Productivity and Morphological Adaptation of Phaseolus vulgaris L. in Agrivoltaic Systems with Different Photovoltaic Technologies: A Case Study in Chachapoyas, Amazonas, Peru
Abstract
1. Introduction
2. Materials and Methods
2.1. Study Site Location
2.2. Unit of Study
2.3. Planting Distribution of Phaseolus vulgaris L.
2.4. Meteorological and Environmental Conditions of the Crop
2.5. Morphological Characterization and Yield of Phaseolus vulgaris L.
2.6. Statistical Analysis
3. Results
3.1. Meteorological and Environmental Conditions for the Cultivo de P. vulgaris L.
3.2. Morphological Characteristics of the Phaseolus vulgaris L. Crop
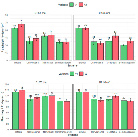
3.2.1. Plant Height
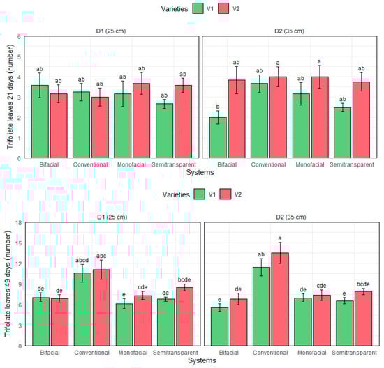
3.2.2. Number of Trifoliate Leaves
3.2.3. Number of Flowers
3.2.4. Number of Pods
3.2.5. Pod Length
3.2.6. Pod Weight
3.2.7. Grain Weight per Plant
3.2.8. Yield
4. Discussion
5. Conclusions
Author Contributions
Funding
Data Availability Statement
Conflicts of Interest
References
- Chamara, R.; Beneragama, C. Agrivoltaic Systems and Its Potential to Optimize Agricultural Land Use for Energy Production in Sri Lanka: A Review. J. Sol. Energy Res. 2020, 5, 417–431. [Google Scholar]
- Swart, R.; Levers, C.; Davis, J.T.M.; Verburg, P.H. Meta-Analyses Reveal the Importance of Socio-Psychological Factors for Farmers’ Adoption of Sustainable Agricultural Practices. One Earth 2023, 6, 1771–1783. [Google Scholar] [CrossRef]
- Karavidas, I.; Ntatsi, G.; Vougeleka, V.; Karkanis, A.; Ntanasi, T.; Saitanis, C.; Agathokleous, E.; Ropokis, A.; Sabatino, L.; Tran, F.; et al. Agronomic Practices to Increase the Yield and Quality of Common Bean (Phaseolus vulgaris L.): A Systematic Review. Agronomy 2022, 12, 271. [Google Scholar] [CrossRef]
- Sebastian Chávez, R.; Escuela, R.; Panamericana, A.; Honduras, Z. Respuesta Del Cultivo de Frijol Común a Bajo Contenido de Fósforo En El Suelo: Revisión de Literatura; Zamorano Escuela Agrícola Panamericana: Tegucigalpa, Honduras, 2020. [Google Scholar]
- United Nations. Population|United Nations. Available online: https://un.org/en/observances/world-pulses-day (accessed on 30 December 2024).
- Ministerio de Desarrollo Agrario y Riego (Minagri). Perfil Productivo y Competitivo de los Principales Cultivos del Sector. Available online: https://app.powerbi.com/view?r=eyJrIjoiYjYwYTk5MDgtM2M0MS00NDMyLTgzNDEtMjNhNjEzYWQyOTNlIiwidCI6IjdmMDg0NjI3LTdmNDAtNDg3OS04OTE3LTk0Yjg2ZmQzNWYzZiJ9 (accessed on 30 October 2024).
- De Ron, A.M.; Rodiño, A.P.; Santalla, M.; González, A.M.; Lema, M.J.; Martín, I.; Kigel, J. Seedling Emergence and Phenotypic Response of Common Bean Germplasm to Different Temperatures under Controlled Conditions and in Open Field. Front. Plant Sci. 2016, 7, 1087. [Google Scholar] [CrossRef] [PubMed]
- Geleta, R.J.; Roro, A.G.; Terfa, M.T. Phenotypic and Yield Responses of Common Bean (Phaseolus vulgaris L.) Varieties to Different Soil Moisture Levels. BMC Plant Biol. 2024, 24, 242. [Google Scholar] [CrossRef] [PubMed]
- De Ron, A.M.; Kalavacharla, V.K.; Casquero, P.A.; Gutiérrez, S.; Lorenzana, A.; Villanueva, A.B.; Rosa, L. De Genomic Designing of Climate-Smart Pulse Crops; Springer International Publishing: Berlin/Heidelberg, Germany, 2019; ISBN 9783319969329. [Google Scholar]
- Łabuda, H.; Brodaczewska, A. The Influence of Environmental Factors on Flowering of French Bean (Phaseolus vulgaris L.). Acta Agrobot. 2012, 60, 153–159. [Google Scholar] [CrossRef]
- Azeem, F.; Bilal, M.J.; Ijaz, U.; Zubair, M.; Rasul, I.; Asghar, M.J.; Abbas, G.; Atif, R.M.; Hameed, A. Recent Advances in Breeding, Marker Assisted Selection and Genomics of Black Gram (Vigna Mungo (L.) Hepper). In Advances in Plant Breeding Strategies: Legumes; Springer: Cham, Switzerland, 2019; Volume 7, ISBN 9783030234003. [Google Scholar]
- Weselek, A.; Ehmann, A.; Zikeli, S.; Lewandowski, I.; Schindele, S.; Högy, P. Agrophotovoltaic Systems: Applications, Challenges, and Opportunities. A Review. Agron. Sustain. Dev. 2019, 39, 35. [Google Scholar] [CrossRef]
- Zahrawi, A.A.; Aly, A.M. A Review of Agrivoltaic Systems: Addressing Challenges and Enhancing Sustainability. Sustainability 2024, 16, 8271. [Google Scholar] [CrossRef]
- Wang, F.; Men, R.; Yan, S.; Lai, H.; Wang, Z.; Feng, K.; Gao, S.; Li, Y.; Guo, W.; Qu, Y. Vegetation’s Dynamic Changes, Spatial Trends, and Responses to Drought in the Yellow River Basin, China. Agronomy 2024, 14, 1724. [Google Scholar] [CrossRef]
- Nie, Y.; Avraamidou, S.; Xiao, X.; Pistikopoulos, E.N.; Li, J.; Zeng, Y.; Song, F.; Yu, J.; Zhu, M. A Food-Energy-Water Nexus Approach for Land Use Optimization. Sci. Total Environ. 2018, 659, 7–19. [Google Scholar] [CrossRef] [PubMed]
- Santra, P. Agri-Voltaic System for Climate Smart Agriculture and Clean Energy Generation. SATSA Mukhaptra Annu. Tech. Issue 2018, 22, 7–15. [Google Scholar]
- Reeza, A.A.; Noor, N.F.M.; Ahmed, O.H.; Masuri, M.A. Shading Effect of Photovoltaic Panels on Growth of Selected Tropical Vegetable Crops. Sci. Hortic. 2024, 324, 112574. [Google Scholar] [CrossRef]
- Elkadeem, M.R.; Zainali, S.; Lu, S.M.; Younes, A.; Abido, M.A.; Amaducci, S.; Croci, M.; Zhang, J.; Landelius, T.; Stridh, B.; et al. Agrivoltaic Systems Potentials in Sweden: A Geospatial-Assisted Multi-Criteria Analysis. Appl. Energy 2024, 356, 122108. [Google Scholar] [CrossRef]
- Trommsdorff, M.; Dhal, I.S.; Özdemir, Ö.E.; Ketzer, D.; Weinberger, N.; Rösch, C. Agrivoltaics: Solar Power Generation and Food Production; Academic Press: Cambridge, MA, USA, 2022; ISBN 9780323898669. [Google Scholar]
- Gonocruz, R.A.; Nakamura, R.; Yoshino, K.; Homma, M.; Doi, T.; Yoshida, Y.; Tani, A. Analysis of the Rice Yield under an Agrivoltaic System: A Case Study in Japan. Environments 2021, 8, 65. [Google Scholar] [CrossRef]
- Gorjian, S.; Bousi, E.; Özdemir, Ö.E.; Trommsdorff, M.; Kumar, N.M.; Anand, A.; Kant, K.; Chopra, S.S. Progress and Challenges of Crop Production and Electricity Generation in Agrivoltaic Systems Using Semi-Transparent Photovoltaic Technology. Renew. Sustain. Energy Rev. 2022, 158, 112126. [Google Scholar] [CrossRef]
- Meitzner, R.; Schubert, U.S.; Hoppe, H. Agrivoltaics—The Perfect Fit for the Future of Organic Photovoltaics. Adv. Energy Mater. 2021, 11, 2002551. [Google Scholar] [CrossRef]
- Pascaris, A.S.; Schelly, C.; Pearce, J.M. A First Investigation of Agriculture Sector Perspectives on the Opportunities and Barriers for Agrivoltaics. Agronomy 2020, 10, 1885. [Google Scholar] [CrossRef]
- Dupraz, C.; Marrou, H.; Talbot, G.; Dufour, L.; Nogier, A.; Ferard, Y. Combining Solar Photovoltaic Panels and Food Crops for Optimising Land Use: Towards New Agrivoltaic Schemes. Renew. Energy 2011, 36, 2725–2732. [Google Scholar] [CrossRef]
- Garrod, A.; Ghosh, A. A Review of Bifacial Solar Photovoltaic Applications. Front. Energy 2023, 17, 704–726. [Google Scholar] [CrossRef]
- Barichello, J.; Mariani, P.; Vesce, L.; Spadaro, D.; Citro, I.; Matteocci, F.; Bartolotta, A.; Di Carlo, A.; Calogero, G. Bifacial Dye-Sensitized Solar Cells for Indoor and Outdoor Renewable Energy-Based Application. J. Mater. Chem. C 2023, 12, 2317–2349. [Google Scholar] [CrossRef]
- Hezel, R. Novel Applications of Bifacial Solar Cells. Prog. Photovolt. Res. Appl. 2003, 11, 549–556. [Google Scholar] [CrossRef]
- Castro, A.; Dàvila, C.; Wil, L. Climas Del Perú: Mapa de Clasificaciòn Climática Nacional; 2021; ISBN 9786124831539. Available online: https://hdl.handle.net/20.500.12542/1336 (accessed on 28 December 2024).
- Rascón, J.; Gosgot Angeles, W.; Oliva, M.; Quiñones Huatangari, L.; Barrena Grurbillon, M.A. Determinación de Las Épocas Lluviosas y Secas En La Ciudadde Chachapoyas Para El Periodo de 2014–2018. Rev. Climatol. 2020, 20, 15–28. [Google Scholar]
- Vásquez, J.; Vilca, N.; Malqui, R. Catálogo de Frijol En Regiones Andinas Del Banco de Germoplasma Del INIA; Instituto Nacional de Innovación Agraria: La Molin, Peru, 2023; ISBN 9789972441219. [Google Scholar]
- Zhang, X.; Feng, G.; Sun, X. Advanced Technologies of Soil Moisture Monitoring in Precision Agriculture: A Review. J. Agric. Food Res. 2024, 18, 101473. [Google Scholar] [CrossRef]
- Kahramanoğlu, İ.; Usanmaz, S.; Alas, T. Water Footprint and Irrigation Use Efficiency of Important Crops in Northern Cyprus from an Environmental, Economic and Dietary Perspective. Saudi J. Biol. Sci. 2020, 27, 134–141. [Google Scholar] [CrossRef] [PubMed]
- Awan, F.K.; Khurshid, M.Y.; Afzal, O.; Ahmed, M.; Chaudhry, A.N. Agro-Morphological Evaluation of Some Exotic Common Bean (Phaseolus vulgaris L.) Genotypes under Rainfed Conditions of Islamabad, Pakistan. Pakistan J. Bot. 2014, 46, 259–264. [Google Scholar]
- Vásquez García, J.; Vilca Valqui, N.C.; Malqui Ramos, R.F. Manual de Manejo Agronomico de Frijol en Regiones Andinas; Instituto Nacional de Innovación Agraria: La Molin, Peru, 2023; Volume 11. [Google Scholar]
- Elamri, Y.; Cheviron, B.; Lopez, J.M.; Dejean, C.; Belaud, G. Water Budget and Crop Modelling for Agrivoltaic Systems: Application to Irrigated Lettuces. Agric. Water Manag. 2018, 208, 440–453. [Google Scholar] [CrossRef]
- Noor, N.F.M.; Reeza, A.A. Effects of Solar Photovoltaic Installation on Microclimate and Soil Properties in UiTM 50MWac Solar Park, Malaysia. IOP Conf. Ser. Earth Environ. Sci. 2022, 1059, 012031. [Google Scholar] [CrossRef]
- Jadidi, M.; Mumivand, H.; Nia, A.E.; Shayganfar, A.; Maggi, F. UV-A and UV-B Combined with Photosynthetically Active Radiation Change Plant Growth, Antioxidant Capacity and Essential Oil Composition of Pelargonium Graveolens. BMC Plant Biol. 2023, 23, 555. [Google Scholar] [CrossRef] [PubMed]
- Lv, Y.; Gu, L.; Man, R.; Liu, X.; Xu, J. Response of Stomatal Conductance, Transpiration, and Photosynthesis to Light and CO2 for Rice Leaves with Different Appearance Days. Front. Plant Sci. 2024, 15, 1397948. [Google Scholar] [CrossRef]
- Hadi, H.; Ghassemi-Golezani, K.; Khoei, F.R.; Valizadeh, M.; Shakiba, M.R. Response of Common Bean (Phaseolus vulgaris L.) to Different Levels of Shade. J. Agron. 2006, 5, 595–599. [Google Scholar] [CrossRef]
- Raza, M.A.; Gul, H.; Hasnain, A.; Bin Khalid, M.H.; Hussain, S.; Abbas, G.; Ahmed, W.; Babar, M.J.; Ahmed, Z.; Saeed, A.; et al. Leaf Area Regulates the Growth Rates and Seed Yield of Soybean (Glycine max L. Merr.) in Intercropping System. Int. J. Plant Prod. 2022, 16, 639–652. [Google Scholar] [CrossRef]
- Scarano, A.; Semeraro, T.; Calisi, A.; Aretano, R.; Rotolo, C.; Lenucci, M.S.; Santino, A.; Piro, G.; De Caroli, M. Effects of the Agrivoltaic System on Crop Production: The Case of Tomato (Solanum lycopersicum L.). Appl. Sci. 2024, 14, 3095. [Google Scholar] [CrossRef]
- Xie, T.; Li, J.; Yang, C.; Jiang, Z.; Chen, Y.; Guo, L.; Zhang, J. Crop Height Estimation Based on UAV Images: Methods, Errors, and Strategies. Comput. Electron. Agric. 2021, 185, 106155. [Google Scholar] [CrossRef]
- Frühauf, A.C.; Silva, E.M.; Fernandes, T.J.; Muniz, J.A. Predicting Height Growth in Bean Plants Using Non-Linear and Polynomial Models. Rev. Agrogeoambiental 2022, 13. [Google Scholar] [CrossRef]
- Kumar, V.; Kumar, P.; Khan, A. Optimization of PGPR and Silicon Fertilization Using Response Surface Methodology for Enhanced Growth, Yield and Biochemical Parameters of French Bean (Phaseolus vulgaris L.) under Saline Stress. Biocatal. Agric. Biotechnol. 2020, 23, 101463. [Google Scholar] [CrossRef]
- Cossu, M.; Sirigu, A.; Deligios, P.A.; Farci, R.; Carboni, G.; Urracci, G.; Ledda, L. Yield Response and Physiological Adaptation of Green Bean to Photovoltaic Greenhouses. Front. Plant Sci. 2021, 12, 655851. [Google Scholar] [CrossRef] [PubMed]
- Ali, A.D.; Habila, S.; Isiwu, N.C.; Osaji, K.J.; Nyam, D.D. Effects of Tin Mine Tailings on the Growth and Development of Common Bean (Phaseolus vulgaris L.) in Jos, Nigeria. J. Agric. Ecol. Res. Int. 2019, 19, 1–7. [Google Scholar] [CrossRef]
- Rinaldi, F.B.; Sudiana, E.; Hardiyati, T. Global Warming and the Phenology of Yard-Long Beans (Vigna unguiculata Subsp. Cylindrica (L.) Verdc.). Interdiscip. Int. J. Conserv. Cult. 2023, 1, 73–79. [Google Scholar] [CrossRef]
- Tabot, P.T.; Mebong, M.P.; Abeche, A.J.; Kedju, N.C.; Nyama, B.C. Ecophysiological Responses of Phaseolus vulgaris L. to Salinity and Irrigation Regimes in Screen House. Int. J. Curr. Res. Biosci. Plant Biol. 2021, 8, 11–22. [Google Scholar] [CrossRef]
- Bareke, T. Diversity and Genetic Potential of Various Morphological Traits among Common Bean (Phaseolus vulgaris, Fabaceae) Landraces. Biodiversitas J. Biol. Divers. 2019, 20. [Google Scholar] [CrossRef]
- Madushani, G.H.K.; Karunarathna, B. Impact of Organic Liquid Fertilizers on Growth and Yield Performance of Green Bean (Phaseolus vulgaris L.) in Non-Circulating Hydroponic System. AGRIEAST J. Agric. Sci. 2023, 17, 25–41. [Google Scholar] [CrossRef]
- Hussein, A.M.; Benmoussa, M. Planting Density and Dose of Nitrogen and Potassium as Influencing Pod Characters of Snap Bean (Phaseolus vulgaris L.). Turkish J. Agric.-Food Sci. Technol. 2023, 11, 634–638. [Google Scholar] [CrossRef]
- Merga, J.T. Evaluation of Common Bean Varieties (Phaseolus vulgaris L.) to Different Row-Spacing in Jimma, South Western Ethiopia. Heliyon 2020, 6, e04822. [Google Scholar] [CrossRef] [PubMed]
- Saravia, D.; Valqui-Valqui, L.; Salazar, W.; Quille-Mamani, J.; Barboza, E.; Porras-Jorge, R.; Injante, P.; Arbizu, C.I. Yield Prediction of Four Bean (Phaseolus vulgaris) Cultivars Using Vegetation Indices Based on Multispectral Images from UAV in an Arid Zone of Peru. Drones 2023, 7, 325. [Google Scholar] [CrossRef]














Disclaimer/Publisher’s Note: The statements, opinions and data contained in all publications are solely those of the individual author(s) and contributor(s) and not of MDPI and/or the editor(s). MDPI and/or the editor(s) disclaim responsibility for any injury to people or property resulting from any ideas, methods, instructions or products referred to in the content. |
© 2025 by the authors. Licensee MDPI, Basel, Switzerland. This article is an open access article distributed under the terms and conditions of the Creative Commons Attribution (CC BY) license (https://creativecommons.org/licenses/by/4.0/).
Share and Cite
Gosgot Angeles, W.; Banda Martinez, D.; Barrena Gurbillón, M.Á.; Espinoza Canaza, F.I.; Santillan Gomez, H.; Mori Servan, D.C.; Yalta Chappa, M.; Huanes Mariños, M.A.; Gamarra-Torres, O.A.; Oliva-Cruz, M. Productivity and Morphological Adaptation of Phaseolus vulgaris L. in Agrivoltaic Systems with Different Photovoltaic Technologies: A Case Study in Chachapoyas, Amazonas, Peru. Agronomy 2025, 15, 529. https://doi.org/10.3390/agronomy15030529
Gosgot Angeles W, Banda Martinez D, Barrena Gurbillón MÁ, Espinoza Canaza FI, Santillan Gomez H, Mori Servan DC, Yalta Chappa M, Huanes Mariños MA, Gamarra-Torres OA, Oliva-Cruz M. Productivity and Morphological Adaptation of Phaseolus vulgaris L. in Agrivoltaic Systems with Different Photovoltaic Technologies: A Case Study in Chachapoyas, Amazonas, Peru. Agronomy. 2025; 15(3):529. https://doi.org/10.3390/agronomy15030529
Chicago/Turabian StyleGosgot Angeles, Wildor, Duber Banda Martinez, Miguel Ángel Barrena Gurbillón, Fernando Isaac Espinoza Canaza, Homar Santillan Gomez, Diana Carina Mori Servan, Merbelita Yalta Chappa, Milton Américo Huanes Mariños, Oscar Andrés Gamarra-Torres, and Manuel Oliva-Cruz. 2025. "Productivity and Morphological Adaptation of Phaseolus vulgaris L. in Agrivoltaic Systems with Different Photovoltaic Technologies: A Case Study in Chachapoyas, Amazonas, Peru" Agronomy 15, no. 3: 529. https://doi.org/10.3390/agronomy15030529
APA StyleGosgot Angeles, W., Banda Martinez, D., Barrena Gurbillón, M. Á., Espinoza Canaza, F. I., Santillan Gomez, H., Mori Servan, D. C., Yalta Chappa, M., Huanes Mariños, M. A., Gamarra-Torres, O. A., & Oliva-Cruz, M. (2025). Productivity and Morphological Adaptation of Phaseolus vulgaris L. in Agrivoltaic Systems with Different Photovoltaic Technologies: A Case Study in Chachapoyas, Amazonas, Peru. Agronomy, 15(3), 529. https://doi.org/10.3390/agronomy15030529

