Enhancing Organic Selenium Forms in Alfalfa Forage Through Inorganic Selenium Foliar Application: Insights from Laboratory and Field Studies Using X-Ray Spectroscopy
Abstract
1. Introduction
2. Materials and Methods
2.1. Se-Biofortified Alfalfa at Laboratory Scale
2.2. Application of Se Foliar Treatments
2.3. Gas Exchange Measurements and Chlorophyll Index Determination
2.4. Forage Quality Assessment
2.5. Open-Field Se-Biofortification of Alfalfa
2.6. Determination of Total Selenium, Macro- and Micronutrient Concentration
2.7. Selenium Speciation Analysis by XAS
2.8. Statistical Analysis
3. Results and Discussion
3.1. Se-Biofortified Alfalfa at Laboratory Scale
3.1.1. Physiological Parameters
3.1.2. Effect of Foliar Selenium Application on Yield Parameters and Selenium Content in Alfalfa Plants Grown Under Controlled Conditions
3.1.3. Effects of Selenium on Forage Quality in Alfalfa Plants Grown Under Controlled Conditions
3.1.4. Effects of Selenium on Mineral Elements in Alfalfa Plants Grown Under Controlled Conditions
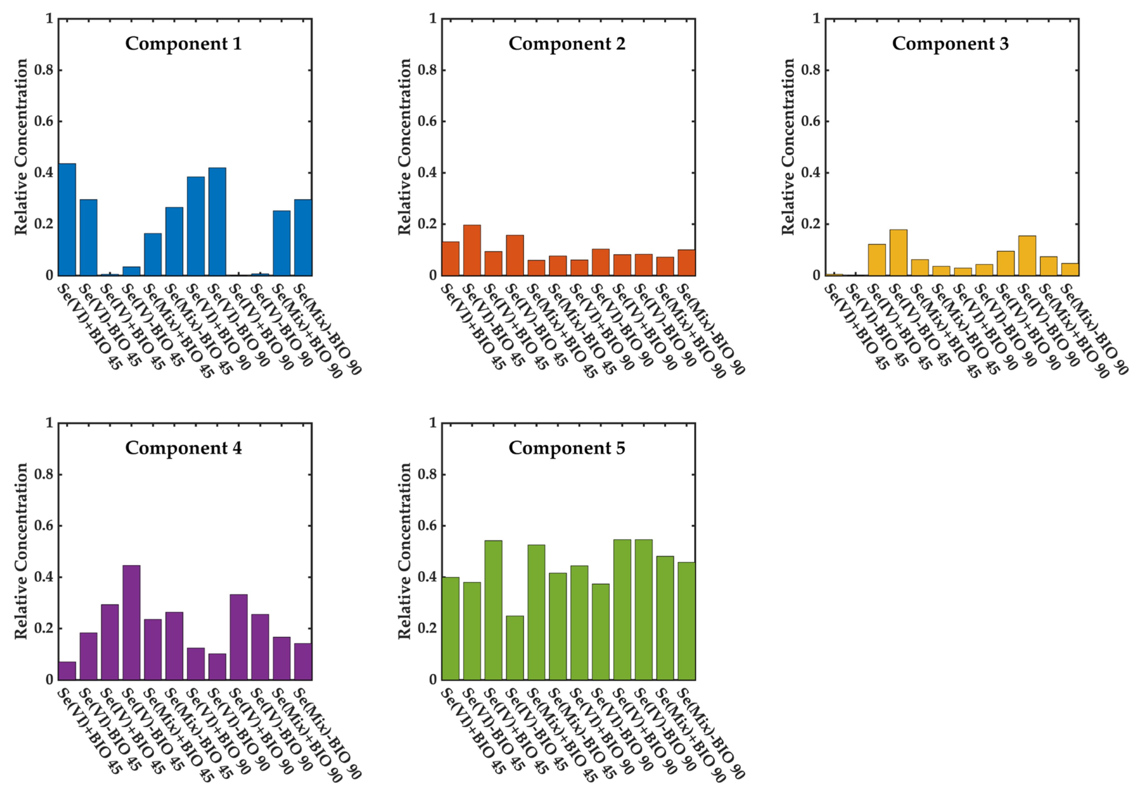
3.1.5. Selenium Speciation Analysis by XAS in Alfalfa Plants Grown Under Controlled Conditions
3.2. Se-Biofortified Alfalfa at Open-Field
3.2.1. Effects of Selenium on Yield and Forage Quality
3.2.2. Effect of Foliar Selenite Application on Selenium Content in Alfalfa Plants Grown Under Open-Field Conditions
3.2.3. Effects of Selenium on Mineral Elements in Alfalfa Plants Grown Under Open-Field Conditions
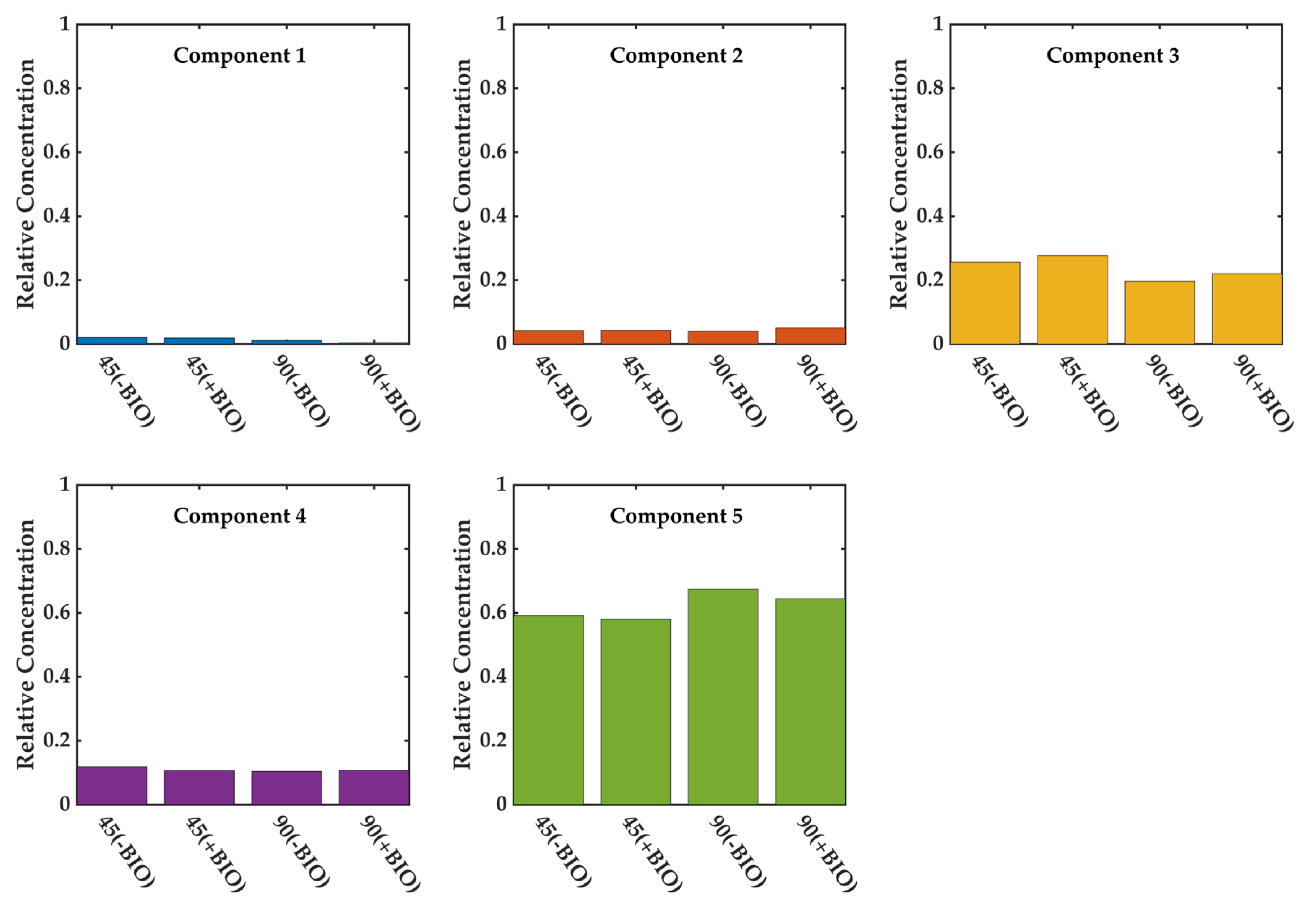
3.2.4. Selenium Speciation Analysis by XAS in Alfalfa Plants Grown Under Open-Field Conditions
4. Conclusions
Supplementary Materials
Author Contributions
Funding
Data Availability Statement
Acknowledgments
Conflicts of Interest
References
- Viltres-Portales, M.; Sánchez-Martín, M.J.; Boada, R.; Llugany, M.; Valiente, M. Liposomes as Selenium Nanocarriers for Foliar Application to Wheat Plants: A Biofortification Strategy. Food Chem. 2024, 448, 139123. [Google Scholar] [CrossRef] [PubMed]
- Labunskyy, V.M.; Hatfield, D.L.; Gladyshev, V.N. Selenoproteins: Molecular Pathways and Physiological Roles. Physiol. Rev. 2014, 94, 739–777. [Google Scholar] [CrossRef] [PubMed]
- Smith, K.L.; Hogan, J.S.; Weiss, W.P. Dietary Vitamin E and Selenium Affect Mastitis and Milk Quality. J. Anim. Sci. 1997, 75, 1659–1665. [Google Scholar] [CrossRef] [PubMed]
- Foster, L.H.; Sumar, S. Selenium in Health and Disease: A Review. Crit. Rev. Food Sci. Nutr. 1997, 37, 211–228. [Google Scholar] [CrossRef]
- Gao, C.; Xiao, M.; Gong, Z.; Song, L.; Wang, H.; Ludlow, R.A.; Li, W.; Li, P.; Liu, W.; Jia, C.; et al. Selenium Biofortification and Increased Nutritional Quality in Alfalfa (Medicago sativa L.) Using Foliar Application of Selenium-Rich Nutrient Solution. J. Soil Sci. Plant Nutr. 2023, 23, 3600–3611. [Google Scholar] [CrossRef]
- Csapó, J.; Holló, H.G.; Salamon, R.V.; Salamon, S. Production of Selenium-Enriched Milk and Dairy Products. Acta Univ. Sapientiae Aliment. 2015, 8, 5–29. [Google Scholar] [CrossRef]
- Clark, L.C.; Combs, G.F.; Turnbull, B.W.; Slate, E.H.; Chalker, D.K.; Chow, J.; Davis, L.S.; Glover, R.A.; Graham, G.F.; Gross, E.G.; et al. Effects of Selenium Supplementation for Cancer Prevention in Patients with Carcinoma of the Skin: A Randomized Controlled Trial. J. Am. Med. Assoc. 1996, 276, 1957–1963. [Google Scholar] [CrossRef]
- Rayman, M.P. The Influence of Selenium on Human Health. Lancet 2000, 356, 233–241. [Google Scholar] [CrossRef]
- Gergely, V.; Montes-Bayón, M.; Fodor, P.; Sanz-Medel, A. Selenium Species in Aqueous Extracts of Alfalfa Sprouts by Two-Dimensional Liquid Chromatography Coupled to Inductively Coupled Plasma Mass Spectrometry and Electrospray Mass Spectrometry Detection. J. Agric. Food Chem. 2006, 54, 4524–4530. [Google Scholar] [CrossRef]
- Zhou, X.; Yang, J.; Kronzucker, H.J.; Shi, W. Selenium Biofortification and Interaction With Other Elements in Plants: A Review. Front. Plant Sci. 2020, 11, 586421. [Google Scholar] [CrossRef]
- Buttarelli, M.S.; Céccoli, G.; Trod, B.S.; Stoffel, M.M.; Simonutti, M.; Bouzo, C.A.; Turowski, V.R.; Perez, A.A.; Llugany, M.; Sánchez-Martín, M.-J.; et al. Enhancing Nutritional and Functional Properties of Broccoli Leaves Through Selenium Biofortification: Potential for Sustainable Agriculture and Bioactive Compound Valorization. Agronomy 2025, 15, 389. [Google Scholar] [CrossRef]
- Abdalla, M.A.; Sulieman, S.; Mühling, K.H. Regulation of Selenium/Sulfur Interactions to Enhance Chemopreventive Effects: Lessons to Learn from Brassicaceae. Molecules 2020, 25, 5846. [Google Scholar] [CrossRef] [PubMed]
- Raza, H.; Anli, M.; Lone, A.A.; Latif, A.; Sun, Y.; Noman, A. Herbaceous Alfalfa Plant as a Multipurpose Crop and Predominant Forage Species in Pakistan. Front. Sustain. Food Syst. 2023, 7, 1126151. [Google Scholar]
- Summers, C.; Putnam, D.; Bali, K.; Canevari, M.; Cangiano, C.; Castillo, A.; Davis, M.; DePeters, E.; Frate, C.; Guererro, J.; et al. Irrigated Alfalfa Management for Mediterranean and Desert Zones. In Proceedings of the 37th California Alfalfa and Forage Symposium, Monterey, CA, USA, 17–19 December 2007; pp. 1–7. [Google Scholar]
- Wang, T.; Zhang, W.H. Priorities for the Development of Alfalfa Pasture in Northern China. Fundam. Res. 2023, 3, 225–228. [Google Scholar] [CrossRef]
- Basigalup, D.H. Investigación, Producción e Industrialización de La Alfalfa En Argentina. In Panorama Actual del Cultivo de Alfalfa en Argentina; Ediciones INTA, Ed.; Ediciones INTA: Buenos Aires, Argentina, 2022; pp. 14–35. ISBN 978-987-679-348-3. [Google Scholar]
- Wang, G.; Bobe, G.; Filley, S.J.; Pirelli, G.J.; Bohle, M.G.; Davis, T.Z.; Bañuelos, G.L.; Hall, J.A. Effects of Springtime Sodium Selenate Foliar Application and NPKS Fertilization on Selenium Concentrations and Selenium Species in Forages across Oregon. Anim. Feed Sci. Technol. 2021, 276, 114944. [Google Scholar] [CrossRef]
- Hasanuzzaman, M.; Bhuyan, M.H.M.B.; Raza, A.; Hawrylak-Nowak, B.; Matraszek-Gawron, R.; Al Mahmud, J.; Nahar, K.; Fujita, M. Selenium in Plants: Boon or Bane? Environ. Exp. Bot. 2020, 178, 104170. [Google Scholar] [CrossRef]
- Petković, K.; Manojlović, M.; Čabilovski, R.; Krstić, Đ.; Lončarić, Z.; Lombnæs, P. Foliar Application of Selenium, Zinc and Copper in Alfalfa (Medicago sativa L.) Biofortification. Turk. J. Field Crops 2019, 24, 81–90. [Google Scholar] [CrossRef]
- Motesharezadeh, B.; Ghorbani, S.; Alikhani, H.A. The Effect of Selenium Biofortification in Alfalfa (Medicago Sativa). J. Plant Nutr. 2020, 43, 240–250. [Google Scholar] [CrossRef]
- Muñoz, F.F.; Stoffel, M.M.; Céccoli, G.; Trod, B.S.; Daurelio, L.D.; Bouzo, C.A.; Guevara, M.G. Improving the Foliar Biofortification of Broccoli with Selenium without Commercial Quality Losses. Crop Sci. 2021, 61, 4218–4228. [Google Scholar] [CrossRef]
- García-Tenesaca, M.M.; Llugany, M.; Boada, R.; Sánchez-Martín, M.J.; Valiente, M. Phytochemical Profile, Bioactive Properties, and Se Speciation of Se-Biofortified Red Radish (Raphanus sativus), Green Pea (Pisum sativum), and Alfalfa (Medicago sativa) Microgreens. J. Agric. Food Chem. 2024, 72, 4947–4957. [Google Scholar] [CrossRef]
- Ip, C. Lessons from Basic Research in Selenium and Cancer Prevention. J. Nutr. 1998, 128, 1845–1854. [Google Scholar] [CrossRef] [PubMed]
- Ip, C.; Birringer, M.; Block, E.; Kotrebai, M.; Tyson, J.F.; Uden, P.C.; Lisk, D.J. Chemical Speciation Influences Comparative Activity of Selenium-Enriched Garlic and Yeast in Mammary Cancer Prevention. J. Agric. Food Chem. 2000, 48, 2062–2070. [Google Scholar] [CrossRef] [PubMed]
- Kovács, Z.; Soós, Á.; Kovács, B.; Kaszás, L.; Elhawat, N.; Razem, M.; Veres, S.; Fári, M.G.; Koroknai, J.; Alshaal, T.; et al. Nutrichemical Alterations in Different Fractions of Multiple-Harvest Alfalfa (Medicago sativa L.) Green Biomass Fortified with Various Selenium Forms. Plant Soil 2023, 487, 173–195. [Google Scholar] [CrossRef]
- Xie, M.; Sun, X.; Li, P.; Shen, X.; Fang, Y. Selenium in Cereals: Insight into Species of the Element from Total Amount. Compr. Rev. Food Sci. Food Saf. 2021, 20, 2914–2940. [Google Scholar] [CrossRef]
- Subirana, M.A.; Boada, R.; Xiao, T.; Llugany, M.; Valiente, M. Direct and Indirect Selenium Speciation in Biofortified Wheat: A Tale of Two Techniques. Physiol. Plant 2023, 175, e13843. [Google Scholar] [CrossRef]
- Hall, J.A.; Bobe, G.; Filley, S.J.; Pirelli, G.J.; Bohle, M.G.; Wang, G.; Davis, T.Z.; Bañuelos, G.S. Effects of Amount and Chemical Form of Selenium Amendments on Forage Selenium Concentrations and Species Profiles. Biol. Trace Elem. Res. 2023, 201, 4951–4960. [Google Scholar] [CrossRef]
- Hall, J.A.; Bobe, G.; Filley, S.J.; Bohle, M.G.; Pirelli, G.J.; Wang, G.; Davis, T.Z.; Bañuelos, G.S. Impact of Selenium Biofortification on Production Characteristics of Forages Grown Following Standard Management Practices in Oregon. Front Plant Sci. 2023, 14, 1121605. [Google Scholar] [CrossRef]
- Markwell, J.; Osterman, J.C.; Mitchell, J.L. Calibration of the Minolta SPAD-502 Leaf Chlorophyll Meter. Photosynth. Res. 1995, 46, 467–472. [Google Scholar] [CrossRef]
- Jaurena, G. Programa Para El Mejoramiento de La Evaluación de Forrajes y Alimentos (PROMEFA). Arch. Latinoam. Prod. Anim. 2011, 19, 35–37. [Google Scholar]
- Thiex, N.; Novotny, L.; Crawford, A. Determination of Ash in Animal Feed: AOAC Official Method 942.05 Revisited. J. AOAC Int. 2012, 95, 1392–1397. [Google Scholar] [CrossRef]
- Wilson, M.G.; Maggi, A.E.; Castiglioni, M.G.; Gabioud, E.A.; Sasal, M.C. Conservation of Ecosystem Services in Argiudolls of Argentina. Agriculture 2020, 10, 649. [Google Scholar] [CrossRef]
- SIGA-Sistema de Información y Gestión Agrometeorológica. Available online: https://siga.inta.gob.ar/#/ (accessed on 13 January 2025).
- Simonelli, L.; Marini, C.; Olszewski, W.; Ávila Pérez, M.; Ramanan, N.; Guilera, G.; Cuartero, V.; Klementiev, K. CLAESS: The Hard X-Ray Absorption Beamline of the ALBA CELLS Synchrotron. Cogent Phys. 2016, 3, 1231987. [Google Scholar] [CrossRef]
- Marini, C.; Boada, R.; Prieto Burgos, J.; Ramanan, N.; García Domínguez, I.; Zhao, J.; Xiao, T.T.; Simonelli, L. Low-Cost Vacuum Compatible Liquid Cell for Hard X-Ray Absorption Spectroscopy. Nucl. Instrum. Methods Phys. Res. A 2018, 908, 333–337. [Google Scholar] [CrossRef]
- Ravel, B.; Newville, M. Athena, Artemis, Hephaestus: Data Analysis for X-Ray Absorption Spectroscopy Using IFEFFIT. J. Synchrotron Radiat. 2005, 12, 537–541. [Google Scholar] [CrossRef] [PubMed]
- Jaumot, J.; de Juan, A.; Tauler, R. MCR-ALS GUI 2.0: New Features and Applications. Chemom. Intell. Lab. Syst. 2015, 140, 1–12. [Google Scholar] [CrossRef]
- Windig, W.; Guilment, J. Interactive Self-Modeling Mixture Analysis. Anal. Chem. 1991, 63, 1425–1432. [Google Scholar] [CrossRef]
- Di Rienzo, J.A.; Casanoves, F.; Balzarini, M.G.; Gonzalez, L.; Tablada, M.; Robledo, C.W.; Infostat. Statistical Software 2017. Available online: https://www.infostat.com.ar/?lang=en (accessed on 21 February 2025).
- Mechora, Š.; Placido Torres, D.; Bruns, R.E.; Škof, M.; Ugrinović, K. Effect of Selenium Treated Broccoli on Herbivory and Oviposition Preferences of Delia radicum and Phyllotreta spp. Sci. Hortic. 2017, 225, 445–453. [Google Scholar] [CrossRef]
- Yin, H.; Qi, Z.; Li, M.; Ahammed, G.J.; Chu, X.; Zhou, J. Selenium Forms and Methods of Application Differentially Modulate Plant Growth, Photosynthesis, Stress Tolerance, Selenium Content and Speciation in Oryza sativa L. Ecotoxicol. Environ. Saf. 2019, 169, 911–917. [Google Scholar] [CrossRef]
- De Souza, V.F.; Rasulov, B.; Talts, E.; Morfopoulos, C.; Albuquerque, P.M.; Junior, S.D.; Niinemets, Ü.; de Carvalho Gonçalves, J.F. Thermal Sensitivity Determines the Effect of High CO2 on Carbon Uptake in Populus Tremula and Inga Edulis. Theor. Exp. Plant Physiol. 2024, 36, 199–213. [Google Scholar] [CrossRef]
- Ancín, M.; Gámez, A.L.; Jauregui, I.; Galmes, J.; Sharwood, R.E.; Erice, G.; Ainsworth, E.A.; Tissue, D.T.; Sanz-Sáez, A.; Aranjuelo, I. Does the Response of Rubisco and Photosynthesis to Elevated [CO2] Change with Unfavourable Environmental Conditions? J. Exp. Bot. 2024, 75, 7351–7364. [Google Scholar] [CrossRef]
- Zhou, Y.; Tang, Q.; Wu, M.; Mou, D.; Liu, H.; Wang, S.; Zhang, C.; Ding, L.; Luo, J. Comparative Transcriptomics Provides Novel Insights into the Mechanisms of Selenium Tolerance in the Hyperaccumulator Plant Cardamine hupingshanensis. Sci. Rep. 2018, 8, 2789. [Google Scholar] [CrossRef] [PubMed]
- El-Mogy, M.M.; Mahmoud, A.W.M.; El-Sawy, M.B.I.; Parmar, A. Pre-Harvest Foliar Application of Mineral Nutrients to Retard Chlorophyll Degradation and Preserve Bio-Active Compounds in Broccoli. Agronomy 2019, 9, 711. [Google Scholar] [CrossRef]
- Ulhassan, Z.; Gill, R.A.; Huang, H.; Ali, S.; Mwamba, T.M.; Ali, B.; Huang, Q.; Hamid, Y.; Khan, A.R.; Wang, J.; et al. Selenium Mitigates the Chromium Toxicity in Brassicca Napus L. by Ameliorating Nutrients Uptake, Amino Acids Metabolism and Antioxidant Defense System. Plant Physiol. Biochem. 2019, 145, 142–152. [Google Scholar] [CrossRef] [PubMed]
- Filek, M.; Sieprawska, A.; Kościelniak, J.; Oklestkova, J.; Jurczyk, B.; Telk, A.; Biesaga-Kościelniak, J.; Janeczko, A. The Role of Chloroplasts in the Oxidative Stress That Is Induced by Zearalenone in Wheat Plants–The Functions of 24-Epibrassinolide and Selenium in the Protective Mechanisms. Plant Physiol. Biochem. 2019, 137, 84–92. [Google Scholar] [CrossRef]
- Shahverdi, M.A.; Omidi, H.; Tabatabaei, S.J. Effect of Nutri-Priming on Germination Indices and Physiological Characteristics of Stevia Seedling under Salinity Stress. J. Seed Sci. 2017, 39, 353–362. [Google Scholar] [CrossRef]
- Hawrylak-Nowak, B.; Matraszek, R.; Pogorzelec, M. The Dual Effects of Two Inorganic Selenium Forms on the Growth, Selected Physiological Parameters and Macronutrients Accumulation in Cucumber Plants. Acta Physiol. Plant 2015, 37, 41. [Google Scholar] [CrossRef]
- Franzoni, G.; Cocetta, G.; Prinsi, B.; Ferrante, A.; Espen, L. Biostimulants on Crops: Their Impact under Abiotic Stress Conditions. Horticulturae 2022, 8, 189. [Google Scholar] [CrossRef]
- Martínez-Lorente, S.E.; Martí-Guillén, J.M.; Pedreño, M.Á.; Almagro, L.; Sabater-Jara, A.B. Higher Plant-Derived Biostimulants: Mechanisms of Action and Their Role in Mitigating Plant Abiotic Stress. Antioxidants 2024, 13, 318. [Google Scholar] [CrossRef]
- Wang, Q.; Zhang, Y.; Hu, H.; Hu, J.; Xiang, M.; Yang, Q.F. Comparative Proteomics Analysis of the Responses to Selenium in Selenium-Enriched Alfalfa (Medicago sativa L.) Leaves. Plant Physiol. Biochem. 2021, 165, 265–273. [Google Scholar] [CrossRef]
- De Juan, A.; Tauler, R. Multivariate Curve Resolution-Alternating Least Squares for Spectroscopic Data. Data Handl. Sci. Technol. 2016, 30, 5–51. [Google Scholar] [CrossRef]
- Baltazar, M.; Correia, S.; Guinan, K.J.; Sujeeth, N.; Bragança, R.; Gonçalves, B. Recent Advances in the Molecular Effects of Biostimulants in Plants: An Overview. Biomolecules 2021, 11, 1096. [Google Scholar] [CrossRef]
- Smilkova, M.; Smilek, J.; Kalina, M.; Klucakova, M.; Pekar, M.; Sedlacek, P. A Simple Technique for Assessing the Cuticular Diffusion of Humic Acid Biostimulants. Plant Methods 2019, 15, 83. [Google Scholar] [CrossRef] [PubMed]
- Wei, Y.S.; Javed, T.; Liu, T.T.; Ali, A.; Gao, S.J. Mechanisms of Abscisic Acid (ABA)-Mediated Plant Defense Responses: An Updated Review. Plant Stress 2025, 15, 100724. [Google Scholar] [CrossRef]
- Zahedi, S.M.; Hosseini, M.S.; Daneshvar Hakimi Meybodi, N.; Teixeira da Silva, J.A. Foliar Application of Selenium and Nano-Selenium Affects Pomegranate (Punica Granatum Cv. Malase Saveh) Fruit Yield and Quality. S. Afr. J. Bot. 2019, 124, 350–358. [Google Scholar] [CrossRef]
- Silva, M.A.; de Sousa, G.F.; Van Opbergen, G.A.Z.; Van Opbergen, G.G.A.Z.; Corguinha, A.P.B.; Bueno, J.M.M.; Brunetto, G.; Leite, J.M.; dos Santos, A.A.; Lopes, G.; et al. Foliar Application of Selenium Associated with a Multi-Nutrient Fertilizer in Soybean: Yield, Grain Quality, and Critical Se Threshold. Plants 2023, 12, 2028. [Google Scholar] [CrossRef]
- MAGyP (Ministerio de Agricultura, Ganadería y Pesca de la Nación Argentina). Sistema de Apoyo Metodológico a Laboratorios de Análisis de Suelos, Aguas, Vegetales y Enmiendas Orgánicas (SAMLA). 2023. Available online: https://www.magyp.gob.ar/sitio/areas/samla/institucional/ (accessed on 21 February 2025).
- Sigrist, M.; Brusa, L.; Campagnoli, D.; Beldomenico, H. Determination of Selenium in Selected Food Samples from Argentina and Estimation of Their Contribution to the Se Dietary Intake. Food Chem. 2012, 134, 1932–1937. [Google Scholar] [CrossRef]










| Fresh Weight (g 0.25 m−2) | DM (%) | CP (%) | NDF (%) | ADF (%) | ADL (%) | EE (%) | Ash (%) | |||
|---|---|---|---|---|---|---|---|---|---|---|
| CONTROL | (−) BIO | 376.8 ± 77.34 a | 19.4 ± 0.98 a | 23.6 ± 1.34 a | 37.0 ± 3.84 a | 26.2 ± 3.55 a | 6.4 ± 0.68 a | 2.5 ± 0.22 a | 10.7 ± 0.38 a | |
| (+) BIO | 362.9 ± 76.27 a | 19.5 ± 0.85 a | 22.4 ± 4.16 a | 38.0 ± 6.14 a | 26.4 ± 4.78 a | 6.7 ± 0.97 a | 2.6 ± 0.44 a | 10.5 ± 0.39 a | ||
| Se(IV) | 45 g ha−1 | (-) BIO | 353.4 ± 92.08 a | 19.0 ± 1.59 a | 21.9 ± 2.74 a | 39.6 ± 3.05 a | 28.8 ± 3.12 a | 7.5 ± 0.69 a | 2.7 ± 0.46 a | 10.4 ± 0.49 a |
| (+) BIO | 370.3 ± 68.05 a | 19.4 ± 0.82 a | 23.0 ± 2.66 a | 36.5 ± 3.26 a | 26.4 ± 2.55 a | 6.8 ± 1.29 a | 2.6 ± 0.28 a | 10.5 ± 0.38 a | ||
| 90 g ha−1 | (-) BIO | 355.8 ± 66.51 a | 18.6 ± 2.66 a | 22.4 ± 2.42 a | 35.6 ± 4.42 a | 25.6 ± 4.16 a | 6.7 ± 0.98 a | 2.7 ± 0.34 a | 10.4 ± 0.62 a | |
| (+) BIO | 361.7 ± 76.56 a | 18.8 ± 1.28 a | 21.0 ± 3.16 a | 37.2 ± 4.47 a | 27.1 ± 4.20 a | 6.8 ± 1.24 a | 2.7 ± 0.47 a | 10.6 ± 0.33 a | ||
Disclaimer/Publisher’s Note: The statements, opinions and data contained in all publications are solely those of the individual author(s) and contributor(s) and not of MDPI and/or the editor(s). MDPI and/or the editor(s) disclaim responsibility for any injury to people or property resulting from any ideas, methods, instructions or products referred to in the content. |
© 2025 by the authors. Licensee MDPI, Basel, Switzerland. This article is an open access article distributed under the terms and conditions of the Creative Commons Attribution (CC BY) license (https://creativecommons.org/licenses/by/4.0/).
Share and Cite
Sánchez-Martín, M.-J.; Gaggiotti, M.; Simonelli, L.; Marini, C.; Marini, F.; Boada, R.; Llugany, M.; Valiente, M.; Céccoli, G.; Stoffel, M.M.; et al. Enhancing Organic Selenium Forms in Alfalfa Forage Through Inorganic Selenium Foliar Application: Insights from Laboratory and Field Studies Using X-Ray Spectroscopy. Agronomy 2025, 15, 580. https://doi.org/10.3390/agronomy15030580
Sánchez-Martín M-J, Gaggiotti M, Simonelli L, Marini C, Marini F, Boada R, Llugany M, Valiente M, Céccoli G, Stoffel MM, et al. Enhancing Organic Selenium Forms in Alfalfa Forage Through Inorganic Selenium Foliar Application: Insights from Laboratory and Field Studies Using X-Ray Spectroscopy. Agronomy. 2025; 15(3):580. https://doi.org/10.3390/agronomy15030580
Chicago/Turabian StyleSánchez-Martín, María-Jesús, Mónica Gaggiotti, Laura Simonelli, Carlo Marini, Federico Marini, Roberto Boada, Mercè Llugany, Manuel Valiente, Gabriel Céccoli, María Micaela Stoffel, and et al. 2025. "Enhancing Organic Selenium Forms in Alfalfa Forage Through Inorganic Selenium Foliar Application: Insights from Laboratory and Field Studies Using X-Ray Spectroscopy" Agronomy 15, no. 3: 580. https://doi.org/10.3390/agronomy15030580
APA StyleSánchez-Martín, M.-J., Gaggiotti, M., Simonelli, L., Marini, C., Marini, F., Boada, R., Llugany, M., Valiente, M., Céccoli, G., Stoffel, M. M., Viltres-Portales, M., Picco, J. M., Guevara, M. G., & Muñoz, F. F. (2025). Enhancing Organic Selenium Forms in Alfalfa Forage Through Inorganic Selenium Foliar Application: Insights from Laboratory and Field Studies Using X-Ray Spectroscopy. Agronomy, 15(3), 580. https://doi.org/10.3390/agronomy15030580

