Blending of Slow-Release N Fertilizer and Urea Improve Rainfed Maize Yield and Nitrogen Use Efficiency While Reducing Apparent N Losses
Abstract
1. Introduction
2. Materials and Methods
2.1. Experimental Site Description
2.2. Experimental Design
2.3. Sampling and Measurements
2.3.1. Daily NH3 Volatilization Flux
2.3.2. Soil Nitrate Nitrogen
2.3.3. Plant Dry Matter and Grain Yield
2.3.4. Plant N Accumulation and N Use Efficiency
2.3.5. Apparent N Losses and Apparent N Losses Efficiency
2.4. Statistical Analysis
3. Results
3.1. Dynamics of NH3 Volatilization
3.2. Residual Soil
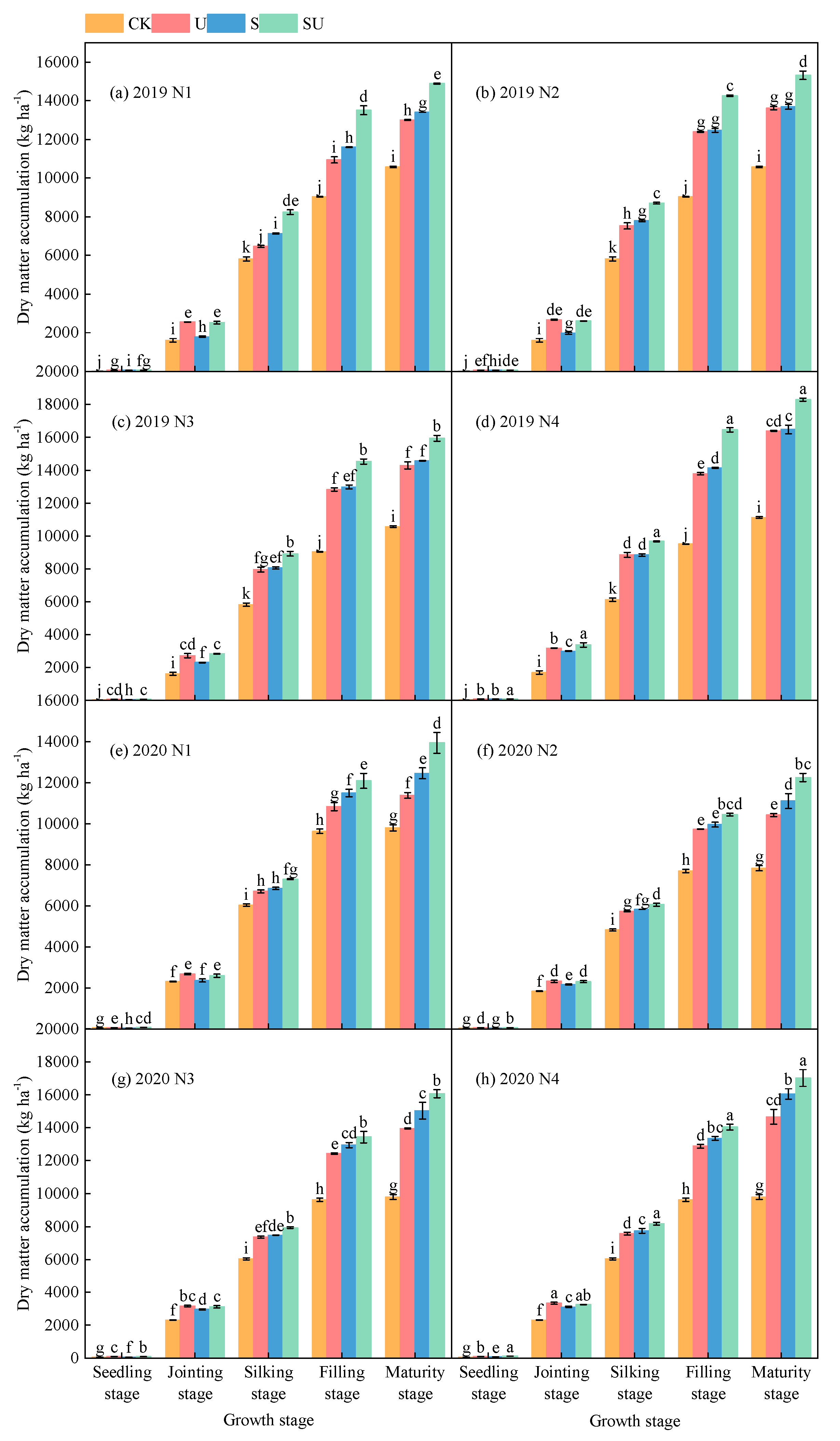
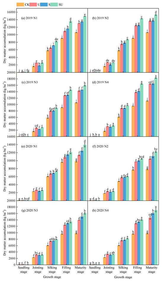
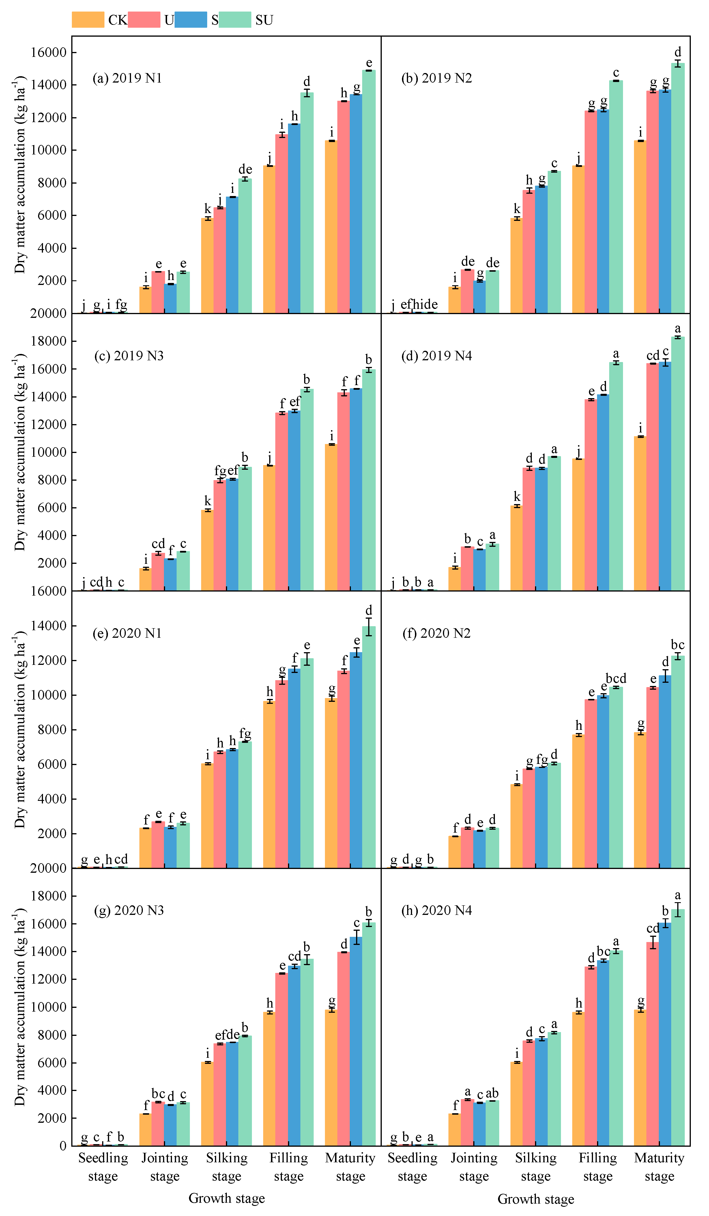
3.3. Dry Matter Accumulation
3.4. Plant N Accumulation
3.5. Apparent N Losses
3.6. Grain Yield and NUE
3.7. Relationships Between the N Application Rate, Blending Ratio of SU, and Grain Yield/NUE
4. Discussion
4.1. NH3 Volatilization
4.2. Residual Soil and Apparent N Losses
4.3. Grain Yield and N Use Efficiency
5. Conclusions
Supplementary Materials
Author Contributions
Funding
Data Availability Statement
Acknowledgments
Conflicts of Interest
References
- Savin, R.; Sadras, V.O.; Slafer, G.A. Benchmarking Nitrogen Utilisation Efficiency in Wheat for Mediterranean and Non-Mediterranean European Regions. Field Crop. Res. 2019, 241, 107573. [Google Scholar] [CrossRef]
- Qi, Z.; Dong, Y.; He, M.; Wang, M.; Li, Y.; Dai, X. Coated, Stabilized Enhanced-Efficiency Nitrogen Fertilizers: Preparation and Effects on Maize Growth and Nitrogen Utilization. Front. Plant Sci. 2021, 12, 792262. [Google Scholar] [CrossRef] [PubMed]
- Li, G.; Cheng, G.; Lu, W.; Lu, D. Differences of Yield and Nitrogen Use Efficiency under Different Applications of Slow Release Fertilizer in Spring Maize. J. Integr. Agric. 2021, 20, 554–564. [Google Scholar] [CrossRef]
- van Dijk, M.; Morley, T.; Rau, M.L.; Saghai, Y. A Meta-Analysis of Projected Global Food Demand and Population at Risk of Hunger for the Period 2010–2050. Nat. Food 2021, 2, 494–501. [Google Scholar] [CrossRef]
- Chen, Z.; Wang, Q.; Ma, J.; Zou, P.; Jiang, L. Impact of Controlled-Release Urea on Rice Yield, Nitrogen Use Efficiency and Soil Fertility in a Single Rice Cropping System. Sci. Rep. 2020, 10, 10432. [Google Scholar] [CrossRef] [PubMed]
- Shi, W.; Zhang, Q.; Xie, R.; Sheng, K.; Tan, J.; Wang, Y. Blending Loss-Control and Normal Urea Maximizes Nitrogen Utilization of Summer Maize by Mitigating Ammonia Volatilization and Nitrate Leaching. Plant Soil 2023, 490, 125–141. [Google Scholar] [CrossRef]
- Zhang, G.; Liu, S.; Wang, X.; Wang, X.; Zhang, Y.; Zhao, D.; Wen, X.; Han, J.; Liao, Y. Mixed Application of Controlled-Release Urea and Normal Urea Can Improve Crop Productivity and Reduce the Carbon Footprint under Straw Return in Winter Wheat-Summer Maize Cropping System. Eur. J. Agron. 2023, 151, 127002. [Google Scholar] [CrossRef]
- Li, P.; Lu, J.; Wang, Y.; Wang, S.; Hussain, S.; Ren, T.; Cong, R.; Li, X. Nitrogen Losses, Use Efficiency, and Productivity of Early Rice under Controlled-Release Urea. Agric. Ecosyst. Environ. 2018, 251, 78–87. [Google Scholar] [CrossRef]
- Tian, C.; Zhou, X.; Ding, Z.; Liu, Q.; Xie, G.; Peng, J.; Rong, X.; Zhang, Y.; Yang, Y.; Eissa, M.A. Controlled-Release N Fertilizer to Mitigate Ammonia Volatilization from Double-Cropping Rice. Nutr. Cycl. Agroecosyst. 2021, 119, 123–137. [Google Scholar] [CrossRef]
- Sun, B.; Bai, Z.; Bao, L.; Xue, L.; Zhang, S.; Wei, Y.; Zhang, Z.; Zhuang, G.; Zhuang, X. Bacillus Subtilis Biofertilizer Mitigating Agricultural Ammonia Emission and Shifting Soil Nitrogen Cycling Microbiomes. Environ. Int. 2020, 144, 105989. [Google Scholar] [CrossRef] [PubMed]
- Wang, Z.; Li, S. Chapter Three—Nitrate N Loss by Leaching and Surface Runoff in Agricultural Land: A Global Issue (a Review). In Advances in Agronomy; Sparks, D.L., Ed.; Academic Press: Cambridge, MA, USA, 2019; Volume 156, pp. 159–217. [Google Scholar]
- Zhang, J.; Zhao, G.; Dang, Y.; Fan, T.; Wang, L.; Li, S.; Zhou, G.; Fudjoe, S.K.; Wang, L.; Palta, J. Enhancing Maize Yield and Resource Efficiency through Controlled-Release Nitrogen Fertilization on the Semiarid Loess Plateau. Agronomy 2023, 13, 2320. [Google Scholar] [CrossRef]
- Lu, Y.; Xu, J.; Liu, Z.; Chen, Y.; Zhang, X.; Chen, D. Management Strategy of Slow-Release Nitrogen Fertilizers for Direct-Sown Cotton after Wheat Harvest. Agronomy 2024, 14, 536. [Google Scholar] [CrossRef]
- Li, G.; Zhao, B.; Dong, S.; Zhang, J.; Liu, P.; Lu, W. Controlled-Release Urea Combining with Optimal Irrigation Improved Grain Yield, Nitrogen Uptake, and Growth of Maize. Agric. Water Manag. 2020, 227, 105834. [Google Scholar] [CrossRef]
- Wang, X.; Xiang, Y.; Guo, J.; Tang, Z.; Zhao, S.; Wang, H.; Li, Z.; Zhang, F. Coupling Effect Analysis of Drip Irrigation and Mixed Slow-Release Nitrogen Fertilizer on Yield and Physiological Characteristics of Winter Wheat in Guanzhong Area. Field Crop. Res. 2023, 302, 109103. [Google Scholar] [CrossRef]
- Zhang, Y.; Ren, W.; Zhu, K.; Fu, J.; Wang, W.; Wang, Z.; Gu, J.; Yang, J. Substituting Readily Available Nitrogen Fertilizer with Controlled-Release Nitrogen Fertilizer Improves Crop Yield and Nitrogen Uptake While Mitigating Environmental Risks: A Global Meta-Analysis. Field Crop. Res. 2024, 306, 109221. [Google Scholar] [CrossRef]
- Beig, B.; Niazi, M.B.K.; Jahan, Z.; Hussain, A.; Zia, M.H.; Mehran, M.T. Coating Materials for Slow Release of Nitrogen from Urea Fertilizer: A Review. J. Plant Nutr. 2020, 43, 1510–1533. [Google Scholar] [CrossRef]
- Suman, J.; Rakshit, A.; Patra, A.; Dutta, A.; Tripathi, V.K.; Mohapatra, K.K.; Tiwari, R.; Krishnamoorthi, S. Enhanced Efficiency N Fertilizers: An Effective Strategy to Improve Use Efficiency and Ecological Sustainability. J. Soil Sci. Plant Nutr. 2023, 23, 1472–1488. [Google Scholar] [CrossRef]
- Guo, J.; Wang, Y.; Blaylock, A.D.; Chen, X. Mixture of Controlled Release and Normal Urea to Optimize Nitrogen Management for High-Yielding (>15 Mg Ha−1) Maize. Field Crop. Res. 2017, 204, 23–30. [Google Scholar] [CrossRef]
- Xie, Y.; Tang, L.; Han, Y.; Yang, L.; Xie, G.; Peng, J.; Tian, C.; Zhou, X.; Liu, Q.; Rong, X.; et al. Reduction in Nitrogen Fertilizer Applications by the Use of Polymer-Coated Urea: Effect on Maize Yields and Environmental Impacts of Nitrogen Losses. J. Sci. Food Agric. 2019, 99, 2259–2266. [Google Scholar] [CrossRef]
- Qu, Z.; Qi, X.; Shi, R.; Zhao, Y.; Hu, Z.; Chen, Q.; Li, C. Reduced N Fertilizer Application with Optimal Blend of Controlled-Release Urea and Urea Improves Tomato Yield and Quality in Greenhouse Production System. J. Soil Sci. Plant Nutr. 2020, 20, 1741–1750. [Google Scholar] [CrossRef]
- Andrade, A.B.; Guelfi, D.R.; Chagas, W.F.T.; Cancellier, E.L.; de Souza, T.L.; Oliveira, L.S.S.; Faquin, V.; Du, C. Fertilizing Maize Croppings with Blends of Slow/Controlled-Release and Conventional Nitrogen Fertilizers. J. Plant Nutr. Soil Sci. 2021, 184, 227–237. [Google Scholar] [CrossRef]
- Li, C.L.; Cao, Y.Q.; Wang, Y.; Li, X.Y.; Li, Y.X.; Zhu, L.; Zhao, X.H.; Gao, Q. Effects of Mixed Controlled Release and Normal Urea on Maize (Zea mays L.) Growth, Grain Yield and Nitrogen Balance and Use Efficiency in Northeast China. Appl. Ecol. Env. Res. 2020, 18, 5367–5382. [Google Scholar] [CrossRef]
- Yuan, M.; Sun, Y.; Wu, G.; Wang, J.; Liu, C.; Tang, T.; Zhang, X.; Wang, W.; Jing, Y. The Optimum Economic Nitrogen Rate of Blended Controlled-Release Nitrogen Fertilizer for Rice in the Chanoyu Watershed in the Yangtze River Delta, China. Front. Plant Sci. 2023, 14, 1144461. [Google Scholar] [CrossRef] [PubMed]
- Ghafoor, I.; Habib-ur-Rahman, M.; Ali, M.; Afzal, M.; Ahmed, W.; Gaiser, T.; Ghaffar, A. Slow-Release Nitrogen Fertilizers Enhance Growth, Yield, NUE in Wheat Crop and Reduce Nitrogen Losses under an Arid Environment. Environ. Sci. Pollut. Res. 2021, 28, 43528–43543. [Google Scholar] [CrossRef] [PubMed]
- Garcia, P.L.; González-Villalba, H.A.; Sermarini, R.A.; Trivelin, P.C.O. Nitrogen Use Efficiency and Nutrient Partitioning in Maize as Affected by Blends of Controlled-Release and Conventional Urea. Arch. Agron. Soil Sci. 2018, 64, 1944–1962. [Google Scholar] [CrossRef]
- Li, C.; Wang, Y.; Li, Y.; Zhu, L.; Cao, Y.; Zhao, X.; Feng, G.; Gao, Q. Mixture of Controlled-release and Normal Urea to Improve Nitrogen Management for Maize across Contrasting Soil Types. Agron. J. 2020, 112, 3101–3113. [Google Scholar] [CrossRef]
- Zheng, J.; Fan, J.; Zhang, F.; Wu, L.; Zou, Y.; Zhuang, Q. Estimation of Rainfed Maize Transpiration under Various Mulching Methods Using Modified Jarvis-Stewart Model and Hybrid Support Vector Machine Model with Whale Optimization Algorithm. Agric. Water Manag. 2021, 249, 106799. [Google Scholar] [CrossRef]
- Xu, J.; Peng, S.; Yang, S.; Wang, W. Ammonia Volatilization Losses from a Rice Paddy with Different Irrigation and Nitrogen Managements. Agric. Water Manag. 2012, 104, 184–192. [Google Scholar] [CrossRef]
- Zheng, W.; Wan, Y.; Li, Y.; Liu, Z.; Chen, J.; Zhou, H.; Gao, Y.; Chen, B.; Zhang, M. Developing Water and Nitrogen Budgets of a Wheat-Maize Rotation System Using Auto-Weighing Lysimeters: Effects of Blended Application of Controlled-Release and Un-Coated Urea. Environ. Pollut. 2020, 263, 114383. [Google Scholar] [CrossRef]
- Tsimba, R.; Edmeades, G.O.; Millner, J.P.; Kemp, P.D. The Effect of Planting Date on Maize Grain Yields and Yield Components. Field Crop. Res. 2013, 150, 135–144. [Google Scholar] [CrossRef]
- Bremner, J.m.; Mulvaney, C.s. Nitrogen—Total. In Methods of Soil Analysis; John Wiley & Sons, Ltd.: Hoboken, NJ, USA, 1983; pp. 595–624. ISBN 978-0-89118-977-0. [Google Scholar]
- Huang, S.; Lv, W.; Bloszies, S.; Shi, Q.; Pan, X.; Zeng, Y. Effects of Fertilizer Management Practices on Yield-Scaled Ammonia Emissions from Croplands in China: A Meta-Analysis. Field Crop. Res. 2016, 192, 118–125. [Google Scholar] [CrossRef]
- Yang, Y.; Zhang, M.; Li, Y.; Fan, X.; Geng, Y. Controlled-Release Urea Commingled with Rice Seeds Reduced Emission of Ammonia and Nitrous Oxide in Rice Paddy Soil. J. Environ. Qual. 2013, 42, 1661–1673. [Google Scholar] [CrossRef]
- Zheng, J.; Kilasara, M.M.; Mmari, W.N.; Funakawa, S. Ammonia Volatilization Following Urea Application at Maize Fields in the East African Highlands with Different Soil Properties. Biol. Fertil. Soils 2018, 54, 411–422. [Google Scholar] [CrossRef]
- Liu, L.; Zhang, X.; Xu, W.; Liu, X.; Li, Y.; Wei, J.; Wang, Z.; Lu, X. Ammonia Volatilization as the Major Nitrogen Loss Pathway in Dryland Agro-Ecosystems. Environ. Pollut. 2020, 265, 114862. [Google Scholar] [CrossRef] [PubMed]
- Shang, Q.; Gao, C.; Yang, X.; Wu, P.; Ling, N.; Shen, Q.; Guo, S. Ammonia Volatilization in Chinese Double Rice-Cropping Systems: A 3-Year Field Measurement in Long-Term Fertilizer Experiments. Biol. Fertil. Soils 2014, 50, 715–725. [Google Scholar] [CrossRef]
- Li, P.; Lu, J.; Hou, W.; Pan, Y.; Wang, Y.; Khan, M.R.; Ren, T.; Cong, R.; Li, X. Reducing Nitrogen Losses through Ammonia Volatilization and Surface Runoff to Improve Apparent Nitrogen Recovery of Double Cropping of Late Rice Using Controlled Release Urea. Environ. Sci. Pollut. Res. 2017, 24, 11722–11733. [Google Scholar] [CrossRef] [PubMed]
- Zhang, J.; Zhang, F.; Yang, J.; Jin-Ping, W.; Ming-Li, C.; Li, C.-F.; Cao, C.-G. Emissions of N2O and NH3, and Nitrogen Leaching from Direct Seeded Rice under Different Tillage Practices in Central China. Agric. Ecosyst. Environ. 2011, 140, 164–173. [Google Scholar] [CrossRef]
- Liu, X.; Chen, L.; Hua, Z.; Mei, S.; Wang, P.; Wang, S. Comparing Ammonia Volatilization between Conventional and Slow-Release Nitrogen Fertilizers in Paddy Fields in the Taihu Lake Region. Environ. Sci. Pollut. Res. 2020, 27, 8386–8394. [Google Scholar] [CrossRef] [PubMed]
- Torralbo, F.; Boardman, D.; Houx, J.H.; Fritschi, F.B. Distinct Enhanced Efficiency Urea Fertilizers Differentially Influence Ammonia Volatilization Losses and Maize Yield. Plant Soil 2022, 475, 551–563. [Google Scholar] [CrossRef]
- Sun, Y.; Wang, J.; Mi, W.; Mu, W.; Tao, W.; Chen, C.; Mi, W.; Su, L. Effects of Slow- and Controlled-Release Nitrogen Fertilizers on Bacterial and Fungal Community Composition in a Double-Cropping Rice System. Soil Tillage Res. 2023, 230, 105714. [Google Scholar] [CrossRef]
- Yang, Y.; Zhang, M.; Zheng, L.; Cheng, D.; Liu, M.; Geng, Y.; Chen, J. Controlled-Release Urea for Rice Production and Its Environmental Implications. J. Plant Nutr. 2013, 36, 781–794. [Google Scholar] [CrossRef]
- SanzCobena, A.; Misselbrook, T.; Camp, V.; Vallejo, A. Effect of Water Addition and the Urease Inhibitor NBPT on the Abatement of Ammonia Emission from Surface Applied Urea. Atmos. Environ. 2011, 45, 1517–1524. [Google Scholar] [CrossRef]
- Li, H.; Wang, L.; Peng, Y.; Zhang, S.; Lv, S.; Li, J.; Abdo, A.I.; Zhou, C.; Wang, L. Film Mulching, Residue Retention and N Fertilization Affect Ammonia Volatilization through Soil Labile N and C Pools. Agric. Ecosyst. Environ. 2021, 308, 107272. [Google Scholar] [CrossRef]
- Espindula, M.C.; Rodovalho, G.M.; Marcolan, A.L.; Barberena, I.M.; Cipriani, H.N.; Araújo, L.F.B. de Ammonia Loss from Protected Urea in Soil under Different Irrigation Depths. Acta Sci. Agron. 2020, 43, e46764. [Google Scholar] [CrossRef]
- Farmaha, B.S.; Sims, A.L. The Influence of Polymer-coated Urea and Urea Fertilizer Mixtures on Spring Wheat Protein Concentrations and Economic Returns. Agron. J. 2013, 105, 1328–1334. [Google Scholar] [CrossRef]
- Zhong, X.; Zhou, X.; Fei, J.; Huang, Y.; Wang, G.; Kang, X.; Hu, W.; Zhang, H.; Rong, X.; Peng, J. Reducing Ammonia Volatilization and Increasing Nitrogen Use Efficiency in Machine-Transplanted Rice with Side-Deep Fertilization in a Double-Cropping Rice System in Southern China. Agric. Ecosyst. Environ. 2021, 306, 107183. [Google Scholar] [CrossRef]
- Yang, X.; Lu, Y.; Tong, Y.; Yin, X. A 5-Year Lysimeter Monitoring of Nitrate Leaching from Wheat–Maize Rotation System: Comparison between Optimum N Fertilization and Conventional Farmer N Fertilization. Agric. Ecosyst. Environ. 2015, 199, 34–42. [Google Scholar] [CrossRef]
- Ma, Q.; Qian, Y.; Yu, Q.; Cao, Y.; Tao, R.; Zhu, M.; Ding, J.; Li, C.; Guo, W.; Zhu, X. Controlled-Release Nitrogen Fertilizer Application Mitigated N Losses and Modified Microbial Community While Improving Wheat Yield and N Use Efficiency. Agric. Ecosyst. Environ. 2023, 349, 108445. [Google Scholar] [CrossRef]
- Wang, X.; Zou, C.; Gao, X.; Guan, X.; Zhang, Y.; Shi, X.; Chen, X. Nitrate Leaching from Open-Field and Greenhouse Vegetable Systems in China: A Meta-Analysis. Environ. Sci. Pollut. Res. 2018, 25, 31007–31016. [Google Scholar] [CrossRef]
- Tang, L.; Li, S.; Shen, Y. Response of Maize Yield and Nitrogen Leaching to Combining Controlled-release Urea and Normal Urea under Different Surface Mulching. J. Sci. Food Agric. 2021, 101, 5520–5528. [Google Scholar] [CrossRef] [PubMed]
- Tian, X.; Li, C.; Zhang, M.; Li, T.; Lu, Y.; Liu, L. Controlled Release Urea Improved Crop Yields and Mitigated Nitrate Leaching under Cotton-Garlic Intercropping System in a 4-Year Field Trial. Soil Tillage Res. 2018, 175, 158–167. [Google Scholar] [CrossRef]
- Guo, L.; Ning, T.; Nie, L.; Li, Z.; Lal, R. Interaction of Deep Placed Controlled-Release Urea and Water Retention Agent on Nitrogen and Water Use and Maize Yield. Eur. J. Agron. 2016, 75, 118–129. [Google Scholar] [CrossRef]
- Deng, F.; Wang, L.; Ren, W.-J.; Mei, X.-F. Enhancing Nitrogen Utilization and Soil Nitrogen Balance in Paddy Fields by Optimizing Nitrogen Management and Using Polyaspartic Acid Urea. Field Crop. Res. 2014, 169, 30–38. [Google Scholar] [CrossRef]
- Zhang, W.; Liang, Z.; He, X.; Wang, X.; Shi, X.; Zou, C.; Chen, X. The Effects of Controlled Release Urea on Maize Productivity and Reactive Nitrogen Losses: A Meta-Analysis. Environ. Pollut. 2019, 246, 559–565. [Google Scholar] [CrossRef]
- Ding, W.; Xu, X.; Zhang, J.; Huang, S.; He, P.; Zhou, W. Nitrogen Balance Acts an Indicator for Estimating Thresholds of Nitrogen Input in Rice Paddies of China. Environ. Pollut. 2021, 290, 118091. [Google Scholar] [CrossRef]
- Ren, K.; Xu, M.; Li, R.; Zheng, L.; Liu, S.; Reis, S.; Wang, H.; Lu, C.; Zhang, W.; Gao, H.; et al. Optimizing Nitrogen Fertilizer Use for More Grain and Less Pollution. J. Clean. Prod. 2022, 360, 132180. [Google Scholar] [CrossRef]
- Liu, Z.; Gao, J.; Gao, F.; Dong, S.; Liu, P.; Zhao, B.; Zhang, J. Integrated Agronomic Practices Management Improve Yield and Nitrogen Balance in Double Cropping of Winter Wheat-Summer Maize. Field Crop. Res. 2018, 221, 196–206. [Google Scholar] [CrossRef]
- Malhi, S.S.; Grant, C.A.; Johnston, A.M.; Gill, K.S. Nitrogen Fertilization Management for No-till Cereal Production in the Canadian Great Plains: A Review. Soil Tillage Res. 2001, 60, 101–122. [Google Scholar] [CrossRef]
- Srivastava, R.K.; Panda, R.K.; Chakraborty, A.; Halder, D. Enhancing Grain Yield, Biomass and Nitrogen Use Efficiency of Maize by Varying Sowing Dates and Nitrogen Rate under Rainfed and Irrigated Conditions. Field Crop. Res. 2018, 221, 339–349. [Google Scholar] [CrossRef]
- Shi, J.; Meng, T.; Chen, X.; Zhang, X.; Rong, M.; Lan, H.; Ge, G.; Zhang, D.; Zhao, X.; Hao, Y.; et al. Logistic and Structural Equation Fitting Analyses of the Effect of Slow-Release Nitrogen Fertilizer Application Rates on the Nitrogen Accumulation and Yield Formation Mechanism in Maize. Agronomy 2024, 14, 2742. [Google Scholar] [CrossRef]
- Zhu, S.; Vivanco, J.M.; Manter, D.K. Nitrogen Fertilizer Rate Affects Root Exudation, the Rhizosphere Microbiome and Nitrogen-Use-Efficiency of Maize. Appl. Soil Ecol. 2016, 107, 324–333. [Google Scholar] [CrossRef]
- Li, G.; Wang, L.; Li, L.; Lu, D.; Lu, W. Effects of Fertilizer Management Strategies on Maize Yield and Nitrogen Use Efficiencies under Different Densities. Agron. J. 2020, 112, 368–381. [Google Scholar] [CrossRef]
- Timilsena, Y.P.; Adhikari, R.; Casey, P.; Muster, T.; Gill, H.; Adhikari, B. Enhanced Efficiency Fertilisers: A Review of Formulation and Nutrient Release Patterns: Enhanced Efficiency Fertilizers. J. Sci. Food Agric. 2015, 95, 1131–1142. [Google Scholar] [CrossRef] [PubMed]
- Azeem, B.; KuShaari, K.; Man, Z.B.; Basit, A.; Thanh, T.H. Review on Materials & Methods to Produce Controlled Release Coated Urea Fertilizer. J. Control. Release 2014, 181, 11–21. [Google Scholar] [CrossRef] [PubMed]
- Zheng, W.; Zhang, M.; Liu, Z.; Zhou, H.; Lu, H.; Zhang, W.; Yang, Y.; Li, C.; Chen, B. Combining Controlled-Release Urea and Normal Urea to Improve the Nitrogen Use Efficiency and Yield under Wheat-Maize Double Cropping System. Field Crop. Res. 2016, 197, 52–62. [Google Scholar] [CrossRef]
- Liu, Y.; Ma, C.; Li, G.; Jiang, Y.; Hou, P.; Xue, L.; Yang, L.; Ding, Y. Lower Dose of Controlled/Slow Release Fertilizer with Higher Rice Yield and N Utilization in Paddies: Evidence from a Meta-Analysis. Field Crop. Res. 2023, 294, 108879. [Google Scholar] [CrossRef]








| Soil Property | Value | Measurement Method |
|---|---|---|
| Soil texture | silty clay loam | Laser particle size analyzer |
| Bulk density | 1.44 g cm−3 | Core sampling method using a ring knife |
| pH | 8.14 | Acid–alkali indicator method |
| Total nitrogen | 0.93 g kg−1 | Kjeldahl digestion |
| Total phosphorus | 0.84 g kg−1 | Molybdenum antimony colorimetric method |
| Total potassium | 20.33 g kg−1 | Emission spectrophotometry method |
| Available phosphorus | 24.42 mg kg−1 | Olsen method by 0.5 mol L−1 NaHCO3 extractable |
| Available potassium | 133.75 mg g−1 | Colorimetric method by 2 mol L−1 cold HNO3 extractable |
| Cumulative NH3 Volatilization | Dry Matter Accumulation at the Maturity Stage | Plant N Accumulation | Grain Yield | NUE | ||||||||
|---|---|---|---|---|---|---|---|---|---|---|---|---|
| 2019 | 2020 | 2019 | 2020 | 2019 | 2020 | 2019 | 2020 | 2019 | 2020 | 2019 | 2020 | |
| N | *** | *** | *** | *** | *** | *** | *** | *** | *** | *** | *** | *** |
| Nfer | *** | *** | *** | *** | *** | *** | *** | *** | *** | *** | ns | * |
| N × Nfer | ns | ns | ns | ns | ns | ns | ns | ns | ns | ns | ns | ns |
| Nitrogen Fertilizer Types | Nfer (kg ha−1) | Soil Nmin (at Harvest) (kg ha−1) | Maize N Uptake (kg ha−1) | Soil Nmin (Initial) (kg ha−1) | Nmineralization (kg ha−1) | Apparent N Losses (kg ha−1) | Apparent N Loss Efficiency (%) | ||||||
|---|---|---|---|---|---|---|---|---|---|---|---|---|---|
| 2019 | 2020 | 2019 | 2020 | 2019 | 2020 | 2019 | 2020 | 2019 | 2020 | 2019 | 2020 | ||
| CK | 0 | 81.92 g | 81.62 h | 71.68 h | 65.66 h | 119.02 | 106.15 | 34.58 | 41.12 | 0.00 g | 0.00 f | 0.00 d | 0.00 gh |
| U | 90 | 114.52 ef | 100.11 g | 90.58 g | 82.57 g | 38.51 cf | 54.59 cd | 15.74 ab | 23.00 b | ||||
| 120 | 130.26 ce | 117.58 ef | 105.96 f | 104.88 f | 37.39 df | 44.81 d | 13.57 ac | 16.76 c | |||||
| 180 | 150.75 b | 135.67 d | 116.12 e | 115.21 e | 66.74 ad | 76.40 b | 19.91 a | 23.33 b | |||||
| 240 | 175.09 a | 152.67 c | 128.13 d | 125.10 d | 90.39 a | 109.50 a | 22.88 a | 28.27 a | |||||
| S | 90 | 111.94 f | 124.62 e | 112.22 ef | 107.21 f | 19.45 eg | 5.45 ef | 7.88 bd | 2.29 fg | ||||
| 120 | 137.47 bd | 148.41 c | 125.48 d | 124.51 d | 10.66 fg | −5.65 f | 3.86 cd | −2.10 h | |||||
| 180 | 145.95 bc | 167.80 b | 136.21 c | 139.68 c | 51.45 be | 19.79 e | 15.38 ab | 6.05 ef | |||||
| 240 | 171.36 a | 191.07 a | 148.24 b | 151.39 b | 74.01 ac | 44.82 d | 18.78 a | 11.58 d | |||||
| SU | 90 | 109.41 f | 99.84 g | 123.49 d | 120.30 de | 10.71 fg | 17.14 e | 4.34 cd | 7.22 e | ||||
| 120 | 117.81 ef | 112.56 f | 137.47 c | 137.88 c | 18.33 eg | 16.84 e | 6.59 bd | 6.30 ef | |||||
| 180 | 124.14 df | 123.12 ef | 147.40 b | 153.18 b | 62.07 ad | 50.97 d | 18.53 a | 15.57 cd | |||||
| 240 | 148.36 b | 151.81 c | 164.60 a | 168.30 a | 80.65 ab | 67.16 bc | 20.42 a | 17.33 c | |||||
| N | *** | *** | *** | *** | / | / | / | / | *** | *** | * | *** | |
| Nfer | *** | *** | *** | *** | / | / | / | / | *** | *** | *** | *** | |
| N × Nfer | ns | ns | Ns | ns | / | / | / | / | ns | ns | ns | ns | |
| Output | Regression Equation | R2 | Recommended Range x (kg ha−1) and y (%) |
|---|---|---|---|
| 2019 | 150–240 and 51.00–65.00 | ||
| Grain yield/Y1 | Y1 = −4156.52 + 12,424.20 × exp(−0.5 × ((x − 297.53)/376.63)2 − 0.5 × ((y − 0.58)/0.92)2) | 0.98 | |
| NUE/Y2 | Y2 = 26.71 + 24.64 × exp(−0.5 × ((x − 79.66)/319.76)2 − 0.5 × ((y − 0.55)/0.50)2) | 0.96 | |
| 2020 | 140–220 and 53.00–58.00 | ||
| Grain yield/Y1 | Y1 = −3854.42 + 11,794.56 × exp(−0.5 × ((x − 234.79)/262.82)2 − 0.5 × ((y − 0.58)/0.83)2) | 0.99 | |
| NUE/Y2 | Y2 = 27.53 + 26.04/((1 + ((x + 21.32)/399.58)2) × (1 + ((y − 0.55)/0.45)2)) | 0.95 |
Disclaimer/Publisher’s Note: The statements, opinions and data contained in all publications are solely those of the individual author(s) and contributor(s) and not of MDPI and/or the editor(s). MDPI and/or the editor(s) disclaim responsibility for any injury to people or property resulting from any ideas, methods, instructions or products referred to in the content. |
© 2024 by the authors. Licensee MDPI, Basel, Switzerland. This article is an open access article distributed under the terms and conditions of the Creative Commons Attribution (CC BY) license (https://creativecommons.org/licenses/by/4.0/).
Share and Cite
Guo, J.; Yang, H.; Yuan, Y.; Yin, P.; Zhang, N.; Lin, Z.; Ma, Q.; Yang, Q.; Liu, X.; Wang, H.; et al. Blending of Slow-Release N Fertilizer and Urea Improve Rainfed Maize Yield and Nitrogen Use Efficiency While Reducing Apparent N Losses. Agronomy 2025, 15, 11. https://doi.org/10.3390/agronomy15010011
Guo J, Yang H, Yuan Y, Yin P, Zhang N, Lin Z, Ma Q, Yang Q, Liu X, Wang H, et al. Blending of Slow-Release N Fertilizer and Urea Improve Rainfed Maize Yield and Nitrogen Use Efficiency While Reducing Apparent N Losses. Agronomy. 2025; 15(1):11. https://doi.org/10.3390/agronomy15010011
Chicago/Turabian StyleGuo, Jinjin, Hanran Yang, Yong Yuan, Pengzhou Yin, Nv Zhang, Zhizhao Lin, Qichang Ma, Qiliang Yang, Xiaogang Liu, Haidong Wang, and et al. 2025. "Blending of Slow-Release N Fertilizer and Urea Improve Rainfed Maize Yield and Nitrogen Use Efficiency While Reducing Apparent N Losses" Agronomy 15, no. 1: 11. https://doi.org/10.3390/agronomy15010011
APA StyleGuo, J., Yang, H., Yuan, Y., Yin, P., Zhang, N., Lin, Z., Ma, Q., Yang, Q., Liu, X., Wang, H., & Zhang, F. (2025). Blending of Slow-Release N Fertilizer and Urea Improve Rainfed Maize Yield and Nitrogen Use Efficiency While Reducing Apparent N Losses. Agronomy, 15(1), 11. https://doi.org/10.3390/agronomy15010011

