Double-Cropping Systems Based on Maize, Sorghum, and Alfalfa: Impact on Nutritive Value and Silage Fermentation Quality
Abstract
1. Introduction
2. Materials and Methods
2.1. Experimental Site
2.2. Soil Sampling
2.3. Crop Selection
2.4. Experimental Design
2.5. Sampling and Analyses
2.5.1. Sample Preparation
2.5.2. Determination of Nutritive Value
2.5.3. Determination of Silage Fermentation Quality
2.6. Statistical Analysis
3. Results
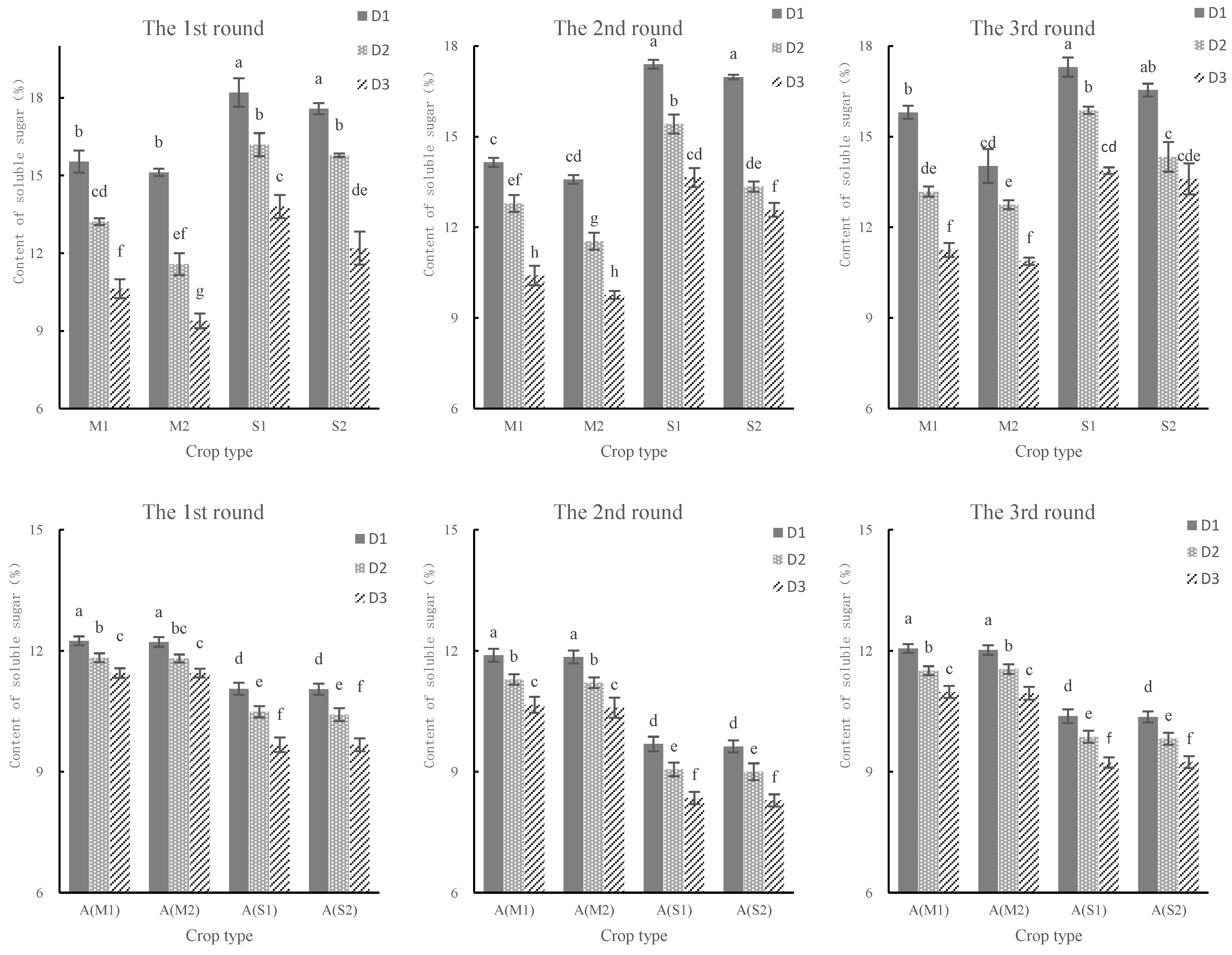
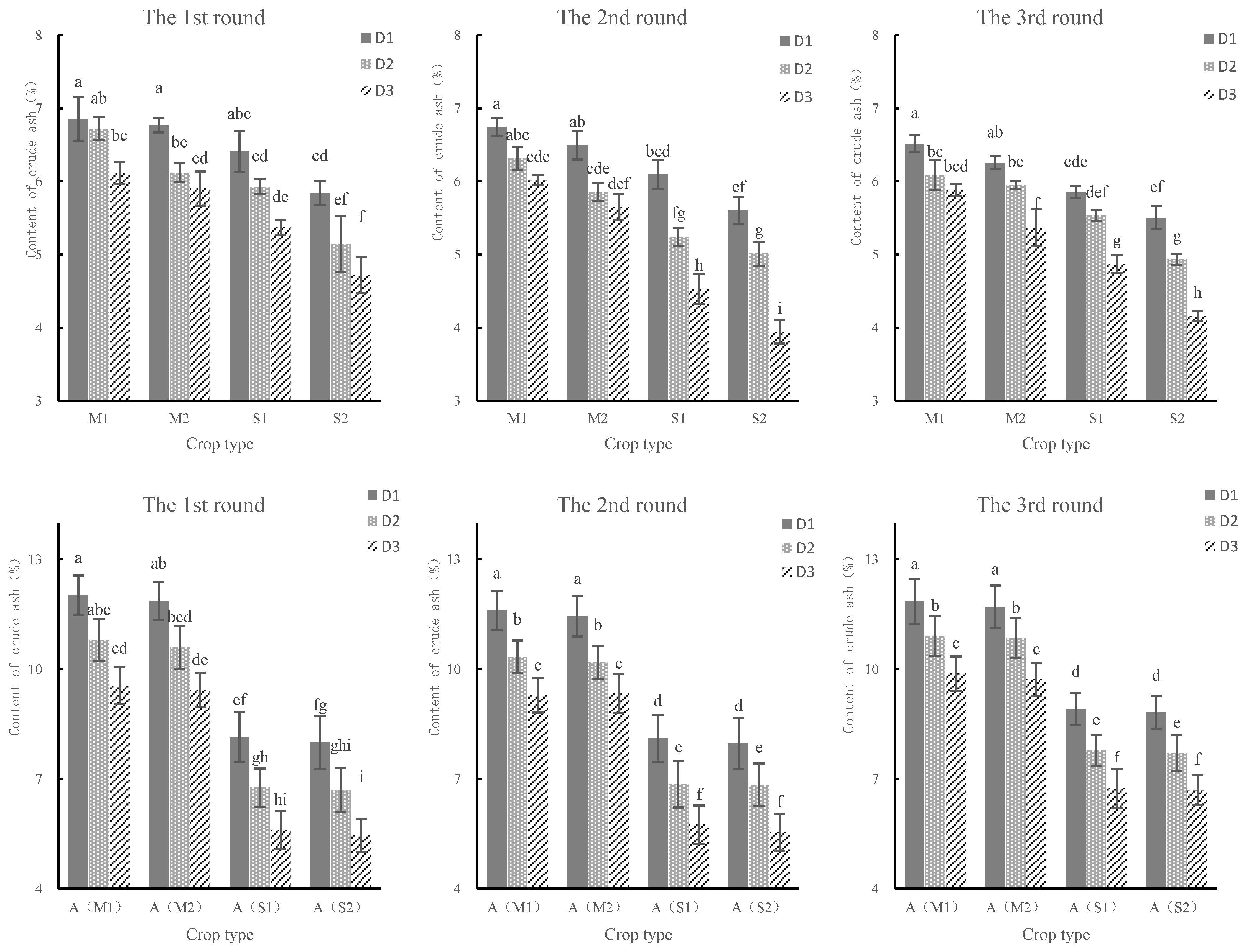
3.1. Nutritive Value Comparison of Two Double-Cropping Systems Including M–A and S–A
3.2. Silage Fermentation Quality Comparison of Two Double-Cropping Systems Including M–A and S–A
4. Discussion
4.1. Nutritive Value Comparison of Two Double-Cropping Systems Including M–A and S–A
4.2. Silage Fermentation Quality Comparison of Two Double-Cropping Systems Including M–A and S–A
4.3. Future Directions for Mechanism Analysis
5. Conclusions
Author Contributions
Funding
Data Availability Statement
Acknowledgments
Conflicts of Interest
References
- Deng, X.; Yue, T.; Liu, Y.; Dong, J.; Sun, Z.; Chen, M.; Shi, W.; Zhang, X.; Zhao, Z.; Yu, Z. Changes in China’s Food Self-Sufficiency Rate in the Context of a Changing Dietary Structure. J. Glob. Inf. Manag. 2022, 30, 298666. [Google Scholar] [CrossRef]
- Zhang, H.; Wang, G.; Liu, J.; Hao, S.; Huang, S. The Influence of Converting Food Crops to Forage Crops Policy Implementation on Herbivorous Livestock Husbandry Development-Based on Policy Pilot Counties in Hebei, China. Agriculture 2022, 12, 1872. [Google Scholar] [CrossRef]
- Liang, X.; Jin, X.; Dou, Y.; Meng, F.; Zhou, Y. Exploring China’s food security evolution from a local perspective. Appl. Geogr. 2024, 172, 103427. [Google Scholar] [CrossRef]
- Jin, S.; Zhang, B.; Wu, B.; Han, D.; Hu, Y.; Ren, C.; Zhang, C.; Wei, X.; Wu, Y.; Mol, A.P.J.; et al. Decoupling livestock and crop production at the household level in China. Nat. Sustain. 2021, 4, 48–55. [Google Scholar] [CrossRef]
- Andrade, J.F.; Poggio, S.L.; Ermacora, M.; Satorre, E.H. Land use intensification in the Rolling Pampa, Argentina: Diversifying crop sequences to increase yields and resource use. Eur. J. Agron. 2017, 82, 1–10. [Google Scholar] [CrossRef]
- Wannasek, L.; Ortner, M.; Kaul, H.-P.; Amon, B.; Amon, T. Double-cropping systems based on rye, maize and sorghum: Impact of variety and harvesting time on biomass and biogas yield. Eur. J. Agron. 2019, 110, 125934. [Google Scholar] [CrossRef]
- Abrahao, G.M.; Costa, M.H. Evolution of rain and photoperiod limitations on the soybean growing season in Brazil: The rise (and possible fall) of double-cropping systems. Agric. For. Meteorol 2018, 256, 32–45. [Google Scholar] [CrossRef]
- Goff, B.M. Double-Cropping Sorghum for Biomass Production; Iowa State University: Ames, IA, USA, 2013. [Google Scholar]
- Grass, R.; Heuser, F.; Stuelpnagel, R.; Piepho, H.-P.; Wachendorf, M. Energy crop production in double-cropping systems: Results from an experiment at seven sites. Eur. J. Agron. 2013, 51, 120–129. [Google Scholar] [CrossRef]
- Patel, S.; Bartel, C.A.; Lenssen, A.W.; Moore, K.J.; Berti, M.T. Stem Density, Productivity, and Weed Community Dynamics in Corn-Alfalfa Intercropping. Agronomy 2021, 11, 1696. [Google Scholar] [CrossRef]
- Uher, D.; Svecnjak, Z.; Macesic, D.; Horvatic, I.; Jares, D. Influence of intercropping sweet sorghum with climbing bean on forage yield and quality. J. Cent. Eur. Agric. 2024, 25, 352–361. [Google Scholar] [CrossRef]
- Yucel, C.; Avci, M.; Kizilsimsek, M.; Hatipoglu, R. Yield and quality of silage from soybean-maize intercropping. Fresenius Environ. Bull. 2020, 29, 874–883. [Google Scholar]
- Zhu, J.Q. Study on the Water Use Characteristic of Different Cropping Patterns and Regional Water Balance; China Agricultural University: Beijing, China, 2010. [Google Scholar]
- Mutsamba, E.F.; Nyagumbo, I.; Mupangwa, W. Forage and maize yields in mixed crop-livestock farming systems Enhancing forage and maize yields in mixed crop-livestock systems under conservation agriculture in sub-humid Zimbabwe. NJAS-Wagening. J. Life Sci. 2020, 92, 100317. [Google Scholar] [CrossRef]
- Mansano Sarto, M.V.; Barbosa Borges, W.L.; Bassegio, D.; Rice, C.; Rosolem, C.A. Maize and sorghum root growth and yield when intercropped with forage grasses. Agron. J. 2021, 113, 4900–4915. [Google Scholar] [CrossRef]
- Brink, G.; Hall, M.; Shewmaker, G.; Undersander, D.; Martin, N.; Walgenbach, R. Changes in Alfalfa Yield and Nutritive Value within Individual Harvest Periods. Agron. J. 2010, 102, 1274–1282. [Google Scholar] [CrossRef]
- Samarappuli, D.; Berti, M.T. Intercropping forage sorghum with maize is a promising alternative to maize silage for biogas production. J. Clean. Prod. 2018, 194, 515–524. [Google Scholar] [CrossRef]
- Zhang, G.; Yang, Z.; Dong, S. Interspecific competitiveness affects the total biomass yield in an alfalfa and corn intercropping system. Field Crops Res. 2011, 124, 66–73. [Google Scholar] [CrossRef]
- Xu, R.X.; Zhao, H.M.; Liu, G.B.; You, Y.L.; Ma, L.; Liu, N.; Zhang, Y.J. Effects of nitrogen and maize plant density on forage yield and nitrogen uptake in an alfalfa-silage maize relay intercropping system in the North China Plain. Field Crops Res. 2021, 263, 108068. [Google Scholar] [CrossRef]
- Schittenhelm, S.; Schroetter, S. Comparison of drought tolerance of maize, sweet sorghum and sorghum-sudangrass hybrids. J. Agron. Crops Sci. 2014, 200, 46–53. [Google Scholar] [CrossRef]
- Zeng, T.; Li, X.; Guan, H.; Yang, W.; Liu, W.; Liu, J.; Du, Z.; Li, X.; Xiao, Q.; Wang, X.; et al. Dynamic microbial diversity and fermentation quality of the mixed silage of corn and soybean grown in strip intercropping system. Bioresour. Technol. 2020, 313, 123655. [Google Scholar] [CrossRef]
- Ferreira, D.d.J.; Neta, C.d.M.C.; Zanine, A.d.M.; Santos, F.N.d.S.; Pereira, D.M.; Campos, F.S.; Parente, H.N.; Parente, M.d.O.M.; Rodrigues, R.C.; Santos, E.M.; et al. Sustainable Production of Forage Sorghum for Grain and Silage Production with Moisture-Retaining Polymers That Mitigate Water Stress. Agronomy 2024, 14, 1653. [Google Scholar] [CrossRef]
- Ji, Z.; Shi, Y.; Jiang, L.; Wang, X.; Zhu, G.; Zhou, G. Double-Cropping Systems Based on Maize, Sorghum, and Alfalfa: Impact of Annual Combination on Biomass and Nutritional Yield. Agronomy 2025, 15, 83. [Google Scholar] [CrossRef]
- Chromy, V.; Vinklarkova, B.; Sprongl, L.; Bittova, M. The Kjeldahl Method as a Primary Reference Procedure for Total Protein in Certified Reference Materials Used in Clinical Chemistry. I. A Review of Kjeldahl Methods Adopted by Laboratory Medicine. Crit. Rev. Anal. Chem. 2015, 45, 106–111. [Google Scholar] [CrossRef] [PubMed]
- Wei, L.L.; Chen, C.R.; Xu, Z.H. The effect of low-molecular-weight organic acids and inorganic phosphorus concentration on the determination of soil phosphorus by the molybdenum blue reaction. Biol. Fertil. Soils 2009, 45, 775–779. [Google Scholar] [CrossRef]
- Sherrod, S.K.; Belnap, J.; Miller, M.E. Comparison of methods for nutrient measurement in calcareous soils: Ion-exchange resin bag, capsule, membrane, and chemical extractions. Soil Sci. 2002, 167, 666–679. [Google Scholar] [CrossRef]
- Beretta, A.; Bassahun, D.; Musselli, R.; Torres, D. Soil pH measurement with reactive paper test medición de pH del suelo con papel reactivo. Agrociencia Urug. 2015, 19, 68–74. [Google Scholar] [CrossRef]
- Leng, F.; Sun, S.; Jing, Y.; Wang, F.; Wei, Q.; Wang, X.; Zhu, X. A rapid and sensitive method for determination of trace amounts of glucose by anthrone-sulfuric acid method. Bulg. Chem. Commun. 2016, 48, 109–113. [Google Scholar]
- Li, P.; Webb, K.A.; Gatlin, D.M., III. Evaluation of acid-insoluble ash as an indicator for digestibility determination with red drum, Sciaenops ocellatus, and hybrid striped bass, Morone chrysops x M-Saxatilis. J. World Aquacult. Soc. 2008, 39, 120–125. [Google Scholar] [CrossRef]
- Ye, H.; Li, K.; Zhang, N.; Jiang, Z.; Zeng, W.; Xia, Y. Atomic Absorption Spectrophotometric Determination of Potassium Content of Soil and Leaf of Camellia oleifera from the Main Producing Areas of Guangxi, China. Asian J. Chem. 2013, 25, 2343–2344. [Google Scholar] [CrossRef]
- Singh, M.; Yadav, P.; Garg, V.K.; Sharma, A.; Singh, B.; Sharma, H. Quantification of minerals and trace elements in raw caprine milk using flame atomic absorption spectrophotometry and flame photometry. J. Food Sci. Technol. 2015, 52, 5299–5304. [Google Scholar] [CrossRef]
- Bernardes, T.F.; Gervasio, J.R.S.; De Morais, G.; Casagrande, D.R. Technical note: A comparison of methods to determine pH in silages. J. Dairy Sci. 2019, 102, 9039–9042. [Google Scholar] [CrossRef]
- Xue, X.; Tian, H.; Zhao, K.; Yu, Y.; Xiao, Z.; Zhuo, C.; Sun, J. Rapid Lactic Acid Content Detection in Secondary Fermentation of Maize Silage Using Colorimetric Sensor Array Combined with Hyperspectral Imaging. Agriculture 2024, 14, 1653. [Google Scholar] [CrossRef]
- Jaekel, A.; Wirtz, M.; Lamotte, S.; Legelli, M. Performance in (Ultra-)high-performance liquid chromatography-How to qualify and optimize instruments in practice. J. Sep. Sci. 2023, 46, 94. [Google Scholar] [CrossRef] [PubMed]
- Saha, U.K.; Sonon, L.; Kissel, D.E. Comparison of Conductimetric and Colorimetric Methods with Distillation-Titration Method of Analyzing Ammonium Nitrogen in Total Kjeldahl Digests. Commun. Soil Sci. Plant. Anal. 2012, 43, 2323–2341. [Google Scholar] [CrossRef]
- Atis, I.; Duru, M.; Konuskan, O.; Gozubenli, H. Effects of plant maturity stage on silage quality of some silage sorghum cultivars. J. Food Agric. Environ. 2013, 11, 534–537. [Google Scholar]
- Karakozak, E.; Ayasan, T. Effect of Inoculant in Silages in Which Different Forage Crops and Their Mixtures on Flieg Point and Crude Nutrient Content. Kafkas Univ. Vet. Fak. Derg. 2010, 16, 987–994. [Google Scholar] [CrossRef]
- Duhatschek, D.; Bell, J.M.; Druetto, D.; Ferraretto, L.F.; Raver, K.; Goeser, J.; Smith, J.K.; Paudyal, S.; Pineiro, J.M. Comparing the nutritional value and the trade-off between sugars and starch of male-sterile with non-sterile sorghum hybrids. J. Anim. Sci. 2023, 101, 487–488. [Google Scholar] [CrossRef]
- dos Reis, C.C.; Henrique, D.S.; Schervinski, E.; Zanela, J.; Constantino, L.V.; Dallo, R. Comparison of techniques for determination of soluble sugars used in feed for ruminant nutrition. Semin. Cienc. Agrar. 2015, 36, 401–408. [Google Scholar]
- Qi, J.; Zhang, S.; Azam, M.; Shaibu, A.S.; Abdelghany, A.M.; Feng, Y.; Huai, Y.; Feng, H.; Liu, Y.; Ma, C.; et al. Profiling seed soluble sugar compositions in 1164 Chinese soybean accessions from major growing ecoregions. Crop J. 2022, 10, 1825–1831. [Google Scholar] [CrossRef]
- Yu, X.; Yuan, F.; Fu, X.; Zhu, D. Profiling and relationship of water-soluble sugar and protein compositions in soybean seeds. Food Chem. 2016, 196, 776–782. [Google Scholar] [CrossRef]
- Wu, L.; Li, M.; Huang, J.; Zhang, H.; Zou, W.; Hu, S.; Li, Y.; Fan, C.; Zhang, R.; Jing, H.; et al. A near infrared spectroscopic assay for stalk soluble sugars, bagasse enzymatic saccharification and wall polymers in sweet sorghum. Bioresour. Technol. 2015, 177, 118–124. [Google Scholar] [CrossRef]
- Emendack, Y.; Burke, J.; Laza, H.; Sanchez, J.; Hayes, C. Abiotic Stress Effects on Sorghum Leaf Dhurrin and Soluble Sugar Contents throughout Plant Development. Crop Sci. 2018, 58, 1706–1716. [Google Scholar] [CrossRef]
- Jebril, J.; Wang, D.; Rozeboom, K.; Tesso, T. The A3 cytoplasm mediated male sterility increased biomass, soluble solids, and total sugar in sweet sorghum hybrids. Ind. Crops Prod. 2021, 171, 113933. [Google Scholar] [CrossRef]
- Oktem, A.; Oktem, A.G. Bioethanol obtained from soluble sugars in sweet sorghum, influencing properties and their interrelationships. Ind. Crops Prod. 2024, 221, 119351. [Google Scholar] [CrossRef]
- Jia, Z.; Zhou, J.; Yang, M.; Wang, M.; Li, L.; Fan, X. Preparation and evaluation of certified reference materials for crude protein, crude fat, and crude ash in feed. Microchem. J. 2023, 191, 108854. [Google Scholar] [CrossRef]
- Quirino, D.F.; Palma, M.N.N.; Franco, M.O.; Detmann, E. Variations in Methods for Quantification of Crude Ash in Animal Feeds. J. AOAC Int. 2022, 106, 6–13. [Google Scholar] [CrossRef]
- Utama, C.S.; Sulistiyanto, B.; Haidar, M.F. The feasibility of Sorghum Sorghum vulgare fodder as poultry feed ingredients seen from growth performance, nutrient content and fiber profile of Sorghum fodder. J. Adv. Vet. Anim. Res. 2023, 10, 222–227. [Google Scholar] [CrossRef]
- Liu, J.; He, Q.; Wu, Y.; Xiao, X.; Sun, W.; Lin, Y.; Yi, R.; Pan, X. The effect of sowing date on the nutritional quality of kernels of various maize varieties in northeast china. Agronomy 2023, 13, 2543. [Google Scholar] [CrossRef]
- Zhang, G.; Dai, E.; Dawaqiongda; Luobu; Fu, G. Effects of Climate Change and Fencing on Forage Nutrition Quality of Alpine Grasslands in the Northern Tibet. Plants 2023, 12, 3182. [Google Scholar] [PubMed]
- sang-Moo, L. A comparison on dry matter yield and feed value of winter forage crops cultivated after rice harvest in the central Inland Region. J. Korean Soc. Grassl. Sci. 2019, 39, 31–38. [Google Scholar]
- Jia, R.; Zhou, J.; Yang, L.; Blagodatskaya, E.; Jones, D.L.; Razavi, B.S.; Yang, Y.; Kuzyakov, Y.; Zeng, Z.; Zang, H. Trade-off between soil enzyme activities and hotspots area depends on long-term fertilization: In situ field zymography. Sci. Total Environ. 2024, 954, 176386. [Google Scholar] [CrossRef]
- Martinez-Morcillo, S.; Barrales, I.; Perez-Lopez, M.; Rodriguez, F.S.; Peinado, J.S.; Miguez-Santiyan, M.P. Mineral and potentially toxic element profiles in the soil-feed-animal continuum: Implications for public, environmental, and livestock health in three pasture-based sheep farming systems. Sci. Total Environ. 2024, 919, 170860. [Google Scholar] [CrossRef] [PubMed]
- Wanchuk, M.R.; McGranahan, D.A.; Sedivec, K.K.; Swanson, K.C.; Hovick, T.J. Prescribed fire increases forage mineral content in grazed rangeland. Int. J. Wildland Fire 2024, 33, WF24009. [Google Scholar] [CrossRef]
- Singh, S.; Gupta, A.K.; Kaur, N. Influence of drought and sowing Time on protein composition, antinutrients, and mineral contents of wheat. Sci. World J. 2012, 2012, 485751. [Google Scholar] [CrossRef]
- Vasyuchkov, I.Y.; Uspenskaya, O.N.; Kolomiets, A.A. Dynamics of the Content of Mineral Elements and Effective Fertility of Alluvial Meadow Soil in Vegetable Crop Rotation. Agrokhimiya 2024, 12, 5–15. [Google Scholar] [CrossRef]
- Suarez-Tapia, A.; Rasmussen, J.; Thomsen, I.K.; Christensen, B.T. Early sowing increases nitrogen uptake and yields of winter wheat grown with cattle slurry or mineral fertilizers. J. Agric. Sci. 2018, 156, 177–187. [Google Scholar] [CrossRef]
- Tenikecier, H.S. Effect of a sowing date on the dry matter yield, tetany ratio, fiber and mineral content of two vetch species (VICIA SP.). J. Elem. 2021, 26, 1011–1024. [Google Scholar] [CrossRef]
- Wadas, W.; Borysiak-Marciniak, I. Selected bionutrient contents in spaghetti squash depending on sowing date and plant spacing. Acta Sci. Pol. Hortorum Cultus 2016, 15, 55–64. [Google Scholar]
- Ghannoum, O.; Conroy, J.P. Phosphorus deficiency inhibits growth in parallel with photosynthesis in a C3 (Panicum laxum) but not two C4 (P. coloratum and Cenchrus ciliaris) grasses. Funct. Plant Biol. 2007, 34, 72–81. [Google Scholar]
- Novais, S.V.; Zenero, M.D.O.; Frade Junior, E.F.; Novais, R.F. Changes in Organic Matter of an Oxisol with the Addition of Soybean and Corn Residues, Nitrogen and Phosphorus. Commun. Soil Sci. Plant Anal. 2018, 49, 1208–1217. [Google Scholar] [CrossRef]
- Choi, N.; Choi, M.; Lee, S.; Jo, C.; Kim, G.; Jeong, Y.; Lee, J.; Na, C. Effects of Ecotypes and Reduced N Fertilization on Root Growth and Aboveground Development of Ratooning Sorghum x Sudangrass Hybrids. Agronomy 2024, 14, 2073. [Google Scholar] [CrossRef]
- Hostetler, A.N.; Tinoco, S.M.d.S.; Sparks, E.E. Root responses to abiotic stress: A comparative look at root system architecture in maize and sorghum. J. Exp. Bot. 2024, 75, 553–562. [Google Scholar] [CrossRef] [PubMed]
- Wu, P.; Tigabu, M.; Ma, X.; Oden, P.C.; He, Y.; Yu, X.; He, Z. Variations in biomass, nutrient contents and nutrient use efficiency among Chinese fir provenances. Silvae Genet. 2011, 60, 95–105. [Google Scholar] [CrossRef]
- Xu, J.; Gao, Z.; Liu, S.; Abou Elwafa, S.F.; Tian, H. A multienvironmental evaluation of the N, P and K use efficiency of a large wheat diversity panel. Field Crops Res. 2022, 286, 108634. [Google Scholar] [CrossRef]
- Kumar, P.R.A.; Channakeshava, B.C.; Siddaraju, R. Effect dates of sowing and cutting time on seed yield and quality of alfalfa (Medicago sativa L.). CV. RL-88. Indian J. Agric. Res. 2017, 51, 493–497. [Google Scholar] [CrossRef][Green Version]
- Esen, S.; Okuyucu, B.; Koc, F.; Ozduven, M.L. Determination of Nutritional Quality and Aerobic Stability of Sorghum, Maize, and Sorghum-Maize Mixture Silages. J. Tekirdag Agric. Fac. Tekirdag Ziraat Fak. Derg. 2022, 19, 61–69. [Google Scholar] [CrossRef]
- Ozkan, S.S. Silage quality traits of sorghum-sudangrass hybrid and sunn hemp mixtures at different ratios in the Mediterranean climate. Emir. J. Food Agric. 2022, 34, 612–619. [Google Scholar]
- Alves, S.P.; Cabrita, A.R.J.; Jeronimo, E.; Bessa, R.J.B.; Fonseca, A.J.M. Effect of ensiling and silage additives on fatty acid composition of ryegrass and corn experimental silages. J. Anim. Sci. 2011, 89, 2537–2545. [Google Scholar] [CrossRef]
- Kumari, N.; Chauhan, N.; Mishra, D.B.; Tyagi, N. Effect of bacterial inoculants and their combination with enzymes and chemical additives on fermentation characteristics and ensiling period of maize silage. Range Manag. Agrofor. 2023, 44, 167–174. [Google Scholar] [CrossRef]
- Yin, X.; Wu, J.; Shen, L.; He, Q.; He, S.; Yuan, M.; Sun, J.; Zhang, J. Additives improve the fermentation quality, anthocyanin content, and biological activity of purple Napier grass silage. J. Sci. Food Agric. 2025, 105, 1126–1137. [Google Scholar] [CrossRef]
- Ni, K.; Wang, X.; Lu, Y.; Guo, L.; Li, X.; Yang, F. Exploring the silage quality of alfalfa ensiled with the residues of astragalus and hawthorn. Bioresour. Technol. 2020, 297, 122249. [Google Scholar] [CrossRef]
- Apajalahti, J.; Siikanen, O.; Nikodinoska, I.; Moran, C. Effect of lactic acid bacteria on silage quality prepared with 2 different forage crops. J. Dairy Sci. 2022, 105, 418. [Google Scholar]
- Xie, Y.; Bao, J.; Li, W.; Sun, Z.; Gao, R.; Wu, Z.; Yu, Z. Effects of Applying Lactic Acid Bacteria and Molasses on the Fermentation Quality, Protein Fractions and In Vitro Digestibility of Baled Alfalfa Silage. Agronomy 2021, 11, 91. [Google Scholar] [CrossRef]
- Guan, M.; Bai, L.; Fu, R.; Han, Y.; Liang, H. Effects of the Type of Lactic Acid Bacteria, Hot-Pressing Temperature, and Moisture Content of Fermented Bamboo Residue on the Properties of Self-bonding Common Particleboards. Bioresources 2023, 18, 3295–3307. [Google Scholar] [CrossRef]
- Kaewpila, C.; Gunun, P.; Kesorn, P.; Subepang, S.; Thip-uten, S.; Cai, Y.; Pholsen, S.; Cherdthong, A.; Khota, W. Improving ensiling characteristics by adding lactic acid bacteria modifies in vitro digestibility and methane production of forage-sorghum mixture silage. Sci. Rep. 2021, 11, 8049. [Google Scholar] [CrossRef]
- Liu, Q.; Zong, C.; Dong, Z.; Wu, J.; Zhu, J.; Li, J.; Zhang, J.; Shao, T. Effects of cellulolytic lactic acid bacteria on the lignocellulose degradation, sugar profile and lactic acid fermentation of high-moisture alfalfa ensiled in low-temperature seasons. Cellulose 2020, 27, 7955–7965. [Google Scholar] [CrossRef]
- Soares de Jesus, D.L.; Sampaio Rigueira, J.P.; Moncao, F.P.; Alves, W.S.; Almeida Moura, M.M.; Junqueira de Sales, E.C.; Pereira da Silva, M.F.; Ribeiro de Melo, J.A.; dos Santos, A.S.; Rocha Junior, V.R. Nutritive value of sugarcane silages added with increasing levels of acetic acid. Semin. Cienc. Agrar. 2019, 40, 2387–2396. [Google Scholar] [CrossRef]
- Khan, N.; Ali, S.; Zandi, P.; Mehmood, A.; Ullah, S.; Ikram, M.; Ismail, I.; Shahid, M.A.; Babar, A. Roll of sugars, amino acids and organic acids in improving plant abiotic stress tolerance. Pak. J. Bot. 2020, 52, 355–363. [Google Scholar] [CrossRef] [PubMed]
- Atumo, T.T.; Jones, C.S. Varietal differences in yield and nutritional quality of alfalfa (Medicago sativa) accessions during 20 months after planting in Ethiopia. Trop. Grassl. Forrajes Trop. 2021, 9, 89–96. [Google Scholar] [CrossRef]
- Seeno, E.; Naumann, H.; Ates, S. Production and chemical composition of pasture forbs with high bioactive compounds in a low input production system in the Pacific Northwest. Anim. Feed Sci. Technol. 2022, 289, 115324. [Google Scholar] [CrossRef]
- Hou, J.; Nishino, N. Bacterial and Fungal Microbiota of Guinea Grass Silage Shows Various Levels of Acetic Acid Fermentation. Fermentation 2022, 8, 10. [Google Scholar] [CrossRef]
- Osmolovskaya, N.; Vu Viet, D.; Kuchaeva, L. The role of organic acids in heavy metal tolerance in plants. Biol. Commun. 2018, 63, 9–16. [Google Scholar] [CrossRef]
- Yang, J.-l.; Fan, W.; Zheng, S.-j. Mechanisms and regulation of aluminum-induced secretion of organic acid anions from plant roots. J. Zhejiang Univ. Sci. B 2019, 20, 513–527. [Google Scholar] [CrossRef] [PubMed]
- Li, Q.; Zeng, T.; Hu, Y.; Du, Z.; Liu, Y.; Jin, M.; Tahir, M.; Wang, X.; Yang, W.; Yan, Y. Effects of Soybean Density and Sowing Time on the Yield and the Quality of Mixed Silage in Corn-Soybean Strip Intercropping System. Fermentation 2022, 8, 140. [Google Scholar] [CrossRef]
- Lu, X.; Wang, H.; Xiang, Y.; Wang, Q.; Su, T.; Gong, R.; Zhang, H.; Zhu, L.; Li, E.; Abdelghany, A.E. Determination of Nitrogen Application Ratio and Sowing Time for Improving the Future Yield of Double-Harvest Rice in Nanchang Based on the DSSAT-CERES-Rice Model. Agronomy 2022, 12, 3199. [Google Scholar] [CrossRef]
- Ineichen, S.; Seiler, A.B.B.; Wyss, U.; Malisch, C.S.S.; Reidy, B. Ensilibility and protein degradation characteristics of forage from mountain grasslands containing tanniferous species. Grass Forage Sci. 2023, 78, 622–635. [Google Scholar] [CrossRef]
- Abdel-Latif, H.M.R.; Abdel-Tawwab, M.; Dawood, M.A.O.; Menanteau-Ledouble, S.; El-Matbouli, M. Benefits of Dietary Butyric Acid, Sodium Butyrate, and Their Protected Forms in Aquafeeds: A Review. Rev. Fish. Sci. Aquac. 2020, 28, 421–448. [Google Scholar] [CrossRef]
- Pisarcik, M.; Hakl, J.; Hrevusova, Z. Effect of Pythium oligandrum and poly-beta-hydroxy butyric acid application on root growth, forage yield and root diseases of red clover under field conditions. Crop Protect. 2020, 127, 104968. [Google Scholar] [CrossRef]
- Hays, K.E.; Pfaffinger, J.M.; Ryznar, R. The interplay between gut microbiota, short-chain fatty acids, and implications for host health and disease. Gut Microbes 2024, 16, 2393270. [Google Scholar] [CrossRef]
- da Cruz Correa, D.C.; Cardoso, A.d.S.; Ferreira, M.R.; Siniscalchi, D.; de Almeida Goncalves, P.H.; Lumasini, R.N.; Reis, R.A.; Ruggieri, A.C. Ammonia Volatilization, Forage Accumulation, and Nutritive Value of Marandu Palisade Grass Pastures in Different N Sources and Doses. Atmosphere 2021, 12, 1179. [Google Scholar] [CrossRef]
- Plett, D.C.; Ranathunge, K.; Melino, V.J.; Kuya, N.; Uga, Y.; Kronzucker, H.J. The intersection of nitrogen nutrition and water use in plants: New paths toward improved crop productivity. J. Exp. Bot. 2020, 71, 4452–4468. [Google Scholar] [CrossRef]
- Andrighetto, I.; Serva, L.; Gazziero, M.; Tenti, S.; Mirisola, M.; Garbin, E.; Contiero, B.; Grandis, D.; Marchesini, G. Proposal and validation of new indexes to evaluate maize silage fermentative quality in lab-scale ensiling conditions through the use of a receiver operating characteristic analysis. Anim. Feed Sci. Technol. 2018, 242, 31–40. [Google Scholar] [CrossRef]
- Herrera, D.M.; Peixoto, W.M.; de Abreu, J.G.; dos Reis, R.H.P.; de Sousa, F.G.; Balbinot, E.; Klein, V.A.C.; Costa, R.P. Is the Integration between Corn and Grass under Different Sowing Modalities a Viable Alternative for Silage? Animals 2023, 13, 425. [Google Scholar] [CrossRef] [PubMed]
- Golubinova, I.; Serafimov, P.M.; Vasileva, V. Allelopathic activity of rhizosphere soil in alfalfa—Sorghum sp. mixed growing. Indian J. Agric. Sci. 2020, 90, 123–127. [Google Scholar] [CrossRef]
- Mohammadi, G.; Norouzi, Y.; Nosratti, I. The Response of Three Weed Species to Sorghum, Alfalfa and Tobacco Plant Tissues Incorporated into the Soil. Philipp. Agric. Sci. 2016, 99, 105–112. [Google Scholar]




| Treatment | Sowing Date | Crop Type | |
|---|---|---|---|
| Maize/Sorghum | Alfalfa | ||
| 1 | Suitable sowing (D1) | M1 (maize Dongdan 60) | A (alfalfa WL525) |
| 2 | M2 (maize Dongdan 1331) | A (alfalfa WL525) | |
| 3 | S1 (sorghum 1230) | A (alfalfa WL525) | |
| 4 | S2 (sorghum cfsh30) | A (alfalfa WL525) | |
| 5 | Suitable delayed sowing (D2) | M1 (maize Dongdan 60) | A (alfalfa WL525) |
| 6 | M2 (maize Dongdan 1331) | A (alfalfa WL525) | |
| 7 | S1 (sorghum 1230) | A (alfalfa WL525) | |
| 8 | S2 (sorghum cfsh30) | A (alfalfa WL525) | |
| 9 | Late sowing (D3) | M1 (maize Dongdan 60) | A (alfalfa WL525) |
| 10 | M2 (maize Dongdan 1331) | A (alfalfa WL525) | |
| 11 | S1 (sorghum 1230) | A (alfalfa WL525) | |
| 12 | S2 (sorghum cfsh30) | A (alfalfa WL525) | |
| Round | Sowing Date | Crop Type | Calcium (%) | Magnesium (%) | Phosphorus (%) | Potassium (%) |
|---|---|---|---|---|---|---|
| The 1st round | D1 | M1 | 0.43 ± 0.03 def | 0.22 ± 0.02 def | 0.43 ± 0.04 a | 1.88 ± 0.04 a |
| M2 | 0.39 ± 0.01 efg | 0.21 ± 0.02 ef | 0.33 ± 0.03 bc | 1.82 ± 0.04 a | ||
| S1 | 0.6 ± 0.05 a | 0.43 ± 0.04 a | 0.29 ± 0.04 bcde | 1.31 ± 0.06 d | ||
| S2 | 0.52 ± 0.02 abc | 0.33 ± 0.06 bc | 0.26 ± 0.03 cdef | 1.23 ± 0.04 de | ||
| D2 | M1 | 0.39 ± 0.02 efg | 0.2 ± 0.01 ef | 0.35 ± 0.03 ab | 1.82 ± 0.07 a | |
| M2 | 0.34 ± 0.04 fgh | 0.16 ± 0.02 fg | 0.31 ± 0.02 bcd | 1.77 ± 0.03 ab | ||
| S1 | 0.55 ± 0.03 ab | 0.39 ± 0.03 ab | 0.24 ± 0.02 defg | 1.14 ± 0.04 ef | ||
| S2 | 0.48 ± 0.02 bcd | 0.3 ± 0.02 cd | 0.2 ± 0.02 fg | 1.09 ± 0.04 efg | ||
| D3 | M1 | 0.33 ± 0.03 gh | 0.17 ± 0.01 fg | 0.26 ± 0.03 cdef | 1.66 ± 0.04 bc | |
| M2 | 0.27 ± 0.03 h | 0.11 ± 0.02 g | 0.21 ± 0.02 efg | 1.57 ± 0.06 c | ||
| S1 | 0.49 ± 0.03 bcd | 0.32 ± 0.02 bc | 0.18 ± 0.01 g | 1 ± 0.06 fg | ||
| S2 | 0.44 ± 0.04 cde | 0.26 ± 0.04 cde | 0.17 ± 0.02 g | 0.97 ± 0.05 g | ||
| The 2nd round | D1 | M1 | 0.45 ± 0.03 de | 0.25 ± 0.03 ef | 0.48 ± 0.02 a | 1.95 ± 0.02 a |
| M2 | 0.4 ± 0.03 ef | 0.22 ± 0.02 fg | 0.44 ± 0.03 ab | 1.85 ± 0.04 ab | ||
| S1 | 0.64 ± 0.04 a | 0.46 ± 0.03 a | 0.33 ± 0.03 cd | 1.4 ± 0.04 d | ||
| S2 | 0.58 ± 0.02 ab | 0.36 ± 0.03 bc | 0.28 ± 0.04 d | 1.3 ± 0.03 de | ||
| D2 | M1 | 0.4 ± 0.02 ef | 0.2 ± 0.03 fg | 0.39 ± 0.03 bc | 1.85 ± 0.06 ab | |
| M2 | 0.36 ± 0.03 fg | 0.17 ± 0.02 gh | 0.33 ± 0.03 cd | 1.84 ± 0.04 abc | ||
| S1 | 0.59 ± 0.03 ab | 0.43 ± 0.04 ab | 0.28 ± 0.03 d | 1.24 ± 0.04 e | ||
| S2 | 0.53 ± 0.03 bc | 0.32 ± 0.02 cde | 0.25 ± 0.03 de | 1.17 ± 0.05 ef | ||
| D3 | M1 | 0.34 ± 0.02 fg | 0.16 ± 0.02 gh | 0.3 ± 0.02 d | 1.78 ± 0.03 bc | |
| M2 | 0.29 ± 0.01 g | 0.11 ± 0.03 h | 0.28 ± 0.03 d | 1.71 ± 0.02 c | ||
| S1 | 0.52 ± 0.03 bc | 0.34 ± 0.03 cd | 0.26 ± 0.04 de | 1.07 ± 0.08 fg | ||
| S2 | 0.48 ± 0.01 cd | 0.27 ± 0.02 def | 0.18 ± 0.03 e | 0.96 ± 0.06 g | ||
| The 3 rd round | D1 | M1 | 0.47 ± 0.03 cde | 0.25 ± 0.03 def | 0.51 ± 0.02 a | 1.95 ± 0.04 a |
| M2 | 0.43 ± 0.03 def | 0.22 ± 0.02 efg | 0.47 ± 0.01 ab | 1.85 ± 0.04 b | ||
| S1 | 0.64 ± 0.04 a | 0.45 ± 0.03 a | 0.35 ± 0.05 cd | 1.42 ± 0.07 d | ||
| S2 | 0.6 ± 0.03 ab | 0.38 ± 0.02 ab | 0.32 ± 0.03 de | 1.34 ± 0.04 de | ||
| D2 | M1 | 0.4 ± 0.02 ef | 0.2 ± 0.03 fg | 0.45 ± 0.04 ab | 1.85 ± 0.05 b | |
| M2 | 0.37 ± 0.02 fg | 0.17 ± 0.02 fgh | 0.42 ± 0.04 bc | 1.79 ± 0.05 bc | ||
| S1 | 0.58 ± 0.03 ab | 0.41 ± 0.03 ab | 0.31 ± 0.03 de | 1.27 ± 0.06 ef | ||
| S2 | 0.54 ± 0.02 bc | 0.33 ± 0.04 bcd | 0.28 ± 0.04 de | 1.19 ± 0.04 fg | ||
| D3 | M1 | 0.36 ± 0.01 fg | 0.16 ± 0.02 gh | 0.35 ± 0.02 cd | 1.75 ± 0.03 c | |
| M2 | 0.32 ± 0.02 g | 0.11 ± 0.03 h | 0.3 ± 0.04 de | 1.7 ± 0.05 c | ||
| S1 | 0.53 ± 0.03 bc | 0.34 ± 0.04 bc | 0.27 ± 0.02 de | 1.11 ± 0.07 gh | ||
| S2 | 0.48 ± 0.02 cd | 0.29 ± 0.02 cde | 0.24 ± 0.03 e | 1.02 ± 0.05 h |
| Round | Sowing Date | Crop Type | Calcium (%) | Magnesium (%) | Phosphorus (%) | Potassium (%) |
|---|---|---|---|---|---|---|
| The 1st round | D1 | A (M1) | 2.25 ± 0.09 a | 0.35 ± 0.03 a | 0.45 ± 0.03 a | 1.51 ± 0.04 a |
| A (M2) | 2.25 ± 0.12 a | 0.34 ± 0.04 a | 0.44 ± 0.03 a | 1.49 ± 0.05 a | ||
| A (S1) | 1.5 ± 0.08 d | 0.18 ± 0.02 cd | 0.25 ± 0.03 d | 1.11 ± 0.04 d | ||
| A (S2) | 1.49 ± 0.08 d | 0.17 ± 0.02 de | 0.26 ± 0.02 d | 1.12 ± 0.04 d | ||
| D2 | A (M1) | 2.01 ± 0.08 b | 0.26 ± 0.02 b | 0.38 ± 0.01 b | 1.36 ± 0.05 b | |
| A (M2) | 2.03 ± 0.08 b | 0.27 ± 0.03 b | 0.37 ± 0.03 b | 1.36 ± 0.04 b | ||
| A (S1) | 1.27 ± 0.08 e | 0.13 ± 0.01 def | 0.2 ± 0.02 e | 1.01 ± 0.03 e | ||
| A (S2) | 1.27 ± 0.08 e | 0.13 ± 0.02 def | 0.21 ± 0.02 e | 0.99 ± 0.04 e | ||
| D3 | A (M1) | 1.78 ± 0.09 c | 0.24 ± 0.02 b | 0.34 ± 0.03 c | 1.25 ± 0.04 c | |
| A (M2) | 1.77 ± 0.12 c | 0.23 ± 0.02 bc | 0.33 ± 0.03 c | 1.23 ± 0.05 c | ||
| A (S1) | 0.97 ± 0.11 f | 0.11 ± 0.01 f | 0.16 ± 0.02 f | 0.86 ± 0.04 f | ||
| A (S2) | 0.94 ± 0.11 f | 0.12 ± 0.01 ef | 0.16 ± 0.03 f | 0.86 ± 0.06 f | ||
| The 2nd round | D1 | A (M1) | 2.16 ± 0.1 a | 0.38 ± 0.04 a | 0.49 ± 0.03 a | 1.57 ± 0.05 a |
| A (M2) | 2.15 ± 0.09 a | 0.37 ± 0.03 a | 0.44 ± 0.04 ab | 1.56 ± 0.06 a | ||
| A (S1) | 1.35 ± 0.09 d | 0.23 ± 0.01 cd | 0.29 ± 0.02 de | 1.18 ± 0.04 d | ||
| A (S2) | 1.34 ± 0.11 d | 0.23 ± 0.02 de | 0.28 ± 0.02 e | 1.16 ± 0.05 d | ||
| D2 | A (M1) | 1.86 ± 0.09 b | 0.31 ± 0.02 b | 0.39 ± 0.02 bc | 1.42 ± 0.05 b | |
| A (M2) | 1.83 ± 0.1 b | 0.31 ± 0.01 b | 0.38 ± 0.02 c | 1.41 ± 0.04 b | ||
| A (S1) | 1.07 ± 0.11 e | 0.19 ± 0.01 ef | 0.24 ± 0.02 ef | 1.01 ± 0.05 e | ||
| A (S2) | 1.08 ± 0.08 e | 0.18 ± 0.02 fg | 0.24 ± 0.02 ef | 0.98 ± 0.05 e | ||
| D3 | A (M1) | 1.58 ± 0.09 c | 0.27 ± 0.02 bc | 0.35 ± 0.02 c | 1.31 ± 0.04 c | |
| A (M2) | 1.6 ± 0.08 c | 0.27 ± 0.02 cd | 0.34 ± 0.02 cd | 1.31 ± 0.06 c | ||
| A (S1) | 0.76 ± 0.11 f | 0.14 ± 0.02 gh | 0.2 ± 0.02 f | 0.85 ± 0.04 f | ||
| A (S2) | 0.73 ± 0.1 f | 0.13 ± 0.02 h | 0.21 ± 0.02 f | 0.83 ± 0.05 f | ||
| The 3rd round | D1 | A (M1) | 2.05 ± 0.07 a | 0.41 ± 0.03 a | 0.49 ± 0.02 a | 1.56 ± 0.04 a |
| A (M2) | 2.03 ± 0.06 a | 0.39 ± 0.03 a | 0.45 ± 0.04 ab | 1.53 ± 0.06 a | ||
| A (S1) | 1.24 ± 0.07 d | 0.27 ± 0.02 c | 0.32 ± 0.02 d | 1.14 ± 0.04 d | ||
| A (S2) | 1.23 ± 0.09 d | 0.27 ± 0.02 c | 0.31 ± 0.03 d | 1.13 ± 0.04 d | ||
| D2 | A (M1) | 1.82 ± 0.07 b | 0.34 ± 0.02 b | 0.45 ± 0.02 ab | 1.38 ± 0.05 b | |
| A (M2) | 1.79 ± 0.07 b | 0.33 ± 0.02 b | 0.43 ± 0.03 bc | 1.38 ± 0.02 b | ||
| A (S1) | 1 ± 0.09 e | 0.22 ± 0.01 d | 0.28 ± 0.01 de | 0.97 ± 0.05 e | ||
| A (S2) | 0.98 ± 0.09 e | 0.2 ± 0.02 de | 0.28 ± 0.01 de | 0.95 ± 0.05 e | ||
| D3 | A (M1) | 1.52 ± 0.08 c | 0.29 ± 0.01 c | 0.41 ± 0.03 bc | 1.27 ± 0.04 c | |
| A (M2) | 1.5 ± 0.09 c | 0.29 ± 0.02 c | 0.38 ± 0.01 c | 1.27 ± 0.06 c | ||
| A (S1) | 0.73 ± 0.09 f | 0.17 ± 0.01 ef | 0.23 ± 0.02 ef | 0.81 ± 0.03 f | ||
| A (S2) | 0.73 ± 0.1 f | 0.15 ± 0.02 f | 0.22 ± 0.02 f | 0.79 ± 0.05 f |
| Round | Sowing Date | Crop Type | pH | LA (%) | AA (%) | BA (%) | NH3-N (%) | Flieg Score |
|---|---|---|---|---|---|---|---|---|
| The 1st round | D1 | M1 | 3.84 ± 0.04 e | 7.9 ± 0.2 d | 1.9 ± 0.2 cde | 0.01 ± 0.01 g | 8.2 ± 0.2 i | 89.5 |
| M2 | 3.94 ± 0.05 d | 7 ± 0.2 e | 1.8 ± 0.1 def | 0.02 ± 0.01 fg | 8.5 ± 0.2 hi | 88 | ||
| S1 | 3.52 ± 0.05 g | 9.9 ± 0.3 a | 2.5 ± 0.1 a | 0.04 ± 0.01 def | 9 ± 0.2 gh | 85 | ||
| S2 | 3.68 ± 0.04 f | 9.3 ± 0.2 b | 2.3 ± 0.2 ab | 0.03 ± 0.01 efg | 8.8 ± 0.2 hi | 84 | ||
| D2 | M1 | 4.08 ± 0.03 c | 6.6 ± 0.3 ef | 1.7 ± 0.1 defg | 0.05 ± 0.01 cde | 9.6 ± 0.2 fg | 83.5 | |
| M2 | 4.11 ± 0.04 bc | 6.2 ± 0.2 fg | 1.6 ± 0.1 efg | 0.04 ± 0.01 def | 10 ± 0.2 f | 82 | ||
| S1 | 3.74 ± 0.05 ef | 8.9 ± 0.2 bc | 2.2 ± 0.2 abc | 0.06 ± 0.01 bcd | 12.2 ± 0.2 bc | 82 | ||
| S2 | 3.82 ± 0.04 e | 8.4 ± 0.2 cd | 2 ± 0.1 bcd | 0.05 ± 0.01 cde | 11.6 ± 0.3 cd | 81 | ||
| D3 | M1 | 4.34 ± 0.05 a | 5.2 ± 0.3 hi | 1.4 ± 0.2 fgh | 0.06 ± 0.01 abc | 10.7 ± 0.3 e | 79.5 | |
| M2 | 4.43 ± 0.07 a | 4.7 ± 0.2 i | 1.2 ± 0.1 h | 0.05 ± 0.01 cd | 11.3 ± 0.3 de | 77 | ||
| S1 | 4.13 ± 0.05 bc | 5.7 ± 0.3 gh | 1.5 ± 0.1 fgh | 0.08 ± 0.01 a | 12.9 ± 0.4 a | 76 | ||
| S2 | 4.2 ± 0.04 b | 5.4 ± 0.3 h | 1.4 ± 0.1 gh | 0.08 ± 0.01 ab | 12.5 ± 0.3 ab | 73.5 | ||
| The 2nd round | D1 | M1 | 3.75 ± 0.04 g | 8.2 ± 0.2 d | 2.2 ± 0.1 cd | 0.02 ± 0.01 e | 8.4 ± 0.2 i | 88 |
| M2 | 3.79 ± 0.02 g | 7.6 ± 0.3 e | 2 ± 0.1 de | 0.01 ± 0.01 e | 8.8 ± 0.1 hi | 86.5 | ||
| S1 | 3.44 ± 0.06 j | 10.1 ± 0.3 a | 2.7 ± 0.2 a | 0.04 ± 0.01 d | 9.6 ± 0.3 g | 83.5 | ||
| S2 | 3.48 ± 0.03 j | 9.6 ± 0.3 ab | 2.6 ± 0.1 ab | 0.03 ± 0.01 de | 9.1 ± 0.1 h | 83.5 | ||
| D2 | M1 | 3.87 ± 0.02 f | 7.5 ± 0.3 ef | 1.8 ± 0.1 ef | 0.05 ± 0.01 cd | 10.3 ± 0.3 f | 82 | |
| M2 | 3.93 ± 0.03 e | 7 ± 0.2 f | 1.7 ± 0.1 f | 0.04 ± 0.01 d | 10.7 ± 0.3 f | 80.5 | ||
| S1 | 3.57 ± 0.03 i | 9.2 ± 0.2 bc | 2.4 ± 0.1 bc | 0.09 ± 0.01 ab | 12.7 ± 0.3 bc | 81 | ||
| S2 | 3.66 ± 0.02 h | 8.8 ± 0.2 c | 2.3 ± 0.1 c | 0.07 ± 0.01 bc | 12.3 ± 0.3 cd | 79.5 | ||
| D3 | M1 | 4.18 ± 0.03 b | 5.4 ± 0.3 hi | 1.3 ± 0.1 gh | 0.07 ± 0.01 bc | 11.2 ± 0.2 e | 76.5 | |
| M2 | 4.27 ± 0.02 a | 5.1 ± 0.2 i | 1.1 ± 0.1 h | 0.05 ± 0.01 cd | 11.8 ± 0.1 d | 78.5 | ||
| S1 | 4.02 ± 0.03 d | 6.5 ± 0.3 g | 1.6 ± 0.1 fg | 0.1 ± 0.02 a | 13.4 ± 0.4 a | 74.5 | ||
| S2 | 4.11 ± 0.03 c | 5.8 ± 0.2 h | 1.4 ± 0.1 g | 0.09 ± 0.01 ab | 12.9 ± 0.3 ab | 72 | ||
| The 3rd round | D1 | M1 | 3.71 ± 0.02 g | 9.9 ± 0.2 a | 1.8 ± 0.1 de | 0.02 ± 0.01 fg | 8 ± 0.2 h | 87 |
| M2 | 3.76 ± 0.03 g | 9.7 ± 0.2 a | 1.6 ± 0.1 ef | 0.02 ± 0.01 g | 8.4 ± 0.3 h | 85 | ||
| S1 | 3.48 ± 0.04 i | 9.4 ± 0.2 ab | 2.6 ± 0.1 a | 0.04 ± 0.01 def | 9.5 ± 0.2 g | 82 | ||
| S2 | 3.51 ± 0.02 i | 9 ± 0.2 bc | 2.3 ± 0.1 b | 0.03 ± 0.01 efg | 9 ± 0.2 g | 82.5 | ||
| D2 | M1 | 3.85 ± 0.03 f | 8.6 ± 0.2 cd | 1.5 ± 0.1 f | 0.06 ± 0.01 cd | 10.2 ± 0.4 f | 81 | |
| M2 | 3.9 ± 0.01 e | 8.2 ± 0.2 de | 1.2 ± 0.1 g | 0.05 ± 0.01 de | 10.5 ± 0.4 f | 80 | ||
| S1 | 3.58 ± 0.02 h | 7.8 ± 0.2 ef | 2.2 ± 0.1 bc | 0.09 ± 0.01 ab | 12.7 ± 0.2 bc | 80 | ||
| S2 | 3.62 ± 0.02 h | 7.7 ± 0.2 f | 2 ± 0.1 cd | 0.09 ± 0.01 ab | 12.4 ± 0.4 cd | 80.5 | ||
| D3 | M1 | 4.13 ± 0.03 b | 7.3 ± 0.2 fg | 0.8 ± 0.1 i | 0.08 ± 0.01 ab | 11.2 ± 0.2 e | 78 | |
| M2 | 4.19 ± 0.02 a | 7.1 ± 0.2 g | 0.6 ± 0.1 i | 0.07 ± 0.01 bc | 11.9 ± 0.1 d | 76 | ||
| S1 | 3.97 ± 0.03 d | 6.5 ± 0.2 h | 1.1 ± 0.1 gh | 0.1 ± 0.01 a | 13.7 ± 0.3 a | 75 | ||
| S2 | 4.04 ± 0.03 c | 5.7 ± 0.3 i | 0.9 ± 0.1 hi | 0.1 ± 0.01 a | 12.9 ± 0.2 b | 72.5 |
| Round | Sowing Date | Crop Type | pH | LA (%) | AA (%) | BA (%) | NH3-N(%) | Fileg Score |
|---|---|---|---|---|---|---|---|---|
| The 1st round | D1 | A (M1) | 3.71 ± 0.08 f | 5.57 ± 0.24 a | 1.39 ± 0.06 a | 0.01 ± 0.01 f | 3.64 ± 0.35 f | 93 |
| A (M2) | 3.72 ± 0.08 f | 5.53 ± 0.26 a | 1.42 ± 0.07 a | 0.01 ± 0.01 f | 3.55 ± 0.36 f | 92 | ||
| A (S1) | 4.06 ± 0.08 c | 3.44 ± 0.18 d | 0.72 ± 0.05 d | 0.12 ± 0.02 cd | 7.53 ± 0.5 c | 92 | ||
| A (S2) | 4.06 ± 0.11 c | 3.4 ± 0.15 d | 0.7 ± 0.06 d | 0.11 ± 0.02 d | 7.66 ± 0.51 c | 90.5 | ||
| D2 | A (M1) | 3.79 ± 0.07 ef | 4.89 ± 0.18 b | 1.22 ± 0.11 b | 0.04 ± 0.01 f | 4.53 ± 0.39 e | 89.5 | |
| A (M2) | 3.82 ± 0.06 def | 4.9 ± 0.15 b | 1.21 ± 0.07 b | 0.05 ± 0.01 f | 4.48 ± 0.43 e | 88 | ||
| A (S1) | 4.23 ± 0.08 b | 2.88 ± 0.2 e | 0.56 ± 0.05 de | 0.14 ± 0.02 bc | 9.68 ± 0.46 b | 87.5 | ||
| A (S2) | 4.26 ± 0.08 b | 2.86 ± 0.2 e | 0.56 ± 0.06 de | 0.15 ± 0.02 b | 9.59 ± 0.47 b | 86 | ||
| D3 | A (M1) | 3.91 ± 0.06 de | 4.2 ± 0.21 c | 0.95 ± 0.08 c | 0.07 ± 0.02 e | 5.87 ± 0.4 d | 83.5 | |
| A (M2) | 3.94 ± 0.08 cd | 4.21 ± 0.29 c | 0.89 ± 0.06 c | 0.08 ± 0.01 f | 5.94 ± 0.44 d | 82 | ||
| A (S1) | 4.46 ± 0.09 a | 2.31 ± 0.14 f | 0.44 ± 0.04 e | 0.19 ± 0.03 a | 10.86 ± 0.4 a | 80.5 | ||
| A (S2) | 4.45 ± 0.07 a | 2.3 ± 0.19 f | 0.47 ± 0.05 e | 0.18 ± 0.02 a | 10.82 ± 0.4 a | 79.5 | ||
| The 2nd round | D1 | A (M1) | 3.65 ± 0.09 f | 5.83 ± 0.21 a | 1.47 ± 0.06 a | 0.02 ± 0.01 f | 3.97 ± 0.34 f | 92 |
| A (M2) | 3.66 ± 0.09 f | 5.77 ± 0.2 a | 1.45 ± 0.05 a | 0.02 ± 0.01 f | 4.01 ± 0.34 f | 91 | ||
| A (S1) | 4.2 ± 0.08 c | 4.07 ± 0.17 d | 0.89 ± 0.09 d | 0.12 ± 0.01 c | 8.19 ± 0.35 c | 90.5 | ||
| A (S2) | 4.23 ± 0.09 c | 4.08 ± 0.21 d | 0.87 ± 0.06 d | 0.12 ± 0.01 c | 8.03 ± 0.37 c | 91.5 | ||
| D2 | A (M1) | 3.84 ± 0.08 e | 5.17 ± 0.15 b | 1.29 ± 0.08 b | 0.05 ± 0.01 e | 5.26 ± 0.39 e | 90 | |
| A (M2) | 3.84 ± 0.1 e | 5.22 ± 0.16 b | 1.27 ± 0.08 b | 0.06 ± 0.01 e | 5.15 ± 0.38 e | 89.5 | ||
| A (S1) | 4.42 ± 0.09 b | 3.37 ± 0.23 e | 0.68 ± 0.06 e | 0.14 ± 0.01 bc | 9.44 ± 0.49 b | 86 | ||
| A (S2) | 4.45 ± 0.09 b | 3.34 ± 0.24 e | 0.67 ± 0.07 e | 0.15 ± 0.01 b | 9.47 ± 0.38 b | 84 | ||
| D3 | A (M1) | 4.04 ± 0.09 d | 4.68 ± 0.18 c | 1.1 ± 0.06 c | 0.08 ± 0.01 d | 6.74 ± 0.41 d | 82 | |
| A (M2) | 4.04 ± 0.1 d | 4.62 ± 0.18 c | 1.08 ± 0.06 c | 0.09 ± 0.02 d | 6.64 ± 0.48 d | 81.5 | ||
| A (S1) | 4.63 ± 0.08 a | 2.66 ± 0.2 f | 0.51 ± 0.05 f | 0.19 ± 0.01 a | 10.36 ± 0.48 a | 80 | ||
| A (S2) | 4.66 ± 0.08 a | 2.75 ± 0.18 f | 0.52 ± 0.06 f | 0.18 ± 0.02 a | 10.62 ± 0.5 a | 78 | ||
| The 3rd round | D1 | A (M1) | 3.62 ± 0.1 f | 5.74 ± 0.22 a | 1.43 ± 0.06 a | 0.03 ± 0.02 e | 4.46 ± 0.42 f | 91.5 |
| A (M2) | 3.65 ± 0.1 f | 5.69 ± 0.21 a | 1.44 ± 0.07 a | 0.02 ± 0.01 e | 4.42 ± 0.32 f | 90.5 | ||
| A (S1) | 4.22 ± 0.1 c | 3.93 ± 0.18 d | 0.85 ± 0.06 d | 0.13 ± 0.01 c | 8.5 ± 0.48 c | 91 | ||
| A (S2) | 4.25 ± 0.1 c | 3.87 ± 0.16 d | 0.88 ± 0.06 d | 0.13 ± 0.02 c | 8.36 ± 0.49 c | 90 | ||
| D2 | A (M1) | 3.85 ± 0.09 e | 4.95 ± 0.16 b | 1.27 ± 0.05 b | 0.07 ± 0.03 d | 5.59 ± 0.39 e | 88.5 | |
| A (M2) | 3.88 ± 0.09 e | 5.02 ± 0.18 b | 1.26 ± 0.08 b | 0.07 ± 0.02 d | 5.66 ± 0.38 e | 89 | ||
| A (S1) | 4.46 ± 0.1 b | 3.27 ± 0.16 e | 0.68 ± 0.08 e | 0.16 ± 0.01 b | 9.44 ± 0.34 b | 85.5 | ||
| A (S2) | 4.47 ± 0.09 b | 3.35 ± 0.16 e | 0.67 ± 0.08 e | 0.15 ± 0.02 bc | 9.49 ± 0.34 b | 85.5 | ||
| D3 | A (M1) | 4.07 ± 0.08 d | 4.48 ± 0.16 c | 1.05 ± 0.08 c | 0.09 ± 0.01 d | 7.09 ± 0.35 d | 81.5 | |
| A (M2) | 4.05 ± 0.08 d | 4.52 ± 0.16 c | 1.08 ± 0.08 c | 0.09 ± 0.01 d | 7.08 ± 0.39 d | 81 | ||
| A (S1) | 4.68 ± 0.1 a | 2.79 ± 0.15 f | 0.48 ± 0.06 f | 0.2 ± 0.01 a | 10.48 ± 0.45 a | 79.5 | ||
| A (S2) | 4.7 ± 0.08 a | 2.75 ± 0.18 f | 0.51 ± 0.05 f | 0.19 ± 0.02 a | 10.61 ± 0.45 a | 78.5 |
Disclaimer/Publisher’s Note: The statements, opinions and data contained in all publications are solely those of the individual author(s) and contributor(s) and not of MDPI and/or the editor(s). MDPI and/or the editor(s) disclaim responsibility for any injury to people or property resulting from any ideas, methods, instructions or products referred to in the content. |
© 2025 by the authors. Licensee MDPI, Basel, Switzerland. This article is an open access article distributed under the terms and conditions of the Creative Commons Attribution (CC BY) license (https://creativecommons.org/licenses/by/4.0/).
Share and Cite
Ji, Z.; Shi, Y.; Jiang, L.; Wang, X.; Zhu, G.; Zhou, G. Double-Cropping Systems Based on Maize, Sorghum, and Alfalfa: Impact on Nutritive Value and Silage Fermentation Quality. Agronomy 2025, 15, 630. https://doi.org/10.3390/agronomy15030630
Ji Z, Shi Y, Jiang L, Wang X, Zhu G, Zhou G. Double-Cropping Systems Based on Maize, Sorghum, and Alfalfa: Impact on Nutritive Value and Silage Fermentation Quality. Agronomy. 2025; 15(3):630. https://doi.org/10.3390/agronomy15030630
Chicago/Turabian StyleJi, Zhongya, Yu Shi, Liqiu Jiang, Xiaoshan Wang, Guanglong Zhu, and Guisheng Zhou. 2025. "Double-Cropping Systems Based on Maize, Sorghum, and Alfalfa: Impact on Nutritive Value and Silage Fermentation Quality" Agronomy 15, no. 3: 630. https://doi.org/10.3390/agronomy15030630
APA StyleJi, Z., Shi, Y., Jiang, L., Wang, X., Zhu, G., & Zhou, G. (2025). Double-Cropping Systems Based on Maize, Sorghum, and Alfalfa: Impact on Nutritive Value and Silage Fermentation Quality. Agronomy, 15(3), 630. https://doi.org/10.3390/agronomy15030630

