Determination of Wheat Growth Stages Using Image Sequences and Deep Learning
Abstract
1. Introduction
- (1)
- To address the specific issue of automatically recognizing the growth stages of winter wheat grown in controlled environments, a novel approach (DenseNet–BiLSTM) using image sequences of wheat growth and development was proposed.
- (2)
- The combination of DenseNet and BiLSTM improved the network’s capability to learn complex features and improved the extraction of spatiotemporal information from image sequences, enhancing the accuracy of recognizing the growth stages of wheat.
2. Materials and Methods
2.1. Dataset
2.2. The Growth Stage Determination Method (DenseNet–BiLSTM) of Wheat Using Image Sequences
2.2.1. Extracting the Spatiotemporal Characteristics of Wheat Growth and Development
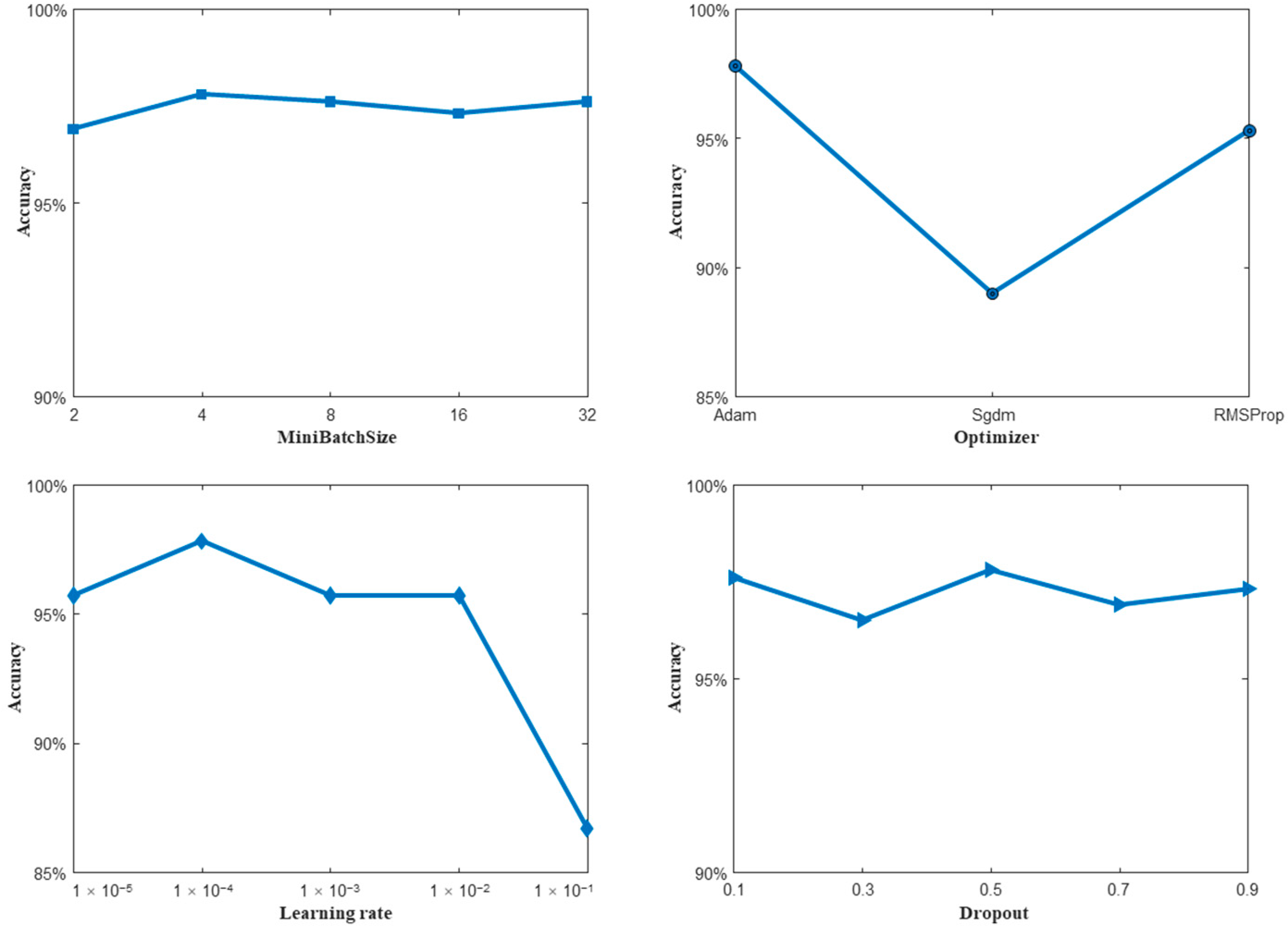
2.2.2. Experimental Design and Evaluation
3. Results
3.1. Experimental Results
3.2. Comparison with Other Models Used in the Existing Classification Methods of Growth Stages
3.2.1. Comparison with CNN Models Used in the Existing Classification Methods
3.2.2. Comparison with Other Hybrid Models Used in the Existing Classification Methods
3.3. Comparison with Models with Different Numbers of LSTM/BiLSTM Layers
4. Discussion
4.1. Impact of Different Modules on the DenseNet–BiLSTM Method
4.2. Highlights of This Study
4.3. Limitations and Future Perspectives
5. Conclusions
Author Contributions
Funding
Data Availability Statement
Conflicts of Interest
References
- Rasti, S.; Bleakley, C.J.; Silvestre, G.C.M.; Holden, N.M.; Langton, D.; O’Hare, G.M.P. Crop growth stage estimation prior to canopy closure using deep learning algorithms. Neural Comput. Appl. 2021, 33, 1733–1743. [Google Scholar] [CrossRef]
- Tokekar, P.; Hook, J.V.; Mulla, D.; Isler, V. Sensor Planning for a Symbiotic UAV and UGV System for Precision Agriculture. IEEE Trans. Robot. 2016, 32, 1498–1511. [Google Scholar] [CrossRef]
- Yue, Y.; Li, J.H.; Fan, L.F.; Zhang, L.L.; Zhao, P.F.; Zhou, Q.; Wang, N.; Wang, Z.Y.; Huang, L.; Dong, X.H. Prediction of maize growth stages based on deep learning. Comput. Electron. Agric. 2020, 172, 105351. [Google Scholar] [CrossRef]
- Zulfiqar, B.; Raza, M.A.S.; Saleem, M.F.; Ali, B.; Aslam, M.U.; Al-Ghamdi, A.A.; Elshikh, M.S.; Hassan, M.U.; Toleikienė, M.; Ahmed, J.; et al. Abscisic acid improves drought resilience, growth, physio-biochemical and quality attributes in wheat (Triticum aestivum L.) at critical growth stages. Sci. Rep. 2024, 14, 20411. [Google Scholar] [CrossRef]
- Khadka, K.; Earl, H.; Raizada, M.; Navabi, A. A Physio-Morphological Trait-Based Approach for Breeding Drought Tolerant Wheat. Front. Plant Sci. 2020, 11, 715. [Google Scholar] [CrossRef] [PubMed]
- Hao, X.; Jia, J.; Khattak, A.M.; Zhang, L.; Guo, X.; Gao, W.; Wang, M. Growing period classification of Gynura bicolor DC using GL-CNN. Comput. Electron. Agric. 2020, 174, 105497. [Google Scholar] [CrossRef]
- Yu, Z.; Cao, Z.; Wu, X.; Bai, X.; Qin, Y.; Zhuo, W.; Xiao, Y.; Zhang, X.; Xue, H. Automatic image-based detection technology for two critical growth stages of maize: Emergence and three-leaf stage. Agric. For. Meteorol. 2013, 174–175, 65–84. [Google Scholar] [CrossRef]
- Marsujitullah; Zainuddin, Z.; Manjang, S.; Wijaya, A.S. Rice Farming Age Detection Use Drone Based on SVM Histogram Image Classification. J. Phys. Conf. Ser. 2019, 1198, 092001. [Google Scholar] [CrossRef]
- Kumar, D.; Kukreja, V.; Kadyan, V.; Mittal, M. Detection of DOS Attacks Using Machine Learning Techniques. Int. J. Veh. Auton. Syst. 2020, 15, 10039658. [Google Scholar] [CrossRef]
- Kukreja, V.; Kumar, D.; Kaur, A. Deep learning in Human Gait Recognition: An Overview. In Proceedings of the 2021 International Conference on Advance Computing and Innovative Technologies in Engineering (ICACITE), Greater Noida, India, 4–5 March 2021; pp. 9–13. [Google Scholar]
- Yu, X.; Lu, H.; Wu, D. Development of deep learning method for predicting firmness and soluble solid content of postharvest Korla fragrant pear using Vis/NIR hyperspectral reflectance imaging. Postharvest Biol. Technol. 2018, 141, 39–49. [Google Scholar] [CrossRef]
- Zhang, C.; Guo, C.; Liu, F.; Kong, W.; He, Y.; Lou, B. Hyperspectral imaging analysis for ripeness evaluation of strawberry with support vector machine. J. Food Eng. 2016, 179, 11–18. [Google Scholar] [CrossRef]
- Dong, S.K.; Kim, S.K. Prediction of Strawberry Growth and Fruit Yield based on Environmental and Growth Data in a Greenhouse for Soil Cultivation with Applied Autonomous Facilities. Korean J. Hortic. Sci. Technol. 2020, 38, 840–849. [Google Scholar]
- Shibata, S.; Mizuno, R.; Mineno, H. Semisupervised Deep State-Space Model for Plant Growth Modeling. Plant Phenomics 2020, 2, 16. [Google Scholar] [CrossRef]
- Kumar, D.; Kukreja, V. Image-Based Wheat Mosaic Virus Detection with Mask-RCNN Model. In Proceedings of the 2022 International Conference on Decision Aid Sciences and Applications (DASA), Chiangrai, Thailand, 23–25 March 2022; pp. 630–634. [Google Scholar]
- Kumar, D.; Kukreja, V. Quantifying the Severity of Loose Smut in Wheat Using MRCNN. In Proceedings of the 2022 International Conference on Decision Aid Sciences and Applications (DASA), Chiangrai, Thailand, 23–25 March 2022; pp. 178–182. [Google Scholar]
- Kumar, S.; Krishnan, P.; Singh, P.K.; Vashisth, A.; Benerjee, K.; Kundu, M. Development of Tomato Fruit Stage Index (TFSI) to characterise different fruit growth stages of tomato using multivariate techniques. J. Food Meas. Charact. 2024, 18, 980–999. [Google Scholar] [CrossRef]
- Ikasari, I.H.; Ayumi, V.; Fanany, M.I.; Mulyono, S. Multiple regularizations deep learning for paddy growth stages classification from LANDSAT-8. In Proceedings of the 2016 International Conference on Advanced Computer Science and Information Systems (ICACSIS), Malang, Indonesia, 15–16 October 2016; pp. 512–517. [Google Scholar]
- Murata, K.; Ito, A.; Takahashi, Y.; Hatano, H. A Study on Growth Stage Classification of Paddy Rice by CNN using NDVI Images. In Proceedings of the 2019 Cybersecurity and Cyberforensics Conference (CCC), Melbourne, Australia, 8–9 May 2019; pp. 85–90. [Google Scholar]
- Liu, N.; Zhao, R.; Qiao, L.; Zhang, Y.; Li, M.; Sun, H.; Xing, Z.; Wang, X. Growth Stages Classification of Potato Crop Based on Analysis of Spectral Response and Variables Optimization. Sensors 2020, 20, 3995. [Google Scholar] [CrossRef] [PubMed]
- Zhu, W.J.; Feng, Z.K.; Dai, S.Y.; Zhang, P.P.; Wei, X.H. Using UAV Multispectral Remote Sensing with Appropriate Spatial Resolution and Machine Learning to Monitor Wheat Scab. Agriculture 2022, 12, 1785. [Google Scholar] [CrossRef]
- Tobias, R.R.; Mital, M.E.; Concepcion, R.; Lauguico, S.; Alejandrino, J.; Montante, S.J.; Vicerra, R.R.; Bandala, A.; Sybingco, E.; Dadios, E. Hybrid Tree-Fuzzy Logic for Aquaponic Lettuce Growth Stage Classification Based on Canopy Texture Descriptors. In Proceedings of the 2020 IEEE REGION 10 CONFERENCE (TENCON), Osaka, Japan, 16–19 November 2020; pp. 1075–1080. [Google Scholar]
- Sheng, R.T.-C.; Huang, Y.-H.; Chan, P.-C.; Bhat, S.A.; Wu, Y.-C.; Huang, N.-F. Rice Growth Stage Classification via RF-Based Machine Learning and Image Processing. Agriculture 2022, 12, 2137. [Google Scholar] [CrossRef]
- Yao, Y.; Yue, J.; Liu, Y.; Yang, H.; Feng, H.; Shen, J.; Hu, J.; Liu, Q. Classification of Maize Growth Stages Based on Phenotypic Traits and UAV Remote Sensing. Agriculture 2024, 14, 1175. [Google Scholar] [CrossRef]
- Xia, F.; Xie, X.; Wang, Z.; Jin, S.; Yan, K.; Ji, Z. A Novel Computational Framework for Precision Diagnosis and Subtype Discovery of Plant with Lesion. Front. Plant Sci. 2022, 12, 789630. [Google Scholar] [CrossRef]
- Feng, G.; Wang, C.; Wang, A.; Gao, Y.; Zhou, Y.; Huang, S.; Luo, B. Segmentation of Wheat Lodging Areas from UAV Imagery Using an Ultra-Lightweight Network. Agriculture 2024, 14, 244. [Google Scholar] [CrossRef]
- Cortinas, E.; Emmi, L.; Gonzalez-de-Santos, P. Crop Identification and Growth Stage Determination for Autonomous Navigation of Agricultural Robots. Agronomy 2023, 13, 2873. [Google Scholar] [CrossRef]
- Li, Y.; Liu, H.; Wei, J.; Ma, X.; Zheng, G.; Xi, L. Research on Winter Wheat Growth Stages Recognition Based on Mobile Edge Computing. Agriculture 2023, 13, 534. [Google Scholar] [CrossRef]
- Zheng, G.; Liu, H.; Li, X.; Ma, X.; Xi, L. The Streamlined Study of Convolutional Neural Network for Wheat Growth Process Monitoring. Mob. Inf. Syst. 2022, 2022, 9507594. [Google Scholar] [CrossRef]
- Qin, J.; Hu, T.; Yuan, J.; Liu, Q.; Wang, W.; Liu, J.; Guo, L.; Song, G. Deep-Learning-Based Rice Phenological Stage Recognition. Remote Sens. 2023, 15, 2891. [Google Scholar] [CrossRef]
- Wan, T.; Rao, Y.; Jin, X.; Wang, F.; Zhang, T.; Shu, Y.; Li, S. Improved U-Net for Growth Stage Recognition of In-Field Maize. Agronomy 2023, 13, 1523. [Google Scholar] [CrossRef]
- Li, Y.; Che, Y.; Zhang, H.; Zhang, S.; Zheng, L.; Ma, X.; Xi, L.; Xiong, S. Wheat growth stage identification method based on multimodal data. Eur. J. Agron. 2025, 162, 127423. [Google Scholar] [CrossRef]
- Ni, X.; Wang, F.; Huang, H.; Wang, L.; Wen, C.; Chen, D. A CNN- and Self-Attention-Based Maize Growth Stage Recognition Method and Platform from UAV Orthophoto Images. Remote Sens. 2024, 16, 2672. [Google Scholar] [CrossRef]
- Campos-Taberner, M.; García-Haro, F.J.; Martínez, B.; Izquierdo-Verdiguier, E.; Atzberger, C.; Camps-Valls, G.; Gilabert, M.A. Understanding deep learning in land use classification based on Sentinel-2 time series. Sci. Rep. 2020, 10, 17188. [Google Scholar] [CrossRef] [PubMed]
- Kolhar, S.; Jagtap, J. Spatio-temporal deep neural networks for accession classification of Arabidopsis plants using image sequences. Ecol. Inform. 2021, 64, 101334. [Google Scholar] [CrossRef]
- Li, J.; Zhong, Y.; Han, J.; Ouyang, G.; Liu, H. Classifying ASD children with LSTM based on raw videos. Neurocomputing 2019, 390, 226–238. [Google Scholar] [CrossRef]
- Öztürk, Ş.; Özkaya, U. Residual LSTM layered CNN for classification of gastrointestinal tract diseases. J. Biomed. Inform. 2021, 113, 103638. [Google Scholar] [CrossRef] [PubMed]
- Trevisan, R.; Pérez, O.; Schmitz, N.; Diers, B.; Martin, N. High-Throughput Phenotyping of Soybean Maturity Using Time Series UAV Imagery and Convolutional Neural Networks. Remote Sens. 2020, 12, 3617. [Google Scholar] [CrossRef]
- Hochreiter, S.; Schmidhuber, J. Long Short-Term Memory. Neural Comput. 1997, 9, 1735–1780. [Google Scholar] [CrossRef]
- Samiei, S.; Rasti, P.; Ly Vu, J.; Buitink, J.; Rousseau, D. Deep learning-based detection of seedling development. Plant Methods 2020, 16, 103. [Google Scholar] [CrossRef]
- Wang, C.; Pan, W.; Song, X.; Yu, H.; Zhu, J.; Liu, P.; Li, X. Predicting Plant Growth and Development Using Time-Series Images. Agronomy 2022, 12, 2213. [Google Scholar] [CrossRef]
- Huang, G.; Liu, Z.; Laurens, V.; Weinberger, K.Q. Densely Connected Convolutional Networks. In Proceedings of the IEEE Computer Society, Honolulu, HI, USA, 21–26 July 2017; pp. 2261–2269. [Google Scholar]
- Wu, J.G.; Li, C.Q.; Pan, X.Y.; Wang, X.; Zhao, X.G.; Gao, Y.Y.; Yang, S.; Zhai, C.Y. Model for Detecting Boom Height Based on an Ultrasonic Sensor for the Whole Growth Cycle of Wheat. Agriculture 2024, 14, 21. [Google Scholar] [CrossRef]
- Kheir, A.M.S.; Ali, O.A.M.; Shawon, A.R.; Elrys, A.S.; Ali, M.G.M.; Darwish, M.A.; Elmahdy, A.M.; Abou-Hadid, A.F.; Júnior, R.S.N.; Feike, T. Impacts of climate change on spatial wheat yield and nutritional values using hybrid machine learning. Environ. Res. Lett. 2024, 19, 104049. [Google Scholar] [CrossRef]
- Nouri, M.; Homaee, M.; Bannayan, M.; Hoogenboom, G. Towards modeling soil texture-specific sensitivity of wheat yield and water balance to climatic changes. Agric. Water Manag. 2016, 177, 248–263. [Google Scholar] [CrossRef]
- Chen, X.; Tang, Y.; Duan, Q.; Hu, J. Phenotypic quantification of root spatial distribution along circumferential direction for field paddy-wheat. PLoS ONE 2023, 18, e0279353. [Google Scholar] [CrossRef]
- Wang, J.D.; Chen, Y.L.; Zhang, Y.G.; Zhang, Y.C.; Ai, Y.C.; Feng, Y.P.; Moody, D.; Diggle, A.; Damon, P.; Rengel, Z. Phenotyping and Validation of Root Morphological Traits in Barley (Hordeum vulgare L.). Agronomy 2021, 11, 1583. [Google Scholar] [CrossRef]








| Hyperparameters | Range | Optimal |
|---|---|---|
| Learning rate | 1 × 10−1, 1 × 10−2, 1 × 10−3, 1 × 10−4, and 1 × 10−5 | 1 × 10−4 |
| Dropout | 0.1, 0.3, 0.5, 0.7, and 0.9 | 0.5 |
| MiniBatchSize | 2, 4, 8, 16, 32, and 64 | 4 |
| Optimizer | Adam, Sgdm, and RMSProp | Adam |
| CNNs | Layers | Parameters | Input Size | Feature Vectors Extracted Layer | Output Size | Determination Accuracy of Growth Stages |
|---|---|---|---|---|---|---|
| AlexNet | 8 | 60M | 227 × 227 × 3 | Fc7 | 1 × 1 × 4096 | 86.3% |
| VGG | 16 | 138M | 224 × 224 × 3 | Fc7 | 1 × 1 × 4096 | 82.7% |
| GoogleNet | 22 | 5M | 224 × 224 × 3 | Pool5-7 × 7_s1 | 1 × 1 × 1024 | 85.1% |
| DenseNet | 201 | 20M | 224 × 224 × 3 | Avg_pool | 1 × 1 × 1920 | 96.86% |
| Model | Determination Accuracy of Growth Periods | Determination Precision of Growth Periods | Determination Recall of Growth Periods |
|---|---|---|---|
| AlexNet–BiLSTM | 92.94% | 89.87% | 94.11% |
| VGG16–BiLSTM | 94.12% | 93.17% | 95.61% |
| GoogleNet–BiLSTM | 90.98% | 85.45% | 94.15% |
| DenseNet–BiLSTM | 98.43% | 95.83% | 95.61% |
| Model | Accuracy | Precision | Recall |
|---|---|---|---|
| AlexNet–LSTM(1 Hidden Layer) | 88.63% | 88.93% | 87.04% |
| AlexNet–LSTM(2 Hidden Layers) | 90.20% | 85.02% | 94.20% |
| AlexNet–BiLSTM (1 Hidden Layer) | 92.94% | 89.87% | 94.11% |
| AlexNet–BiLSTM (2 Hidden Layers) | 93.33% | 94.05% | 92.33% |
| VGG16–LSTM(1 Hidden Layer) | 91.76% | 89.19% | 94.07% |
| VGG16–LSTM(2 Hidden Layers) | 92.16% | 92.07% | 95.26% |
| VGG16–BiLSTM (1 Hidden Layer) | 94.12% | 93.17% | 95.61% |
| VGG16–BiLSTM (2 Hidden Layer) | 94.51% | 94.03% | 96.68% |
| GoogleNet–LSTM(1 Hidden Layer) | 87.45% | 85.44% | 92.66% |
| GoogleNet–LSTM(2 Hidden Layers) | 88.28% | 82.91% | 92.64% |
| GoogleNet–BiLSTM (1 Hidden Layer) | 90.98% | 85.45% | 94.15% |
| GoogleNet–BiLSTM (2 Hidden Layer) | 92.94% | 92.48% | 96.11% |
| DenseNet–LSTM (1 Hidden Layer) | 94.90% | 91.83% | 96.12% |
| DenseNet–LSTM (2 Hidden Layers) | 95.69% | 94.05% | 96.70% |
| DenseNet–BiLSTM (1 Hidden Layer) | 98.43% | 95.83% | 95.61% |
| DenseNet–BiLSTM (2 Hidden Layers) | 96.86% | 92.72% | 97.09% |
| Model | Tillering FN | Re-Greening FQ | Jointing BJ | Booting YS | Heading CS |
|---|---|---|---|---|---|
| AlexNet–LSTM (1 Hidden Layer) | 93.33% | 80.90% | 93.41% | 85.71% | 91.30% |
| AlexNet–LSTM (2 Hidden Layers) | 91.11% | 94.38% | 86.81% | 57.14% | 90.20% |
| AlexNet–BiLSTM (1 Hidden Layer) | 97.78% | 95.51% | 89.01% | 71.43% | 95.65% |
| AlexNet–BiLSTM (2 Hidden Layers) | 91.11% | 95.51% | 92.31% | 100% | 91.30% |
| VGG16–LSTM (1 Hidden Layer) | 97.78% | 89.89% | 91.21% | 71.43% | 95.65% |
| VGG16–LSTM (2 Hidden Layers) | 97.78% | 94.38% | 86.81% | 85.71% | 95.65% |
| VGG16–BiLSTM (1 Hidden Layer) | 97.78% | 94.38% | 92.31% | 85.71% | 95.62% |
| VGG16–BiLSTM (2 Hidden Layer) | 97.78% | 94.38% | 86.81% | 85.71% | 95.65% |
| GoogleNet–LSTM (1 Hidden Layer) | 91.11% | 88.76% | 84.62% | 71.43% | 91.30% |
| GoogleNet–LSTM (2 Hidden Layers) | 93.33% | 87.64% | 87.91% | 50% | 95.65% |
| GoogleNet–BiLSTM (1 Hidden Layer) | 91.11% | 93.26% | 90.11% | 57.14% | 95.65% |
| GoogleNet–BiLSTM (2 Hidden Layer) | 91.11% | 93.26% | 92.31% | 85.71% | 100% |
| DenseNet–LSTM (1 Hidden Layer) | 100% | 92.13% | 95.6% | 71.43% | 95.60% |
| DenseNet–LSTM (2 Hidden Layers) | 97.78% | 94.38% | 96.70% | 85.71% | 95.65% |
| DenseNet–BiLSTM (1 Hidden Layer) | 100% | 97.80% | 100% | 85.71% | 95.65% |
| DenseNet–BiLSTM (2 Hidden Layers) | 97.78% | 95.51% | 98.90% | 71.43% | 100% |
Disclaimer/Publisher’s Note: The statements, opinions and data contained in all publications are solely those of the individual author(s) and contributor(s) and not of MDPI and/or the editor(s). MDPI and/or the editor(s) disclaim responsibility for any injury to people or property resulting from any ideas, methods, instructions or products referred to in the content. |
© 2024 by the authors. Licensee MDPI, Basel, Switzerland. This article is an open access article distributed under the terms and conditions of the Creative Commons Attribution (CC BY) license (https://creativecommons.org/licenses/by/4.0/).
Share and Cite
Wang, C.; Song, X.; Pan, W.; Yu, H.; Li, X.; Liu, P. Determination of Wheat Growth Stages Using Image Sequences and Deep Learning. Agronomy 2025, 15, 13. https://doi.org/10.3390/agronomy15010013
Wang C, Song X, Pan W, Yu H, Li X, Liu P. Determination of Wheat Growth Stages Using Image Sequences and Deep Learning. Agronomy. 2025; 15(1):13. https://doi.org/10.3390/agronomy15010013
Chicago/Turabian StyleWang, Chunying, Xubin Song, Weiting Pan, Haixia Yu, Xiang Li, and Ping Liu. 2025. "Determination of Wheat Growth Stages Using Image Sequences and Deep Learning" Agronomy 15, no. 1: 13. https://doi.org/10.3390/agronomy15010013
APA StyleWang, C., Song, X., Pan, W., Yu, H., Li, X., & Liu, P. (2025). Determination of Wheat Growth Stages Using Image Sequences and Deep Learning. Agronomy, 15(1), 13. https://doi.org/10.3390/agronomy15010013

