Sign in to use this feature.

Years

Between: -

Subjects

remove_circle_outline
remove_circle_outline
remove_circle_outline
remove_circle_outline
remove_circle_outline
remove_circle_outline
remove_circle_outline
remove_circle_outline
remove_circle_outline

Journals

remove_circle_outline
remove_circle_outline
remove_circle_outline
remove_circle_outline
remove_circle_outline

Article Types

Countries / Regions

remove_circle_outline
remove_circle_outline
remove_circle_outline
remove_circle_outline

Search Results (413)

Search Parameters:
Keywords = selenite

Order results
Result details
Results per page
Select all
Export citation of selected articles as:
20 pages, 4476 KB  
Article
Soil-Applied Selenium Reduces Cadmium Accumulation and Alters Selenium Enrichment in Artemisia selengensis in Cd-Contaminated Soil
by Ziliang Zhang, Han Tang, Yu Zhang, Jian Lin, Renshan Pan, Lingxiao Zhang, Xiao Ma, Jinlong Dong, Xun Li and Zengqiang Duan
Agriculture 2026, 16(8), 903; https://doi.org/10.3390/agriculture16080903 (registering DOI) - 20 Apr 2026
Abstract
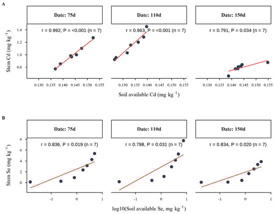
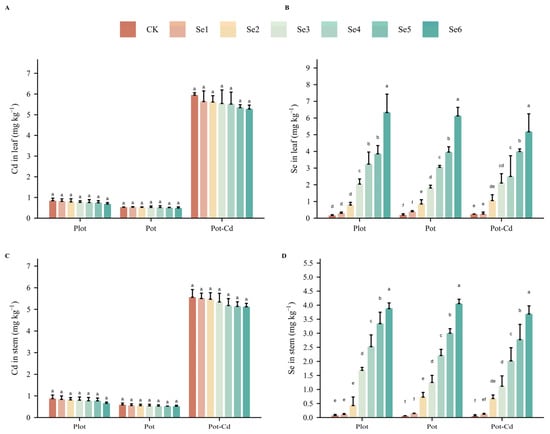
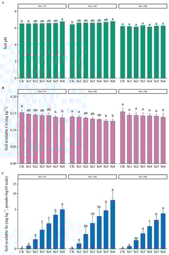
Cadmium contamination threatens safe vegetable production in arable soils. This study evaluated whether soil-applied selenium (Se) could reduce Cd accumulation in Artemisia selengensis while keeping Se enrichment within a practical safety range. A field plot experiment was sampled at 75, 110, and 150 [...] Read more.
Cadmium contamination threatens safe vegetable production in arable soils. This study evaluated whether soil-applied selenium (Se) could reduce Cd accumulation in Artemisia selengensis while keeping Se enrichment within a practical safety range. A field plot experiment was sampled at 75, 110, and 150 d, and two pot experiments were conducted under normal and elevated Cd backgrounds. Six sodium selenite rates (0.5–8.0 mg kg−1; Se1–Se6) plus a control were applied. In the field experiment, Se5–Se6 (6.5–8.0 mg kg−1) reduced stem Cd by 33.0–39.3% at 75 d and 34.3–36.5% at 110 d, but the reduction declined to 24.8% at 150 d. Se application increased tissue Se (leaf > stem > rhizome), while stem total Se remained within the dry-weight reference window under 12Se–Se (0.5–2.0 mg kg−1). Se5–Se6 also increased soil pH and reduced bioavailable Cd by 8.8–10.2%, whereas stem Cd reduction under an elevated Cd background was limited and non-significant. Overall, 0.5–2.0 mg kg−1 (Se1–Se2) provided a practical window for Cd mitigation, while 6.5–8.0 mg kg−1 (Se5–Se6) increased the risk of excessive Se accumulation in edible tissues. Full article
(This article belongs to the Topic Recent Advances in Soil Health Management)
Show Figures

Figure 1

27 pages, 4545 KB  
Article
Protective Efficacy of Selenium in Cisplatin-Induced Retinal Toxicity: An Experimental Immunohistochemical and Ultrastructural Analysis
by Ioannis Konstantinidis, Sophia Tsokkou, Pavlos Pavlidis, Kyriaki Papadopoulou, Dimitrios Kavvadas, Vasilis-Spyridon Tseriotis, Georgios Delis, Chrysanthi Sardeli, Dimitrios Kouvelas, Antonia Siogka, Theodora Papamitsou and Sofia Karachrysafi
Nutrients 2026, 18(8), 1236; https://doi.org/10.3390/nu18081236 - 14 Apr 2026
Viewed by 216
Abstract
Background/Objectives: Cisplatin is a potent chemotherapeutic agent whose clinical utility is limited by severe side effects, including neurotoxicity affecting the ocular system. The pathophysiology involves oxidative stress and mitochondrial dysfunction, to which the retina is particularly vulnerable. Selenium (Se), an essential trace [...] Read more.
Background/Objectives: Cisplatin is a potent chemotherapeutic agent whose clinical utility is limited by severe side effects, including neurotoxicity affecting the ocular system. The pathophysiology involves oxidative stress and mitochondrial dysfunction, to which the retina is particularly vulnerable. Selenium (Se), an essential trace element and component of antioxidant enzymes, has shown potential in mitigating cisplatin toxicity, although its efficacy with respect to retinal structure and the influence of administration routes remain underexplored. This study aimed to evaluate the protective efficacy of selenium against cisplatin-induced retinal toxicity and compare the effects of intraperitoneal and oral selenium administration. Methods: Forty adult male Wistar rats were randomized into four groups (n = 10 each): Group A (Cisplatin Monotherapy, 3.5 mg/kg IP for 5 days; cumulative dose 17.5 mg/kg); Group B (Cisplatin + Intraperitoneal Selenium, 2.73 mg/kg; cumulative dose 60 mg/kg); Group C (Control); and Group D (Cisplatin + Oral Selenium). Selenium prophylaxis, administered as sodium selenite (Na2SeO3), began two days prior to cisplatin administration and continued for 15 days post-treatment. Retinal evaluation two weeks after cisplatin cessation included light microscopy, semi-quantitative immunohistochemical (IHC) analysis for inflammatory (IL-6) and fibrotic (TGF-β2) markers, and Transmission Electron Microscopy (TEM) for ultrastructural analysis, which were the primary endpoints. Statistical differences in the IHC scores were analyzed via the Kruskal‒Wallis H test with Dunn’s post hoc comparisons. Results: Cisplatin monotherapy (Group A) caused severe disruption of the retinal architecture, including edema, reactive gliosis, and significant upregulation of IL-6 and TGF-β2. Ultrastructural analysis revealed mitochondrial swelling (cristolysis) and photoreceptor disk fragmentation. Intraperitoneal selenium (Group B) was associated with significant structural preservation and intact mitochondria, with TGF-β2 levels comparable to those of the controls, although the IL-6 level remained moderately elevated. Conversely, oral selenium (Group D) suppressed both IL-6 and TGF-β2 expression to near-negative levels but provided less ultrastructural protection, resulting in persistent mitochondrial swelling and focal photoreceptor disruption. Conclusions: Systemic cisplatin induces severe subcellular retinal toxicity characterized by mitochondrial damage and photoreceptor degeneration. Selenium supplementation attenuates these effects; however, outcome patterns differ by administration route. Intraperitoneal selenium was associated with greater morphological and ultrastructural preservation despite persistent IL-6 elevation, whereas oral selenium normalized immunohistochemical marker expression to near-control levels but was associated with more pronounced residual subcellular damage on qualitative TEM assessment. These preliminary morphological and immunohistochemical findings suggest that the route of selenium delivery may influence its neuroprotective profile; however, pharmacokinetic measurements and functional retinal assessments, such as electroretinography, are warranted before its clinical translation. Full article
17 pages, 9122 KB  
Article
Amino Acid Metabolism and Its Molecular Regulation in Oat Seedlings Under Sodium Selenite Treatment
by Jianxia Ma, Guigong Geng, Huichun Xie, Yujun Wu, Xiaozhuo Wu and Feng Qiao
Agriculture 2026, 16(7), 772; https://doi.org/10.3390/agriculture16070772 - 31 Mar 2026
Viewed by 266
Abstract
Selenium (Se) influences plant growth, yet its molecular regulation of amino acid metabolism in oat seedlings remains unclear. Through transcriptomic and metabolomic analyses, this study identified three major affected pathways: tryptophan metabolism (16 differentially expressed genes [DEGs], 13 differentially expressed metabolites [DEMs]), glycine, [...] Read more.
Selenium (Se) influences plant growth, yet its molecular regulation of amino acid metabolism in oat seedlings remains unclear. Through transcriptomic and metabolomic analyses, this study identified three major affected pathways: tryptophan metabolism (16 differentially expressed genes [DEGs], 13 differentially expressed metabolites [DEMs]), glycine, serine, and threonine metabolism (19 DEGs, 10 DEMs), and arginine and proline metabolism (24 DEGs, 13 DEMs). The T0.02 treatment (0.02 g/kg Na2SeO3) precisely regulates metabolism by selectively upregulating dimethylglycine in the glycine, serine, and threonine pathway and activating key genes (PRODH2, amiE2, AMD2) in the arginine–proline pathway, thereby promoting the growth of oat seedlings. The T0.1 treatment (0.1 g/kg Na2SeO3), promoted the accumulation of glycerate and threonine by upregulating the expression of two key genes (HPR3, ItaE1) related to glycine, serine, and threonine metabolism. Simultaneously, it enhanced the accumulation of L-ornithine, putrescine, 4-guanidinobutyric acid, and γ-aminobutyric acid through the upregulation of four key genes (ARG, ODC1, amiE1, and ALDH3) associated with arginine and proline metabolism. Additionally, the upregulation of key genes (ALDH2, 5-HTP) involved in tryptophan metabolism facilitated the accumulation of 5-methoxyindoleacetic acid and serotonin. This study primarily reveals the accumulation patterns of amino acid metabolites in oat seedlings subjected to selenium treatment and identifies key genes and metabolic pathways involved in the molecular response process. Furthermore, the research preliminarily elucidates potential regulatory nodes through which selenium treatment enhances amino acid accumulation, providing significant insights for understanding the comprehensive effects of selenium treatment on the stress resistance mechanisms of oat seedlings. Full article
(This article belongs to the Section Crop Genetics, Genomics and Breeding)
Show Figures

Figure 1

20 pages, 2809 KB  
Article
Increased Availability of Selective Trace Elements Enhanced Anaerobic Benzoate Oxidation in Geotalea daltonii
by Christina M. Kiessling, Cayden Samuels, Mary Arko, Xinyan Li and Kuk-Jeong Chin
Microorganisms 2026, 14(4), 776; https://doi.org/10.3390/microorganisms14040776 - 29 Mar 2026
Viewed by 410
Abstract
Anaerobic biodegradation of aromatic contaminants is constrained by unfavorable thermodynamics in the absence of oxygen and high activation energy required for aromatic ring-cleavage. Thus, identifying factors that enhance anaerobic aromatic degradation by microorganisms such as the Geotalea daltonii strain FRC-32 is crucial. Trace [...] Read more.
Anaerobic biodegradation of aromatic contaminants is constrained by unfavorable thermodynamics in the absence of oxygen and high activation energy required for aromatic ring-cleavage. Thus, identifying factors that enhance anaerobic aromatic degradation by microorganisms such as the Geotalea daltonii strain FRC-32 is crucial. Trace elements (TEs) function as rate-limiting cofactors for anaerobic carbon catabolism enzymes. Cobalt, molybdenum, selenite, and tungsten amendments stimulated G. daltonii growth on benzoate and anaerobic benzoate oxidation. To elucidate mechanisms of cobalt amendments in G. daltonii, we characterized a putative cobalt-specific energy-coupling factor (ECF) transporter CbiMNQO. The cbiMNQO genes form an operon and were upregulated under cobalt limitation, indicating a role in cobalt homeostasis. In silico structural predictions of CbiMNQO, ligand binding predictions of CbiMN, and alignment to known cobalt transporters suggested that CbiMNQO facilitates cobalt transport in G. daltonii. Structural and ligand binding predictions of BamB and BamF, and transcript-level analyses indicated that bamB and bamF, encoding molybdenum- and selenite–tungsten-dependent benzoyl-CoA reductase-subunits, modulate TE-dependent anaerobic benzoate degradation. Regulation of bamB and bamF in response to TE amendments corresponded with enhanced anaerobic benzoate oxidation, indicating stimulated benzoate dearomatization. Collectively, our findings demonstrated that TE amendments enhance anaerobic aromatic metabolism in G. daltonii and may contribute to anaerobic bioremediation. Full article
(This article belongs to the Section Environmental Microbiology)
Show Figures

Figure 1

22 pages, 4014 KB  
Article
CRISPR/Cas9-Mediated Knockout of BnaFAH Enhanced Brassica napus Resistance to Plutella xylostella Under a 2-Day Short-Day Photoperiod
by Tiantian Zhi, Zhou Zhou, Chen Shi, Meiqiong Xie, Gang Chen and Cui Lu
Horticulturae 2026, 12(4), 403; https://doi.org/10.3390/horticulturae12040403 - 24 Mar 2026
Viewed by 231
Abstract
The diamondback moth (Plutella xylostella) severely threatens global oilseed rape (Brassica napus L.) production. This study demonstrates that CRISPR/Cas9-mediated knockout of two homologous BnaFAH, involved in tyrosine degradation, confers enhanced Brassica napus resistance to Plutella xylostella under a 2-day [...] Read more.
The diamondback moth (Plutella xylostella) severely threatens global oilseed rape (Brassica napus L.) production. This study demonstrates that CRISPR/Cas9-mediated knockout of two homologous BnaFAH, involved in tyrosine degradation, confers enhanced Brassica napus resistance to Plutella xylostella under a 2-day short-day (SD2) photoperiod. Multi-omics analyses revealed that this resistance is associated with a coordinated response: BnaFAH deficiency triggers reactive oxygen species (ROS) accumulation, which is closely associated with activating the jasmonic acid (JA) biosynthetic and signaling pathways. This led to significant upregulation of key JA biosynthetic genes and accumulation of JA, its precursors (OPDA, OPC-4, and OPC-6), and bioactive conjugates (JA-Ile and JA-Phe). Pharmacological analyses support the central role of JA, as exogenous application of methyl jasmonate (MeJA) enhanced insect resistance, whereas the JA biosynthesis inhibitor DIECA suppressed resistance. Scavenging ROS with sodium selenite prevented both JA pathway upregulation and insect resistance, suggesting that ROS may act upstream to activate the JA biosynthetic and signaling pathways. These findings support a previously unrecognized “photoperiod-dependent ROS-JA” defense module, revealing how metabolic perturbation under specific environmental cues can be co-opted to enhance plant immunity, offering new targets for breeding resistant rapeseed varieties. Full article
(This article belongs to the Special Issue Genetics and Molecular Breeding of Brassica Crops)
Show Figures

Figure 1

27 pages, 8919 KB  
Article
Synthesis of Selenium Nanoparticles: Influence of Reaction Parameters on Physicochemical, Morphological, and Biological Properties
by Tainá Pereira da Silva Oliveira, Alan Kelbis Oliveira Lima, Talita Pereira Gonçalves, Isadora Florêncio, Sônia Nair Báo, Namuhell Oliveira da Silva, Patrícia Albuquerque, Ildinete Silva-Pereira and Luís Alexandre Muehlmann
Drugs Drug Candidates 2026, 5(1), 22; https://doi.org/10.3390/ddc5010022 - 8 Mar 2026
Viewed by 558
Abstract
Background/Objectives: Optimizing synthesis parameters is essential to ensure the quality and stability of nanostructures. This study aimed to optimize the synthesis of selenium nanoparticles (SeNPs) by chemical reduction, using sodium selenite (Na2SeO3), ascorbic acid (AA), and polyvinyl alcohol [...] Read more.
Background/Objectives: Optimizing synthesis parameters is essential to ensure the quality and stability of nanostructures. This study aimed to optimize the synthesis of selenium nanoparticles (SeNPs) by chemical reduction, using sodium selenite (Na2SeO3), ascorbic acid (AA), and polyvinyl alcohol (PVA) at different concentrations, volumes, and molar ratios. The effects of reduction time, purification steps, and variations in the concentration of the precursor and reducing agent, as well as in the volume of the stabilizer, on the characteristics of SeNPs were investigated to ensure their long-term stability, maintenance of their properties, and biological applicability. Methods: The SeNPs were analyzed by UV/Vis absorption spectroscopy, Dynamic Light Scattering (DLS), and Transmission Electron Microscopy (TEM), and were also evaluated for antifungal activity against the SC5314 strain of Candida albicans. Results/Conclusions: Monodisperse SeNPs were obtained under high concentrations of Na2SeO3 and AA, short reduction time, higher volumes of PVA (2–4 mL), and purification at 24.300× g, presenting a spherical morphology, hydrodynamic diameter of 137.0–171.7 nm, dry diameter of 20–120 nm, polydispersity index of 0.049–0.306, Zeta potential of −7.79 to −19.6 mV, and stability for up to 180 days. In the absence or presence of 1 mL of PVA, the SeNPs were predominantly amorphous. Regarding biological activity, the SeNPs did not exhibit antifungal activity under the experimental conditions in the tested strain. Together, this study provides a comprehensive update on the synthesis of SeNPs under different conditions and their stability over time, contributing to the consolidation of knowledge in the field. Full article
(This article belongs to the Collection Bioinorganic Chemistry in Drug Discovery)
Show Figures

Figure 1

15 pages, 1913 KB  
Article
Alleviating Selenite Stress in Grapevines Through Strigolactone and Dopamine-Induced Growth and Selenium Uptake
by Zhonghan Fan, Fei Wang, Jing Zhang, Huiping Liao, Yuhang Zhu, Lijin Lin, Xiulan Lv, Rongping Hu and Jin Wang
Agronomy 2026, 16(5), 582; https://doi.org/10.3390/agronomy16050582 - 8 Mar 2026
Viewed by 284
Abstract
To alleviate selenium (Se) stress in grapes, we investigated the effects of the strigolactone analog GR24 (1 μmol/L) and dopamine (DA, 100 μmol/L) on the growth and Se uptake of grapevines under selenite stress (0.5 mg/L). Se treatment inhibited grapevine growth, indicating that [...] Read more.
To alleviate selenium (Se) stress in grapes, we investigated the effects of the strigolactone analog GR24 (1 μmol/L) and dopamine (DA, 100 μmol/L) on the growth and Se uptake of grapevines under selenite stress (0.5 mg/L). Se treatment inhibited grapevine growth, indicating that Se induced stress in grapevines. Under Se stress, both GR24 and DA treatments increased growth parameters and photosynthetic capacity. In addition, they enhanced peroxidase activity, soluble protein content, and soluble sugar content. Furthermore, both GR24 and DA treatments reduced Se content in grapevines. Compared to Se treatment, GR24 reduced root and shoot Se contents by 4.63% and 25.04%, respectively, while DA decreased root Se content by 7.49% but did not significantly affect shoot Se content. Regarding the translocation factor, GR24 treatment decreased this value, while DA treatment increased it under Se stress. In summary, both GR24 and DA treatments can alleviate selenite stress, promote growth, and exhibit potential in reducing Se uptake in grapevines. Full article
(This article belongs to the Section Plant-Crop Biology and Biochemistry)
Show Figures

Figure 1

21 pages, 1025 KB  
Article
Effects of Selenite and Selenate on the Growth, Nutrient Composition, Selenium Species, and In Vitro Digestibility of Mealworm Tenebrio molitor
by Shizhong Yue, Shan Jiang, Shuwen Zhang, Chengjie Wang, Wenqi Zhang, Tianran Li, Ruiping Wang, Huaitao Li, Xingtang Zhao, Huaishen Li and Jiafeng Yu
Insects 2026, 17(2), 177; https://doi.org/10.3390/insects17020177 - 6 Feb 2026
Viewed by 659
Abstract
This study systematically compared the growth performance, nutrient composition, accumulation and speciation of selenium (Se), and in vitro bioaccessibility in yellow mealworm (Tenebrio molitor L.) larvae, which were reared on substrates supplemented with selenite (Se4+) and selenate (Se6+) [...] Read more.
This study systematically compared the growth performance, nutrient composition, accumulation and speciation of selenium (Se), and in vitro bioaccessibility in yellow mealworm (Tenebrio molitor L.) larvae, which were reared on substrates supplemented with selenite (Se4+) and selenate (Se6+) at concentrations of 0, 5, 10, and 20 mg/kg over 28 days. The results showed that high Se concentrations (≥10 mg/kg) significantly reduced larval biomass, with Se6+ having a slightly stronger inhibitory effect than Se4+. The mealworms effectively accumulated Se in a dose- and form-dependent manner. Peak total Se concentrations were observed on day 14, after which there was a decline, suggesting the presence of potential elimination mechanisms, such as moulting. The bioaccumulation factors (BAFs) were all below 1, indicating its limited enrichment capacity for both Se4+ and Se6+. Nutrient composition was altered, with both Se forms stimulating crude protein and polysaccharide synthesis while inhibiting fat accumulation. Mineral content (Mg, Fe, Zn) was also modulated, with differences observed between the Se4+ and Se6+ treatments. Notably, mealworms exhibited a remarkable ability to biotransform inorganic Se into organic forms, with organic Se proportions exceeding 79% in all treatments. Selenate was more efficiently bio-converted, yielding a higher proportion of organic Se. In vitro gastrointestinal digestion revealed significantly higher Se bioaccessibility from Se6+-treated mealworms (up to 85.12%) than from Se4+-treated ones (up to 60.67%). Analysis of the bioaccessible fraction by Se speciation identified SeCys2 as the dominant compound (>92% of the detected species), with much lower levels of SeMet. Trace amounts of unmetabolised Se6+ were only detected in the Se6+-exposed groups. These findings highlight T. molitor as an efficient bioreactor for producing bioaccessible, organically bound Se, primarily as SeCys2, with Se6+ being the more favourable precursor for generating a high-quality, bioavailable source of Se for potential use in feed or food. Full article
(This article belongs to the Special Issue Insects as Food: Advances in Edible Insect Research and Applications)
Show Figures

Graphical abstract

20 pages, 830 KB  
Article
Effects of Selenium Nanoparticles and Sodium Selenite Supplementation on Cryopreserved Ram Sperm Quality, Oxidative Status, and PRDX5 Gene Expression
by Cumali Kaya, Cansu Can, Burcu Esin, Emre Dünder, Mesut Çevik and Melih Akar
Animals 2026, 16(3), 457; https://doi.org/10.3390/ani16030457 - 1 Feb 2026
Viewed by 536
Abstract
Cryopreservation of ram semen is an essential tool in assisted reproductive technology; however, oxidative stress generated during the freezing process may compromise sperm quality. This study evaluated the effects of Se and SeNPs on post-thaw sperm quality, PRDX5 expression, and oxidative status in [...] Read more.
Cryopreservation of ram semen is an essential tool in assisted reproductive technology; however, oxidative stress generated during the freezing process may compromise sperm quality. This study evaluated the effects of Se and SeNPs on post-thaw sperm quality, PRDX5 expression, and oxidative status in cryopreserved ram semen. In this study, semen samples collected from five mature rams (three collections at 2-week intervals, yielding a total of 15 ejaculates) were frozen in liquid nitrogen using extenders supplemented with selenium (1 μg/mL, S1; 10 μg/mL, S2) or selenium nanoparticles (SeNPs; 1 μg/mL, N1; 2 μg/mL, N2) alongside a nonsupplemented control extender. Post-thaw sperm quality was evaluated using computer-assisted sperm analysis (CASA) for motility, kinematic parameters, viability, membrane integrity (HOST) assays, chromatin condensation assessment, and morphological analysis. Total oxidant status (TOS) measurements and PRDX5 gene expression analysis were performed separately. Low-dose SeNPs (1 µg/mL) significantly improved total motility (55.73 ± 19.01%), progressive motility (25.05 ± 15.34%), viability (57.27 ± 19.30%), HOST-positive spermatozoa (50.87 ± 18.91%), and morphologically normal spermatozoa (88.27 ± 4.10%) compared with the control and high-dose sodium selenite groups (p < 0.05). Chromatin condensation abnormalities were lowest in the SeNP-treated group. S1 and N2 also improved motility and morphology compared with the control; however, the increases were numerically smaller than those observed in the N1 group. In contrast, S2 supplementation showed limited benefit, with values that were similar to those of the control. Morphologically normal spermatozoa were highest in N1, followed by S1 and N2, while S2 and the control exhibited the lowest values (p < 0.05). In contrast, no significant differences were detected in TOS or PRDX5 gene expression among the experimental groups (p > 0.05). These findings indicate that low-dose SeNPs enhance post-thaw sperm functional integrity and cryotolerance without inducing measurable changes in bulk oxidative markers or gene transcription. Full article
Show Figures

Figure 1

16 pages, 9974 KB  
Article
Towards Real-Time Aquatic Monitoring of Strontium-90: Performance Evaluation of CaF2(Eu) and ZnSe(Al,O) Scintillators
by Arjana Kolnikaj, Kelum A. A. Gamage, Olaoluwa Popoola, James Graham and Antonio Di Buono
Sensors 2026, 26(3), 900; https://doi.org/10.3390/s26030900 - 29 Jan 2026
Viewed by 485
Abstract
A compact, in situ beta-spectroscopy approach for real-time monitoring of Strontium-90 (Sr-90) in contaminated groundwater has been investigated. Two inorganic scintillators, CaF2(Eu) and ZnSe(Al,O), were coupled to silicon photomultipliers (SiPMs) and evaluated experimentally using custom front-end electronics. This was also modelled [...] Read more.
A compact, in situ beta-spectroscopy approach for real-time monitoring of Strontium-90 (Sr-90) in contaminated groundwater has been investigated. Two inorganic scintillators, CaF2(Eu) and ZnSe(Al,O), were coupled to silicon photomultipliers (SiPMs) and evaluated experimentally using custom front-end electronics. This was also modelled with Monte Carlo simulations using the Geant4 toolkit. Although simulations correctly predicted ZnSe(Al,O) has an advantage due to its higher light yield and optical transport, experimental measurements additionally revealed practical limitations of the readout electronics which were not captured in the simulation model. ZnSe(Al,O) showed excellent agreement with the simulated detector response (R2 ≈ 0.86; χ2/NDF ≈ 27). It also attains a higher relative detection efficiency (∼61.5%), yielding faithful capture of the composite Sr-90/Y-90 spectrum with only minor suppression at the extreme high-energy tail. CaF2(Eu) exhibits a deficit at low-mid energies and an apparent enhancement in the high-energy tail. This is consistent with threshold and photon-statistics losses and leads to poorer agreement with simulation (χ2/NDF ≈ 179) and lower overall efficiency (∼22.7%). These findings identify ZnSe(Al,O) as the stronger candidate for an underwater, in situ Sr-90 beta-spectroscopy system and motivate targeted optimisation of SiPM coupling and crystal-edge reflectivity in future designs. Full article
(This article belongs to the Section Intelligent Sensors)
Show Figures

Figure 1

29 pages, 8498 KB  
Article
Nephroprotective Effects of Quercetin–Selenium Nanoparticles Against Glycerol-Induced AKI
by Ahmed M. Ashour, Ali Khames, Khaled M. Alam-ElDein, Ahmed Hassan Ibrahim Faraag, Nievin Ahmed Mahran, Badriyah Aljazzaf, Rabia Alghazeer, Fatma Akmal, Marwa Ahmed Mahmoud and Mohamed H. A. Gadelmawla
Int. J. Mol. Sci. 2025, 26(24), 12187; https://doi.org/10.3390/ijms262412187 - 18 Dec 2025
Cited by 1 | Viewed by 980
Abstract
Acute kidney injury (AKI) is defined as a quick and often reversible decline in renal performance, as shown by elevated creatinine or reduced urine volume. AKI is a common illness, particularly among hospitalized cases, and can be observed in up to 7% of [...] Read more.
Acute kidney injury (AKI) is defined as a quick and often reversible decline in renal performance, as shown by elevated creatinine or reduced urine volume. AKI is a common illness, particularly among hospitalized cases, and can be observed in up to 7% of hospital admissions and 30% of ICU admissions. This study was designed to explore the nephroprotective potential of eco-synthesized quercetin–selenium nanoparticles (QUR-SeNPs) against experimentally glycerol-induced rhabdomyolysis leading to AKI. Forty healthy adult male albino rats were employed in the experiment. Animals were randomly distributed equally into five groups: Control: orally administered with normal saline solution. GLY: orally administered with normal saline (0.9% NaCl) for 15 consecutive days, at day 14, animals of this group received a single dose of intramuscular (im.) injection of 50% glycerol (GLY) (10 mg/kg/day). GLY and quercetin (GLY&QUR): orally administered with quercetin daily for 15 days (50 mg/kg/day), at day 14, animals of this group received a single dose of im. injection of 50% glycerol (10 mg/kg/day). GLY&Na2SeO3: orally administered with sodium selenite daily for 15 days (0.5 mg/kg/day), at day 14, animals of this group received a single dose of im. injection of 50% glycerol (10 mg/kg/day). GLY&QUR-SeNPs: orally administered with selenium nanoparticles synthesized using quercetin daily for 15 days (0.5 mg/kg/day), at day 14, animals of this group received a single dose of im. injection of 50% glycerol (10 mg/kg/day). Oxidative stress, inflammatory, and apoptotic markers, in addition to histopathological, gene expression, and immunohistochemical analysis, were assessed for all groups. The results demonstrated that QUR-SeNPs effectively ameliorated renal functional, biochemical, and molecular disturbances through their synergistic antioxidant, anti-inflammatory, and anti-apoptotic potential, surpassing the effects of either quercetin or selenium alone. Biosynthesized selenium nanoparticles using QUR-SeNPs demonstrated remarkable nephroprotective activity by normalizing renal biomarkers, restoring antioxidant capacity, inhibiting inflammatory cytokines, and preventing apoptotic damage. The nanoparticle formulation exhibited superior efficacy to either QUR or Se alone, highlighting the synergistic interplay between selenium and quercetin through enhanced bioavailability, redox stability, and molecular targeting. Full article
(This article belongs to the Special Issue Advances in Natural Antioxidants in Human Health and Diseases)
Show Figures

Figure 1

14 pages, 3483 KB  
Article
The Influence of Annealing on the Structural, Optical and Electrical Properties of Copper Selenite Nanocrystals Synthesized by the Chemical Deposition Method
by Gulnaz Sarsekhan, Abay Usseinov, Aiman Akylbekova, Abdirash Akilbekov, Alma Dauletbekova, Diana Junisbekova, Ainash Abdrakhmetova, Gulnara Aralbayeva, Leila Kassenova and Zein Baimukhanov
Crystals 2025, 15(12), 1060; https://doi.org/10.3390/cryst15121060 - 14 Dec 2025
Viewed by 556
Abstract
This work presents a study of copper selenite nanocrystals, obtained for the first time by chemical deposition (template synthesis) in a SiO2/Si track template, and investigates their properties. The obtained nanostructures were subjected to structural, optical, and electrical analysis. After deposition, [...] Read more.
This work presents a study of copper selenite nanocrystals, obtained for the first time by chemical deposition (template synthesis) in a SiO2/Si track template, and investigates their properties. The obtained nanostructures were subjected to structural, optical, and electrical analysis. After deposition, X-ray diffraction (XRD) analysis confirmed the formation of the orthorhombic phase CuSeO3. Subsequent annealing in a vacuum at 800 °C and 1000 °C led to successive phase transformations: to the monoclinic phase and, finally, to the triclinic polymorph of copper selenite. Photoluminescence (PL) analysis showed that the intensity and spectral position of the emission peaks vary depending on the crystal structure, which is associated with changes in defects and bandgap width as a result of heat treatment. Current–voltage characteristic (CVC) measurements showed that the phase composition significantly affects electrical conductivity. In particular, the transition to the triclinic phase after annealing at 1000 °C led to noticeable changes in optical and electrical properties compared to the initial material. Thus, a direct relationship has been established between heat treatment conditions, crystal structure, and functional properties of CuSeO3-based materials, opening up possibilities for their application in photonics and electronics. Full article
(This article belongs to the Special Issue Electronic Phenomena of Transition Metal Oxides Volume II)
Show Figures

Figure 1

21 pages, 4923 KB  
Article
Gut Microbiota and Liver Metabolism Regulation Mediate the Protective Effects of Inactivated Selenium-Enriched Yeast Against Alcohol-Induced Liver Damage in Mice
by Zihua Liang, Xiangchen Zhang, Shiwei Chen, Meiting Wang, Deying Men, Wangxin Liu and Xucong Lv
Foods 2025, 14(24), 4209; https://doi.org/10.3390/foods14244209 - 8 Dec 2025
Viewed by 870
Abstract
Inactivated Selenium-enriched yeast (YSe), as an organic source of selenium with multiple physiological activities, has attracted widespread attention. However, its potential to alleviate alcoholic liver injury (ALD) and its underlying mechanisms remain largely unexplored. This study explores the protective effects of inactivated YSe [...] Read more.
Inactivated Selenium-enriched yeast (YSe), as an organic source of selenium with multiple physiological activities, has attracted widespread attention. However, its potential to alleviate alcoholic liver injury (ALD) and its underlying mechanisms remain largely unexplored. This study explores the protective effects of inactivated YSe intervention on ALD in mice and clarifies its mechanism of action. The results indicated that, at the same selenium dose, inactivated YSe intervention was superior to inorganic selenium (sodium selenite) in alleviating ALD. Specifically, high-dose inactivated YSe significantly reduced the levels of serum ALT and AST in alcohol-exposed mice (38.69% and 24.67%, respectively), increased the level of HDL-C (16.83%), and effectively improved alcohol-induced lipid metabolism disorders and liver oxidative damage. At the same time, it significantly increased the concentration of short-chain fatty acids (SCFAs) in feces. 16S rRNA sequencing indicates that inactivated YSe intervention enhances the abundance of beneficial flora (such as Blautia, Oscillibacter, Anaerotruncus, Butyricicoccus, and Ruminiclostridium) and simultaneously inhibits potentially harmful microbiota (such as xylanophium, Escherichia–Shigella and oscilliumspirates) to restore the homeostasis of the intestinal microbiota in ALD mice. Liver metabolomics analysis revealed that inactivated YSe intervention significantly altered the liver metabolic profile. The core pathways that are regulated by YSe after alcohol disruption include glutathione metabolism, purine metabolism, riboflavin metabolism, etc. In conclusion, this study demonstrates that inactivated YSe can effectively alleviate ALD in mice by regulating the structure of the intestinal flora and restoring liver metabolic homeostasis, providing a scientific basis for its potential functional food component in the prevention and auxiliary management of ALD. Full article
Show Figures

Figure 1

19 pages, 301 KB  
Article
Comparative Effects of Capsicum annuum-Derived Selenium Nanoparticles and Sodium Selenite on Reproductive Performance, Egg Quality, and Male Sexual Behavior in Japanese Quails
by Hanan Al-Khalaifah, Sania Satti, Rasha Alonaizan, Shabana Naz, Sajida Arooj, Azka Haseeb, Rifat Ullah Khan and Ala Abudabos
Animals 2025, 15(23), 3379; https://doi.org/10.3390/ani15233379 - 21 Nov 2025
Viewed by 690
Abstract
The effects of selenium on poultry health and reproduction have been extensively studied using inorganic sodium selenite (SS). However, limited research has been done on organic selenium nanoparticles (Se-NPs). This study aimed to compare Se-NPs and SS on productivity, egg quality, reproductive performance, [...] Read more.
The effects of selenium on poultry health and reproduction have been extensively studied using inorganic sodium selenite (SS). However, limited research has been done on organic selenium nanoparticles (Se-NPs). This study aimed to compare Se-NPs and SS on productivity, egg quality, reproductive performance, and male sexual behavior in Japanese quails. A total of 480 quails (8 weeks old) were assigned to 5 different experimental groups (96 birds in each group) with six replicates (pens) sex ratio 1 male: 3 females. One group was designated as control (fed by basal diet), whereas two groups were fed with different levels of Se-NPs (0.2 mg/kg and 0.4 mg/kg), and two groups with SS (0.2 mg/kg and 0.4 mg/kg). The trial lasted for 9 weeks. The highest productive performance was observed in quails supplemented with 0.4 mg/kg Se-NPs (p < 0.05). Quails supplemented with 0.2 mg/kg Se-NPs had the highest egg weight (p < 0.05). The highest shape and albumen index were identified in the group supplemented with 0.2 mg/kg Se-NPs (p < 0.05). However, the highest shell ratio, yolk ratio, yolk index, and Haugh unit were determined in the group supplemented with 0.4 mg/kg Se-NPs (p < 0.05). The group supplemented with 0.4 mg Se-NPs/kg had the highest fertility and hatchability, with the lowest embryo mortality. The group with 0.4 mg Se-NPs/kg exhibited the highest level of sexual behavior (wing flapping, waltzing, mounting, tidbitting, rear approach, treading). It was concluded that the supplementation of Se-NPs enhanced productive and reproductive performance, egg quality, and male sexual behavior compared to the supplementation of SS. Full article
(This article belongs to the Collection Nanotechnology in Animal Science)
32 pages, 7766 KB  
Article
Targeting Oxidative Stress and Neuroinflammation: Epigallocatechin-3-gallate-Selenium Nanoparticles Mitigate Sleep Deprivation-Induced Cortical Impairment
by Radwa Hussein Lutfy, Ahmed M. Ashour, Ali Khames, Alzahraa A. Elhemiely, Khaled M. Alam-ElDein, Ahmed Hassan Ibrahim Faraag, Mariam O. A. Hamed, Zainab J. Abdel Daim, Nagwa Ibrahim Attia and Mohamed H. A. Gadelmawla
Int. J. Mol. Sci. 2025, 26(22), 11173; https://doi.org/10.3390/ijms262211173 - 19 Nov 2025
Cited by 5 | Viewed by 1311
Abstract
Sleep deprivation (SD) has been revealed to provoke anxiety-like behavior. Phytochemicals and nanotechnology-based interventions have emerged as promising alternatives due to their pleiotropic activity and enhanced bioavailability. Here we investigated the effect of sodium selenite, Epigallocatechin-3-gallate (EGCG), and EGCG–Selenium nanoparticles (SeNPs) on SD-provoked [...] Read more.
Sleep deprivation (SD) has been revealed to provoke anxiety-like behavior. Phytochemicals and nanotechnology-based interventions have emerged as promising alternatives due to their pleiotropic activity and enhanced bioavailability. Here we investigated the effect of sodium selenite, Epigallocatechin-3-gallate (EGCG), and EGCG–Selenium nanoparticles (SeNPs) on SD-provoked cortical impairment and tried to recognize the possible underlying mechanisms in addition to in silico analysis of EGCG. SD was provoked in rats utilizing a modified multiple platform model. We performed an in silico analysis of EGCG docked on Bcl2 and MMP2. Forty animals were divided into five groups of eight animals each: animals were given saline orally for 8 days (control); animals were given saline orally for 8 days, and on day 7 animals were exposed to 24 h of SD (24 h SD); animals were given Na2SeO3 orally with 0.5 mg/kg/day for 8 days, and on day 7 animals were exposed to 24 h of SD (24 h SD/Na2SeO3); animals were given 100 mg/kg/day EGCG orally for 8 days, and on day 7 animals were exposed to 24 h of SD (24 h SD/EGCG); animals were given SeNPs biosynthesized using EGCG and 0.5 mg/kg/day orally for 8 days, and on day 7 animals were exposed to 24 h of SD (24 h SD/EGCG-SeNPs). Behavioral tests were performed, including the sucrose preference test and the open-field test. Neurotransmitters (norepinephrine, serotonin, and dopamine), monoamine oxidase, ACh, GABA, AChE, neurotropic and glial markers (BDNF and GFAP), as well as neuro-inflammatory, oxidative stress, and apoptotic markers were assessed. Interestingly, sodium selenite, EGCG, and EGCG-SeNP employment mitigated cognitive functions and cortical histopathological alterations in SD-subjected rats. These potential impacts elicited by sodium selenite, EGCG, and EGCG-SeNPs may be related to their impact of elucidating corticosterone increase, cortical neurotransmitter decrease, and neurotropic and glial markers alterations, while also inhibiting the inflammatory and apoptotic axis and upregulating Nrf2 antioxidant cascade. These results prove the neuroprotective potential of sodium selenite, EGCG, and EGCG-SeNPs, especially EGCG-SeNPs in sleep deprivation-subjected rats by ameliorating cortical neuroinflammation, prooxidant alterations, and apoptotic events likely caused by modulating the NOS-2/Nrf2 axis. Full article
(This article belongs to the Special Issue Advances in Natural Antioxidants in Human Health and Diseases)
Show Figures

Figure 1

Back to TopTop