Serial Dilution and EDTA Extraction Indicate Probable Phosphorus Minerals in Dairy, Goat, Swine, and Poultry Manure
Abstract
1. Introduction
2. Materials and Methods
2.1. Manure Collection and Chemical Analysis
2.2. Serial and EDTA Extraction of Manure Minerals
2.3. Chemical Equilibrium Modeling
2.4. Statistical Analysis
3. Results and Discussion
3.1. Solution pH and Ionic Strength
3.2. Manure P Extracted in Water Solutions
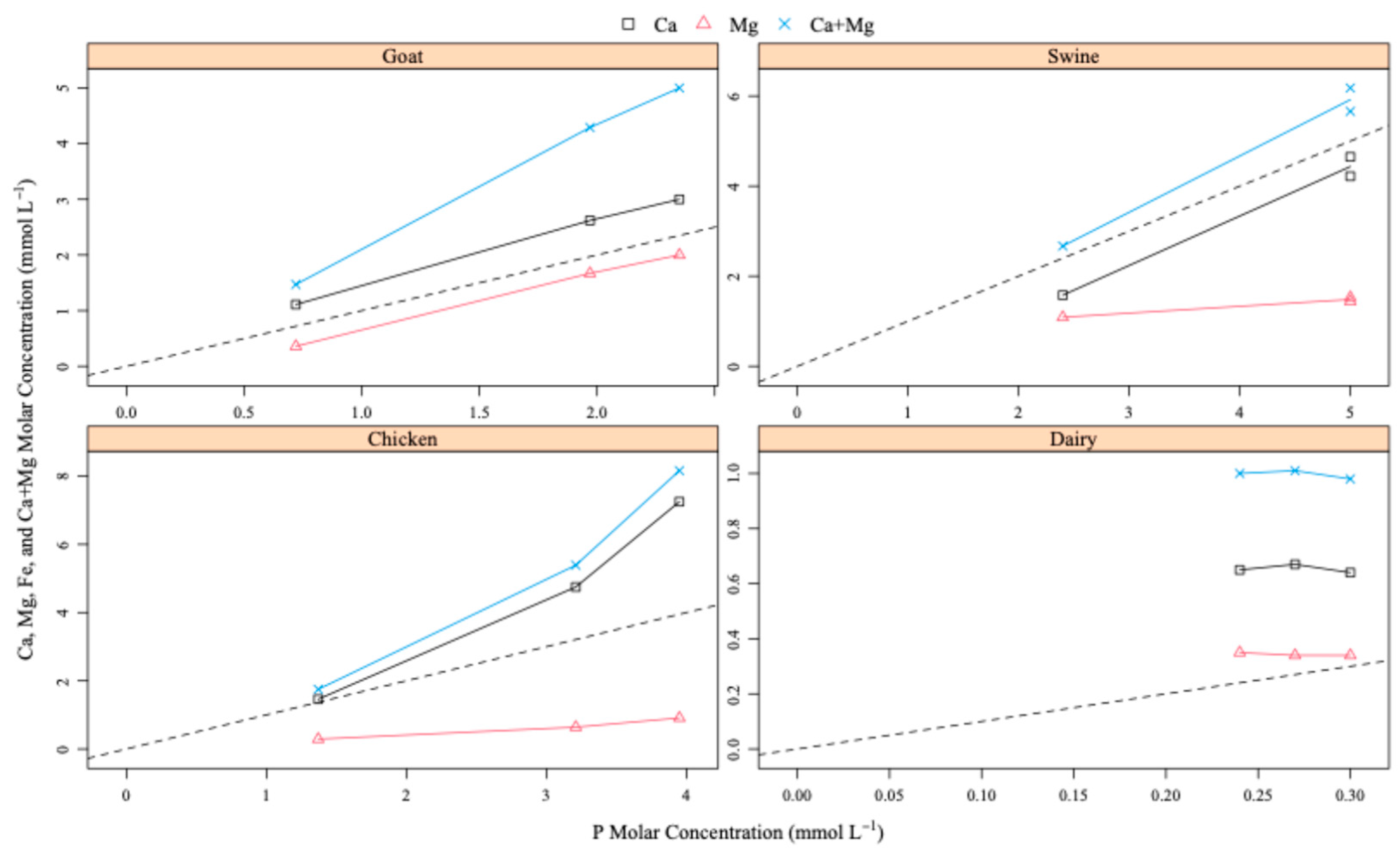
3.3. Ionic Composition of Water Extracts of Manure
3.4. Probable Solid Phases Controlling P Solubility in Water Extracts
3.5. Manure P Extracted in EDTA Solutions and Probable Solid Phases
3.6. Effects of Using ICP-P or Molybdate Blue-P on SI
4. Conclusions
Author Contributions
Funding
Data Availability Statement
Conflicts of Interest
References
- Pagliari, P.H.; Laboski, C.A.M. Investigation of the inorganic and organic phosphorus forms in animal manure. J. Environ. Qual. 2012, 41, 901–910. [Google Scholar] [CrossRef] [PubMed]
- Pagliari, P.; Laboski, C.A.M. Dairy manure treatment effects on manure phosphorus fractionation and changes in soil test phosphorus. Biol. Fertil. Soils 2013, 49, 987–999. [Google Scholar] [CrossRef]
- Pagliari, P.; Laboski, C.A.M. Effects of Manure Inorganic and Enzymatically Hydrolyzable Phosphorus on Soil Test Phosphorus. Soil. Sci. Soc. Am. J. 2014, 78, 1301–1309. [Google Scholar] [CrossRef]
- Waldrip, H.M.; Pagliari, P.H.; He, Z.; Harmel, R.D.; Cole, N.A.; Zhang, M. Legacy phosphorus in calcareous soils: Effects of long-term poultry litter application. Soil Sci. Soc. Am. J. 2015, 79, 1601–1614. [Google Scholar] [CrossRef]
- Pagliari, P.H. Variety and solubility of phosphorus forms in animal manure and their effects on soil test phosphorus. In Applied Manure and Nutrient Chemistry for Sustainable Agriculture and Environment; He, Z., Zhang, H., Eds.; Springer: Dordrecht, The Netherlands, 2014; pp. 141–161. [Google Scholar]
- Fordham, A.W.; Schwertmann, U. Composition and reactions of liquid manure (Gülle), with particular reference to phosphate: II. Solid phase components 1. J. Environ. Qual. 1977, 6, 136–140. [Google Scholar] [CrossRef]
- Bril, J.; Salomons, W. Chemical composition of animal manure: A modelling approach. Neth. J. Agric. Sci. 1990, 38, 333–349. [Google Scholar] [CrossRef]
- Leinweber, P.; Haumaier, L.; Zech, W. Sequential extractions and 31P-NMR spectroscopy of phosphorus forms in animal manures, whole soils and particle-size separates from a densely populated livestock area in northwest Germany. Biol. Fertil. Soils 1997, 25, 89–94. [Google Scholar] [CrossRef]
- Cooperband, L.R.; Good, L.W. Biogenic phosphate minerals in manure: Implications for phosphorus loss to surface waters. Environ. Sci. Technol. 2002, 36, 5075–5082. [Google Scholar] [CrossRef]
- Güngör, K.; Karthikeyan, K.G. Probable phosphorus solid phases and their stability in anaerobically digested dairy manure. Trans. ASAE 2005, 48, 1509–1520. [Google Scholar] [CrossRef]
- Toor, G.S.; Peak, J.D.; Sims, J.T. Phosphorus speciation in broiler litter and turkey manure produced from modified diets. J. Environ. Qual. 2005, 34, 687–697. [Google Scholar] [CrossRef]
- Ajiboye, B.; Akinremi, O.O.; Hu, Y.; Flaten, D.N. Phosphorus speciation of sequential extracts of organic amendments using nuclear magnetic resonance and X-ray absorption near-edge structure spectroscopies. J. Environ. Qual. 2007, 36, 1563–1576. [Google Scholar] [CrossRef] [PubMed]
- He, Z.; Senwo, Z.S.; Mankolo, R.N.; Honeycutt, C.W. Phosphorus fractions in poultry litter characterized by sequential fraction coupled with phosphate hydrolysis. J. Food Agric. Environ. 2006, 4, 304–312. [Google Scholar]
- Güngör, K.; Jürgensen, A.; Karthikeyan, K.G. Determination of phosphorus speciation in dairy manure using XRD and XANES spectroscopy. J. Environ. Qual. 2007, 36, 1856–1863. [Google Scholar] [CrossRef]
- McDowell, R.W.; Stewart, I. Phosphorus in fresh and dry dung of grazing dairy cattle, deer, and sheep: Sequential fraction and phosphorus-31 nuclear magnetic resonance analyses. J. Environ. Qual. 2005, 34, 598–607. [Google Scholar] [CrossRef]
- Peters, J.B.; Combs, S.; Hoskins, B.; Jarman, J.; Kovar, J.; Watson, M.; Wolf, A.; Wolf, N. Recommended Methods of Manure Analysis; UWEX Pub. no. A3769; University of Wisconsin-Extension: Madison, WI, USA, 2003. [Google Scholar]
- He, Z.; Honeycutt, C.W. A modified molybdenum blue method for orthophosphate determination suitable for investigating enzymatic hydrolysis of organic phosphates. Commun. Soil Sci. Plant Anal. 2005, 36, 1373–1383. [Google Scholar] [CrossRef]
- Buchanan, J.R.; Mote, C.R.; Robinson, R.B. Struvite control by chemical treatment. Trans. ASAE 1994, 37, 1301–1308. [Google Scholar] [CrossRef]
- Miles, A.; Ellis, T.G. Struvite precipitation potential for nutrient recovery from anaerobically treated wastes. Water Sci. Technol. 2001, 43, 259–266. [Google Scholar] [CrossRef]
- Çelen, I.; Buchanan, J.R.; Burns, R.T.; Robinson, R.B.; Raman, D.R. Using a chemical equilibrium model to predict amendments required to precipitate phosphorus as struvite in liquid swine manure. Water Res. 2007, 41, 1689–1696. [Google Scholar] [CrossRef] [PubMed]
- Buchanan, J.R.; Mote, C.R.; Robinson, R.B. Thermodynamics of struvite formation. Trans. ASAE 1994, 37, 617–621. [Google Scholar] [CrossRef]
- Snoeyink, V.L.; Jenkins, J. Water Chemistry; John Wiley and Sons: New York, NY, USA, 1980. [Google Scholar]
- Meyer, J.L.; Eanes, E.D. A thermodynamic analysis of the amorphous to crystalline calcium phosphate transformation. Calcif. Tissue Int. 1978, 25, 59–68. [Google Scholar] [CrossRef]
- Meyer, J.L.; Eanes, E.D. A thermodynamic analysis of the secondary transition in the spontaneous precipitation of calcium phosphate. Calcif. Tissue Int. 1978, 25, 209–216. [Google Scholar] [CrossRef] [PubMed]
- SAS Institute. SAS 9.4; SAS Institute: Cary, NC, USA, 2025. [Google Scholar]
- Liu, J.; Spargo, J.T.; Kleinman, P.J.; Meinen, R.; Moore, P.A., Jr.; Beegle, D.B. Water-extractable phosphorus in animal manure and manure compost: Quantities, characteristics, and temporal changes. J. Environ. Qual. 2018, 47, 471–479. [Google Scholar] [CrossRef] [PubMed]
- Wang, Y.; Zhang, T.; Akinremi, O.O.; Bittman, S.; Brown, C.; Hao, X.; Hunt, D.; Li, S.; Tan, C.S.; Ziadi, N. Phosphorus characteristics of Canada-wide animal manures and implications for sustainable manure management with a cleaner environment. Sci. Total Environ. 2022, 845, 157200. [Google Scholar] [CrossRef] [PubMed]
- Wagner, E.; Karthikeyan, K.G. Precipitating phosphorus as struvite from anaerobically-digested dairy manure. J. Clean. Prod. 2022, 339, 130675. [Google Scholar] [CrossRef]
- Babic-Ivancic, V.; Kontrec, J.; Kralj, D.; Brecevic, L. Precipitation diagrams of struvite and dissolution kinetics of different struvite morphologies. Croat. Chem. Acta 2002, 75, 89–106. [Google Scholar]
- Doyle, J.D.; Oldring, K.; Churchley, J.; Price, C.; Parsons, S.A. Chemical control of struvite precipitation. J. Envir. Engrg. 2003, 129, 419–426. [Google Scholar] [CrossRef]
- Taylor, A.W.; Frazier, A.W.; Gurney, E.L.; Smith, J.P. Solubility products of di- and trimagnesium phosphates and the dissociation of magnesium phosphate solutions. Trans. Faraday Soc. 1963, 59, 1580–1584. [Google Scholar] [CrossRef]
- Studnicka, J.S.; Bundy, L.G.; Andraski, T.W.; Good, L.W.; Powell, J.M. Measuring water-extractable phosphorus in manures to predict phosphorus concentrations in runoff. Commun. Soil Sci. Plant Anal. 2011, 42, 1071–1084. [Google Scholar] [CrossRef]
- Pizzeghello, D.; Berti, A.; Nardi, S.; Morari, F. Phosphorus forms and P-sorption properties in three alkaline soils after long-term mineral and manure applications in north-eastern Italy. Agric. Ecosyst. Environ. 2011, 141, 58–66. [Google Scholar] [CrossRef]
- Bundy, L.G.; Studnicka, J.S.; Powell, J.M. Manure Handling and Extraction Procedure Effects on Determination of Water-Extractable Phosphorus in Manures; 2004 Agronomy Abstracts; ASA: Madison, WI, USA, 2004. [Google Scholar]
- Güngör, K.; Karthikeyan, K.G. Phosphorus forms and extractability in dairy manure: A case study for Wisconsin on-farm anaerobic digesters. Bioresour. Technol. 2008, 99, 425–436. [Google Scholar] [CrossRef]
- He, Z.; Honeycutt, C.W.; Griffin, T.S. Enzymatic hydrolysis of organic phosphorus in extracts and resuspensions of swine manure and cattle manure. Biol. Fertil. Soils 2003, 38, 78–83. [Google Scholar] [CrossRef]
- Maguire, R.O.; Sims, J.T.; Saylor, W.W.; Turner, B.L.; Angel, R.; Applegate, T.J. Influence of phytase addition to poultry diets on phosphorus forms and solubility in litters and amended soils. J. Environ. Qual. 2004, 33, 2306–2316. [Google Scholar] [CrossRef]
- Do Nascimento, C.A.; Pagliari, P.H.; Schmitt, D.; He, Z.; Waldrip, H. Phosphorus concentrations in sequentially fractionated soil samples as affected by digestion methods. Sci. Rep. 2015, 5, 17967. [Google Scholar] [CrossRef] [PubMed]
- Boerth, T.J. Enzymatic Hydrolysis of Organic Phosphorus in Soils and Dairy Feces. Ph.D. Thesis, The University of Wisconsin-Madison, Madison, WI, USA, 2003. [Google Scholar]
- He, Z.; Waldrip, H.; Honeycutt, C.W.; Erich, M.S.; Senwo, Z. Enzymatic quantification of phytate in animal manure. Commun. Soil Sci. Plant Anal. 2009, 40, 566–575. [Google Scholar] [CrossRef]









| Manure | DM | N | P | Ca | Mg | K |
|---|---|---|---|---|---|---|
| g kg−1 | ||||||
| Goat | 297 | 36.0 | 13.1 | 21.5 | 7.5 | 32.7 |
| Dairy | 73 | 31.0 | 8.0 | 26.9 | 6.7 | 62.4 |
| Swine | 229 | 37.0 | 31.4 | 39.5 | 7.6 | 17.7 |
| Chicken | 232 | 41.0 | 23.9 | 28.3 | 3.1 | 28.8 |
Disclaimer/Publisher’s Note: The statements, opinions and data contained in all publications are solely those of the individual author(s) and contributor(s) and not of MDPI and/or the editor(s). MDPI and/or the editor(s) disclaim responsibility for any injury to people or property resulting from any ideas, methods, instructions or products referred to in the content. |
© 2025 by the authors. Licensee MDPI, Basel, Switzerland. This article is an open access article distributed under the terms and conditions of the Creative Commons Attribution (CC BY) license (https://creativecommons.org/licenses/by/4.0/).
Share and Cite
Pagliari, P.H.; Galindo, F.S. Serial Dilution and EDTA Extraction Indicate Probable Phosphorus Minerals in Dairy, Goat, Swine, and Poultry Manure. Agronomy 2025, 15, 1497. https://doi.org/10.3390/agronomy15071497
Pagliari PH, Galindo FS. Serial Dilution and EDTA Extraction Indicate Probable Phosphorus Minerals in Dairy, Goat, Swine, and Poultry Manure. Agronomy. 2025; 15(7):1497. https://doi.org/10.3390/agronomy15071497
Chicago/Turabian StylePagliari, Paulo H., and Fernando S. Galindo. 2025. "Serial Dilution and EDTA Extraction Indicate Probable Phosphorus Minerals in Dairy, Goat, Swine, and Poultry Manure" Agronomy 15, no. 7: 1497. https://doi.org/10.3390/agronomy15071497
APA StylePagliari, P. H., & Galindo, F. S. (2025). Serial Dilution and EDTA Extraction Indicate Probable Phosphorus Minerals in Dairy, Goat, Swine, and Poultry Manure. Agronomy, 15(7), 1497. https://doi.org/10.3390/agronomy15071497

