; Furlani, P.R.; Sigrist, J.M.M. Pineapple Yield and Fruit Quality Affected By NPK Fertilization in a Tropical Soil. Rev. Bras. Frutic. 2004, 26, 155–159. [Google Scholar] [CrossRef]
- Darnaudery, M.; Fournier, P.; Léchaudel, M. Low-input pineapple crops with high quality fruit: Promising impacts of locally integrated and organic fertilization compared to chemical fertilizers. Exp. Agric. 2016, 52, 1–17. [Google Scholar] [CrossRef]
- Zougmore, R.; Ouattara, K.; Mando, A.; Ouattara, B. Rôle des nutriments dans le succès des techniques de conservation des eaux et des sols (cordons pierreux, bandes enherbées, zaï et demi-lune) au Burkina Faso. Sécheresse 2004, 15, 41–48. [Google Scholar]
- Amorim, A.V.; Garruti, D.S.; de Lacerda, C.F.; Moura, C.F.H.; Filho, E.G. Postharvest and sensory quality of pineapples grown under micronutrients doses and two types of mulching. Afr. J. Agric. Res. 2013, 8, 2240–2248. [Google Scholar]
- Liu, C.; Liu, Y.; Yi, G. Effects of Film Mulching on Aroma Components of Pineapple Fruits. J. Agric. Sci. 2011, 3, 196–201. [Google Scholar] [CrossRef]
- Liu, C.H.; Liu, Y.; Fan, C.; Kuang, S.Z. The effects of composted pineapple residue return on soil properties and the growth and yield of pineapple. J. Soil Sci. Plant Nutr. 2013, 13, 433–444. [Google Scholar] [CrossRef]
- Norman, J.C. Effects of mulching and nitrogen fertilization on “sugarloaf” pineapple, Ananas comosus (L.) Merr. Den Trop. Subtrop. 1986, 87, 47–53. [Google Scholar]
- Ahmed, O.H.; Husni, M.H.A. Exploring the nature of the relationships among total, extractable and solution phosphorus in cultivated organic soils. Int. J. Agric. Res. 2010, 5, 746–756. [Google Scholar]
- Heard, J.; Cavers, C.; Adrian, G. Up in Smoke—Nutrient Loss with Straw Burning. Better Crops 2006, 90, 10–11. [Google Scholar]
- Sossa, E.L.; Amadji, G.L.; Vissoh, P.V.; Hounsou, B.M.; Agbossou, K.E.; Hounhouigan, D.J. Caractérisation des systèmes de culture d’ananas (Ananas comosus (L.) Merrill) sur le plateau d’Allada au Sud-Bénin. Int. J. Chem. Biol. Sci. 2014, 8, 1030–1038. [Google Scholar] [CrossRef]
- Codex Alimentarius. Codex Standard for Pineapples; CODEX STAN 182-1993 2005; FAO-WHO: Rome, Italy; p. 5.
- Sossa, E.L.; Amadji, G.L.; Aholoukpè, N.S.H.; Hounsou, B.M.; Agbossou, K.E.; Hounhouigan, D.J. Change in a ferralsol physico-chemical properties under pineapple cropping system in southern of Benin. J. Appl. Biosci. 2015, 91, 8559–8569. [Google Scholar] [CrossRef]
- Scohier, P.; Texido, R.A. Agriculture en Afrique Tropical; Raemaekers, H.R., Ed.; Direction Générale de la Coopération Internationale: Ministère des Affaires Etrangères, du Commerce Exterieur et de la Cooperation Internationale: Brussels, Belgique, 2001; p. 1634. [Google Scholar]
- Soler, A. L’ananas: Critères de Qualité; CIRAD-IRFA: Paris, France, 1992; p. 48. [Google Scholar]
- Mestres, C.; Rouau, X. Influence of natural fermentation and drying conditions on the physicochemical characteristics of cassava starch. J. Sci. Food Agric. 1997, 74, 147–155. [Google Scholar] [CrossRef]
- Watts, B.M.; Ylimaki, G.L.; Jeffery, L.E.; Elias, L.G. Méthodes de Base pour l'Evaluation Sensorielle des Aliments; CRDI: Ottawa, ON, Canada, 1991; p. 159. [Google Scholar]
- R Core Team. A Language and Environment for Statistical Computing; R Foundation for Statistical Computing: Vienna, Austria, 2015; Available online: https://www.R-project.org/ (accessed on 15 January 2015).
- Fernandez, G.C. Residual analysis and data transformations: Important tools in statistical analysis. HortScience 1992, 27, 297–300. [Google Scholar]
- Shapiro, S.S.; Wilk, M.B. An analysis of variance test for normality (complete samples). Biometrika 1965, 52, 591–611. [Google Scholar] [CrossRef]
- Snedecor, G.W.; Cochran, W.G. Statistical Methods Applied to Experiments in Agriculture and Biology; The Iowa State College Press: Ames, LA, USA, 1956; p. 250. [Google Scholar]
- Gomez, K.A.; Gomez, A.A. Statistical Procedures for Agricultural Research, 2nd ed.; John Wiley and Sons: New York, NY, USA, 1984; p. 300. [Google Scholar]
- Agbangba, C.E.; Dagbenonbakin, G.D.; Djogbénou, C.P.; Houssou, P.; Assea, D.E.; Sossa, E.L.; Kotomalè, U.A.; Ahotonou, P.; Ndiaga, C.; Akpo, L.E. Influence de la fertilisation minérale sur la qualité physico-chimique et organoleptique du jus d’ananas Cayenne lisse au Bénin. Int. J. Biol. Chem. Sci. 2015, 9, 1277–1288. [Google Scholar] [CrossRef]
- Husson, F.; Lê, S.; Pagês, G. Exploratory Multivariate Analysis by Exemple Using R; CRC Press, Taylor and Françis Group: New York, NY, USA, 2010; p. 205. [Google Scholar]
- Morineau, A. Note sur la Caractérisation Statistique d'une Classe et les Valeurs-tests. Bull. Tech. Cent. Stat. d'Inform. Appl. 1984, 2, 20–27. [Google Scholar]
- Breusch, T.; Pagan, A. Simple test for heteroscedasticity and random coefficient variation. Econom. Soc. 1979, 47, 1287–1294. [Google Scholar] [CrossRef]
- Durbin, J.; Watson, G.S. Testing for Serial Correlation in Least Squares Regression. Biometrika 1950, 37, 409–428. [Google Scholar] [CrossRef] [PubMed]
- Ramsey, J.B. Tests for Specification Errors in Classical Linear Least Squares Regression Analysis. J. R. Stat. Soc. Ser. B 1969, 31, 350–371. [Google Scholar]
- Omotoso, S.O.; Akinrinde, E.A. Effect of nitrogen fertilizer on some growth, yield and fruit quality parameters in pineapple (Ananas comosus L. Merr.) plant at Ado-Ekiti Southwestern, Nigeria. Int. Res. J. Agric. Sci. Soil Sci. 2013, 3, 11–16. [Google Scholar]
- Fassinou, H.V.N.; Lommen, W.J.M.; Agbossou, E.K.; Struik, P.C. Heterogeneity in pineapple fruit quality within crops results from plant heterogeneity at flower induction. Front. Plant Sci. 2014, 5, 670. [Google Scholar]
- Eusufzai, M.K.; Fujii, K.; Iiyama, I. Decomposition of Surface Applied and Buried Residue Biomass. Geol. Soc. Am. Abstr. Programs 2008, 40, 358. [Google Scholar]
- Ching, H.Y.; Ahmed, O.H.; Kassim, S.; Ab Majid, N.M. Co-composting of pineapple leaves and chicken manure slurry. Int. J. Recycl. Org. Waste Agric. 2013, 2, 23. [Google Scholar] [CrossRef]
- Teixeira, L.; Quaggio, J.; Cantarella, H.; Mellis, E. Potassium fertilization for pineapple: Effects on plant growth and fruit yield. Rev. Bras. Frutic. Jaboticabal-SP 2011, 33, 618–626. [Google Scholar] [CrossRef]
- Hanafi, M.M.; Selamat, M.M.; Husni, M.H.A.; Adzemi, M.A. Dry matter and nutrient partitioning of selected pineapple cultivars grown on mineral and tropical peat soils. Commun. Soil Sci. Plant Anal. 2009, 40, 3263–3280. [Google Scholar] [CrossRef]








| Characteristics | Classes | V. test | Mean | Probability |
|---|---|---|---|---|
| Juice yield | 1 | 3.15 | 0.69 ± 0.09 | 0.002 |
| Fruit Weight | 3 | 1.43 ± 0.17 | 0.003 | |
| pH | 2.42 | 4.27 ± 0.08 | 0.015 | |
| Glucose | 2.36 | 14.91 ± 1.45 | 0.018 | |
| TSS | 2.08 | 16.29 ± 0.53 | 0.037 | |
| Raffinose | −2.29 | 0.2 ± 0.01 | 0.022 | |
| Raffinose | 2 | 2.35 | 0.27 ± 0.04 | 0.02 |
| Juice volume | −2.06 | 0.46 ± 0.06 | 0.04 | |
| Aroma | 3 | −2.77 | 1.64 ± 0.00 | 0.00 |
| Acid taste | 4 | 2.05 | 1.61 ± 0.13 | 0.04 |
| Sucrose | −2.14 | 74.81 ± 6.04 | 0.03 | |
| TSS | −2.39 | 14.33 ± 0.75 | 0.01 | |
| Sweet taste | −3.00 | 3.09 ± 0.27 | 0.00 |
© 2017 by the authors. Licensee MDPI, Basel, Switzerland. This article is an open access article distributed under the terms and conditions of the Creative Commons Attribution (CC BY) license (http://creativecommons.org/licenses/by/4.0/).
Share and Cite
SOSSA, E.L.; AGBANGBA, C.E.; ACCALOGOUN, S.G.G.S.; AMADJI, G.L.; AGBOSSOU, K.E.; HOUNHOUIGAN, D.J. Residues Management Practices and Nitrogen-Potassium Fertilization Influence on the Quality of Pineapple (Ananas comosus (L.) Merrill) Sugarloaf Fruit for Exportation and Local Consumption. Agronomy 2017, 7, 26. https://doi.org/10.3390/agronomy7020026
SOSSA EL, AGBANGBA CE, ACCALOGOUN SGGS, AMADJI GL, AGBOSSOU KE, HOUNHOUIGAN DJ. Residues Management Practices and Nitrogen-Potassium Fertilization Influence on the Quality of Pineapple (Ananas comosus (L.) Merrill) Sugarloaf Fruit for Exportation and Local Consumption. Agronomy. 2017; 7(2):26. https://doi.org/10.3390/agronomy7020026
Chicago/Turabian StyleSOSSA, Elvire Line, Codjo Emile AGBANGBA, Sènan Gbèmawonmèdé Gwladys Stéfania ACCALOGOUN, Guillaume Lucien AMADJI, Kossi Euloge AGBOSSOU, and Djidjoho Joseph HOUNHOUIGAN. 2017. "Residues Management Practices and Nitrogen-Potassium Fertilization Influence on the Quality of Pineapple (Ananas comosus (L.) Merrill) Sugarloaf Fruit for Exportation and Local Consumption" Agronomy 7, no. 2: 26. https://doi.org/10.3390/agronomy7020026
APA StyleSOSSA, E. L., AGBANGBA, C. E., ACCALOGOUN, S. G. G. S., AMADJI, G. L., AGBOSSOU, K. E., & HOUNHOUIGAN, D. J. (2017). Residues Management Practices and Nitrogen-Potassium Fertilization Influence on the Quality of Pineapple (Ananas comosus (L.) Merrill) Sugarloaf Fruit for Exportation and Local Consumption. Agronomy, 7(2), 26. https://doi.org/10.3390/agronomy7020026
