The Restoration Effect of Degraded Grassland Depends on the Response of Species Root Distribution to Resource Availability
Abstract
1. Introduction
2. Materials and Methods
2.1. Site Description
2.2. Experimental Design
2.3. Sampling and Measurements
2.4. Statistical Analysis
3. Results
3.1. Primary Production and Resource Use Efficiency at Community Level
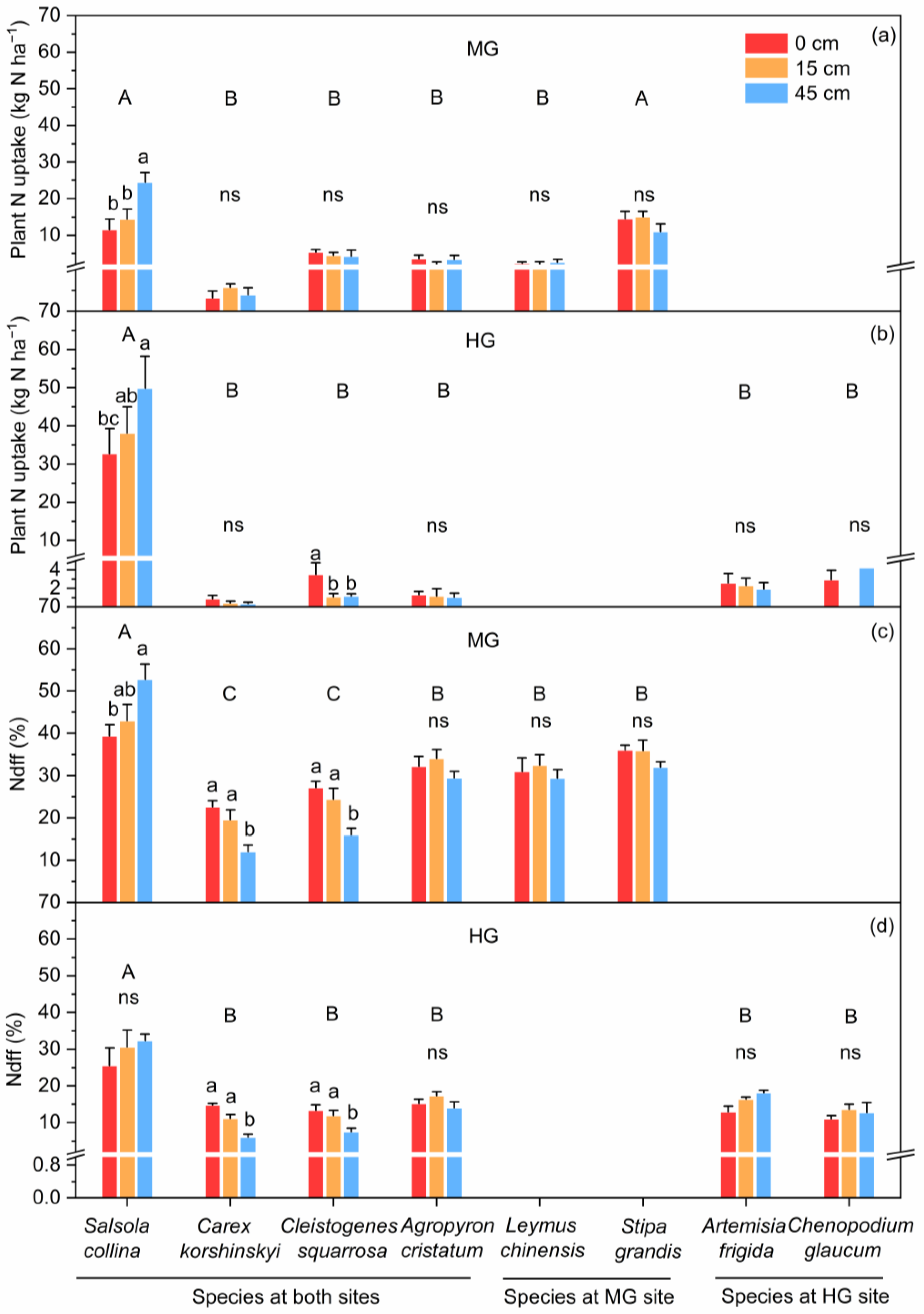
3.2. Aboveground Biomass, N Uptake and 15N Abundance at Species Level
4. Discussion
4.1. Strong Response of ANPP to the Depths of Fertigation and Grazing History
4.2. Root System and Resource Competition of Plants at the Species Level
5. Conclusions
Supplementary Materials
Author Contributions
Funding
Data Availability Statement
Acknowledgments
Conflicts of Interest
References
- Bengtsson, J.; Bullock, J.M.; Egoh, B.; Everson, C.; Everson, T.; O’Connor, T.; O’Farrell, P.J.; Smith, H.G.; Lindborg, R. Grasslands-More Important for Ecosystem Services than You Might Think. Ecosphere 2019, 10, e02582. [Google Scholar] [CrossRef]
- Rafalska, A.; Walkiewicz, A.; Osborne, B.; Klumpp, K.; Bieganowski, A. Variation in Methane Uptake by Grassland Soils in the Context of Climate Change—A Review of Effects and Mechanisms. Sci. Total Environ. 2023, 871, 162127. [Google Scholar] [CrossRef] [PubMed]
- Luo, W.; Muraina, T.O.; Griffin-Nolan, R.J.; Ma, W.; Song, L.; Fu, W.; Yu, Q.; Knapp, A.K.; Wang, Z.; Han, X.; et al. Responses of a Semiarid Grassland to Recurrent Drought Are Linked to Community Functional Composition. Ecology 2023, 104, e3920. [Google Scholar] [CrossRef] [PubMed]
- Sun, J.; Liu, W.; Pan, Q.; Zhang, B.; Lv, Y.; Huang, J.; Han, X. Positive Legacies of Severe Droughts in the Inner Mongolia Grassland. Sci. Adv. 2022, 8, eadd6249. [Google Scholar] [CrossRef]
- Xu, Z.; Liu, H.; Meng, Y.; Yin, J.; Ren, H.; Li, M.-H.; Yang, S.; Tang, S.; Jiang, Y.; Jiang, L. Nitrogen Addition and Mowing Alter Drought Resistance and Recovery of Grassland Communities. Sci. China-Life Sci. 2023, 66, 1682–1692. [Google Scholar] [CrossRef] [PubMed]
- van der Wiel, K.; Bintanja, R. Contribution of Climatic Changes in Mean and Variability to Monthly Temperature and Precipitation Extremes. Commun. Earth Environ. 2021, 2, 1. [Google Scholar] [CrossRef]
- Easterling, D.R.; Meehl, G.A.; Parmesan, C.; Changnon, S.A.; Karl, T.R.; Mearns, L.O. Climate Extremes: Observations, Modeling, and Impacts. Science 2000, 289, 2068–2074. [Google Scholar] [CrossRef]
- Hoover, D.L.; Lauenroth, W.K.; Milchunas, D.G.; Porensky, L.M.; Augustine, D.J.; Derner, J.D. Sensitivity of Productivity to Precipitation Amount and Pattern Varies by Topographic Position in a Semiarid Grassland. Ecosphere 2021, 12, e03376. [Google Scholar] [CrossRef]
- Liu, D.; Zhang, C.; Ogaya, R.; Fernández-Martínez, M.; Pugh, T.A.M.; Peñuelas, J. Increasing Climatic Sensitivity of Global Grassland Vegetation Biomass and Species Diversity Correlates with Water Availability. New Phytol. 2021, 230, 1761–1771. [Google Scholar] [CrossRef]
- Huxman, T.E.; Smith, M.D.; Fay, P.A.; Knapp, A.K.; Shaw, M.R.; Loik, M.E.; Smith, S.D.; Tissue, D.T.; Zak, J.C.; Weltzin, J.F.; et al. Convergence across Biomes to a Common Rain-Use Efficiency. Nature 2004, 429, 651–654. [Google Scholar] [CrossRef] [PubMed]
- Christensen, L.; Coughenour, M.B.; Ellis, J.E.; Chen, Z.Z. Vulnerability of the Asian Typical Steppe to Grazing and Climate Change. Clim. Chang. 2004, 63, 351–368. [Google Scholar] [CrossRef]
- Wang, L.; Delgado-Baquerizo, M.; Zhao, X.; Zhang, M.; Song, Y.; Cai, J.; Chang, Q.; Li, Z.; Chen, Y.; Liu, J.; et al. Livestock Overgrazing Disrupts the Positive Associations between Soil Biodiversity and N Availability. Funct. Ecol. 2020, 34, 1713–1720. [Google Scholar] [CrossRef]
- Zhang, H.; Fan, J.; Wang, J.; Cao, W.; Harris, W. Spatial and Temporal Variability of Grassland Yield and Its Response to Climate Change and Anthropogenic Activities on the Tibetan Plateau from 1988 to 2013. Ecol. Indic. 2018, 95, 141–151. [Google Scholar] [CrossRef]
- Zhao, X.; Delgado-Baquerizo, M.; Song, Y.; Cai, J.; Chang, Q.; Liu, J.; Zhu, H.; Li, Z.; Chen, Y.; Song, X.; et al. Effects of Livestock Overgrazing on the Relationships between Plant and Microbial Diversity across the Temperate Steppes in Northern China. Land Degrad. Dev. 2023, 34, 1197–1207. [Google Scholar] [CrossRef]
- Liu, J.; Isbell, F.; Ma, Q.; Chen, Y.; Xing, F.; Sun, W.; Wang, L.; Li, J.; Wang, Y.; Hou, F.; et al. Overgrazing, Not Haying, Decreases Grassland Topsoil Organic Carbon by Decreasing Plant Species Richness along an Aridity Gradient in Northern China. Agric. Ecosyst. Environ. 2022, 332, 107935. [Google Scholar] [CrossRef]
- Zhang, T.; Li, F.Y.; Shi, C.; Li, Y.; Tang, S.; Baoyin, T. Enhancement of Nutrient Resorption Efficiency Increases Plant Production and Helps Maintain Soil Nutrients under Summer Grazing in a Semi-Arid Steppe. Agric. Ecosyst. Environ. 2020, 292, 106840. [Google Scholar] [CrossRef]
- Gao, Y.H.; Zeng, X.; Schumann, M.; Chen, H. Effectiveness of Exclosures on Restoration of Degraded Alpine Meadow in the Eastern Tibetan Plateau. Arid. Land Res. Manag. 2011, 25, 164–175. [Google Scholar] [CrossRef]
- Giese, M.; Brueck, H.; Gao, Y.Z.; Lin, S.; Steffens, M.; Gel-Knabner, I.K.; Glindemann, T.; Susenbeth, A.; Taube, F.; Butterbach-Bahl, K.; et al. N Balance and Cycling of Inner Mongolia Typical Steppe: A Comprehensive Case Study of Grazing Effects. Ecol. Monogr. 2013, 83, 25. [Google Scholar] [CrossRef]
- Liu, S.; Zamanian, K.; Schleuss, P.-M.; Zarebanadkouki, M.; Kuzyakov, Y. Degradation of Tibetan Grasslands: Consequences for Carbon and Nutrient Cycles. Agric. Ecosyst. Environ. 2018, 252, 93–104. [Google Scholar] [CrossRef]
- Piipponen, J.; Jalava, M.; de Leeuw, J.; Rizayeva, A.; Godde, C.; Cramer, G.; Herrero, M.; Kummu, M. Global Trends in Grassland Carrying Capacity and Relative Stocking Density of Livestock. Glob. Chang. Biol. 2022, 28, 3902–3919. [Google Scholar] [CrossRef] [PubMed]
- Xu, L.L.; Yu, G.; Zhang, W.; Tu, Z.; Tan, W. Change Features of Time-Series Climate Variables from 1962 to 2016 in Inner Mongolia, China. J. Arid. Land 2020, 12, 58–72. [Google Scholar] [CrossRef]
- Chen, Q.; Hooper, D.U.; Lin, S. Shifts in Species Composition Constrain Restoration of Overgrazed Grassland Using Nitrogen Fertilization in Inner Mongolian Steppe, China. PLoS ONE 2011, 6, e16909. [Google Scholar] [CrossRef][Green Version]
- Gao, Y.Z.; Chen, Q.; Lin, S.; Giese, M.; Brueck, H. Resource Manipulation Effects on Net Primary Production, Biomass Allocation and Rain-Use Efficiency of Two Semiarid Grassland Sites in Inner Mongolia, China. Oecologia 2011, 165, 855–864. [Google Scholar] [CrossRef]
- Bai, Y.; Wu, J.; Clark, C.M.; Naeem, S.; Pan, Q.; Huang, J.; Zhang, L.; Han, X. Tradeoffs and Thresholds in the Effects of N Addition on Biodiversity and Ecosystem Functioning: Evidence from Inner Mongolia Grasslands. Glob. Chang. Biol. 2010, 16, 358–372. [Google Scholar] [CrossRef]
- Li, H.; Terrer, C.; Berdugo, M.; Maestre, F.T.; Zhu, Z.; Peñuelas, J.; Yu, K.; Luo, L.; Gong, J.-Y.; Ye, J.-S. Nitrogen Addition Delays the Emergence of an Aridity-Induced Threshold for Plant Biomass. Natl. Sci. Rev. 2023, 10, nwad242. [Google Scholar] [CrossRef]
- Shi, T.-S.; Collins, S.L.; Yu, K.; Peñuelas, J.; Sardans, J.; Li, H.; Ye, J.-S. A Global Meta-Analysis on the Effects of Organic and Inorganic Fertilization on Grasslands and Croplands. Nat. Commun. 2024, 15, 3411. [Google Scholar] [CrossRef] [PubMed]
- Li, K.; Liu, X.; Song, L.; Gong, Y.; Lu, C.; Yue, P.; Tian, C.; Zhang, F. Response of Alpine Grassland to Elevated Nitrogen Deposition and Water Supply in China. Oecologia 2015, 177, 65–72. [Google Scholar] [CrossRef]
- Huang, L.; Wang, D.; Yao, L.; Li, X.; Wang, D.; Du, Q.; Zhang, Y.; Hou, X.; Guo, Y. Primary Limitation on Vegetation Productivity Shifts from Precipitation in Dry Years to N in Wet Years in a Degraded Arid Steppe of Inner Mongolia, Northern China. J. Soils Sediments 2019, 19, 544–556. [Google Scholar] [CrossRef]
- Weltzin, J.F.; Loik, M.E.; Schwinning, S.; Williams, D.G.; Fay, P.A.; Haddad, B.M.; Harte, J.; Huxman, T.E.; Knapp, A.K.; Lin, G.; et al. Assessing the Response of Terrestrial Ecosystems to Potential Changes in Precipitation. BioScience 2003, 53, 941. [Google Scholar] [CrossRef]
- Chen, Q.; Wang, Z.; Zou, C.B.; Fan, Y.; Dittert, K.; Lin, S. Legacy Effects of Historical Grazing Affect the Response of Vegetation Dynamics to Water and N Addition in Semi-arid Steppe. Appl. Veg. Sci. 2018, 21, 229–239. [Google Scholar] [CrossRef]
- Chen, Q.; Hooper, D.U.; Li, H.; Gong, X.Y.; Peng, F.; Wang, H.; Dittert, K.; Lin, S. Effects of Resource Addition on Recovery of Production and Plant Functional Composition in Degraded Semiarid Grasslands. Oecologia 2017, 184, 13–24. [Google Scholar] [CrossRef]
- Sternberg, M.; Golodets, C.; Gutman, M.; Perevolotsky, A.; Ungar, E.D.; Kigel, J.; Henkin, Z. Testing the Limits of Resistance: A 19-year Study of Mediterranean Grassland Response to Grazing Regimes. Glob. Chang. Biol. 2015, 21, 1939–1950. [Google Scholar] [CrossRef]
- Yang, C.; Sun, J. Impact of Soil Degradation on Plant Communities in an Overgrazed Tibetan Alpine Meadow. J. Arid. Environ. 2021, 193, 104586. [Google Scholar] [CrossRef]
- Sun, G.; Coffin, D.P.; Lauenroth, W.K. Comparison of Root Distributions of Species in North American Grasslands Using GIS. J. Veg. Sci. 1997, 8, 587–596. [Google Scholar] [CrossRef]
- Yang, H.; Li, Y.; Wu, M.; Zhang, Z.; Li, L.; Wan, S. Plant Community Responses to N Addition and Increased Precipitation: The Importance of Water Availability and Species Traits. Glob. Chang. Biol. 2011, 17, 2936–2944. [Google Scholar] [CrossRef]
- Goldstein, L.J.; Suding, K.N. Intra-Annual Rainfall Regime Shifts Competitive Interactions between Coastal Sage Scrub and Invasive Grasses. Ecology 2014, 95, 425–435. [Google Scholar] [CrossRef] [PubMed]
- Verma, P.; Sagar, R. Responses of Diversity, Productivity, and Stability to the N Input in a Tropical Grassland. Ecol. Appl. 2020, 30, e02037. [Google Scholar] [CrossRef] [PubMed]
- Ning, Z.; Zhao, X.; Li, Y.; Zhao, X.; Han, D.; Zhan, J. Comparison of Leaf and Fine Root Traits Between Annuals and Perennials, Implicating the Mechanism of Species Changes in Desertified Grasslands. Front. Plant Sci. 2022, 12, 778547. [Google Scholar] [CrossRef]
- Rewald, B.; Khan, A.; Liu, X.-P. Annual Herbaceous Plants Exhibit Altered Morphological Traits in Response to Altered Precipitation and Drought Patterns in Semiarid Sandy Grassland, Northern China. Front. Plant Sci. 2022, 13, 756950. [Google Scholar]
- Comas, L.H. Exploring Plant Root Traits and Fungal Interactions Governing Plant Community Structure: Re-focusing Long Standing Questions. New Phytol. 2017, 216, 963–964. [Google Scholar] [CrossRef]
- Frank, D.A.; Pontes, A.W.; Maine, E.M.; Caruana, J.; Raina, R.; Raina, S.; Fridley, J.D. Grassland Root Communities: Species Distributions and How They Are Linked to Aboveground Abundance. Ecology 2010, 91, 3201–3209. [Google Scholar] [CrossRef]
- Christian, D.G.; Poulton, P.R.; Riche, A.B.; Yates, N.E. The Recovery of 15N-Lablled Fertilizer Applied to Miscanthus × Giganteus. Biomass Bioenergy 1997, 12, 21–24. [Google Scholar] [CrossRef]
- Jumpponen, A.; Högberg, P.; Huss-Danell, K.; Mulder, C.P.H. Interspecific and Spatial Differences in N Uptake in Monocultures and Two-Species Mixtures in North European Grasslands. Funct. Ecol. 2002, 16, 454–461. [Google Scholar] [CrossRef]
- Song, C.; Zhang, Y.; Ren, Z.; Lu, H.; Chen, X.; Liu, R.; Chen, J.; Zhang, Y. Soil Nitrate Mediates the Responses of Plant Community Production to the Frequency of N Addition in a Temperate Grassland: A Decadal Field Experiment. Plant Soil 2022, 491, 9–20. [Google Scholar] [CrossRef]
- Wilcox, K.R.; Fischer, J.C.; Muscha, J.M.; Petersen, M.K.; Knapp, A.K. Contrasting Above- and Belowground Sensitivity of Three Great Plains Grasslands to Altered Rainfall Regimes. Glob. Chang. Biol. 2015, 21, 335–344. [Google Scholar] [CrossRef]
- Liang, E.; Shao, X.; Kong, Z.; Lin, J. The Extreme Drought in the 1920s and Its Effect on Tree Growth Deduced from Tree Ring Analysis: A Case Study in North China. Ann. For. Sci. 2003, 60, 145–152. [Google Scholar] [CrossRef]
- Heisler-White, J.L.; Knapp, A.K.; Kelly, E.F. Increasing Precipitation Event Size Increases Aboveground Net Primary Productivity in a Semi-Arid Grassland. Oecologia 2008, 158, 129–140. [Google Scholar] [CrossRef]
- Heisler-White, J.L.; Blair, J.M.; Kelly, E.F.; Harmoney, K.; Knapp, A.K. Contingent Productivity Responses to More Extreme Rainfall Regimes across a Grassland Biome. Glob. Chang. Biol. 2009, 15, 2894–2904. [Google Scholar] [CrossRef]
- Lü, X.; Dijkstra, F.A.; Kong, D.; Wang, Z.; Han, X. Plant N Uptake Drives Responses of Productivity to N and Water Addition in a Grassland. Sci. Rep. 2015, 4, 4817. [Google Scholar] [CrossRef]
- Tilman, D. Resource Competition and Community Structure; Princeton University Press: Princeton, NJ, USA, 1982. [Google Scholar]
- Zhu, G.; Tang, Z.; Chen, L.; Shangguan, Z.; Deng, L. Overgrazing Depresses Soil Carbon Stock through Changing Plant Diversity in Temperate Grassland of the Loess Plateau. Plant Soil Environ. 2018, 64, 1–6. [Google Scholar] [CrossRef]
- Chen, S.; Bai, Y.; Lin, G.; Han, X. Variations in Life-Form Composition and Foliar Carbon Isotope Discrimination among Eight Plant Communities under Different Soil Moisture Conditions in the Xilin River Basin, Inner Mongolia, China. Ecol. Res. 2005, 20, 167–176. [Google Scholar] [CrossRef]
- Gong, X.Y.; Chen, Q.; Lin, S.; Brueck, H.; Dittert, K.; Taube, F.; Schnyder, H. Tradeoffs between N- and Water-Use Efficiency in Dominant Species of the Semiarid Steppe of Inner Mongolia. Plant Soil 2011, 340, 227–238. [Google Scholar] [CrossRef]
- Tong, C.; Wu, J.; Yong, S.; Yang, J.; Yong, W. A Landscape-Scale Assessment of Steppe Degradation in the Xilin River Basin, Inner Mongolia, China. J. Arid. Environ. 2004, 59, 133–149. [Google Scholar] [CrossRef]
- Cao, J.; Yang, L.; Pang, S.; Yang, J.; Hu, Y.; Li, Y.; Li, L.; Wang, Q. Convergent N Uptake Patterns and Divergent N Acquisition Strategies of Coexisting Plant Species in Response to Long-Term N Enrichment in a Temperate Grassland. Environ. Exp. Bot. 2021, 185, 104412. [Google Scholar] [CrossRef]
- Yang, T.; Chen, J.; Zhong, X.; Yang, X.; Wang, G.; Yao, Y.; Sternberg, M.; Sun, W. Divergent Responses of Plant Biomass and Its Allocation to the Altered Precipitation Regimes among Different Degraded Grasslands in China. Plant Soil 2022, 473, 149–166. [Google Scholar] [CrossRef]
- Littschwager, J.; Lauerer, M.; Blagodatskaya, E.; Kuzyakov, Y. Nitrogen Uptake and Utilisation as a Competition Factor between Invasive Duchesnea Indica and Native Fragaria Vesca. Plant Soil 2010, 331, 105–114. [Google Scholar] [CrossRef]
- Athmann, M.; Kautz, T.; Pude, R.; Köpke, U. Root Growth in Biopores—Evaluation with in Situ Endoscopy. Plant Soil 2013, 371, 179–190. [Google Scholar] [CrossRef]
- Wang, Z.; Hou, J.; Qu, Z.Q.; Guo, J.Y.; Li, J.R. Root Distribution of 430 Plants in Temperate Grassland of Northern China. Appl. Ecol. Environ. Res. 2017, 15, 1625–1651. [Google Scholar] [CrossRef]
- Fort, F.; Jouany, C.; Cruz, P. Root and Leaf Functional Trait Relations in Poaceae Species: Implications of Differing Resource-Acquisition Strategies. J. Plant Ecol. 2013, 6, 211–219. [Google Scholar] [CrossRef]
- Zhang, B.; Cadotte, M.W.; Chen, S.; Tan, X.; You, C.; Ren, T.; Chen, M.; Wang, S.; Li, W.; Chu, C.; et al. Plants Alter Their Vertical Root Distribution Rather than Biomass Allocation in Response to Changing Precipitation. Ecology 2019, 100, e02828. [Google Scholar] [CrossRef] [PubMed]
- Bardgett, R.D.; Mommer, L.; De Vries, F.T. Going Underground: Root Traits as Drivers of Ecosystem Processes. Trends Ecol. Evol. 2014, 29, 692–699. [Google Scholar] [CrossRef] [PubMed]
- Nacry, P.; Bouguyon, E.; Gojon, A. N Acquisition by Roots: Physiological and Developmental Mechanisms Ensuring Plant Adaptation to a Fluctuating Resource. Plant Soil 2013, 370, 1–29. [Google Scholar] [CrossRef]
- Zhao, C.; Sheng, Y.; Ren, H.; Gao, F.; Zhang, J. A Study on the Root Competitive Pattern of Annual Pasture in Mixed Grassland in Alpine Region. Acta Ecol. Sin. 2013, 33, 145–149. [Google Scholar] [CrossRef]
- Aerts, R.; Chapin, F.S. The Mineral Nutrition of Wild Plants Revisited: A Re-Evaluation of Processes and Patterns. In Advances in Ecological Research; Elsevier: Amsterdam, The Netherlands, 1999; Volume 30, pp. 1–67. ISBN 978-0-12-013930-9. [Google Scholar]
- Diaz, S.; Hodgson, J.G.; Thompson, K.; Cabido, M.; Cornelissen, J.H.C.; Jalili, A.; Montserrat-Martí, G.; Grime, J.P.; Zarrinkamar, F.; Asri, Y.; et al. The Plant Traits That Drive Ecosystems: Evidence from Three Continents. J. Veg. Sci. 2004, 15, 295–304. [Google Scholar] [CrossRef]
- Yang, X.; Liu, Y.; Tian, H.; Shen, Y. Short-Term N and Phosphorus Additions Rather than Mycorrhizal Suppression Determine Plant Community Composition and Productivity in Desert Steppe. Appl. Soil Ecol. 2021, 168, 104144. [Google Scholar] [CrossRef]






| Source | ANPP | WUE | AGB_PS | AGB_AS |
|---|---|---|---|---|
| Effect of grazing and surface irrigation | ||||
| Grazing (G) | 21.26 *** | 20.73 *** | ||
| Surface irrigation (I) | 14.48 ** | 1.46 ns | ||
| G × I | 0.19 ns | 0.06 ns | ||
| Effect of grazing and fertigation depth | ||||
| Grazing (G) | 18.06 *** | 18.06 *** | 200.82 *** | 51.78 *** |
| Depth (D) | 7.58 ** | 7.58 ** | 5.39 * | 8.56 ** |
| G × D | 0.12 ns | 0.12 ns | 0.27 ns | 0.11 ns |
| Site | Depth | Plant N Uptake | Ndfs | Ndff | 15NUE |
|---|---|---|---|---|---|
| (cm) | (kg N ha−1) | (kg N ha−1) | (kg N ha−1) | (%) | |
| MG | 43.8 ± 1.9 B | 27.8 ± 1.4 B | 16.0 ± 0.8 A | 32.0 ± 1.6 A | |
| HG | 53.1 ± 3.8 A | 39.8 ± 3.0 A | 13.4 ± 1.3 A | 26.8 ± 2.6 A | |
| 0 | 43.0 ± 3.1 b | 31.5 ± 3.3 a | 11.6 ± 1.0 b | 23.1 ± 2.0 b | |
| 15 | 48.1 ± 3.9 ab | 33.9 ± 4.0 a | 14.2 ± 0.7 b | 28.4 ± 1.3 b | |
| 45 | 54.3 ± 4.2 a | 35.9 ± 3.6 a | 18.3 ± 1.3 a | 36.6 ± 2.5 a |
Disclaimer/Publisher’s Note: The statements, opinions and data contained in all publications are solely those of the individual author(s) and contributor(s) and not of MDPI and/or the editor(s). MDPI and/or the editor(s) disclaim responsibility for any injury to people or property resulting from any ideas, methods, instructions or products referred to in the content. |
© 2024 by the authors. Licensee MDPI, Basel, Switzerland. This article is an open access article distributed under the terms and conditions of the Creative Commons Attribution (CC BY) license (https://creativecommons.org/licenses/by/4.0/).
Share and Cite
Zhao, Y.; Li, H.; Peng, F.; Xilatu, D.; Chen, Q.; Lin, S. The Restoration Effect of Degraded Grassland Depends on the Response of Species Root Distribution to Resource Availability. Agronomy 2025, 15, 12. https://doi.org/10.3390/agronomy15010012
Zhao Y, Li H, Peng F, Xilatu D, Chen Q, Lin S. The Restoration Effect of Degraded Grassland Depends on the Response of Species Root Distribution to Resource Availability. Agronomy. 2025; 15(1):12. https://doi.org/10.3390/agronomy15010012
Chicago/Turabian StyleZhao, Yiming, Hui Li, Fei Peng, Dabu Xilatu, Qing Chen, and Shan Lin. 2025. "The Restoration Effect of Degraded Grassland Depends on the Response of Species Root Distribution to Resource Availability" Agronomy 15, no. 1: 12. https://doi.org/10.3390/agronomy15010012
APA StyleZhao, Y., Li, H., Peng, F., Xilatu, D., Chen, Q., & Lin, S. (2025). The Restoration Effect of Degraded Grassland Depends on the Response of Species Root Distribution to Resource Availability. Agronomy, 15(1), 12. https://doi.org/10.3390/agronomy15010012

