The Influence of the Distribution Law and Uniformity of a Threshed Mixture with the Working Parameters of a Soybean Threshing Device
Abstract
1. Introduction
2. Materials and Methods
2.1. Structure and Working Principle of Longitudinal/axial-flow Threshing and Separation Device
2.2. Experimental Material
2.3. Experimental Method
3. Results and Discussion
3.1. Effect of Drum Speed on the Distribution Law of Threshed Mixture
3.2. Effect of Feeding Rate on the Distribution Law of Threshed Mixture
3.3. Effect of Threshing Clearance on the Distribution Law of Threshed Mixture
3.4. Discussion
4. Conclusions
- (1)
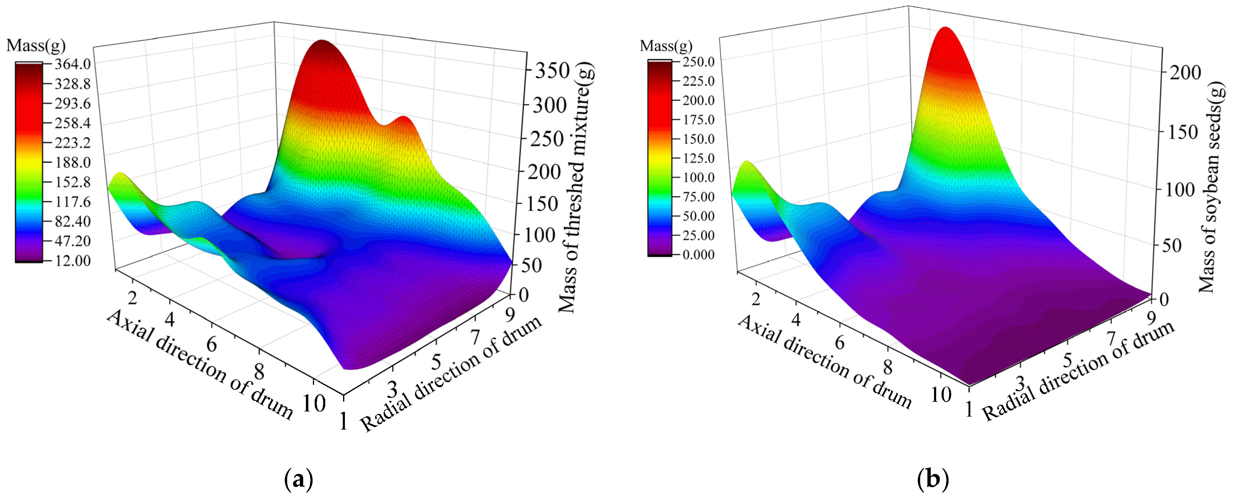
- The threshed mixture, soybean seeds, and impurities from the soybean threshing process exhibit uneven distribution characteristics in both the axial and radial directions of the drum. The mass of the threshed mixture shows a trend of first rapidly increasing and then gradually decreasing along the axial direction of the drum. The mass distribution of the threshed mixture and soybean seeds follows a consistent pattern, characterized by an initial increase followed by a subsequent decrease. The mass of impurities shows a trend of rapidly increasing, slowly decreasing, slightly increasing, and slowly decreasing in the axial direction. In the radial direction, except for the leftmost and rightmost masses, the mass uniformity of the remaining parts is better than that of the threshed mixture and seeds.
- (2)
- As the drum speed increases, the peak mass of the threshed mixture increases correspondingly and shifts rearward along the drum’s axis. As the feeding rate increases, the peak masses of the threshed mixture and the seeds increase, and the overall mass also increases. Reducing the threshing clearance increases the peak mass and overall mass of the threshed mixture and soybean seeds. Reducing the drum speed, decreasing the feeding rate, and increasing the threshing clearance contribute to a more uniform radial distribution of both the threshed mixture and seeds.
- (3)
- Based on the combination of the crushing rate and unthreshed rate, the optimum operating parameters for the soybean threshing device were determined. These parameters include a drum speed of 500 r/min, a feeding rate of 6 kg/s, and a threshing clearance of 25 mm. The findings of this research establish a foundation for enhancing and optimizing the design of longitudinal-flow soybean threshing devices, which can lead to a reduction in both the loss rate and impurity content in the threshing process of soybean combine harvesters.
Author Contributions
Funding
Data Availability Statement
Conflicts of Interest
References
- Li, Y.; Sun, J.; Wu, X.; Chen, Q.; Lu, B.; Dai, C. Detection of viability of soybean seed based on fluorescence hyperspectra and CARS-SVM-AdaBoost model. J. Food Process. Preserv. 2019, 43, 12. [Google Scholar] [CrossRef]
- Ni, Y.; Jin, C.; Chen, M.; Wang, E.; Li, Z.; Yuan, W. Research progress on mechanized production technology and equipment of soybean in China. J. Chin. Agric. Mech. 2019, 40, 17–25. [Google Scholar]
- Gao, L.; Jiao, W.; Yang, D.; Shao, Z.; Zhao, X.; Liu, D. Effect of moisture content on mechanical properties of soybean seed under static pressure. Trans. Chin. Soc. Agric. Eng. 2012, 28, 40–44. [Google Scholar]
- Bhat, J.A.; Karikari, B.; Adeboye, K.A.; Ganie, S.A.; Barmukh, R.; Hu, D.; Varshney, R.K.; Yu, D. Identification of superior haplotypes in a diverse natural population for breeding desirable plant height in soybean. Theor. Appl. Genet. Int. J. Breed. Res. Cell Genet. 2022, 135, 2407–2422. [Google Scholar] [CrossRef] [PubMed]
- Kumar, N.; Upadhyay, G.; Chhetri, K.B.; Harsha, B.R.; Malik, G.K.; Kumar, R.; Jasrotia, P.; Samota, S.R.; Kumar, N.; Chhokar, R.S.; et al. Pre- and Post-Harvest Management of Wheat for Improving the Productivity, Quality, and Resource Utilization Efficiency. In Wheat Science; CRC Press: Boca Raton, FL, USA, 2023; pp. 57–106. [Google Scholar]
- Kang, J.; Wang, X.; Xie, F.; Luo, Y.; Li, Q.; Huang, X. Experiments and analysis of the differential threshing cylinder for soybean with different maturities. Trans. Chin. Soc. Agric. Eng. (Trans. CSAE) 2023, 39, 38–49. [Google Scholar]
- Ni, Y.; Jin, C.; Wang, T.; Zhou, L.; Liu, Z. Design and experiments of the 4LZ-1.5 soybean combine harvester. Trans. Chin. Soc. Agric. Eng. (Trans. CSAE) 2022, 38, 1–11. [Google Scholar]
- Chai, X.; Zhou, Y.; Xu, L.; Li, Y.; Li, Y.; Lv, L. Effect of guide strips on the distribution of threshed outputs and cleaning losses for a tangential-longitudinal flow rice combine harvester. Biosyst. Eng. 2020, 198, 223–234. [Google Scholar] [CrossRef]
- Jin, C.; Kang, Y.; Guo, H.; Wang, T.; Yin, X. Experimental research on the influence of threshing roller structures on the quality of mechanically-harvested soybeans. Trans. Chin. Soc. Agric. Eng. (Trans. CSAE) 2021, 37, 49–58. [Google Scholar]
- Yi, S.; Tao, G.; Mao, X. Comparative experiment on the distribution regularities of threshed mixtures for two types of axial flow threshing and separating installation. Trans. CSAE 2008, 24, 154–156. [Google Scholar]
- Tang, Z.; Li, Y.; Zhao, Z.; Xu, L.; Li, H. Test and analysis of wheat entrainment loss for tangential-longitudinal-axial combine harvester. Trans. CSAE 2012, 28, 11–16. [Google Scholar]
- Miu, P.I. Mathematical model of threshing process in an axial unit with tangential feeding. Trans. ASAE 2007, 58, 93–99. [Google Scholar]
- Zhang, T.; Li, Y.; You, G. Experimental Study on the Cleaning Performance of Hot Air Flow Cleaning Device. Agriculture 2023, 13, 1828. [Google Scholar] [CrossRef]
- Zhang, T.; Li, Y.; Xu, L.; Liu, Y.; Ji, K.; Jiang, S. Experimental Study on Fluidization Behaviors of Wet Rice Threshed Materials with Hot Airflow. Agriculture 2022, 12, 601. [Google Scholar] [CrossRef]
- Su, Z.; Li, Y.; Dong, Y.; Tang, Z.; Liang, Z. Simulation of rice threshing performance with concentric and non-concentric threshing gaps. Biosyst. Eng. 2020, 197, 270–284. [Google Scholar] [CrossRef]
- Liu, Y.; Li, Y.; Chen, L.; Zhang, T.; Liang, Z.; Huang, M.; Su, Z. Study on Performance of Concentric Threshing Device with Multi-Threshing Gaps for Rice Combines. Agriculture 2021, 11, 1000. [Google Scholar] [CrossRef]
- Liu, Y.; Li, Y.; Zhang, T.; Huang, M. Effect of concentric and non-concentric threshing gaps on damage of rice straw during threshing for combine harvester. Biosyst. Eng. 2022, 219, 1–10. [Google Scholar] [CrossRef]
- Wang, F.; Liu, Y.; Li, Y.; Ji, K. Research and Experiment on Variable-Diameter Threshing Drum with Movable Radial Plates for Combine Harvester. Agriculture 2023, 13, 1487. [Google Scholar] [CrossRef]
- Chen, Y.; Kang, Y.; Wang, T.; Ning, X.; Jin, C.; Yin, X. Distribution regularities of the threshed mixtures in longitudinal axial flow flexible thresher of soybean harvester. J. China Agric. Univ. 2020, 25, 104–111. [Google Scholar]
- Zhang, N.; Fu, J.; Wang, R.; Chen, Z.; Fu, Q.; Chen, X. Experimental Study on the Particle Size and Weight Distribution of the Threshed Mixture in Corn Combine Harvester. Agriculture 2022, 12, 1214. [Google Scholar] [CrossRef]
- Yue, D.; Wang, Q.; He, Q.; Li, D.; Yu, Q.; Geng, D.; Li, M. A Study of the Distribution of the Threshed Mixture by a Double Longitudinal Axial Flow Corn Threshing Device. Agriculture 2024, 14, 166. [Google Scholar] [CrossRef]
- Fu, J.; Xie, G.; Ji, C.; Wang, W.; Zhou, Y.; Zhang, G.; Zha, X.; Abdeen, M.A. Study on the Distribution Pattern of Threshed Mixture by Drum-Shape Bar-Tooth Longitudinal Axial Flow Threshing and Separating Device. Agriculture 2021, 11, 756. [Google Scholar] [CrossRef]
- Miu, P.I.; Kutzbach, H.D. Modeling and simulation of grain threshing and separation in threshing units—Part I. Comput. Electron. Agric. 2008, 60, 96–104. [Google Scholar] [CrossRef]
- Miu, P.I.; Kutzbach, H.D. Modeling and simulation of grain threshing and separation in axial threshing units: Part II. Application to tangential feeding. Comput. Electron. Agric. 2008, 60, 105–109. [Google Scholar] [CrossRef]
- Petkevichius, S.; Shpokas, L.; Kutzbach, H.D. Investigation of the maize ear threshing process. Biosyst. Eng. 2008, 99, 532–539. [Google Scholar] [CrossRef]
- Teng, Y.; Jin, C.; Chen, Y.; Liu, P.; Yin, X.; Wang, T.; Yu, K. Design and optimization of segmented threshing device of combine harvester for rice and wheat. Trans. Chin. Soc. Agric. Eng. (Trans. CSAE) 2020, 36, 1–12. [Google Scholar]
- Alwan, S.K.; Sharifi, A.; Aljibouri, M.A.; Taher, M.A. Effect of threshing machines, rotational speed and grain moisture on corn shelling. Bulg. J. Agric. Sci. 2019, 25, 243–255. [Google Scholar]
- Tang, Z.; Li, Y.; Xu, L.; Pang, J.; Li, H. Experimental study on wheat feeding rate of tangential-axial combine harvester. Trans. Chin. Soc. Agric. Eng. 2012, 28, 26–31. [Google Scholar]
- Mao, X.; Yi, S. Study on Grain Fluid ’s Density Regularities of Distribution of Assembled Axial- Flow Installation. J. Heilongjiang August First Land Reclam. Univ. 2008, 20, 40–42. [Google Scholar]
















| Structural Parameter | Value |
|---|---|
| Threshing drum length/mm | 2000 |
| Threshing drum diameter/mm | 700 |
| Threshing clearance/mm | 15–35 |
| Inclination angle of threshing drum/() | 11 |
| Threshing element | Cutter teeth |
| Angle of guide plate/() | 17.5 |
| Numbers | Factors | Values | Condition |
|---|---|---|---|
| 1–3 | Drum speed (r/min) | 400, 500, 600 | Feeding rate = 6 kg/s Concave clearance = 25 mm |
| 4–6 | Feeding rate (kg/s) | 6, 7, 8 | Drum speed = 600 r/min Concave clearance = 25 mm |
| 7–9 | Concave clearance (mm) | 15, 25, 35 | Drum speed = 600 r/min Feeding rate = 6 kg/s |
Disclaimer/Publisher’s Note: The statements, opinions and data contained in all publications are solely those of the individual author(s) and contributor(s) and not of MDPI and/or the editor(s). MDPI and/or the editor(s) disclaim responsibility for any injury to people or property resulting from any ideas, methods, instructions or products referred to in the content. |
© 2024 by the authors. Licensee MDPI, Basel, Switzerland. This article is an open access article distributed under the terms and conditions of the Creative Commons Attribution (CC BY) license (https://creativecommons.org/licenses/by/4.0/).
Share and Cite
Hu, Y.; Tang, Z.; Wang, S.; Li, B.; Guo, X.; Chen, S. The Influence of the Distribution Law and Uniformity of a Threshed Mixture with the Working Parameters of a Soybean Threshing Device. Agronomy 2024, 14, 1581. https://doi.org/10.3390/agronomy14071581
Hu Y, Tang Z, Wang S, Li B, Guo X, Chen S. The Influence of the Distribution Law and Uniformity of a Threshed Mixture with the Working Parameters of a Soybean Threshing Device. Agronomy. 2024; 14(7):1581. https://doi.org/10.3390/agronomy14071581
Chicago/Turabian StyleHu, Yifan, Zhong Tang, Shiguo Wang, Bin Li, Xiaohu Guo, and Shuren Chen. 2024. "The Influence of the Distribution Law and Uniformity of a Threshed Mixture with the Working Parameters of a Soybean Threshing Device" Agronomy 14, no. 7: 1581. https://doi.org/10.3390/agronomy14071581
APA StyleHu, Y., Tang, Z., Wang, S., Li, B., Guo, X., & Chen, S. (2024). The Influence of the Distribution Law and Uniformity of a Threshed Mixture with the Working Parameters of a Soybean Threshing Device. Agronomy, 14(7), 1581. https://doi.org/10.3390/agronomy14071581

