Distribution Characteristics and Prediction of Temperature and Relative Humidity in a South China Greenhouse
Abstract
1. Introduction
2. Materials and Methods
2.1. Experimental Materials
2.2. Experimental Methods
2.3. Statistical Analysis
2.4. GA + BP Algorithm Settings
3. Results
3.1. Temporal Variation in Temperature and Relative Humidity
3.2. Temporal Characteristics of Greenhouse Environment under Different Ventilation Conditions
3.2.1. Temporal Characteristics of Temperature
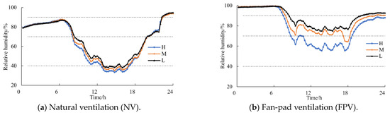
3.2.2. Temporal Characteristics of Relative Humidity
3.3. Spatial Characteristics of Greenhouse Environment under Different Ventilation Conditions
3.3.1. Spatial Characteristics of Temperature
3.3.2. Spatial Characteristics of Relative Humidity
3.4. Longitudinal Distribution of Greenhouse Environment under Different Ventilation Conditions
3.4.1. Longitudinal Distribution of Temperature
3.4.2. Longitudinal Distribution of Relative Humidity
3.5. Uniformity of Temperature and Relative Humidity in Greenhouse
3.6. Cooling Efficiency of Cooling Pad
3.7. Prediction Results
4. Discussion
5. Conclusions
Author Contributions
Funding
Data Availability Statement
Conflicts of Interest
Correction Statement
References
- Tomas, M.; Beekwilder, J.; Hall, R.D.; Sagdic, O.; Boyacioglu, D.; Capanoglu, E. Industrial processing versus home processing of tomato sauce: Effects on phenolics, flavonoids and in vitro bioaccessibility of antioxidants. Food Chem. 2017, 220, 51–58. [Google Scholar] [CrossRef] [PubMed]
- Wang, L.-H.; Tan, D.-H.; Zhong, X.-S.; Jia, M.-Q.; Ke, X.; Zhang, Y.-M.; Cui, T.; Shi, L. Review on toxicology and activity of tomato glycoalkaloids in immature tomatoes. Food Chem. 2024, 447, 138937. [Google Scholar] [CrossRef] [PubMed]
- Badji, A.; Benseddik, A.; Bensaha, H.; Boukhelifa, A.; Hasrane, I. Design, technology, and management of greenhouse: A review. J. Clean. Prod. 2022, 373, 133753. [Google Scholar] [CrossRef]
- Li, A.G.; Huang, L.; Zhang, T.F. Field test and analysis of microclimate in naturally ventilated single-sloped greenhouses. Energy Build. 2017, 138, 479–489. [Google Scholar] [CrossRef]
- Su, Y.; Xu, L.; Goodman, E.D. Greenhouse climate fuzzy adaptive control considering energy saving. Int. J. Control. Autom. Syst. 2017, 15, 1936–1948. [Google Scholar] [CrossRef]
- Chen, J.; Ma, Y.; Pang, Z. A mathematical model of global solar radiation to select the optimal shape and orientation of the greenhouses in southern China. Sol. Energy 2020, 205, 380–389. [Google Scholar] [CrossRef]
- Tong, G.; Christopher, D.; Li, B. Numerical modelling of temperature variations in a Chinese solar greenhouse. Comput. Electron. Agric. 2009, 68, 129–139. [Google Scholar] [CrossRef]
- Lohani, N.; Singh, M.B.; Bhalla, P.L. High Temperature Susceptibility of Sexual Reproduction in Crop Plants. J. Exp. Bot. 2020, 71, 555–568. [Google Scholar] [CrossRef]
- Delgado-Vargas, V.A.; Ayala-Garay, O.J.; Arévalo-Galarza, M.d.L.; Gautier, H. Increased Temperature Affects Tomato Fruit Physicochemical Traits at Harvest Depending on Fruit Developmental Stage and Genotype. Horticulturae 2023, 9, 212. [Google Scholar] [CrossRef]
- Ntinas, G.K.; Kougias, P.G.; Nikita-Martzopoulou, C. Experimental performance of a hybrid solar energy saving system in greenhouses. Int. Agrophysics 2011, 25, 257–264. [Google Scholar]
- Cámara-Zapata, J.M.; Sánchez-Molina, J.A.; Rodríguez, F.; López, J.C. Evaluation of a dehumidifier in a mild weather greenhouse. Appl. Therm. Eng. 2019, 146, 92–103. [Google Scholar] [CrossRef]
- Landsberg, J.; White, B.; Thorpe, M. Computer analysis of the efficacy of evaporative cooling for glasshouses in high energy environments. J. Agric. Eng. Res. 1979, 24, 29–39. [Google Scholar] [CrossRef]
- Xu, F.-Y.; Lu, H.-F.; Chen, Z.; Guan, Z.-C.; Chen, Y.-W.; Shen, G.-W.; Jiang, Z. Selection of a computational fluid dynamics (CFD) model and its application to greenhouse pad-fan cooling (PFC) systems. J. Clean. Prod. 2021, 302, 127013. [Google Scholar] [CrossRef]
- Willits, D. Cooling Fan-ventilated Greenhouses: A Modelling Study. Biosyst. Eng. 2003, 84, 315–329. [Google Scholar] [CrossRef]
- Nebbali, R.; Roy, J.; Boulard, T. Dynamic simulation of the distributed radiative and convective climate within a cropped greenhouse. Renew. Energy 2012, 43, 111–129. [Google Scholar] [CrossRef]
- Baeza, E.J.; Pérez-Parra, J.J.; Montero, J.I.; Bailey, B.J.; López, J.C.; Gázquez, J.C. Analysis of the role of sidewall vents on buoyancy-driven natural ventilation in parral-type greenhouses with and without insect screens using computational fluid dynamics. Biosyst. Eng. 2009, 104, 86–96. [Google Scholar] [CrossRef]
- He, K.-S.; Chen, D.-Y.; Sun, L.-J.; Liu, Z.-L.; Huang, Z.-Y. The effect of vent openings on the microclimate inside multi-span greenhouses during summer and winter seasons. Eng. Appl. Comput. Fluid. Mech. 2015, 9, 399–410. [Google Scholar] [CrossRef]
- López, A.; Valera, D.L.; Molina-Aiz, F.D.; Peña, A. Sonic anemometry to evaluate airflow characteristics and temperature distribution in empty Mediterranean greenhouses equipped with pad–fan and fog systems. Biosyst. Eng. 2012, 113, 334–350. [Google Scholar] [CrossRef]
- Van Beveren, P.; Bontsema, J.; Van Straten, G.; Van Henten, E. Minimal heating and cooling in a modern rose greenhouse. Appl. Energy 2015, 137, 97–109. [Google Scholar] [CrossRef]
- Patil, S.; Tantau, H.; Salokhe, V. Modelling of tropical greenhouse temperature by auto regressive and neural network models. Biosyst. Eng. 2008, 99, 423–431. [Google Scholar] [CrossRef]
- Dariouchy, A.; Aassif, E.; Lekouch, K.; Bouirden, L.; Maze, G. Prediction of the intern parameters tomato greenhouse in a semi-arid area using a time-series model of artificial neural networks. Measurement 2009, 42, 456–463. [Google Scholar] [CrossRef]
- Lins, I.D.; Araujo, M.; das Chagas Moura, M.; Silva, M.A.; Droguett, E.L. Prediction of sea surface temperature in the tropical Atlantic by support vector machines. Comput. Stat. Data Anal. 2013, 61, 187–198. [Google Scholar] [CrossRef]
- Kayacan, E.; Ulutas, B.; Kaynak, O. Grey system theory-based models in time series prediction. Expert Syst. Appl. 2010, 37, 1784–1789. [Google Scholar] [CrossRef]
- Wei, X.; Li, B.; Lu, H.; Lü, E.; Guo, J.; Jiang, Y.; Zeng, Z. Numerical Simulation of Airflow Distribution in a Pregnant Sow Piggery with Centralized Ventilation. Appl. Sci. 2022, 12, 11556. [Google Scholar] [CrossRef]
- Ahmed, H.A.; Tong, Y.-X.; Yang, Q.-C.; Al-Faraj, A.A.; Abdel-Ghany, A.M. Spatial Distribution of Air Temperature and Relative Humidity in the Greenhouse as Affected by External Shading in Arid Climates. J. Integr. Agric. 2019, 18, 2869–2882. [Google Scholar] [CrossRef]
- Estrada-Jaramillo, M.; Vera-Romero, I.; Martínez-Reyes, J.; Ortíz-Soriano, A.; Barajas-Ledesma, E. Empirical model to calculate the thermodynamic wet-bulb temperature of moist air. Engineering 2014, 6, 500–506. [Google Scholar] [CrossRef][Green Version]
- Ma, W.; Feng, T.; Su, C.; Ahmed, S.F.; Liu, G. Performance optimization of phase change energy storage combined cooling, heating and power system based on GA + BP neural network algorithm. J. Energy Storage 2024, 88, 111653. [Google Scholar] [CrossRef]
- Prasad, R.P.; Gill, R.; Gupta, V.; Bordoloi, P.; Ahmed, M.; Rao, R.K. Recent Advances in Agricultural Science and Technology for Sustainable India; Mahima Research Foundation and Social Welfare: Varanasi, India, 2022. [Google Scholar]
- Von Zabeltitz, C. Appropriate greenhouse constructions for mild climates. J. Agric. Rural. Dev. Trop. Subtrop. 1990, 91, 65–77. [Google Scholar]
- Sahdev, R.K.; Kumar, M.; Dhingra, A.K. A comprehensive review of greenhouse shapes and its applications. Front. Energy 2017, 13, 427–438. [Google Scholar] [CrossRef]
- Sharon, O.; Sun, X.; Ezrati, S.; Kagan-Trushina, N.; Sharon, A. Transmission mode and assembly of seed fungal endophyte communities in wheat and wheat wild relatives. Phytobiomes J. 2023, 7, 113–124. [Google Scholar] [CrossRef]
- Shamshiri, R. Measuring optimality degrees of microclimate parameters in protected cultivation of tomato under tropical climate condition. Measurement 2017, 106, 236–244. [Google Scholar] [CrossRef]
- Rezvani, S.M.-E.; Abyaneh, H.Z.; Shamshiri, R.R.; Balasundram, S.K.; Dworak, V.; Goodarzi, M.; Sultan, M.; Mahns, B. IoT-Based Sensor Data Fusion for Determining Optimality Degrees of Microclimate Parameters in Commercial Greenhouse Production of Tomato. Sensors 2020, 20, 6474. [Google Scholar] [CrossRef]
- Amani, M.; Foroushani, S.; Sultan, M.; Bahrami, M. Comprehensive review on dehumidification strategies for agricultural greenhouse applications. Appl. Therm. Eng. 2020, 181, 115979. [Google Scholar] [CrossRef]
- Soni, P.; Salokhe, V.; Tantau, H. Effect of screen mesh size on vertical temperature distribution in naturally ventilated tropical greenhouses. Biosyst. Eng. 2005, 92, 469–482. [Google Scholar] [CrossRef]
- Boulard, T.; Roy, J.-C.; Pouillard, J.-B.; Fatnassi, H.; Grisey, A. Modelling of micrometeorology, canopy transpiration and photosynthesis in a closed greenhouse using computational fluid dynamics. Biosyst. Eng. 2017, 158, 110–133. [Google Scholar] [CrossRef]
- Xu, K.; Guo, X.; He, J.; Yu, B.; Tan, J.; Guo, Y. A study on temperature spatial distribution of a greenhouse under solar load with considering crop transpiration and optical effects. Energy Convers. Manag. 2022, 254, 115277. [Google Scholar] [CrossRef]
- Deng, L.; Huang, L.; Zhang, Y.; Li, A.; Gao, R.; Zhang, L.; Lei, W. Analytic model for calculation of soil temperature and heat balance of bare soil surface in solar greenhouse. Sol. Energy 2023, 249, 312–326. [Google Scholar] [CrossRef]
- Liao, C.-M.; Chiu, K.-H. Wind tunnel modeling the system performance of alternative evaporative cooling pads in Taiwan region. J. Affect. Disord. 2002, 37, 177–187. [Google Scholar] [CrossRef]
- Malli, A.; Seyf, H.R.; Layeghi, M.; Sharifian, S.; Behravesh, H. Investigating the performance of cellulosic evaporative cooling pads. Energy Convers. Manag. 2011, 52, 2598–2603. [Google Scholar] [CrossRef]
- Ahmed, E.M.; Abaas, O.; Ahmed, M.; Ismail, M.R. Performance evaluation of three different types of local evaporative cooling pads in greenhouses in Sudan. Saudi J. Biol. Sci. 2011, 18, 45–51. [Google Scholar] [CrossRef]
- Rong, L.; Pedersen, P.; Jensen, T.L.; Morsing, S.; Zhang, G. Dynamic performance of an evaporative cooling pad investigated in a wind tunnel for application in hot and arid climate. Biosyst. Eng. 2017, 156, 173–182. [Google Scholar] [CrossRef]
- Saberian, A.; Sajadiye, S.M. Assessing the variable performance of fan-and-pad cooling in a subtropical desert greenhouse. Appl. Therm. Eng. 2020, 179, 115672. [Google Scholar] [CrossRef]
- Yu, H.; Chen, Y.; Hassan, S.G.; Li, D. Prediction of the temperature in a Chinese solar greenhouse based on LSSVM optimized by improved PSO. Comput. Electron. Agric. 2016, 122, 94–102. [Google Scholar] [CrossRef]










| Time | Natural Ventilation (NV) | Fan-Pad Ventilation (FPV) | ||
|---|---|---|---|---|
| Fitting Equation | R2 | Fitting Equation | R2 | |
| 0:00–6:00 | y = −0.0021x + 29.885 | 0.01 | y = −0.0286x + 26.658 | 0.69 |
| 6:00–12:00 | y = −0.033x + 36.702 | 0.07 | y = −0.2098x + 33.365 | 0.75 |
| 12:00–18:00 | y = −0.0884x + 43.91 | 0.61 | y = −0.3702x + 36.829 | 0.90 |
| 18:00–24:00 | y = −0.0491x + 31.266 | 0.03 | y = −0.09x + 30.31 | 0.91 |
| Time | Natural Ventilation (NV) | Fan-Pad Ventilation (FPV) | ||
|---|---|---|---|---|
| Fitting Equation | R2 | Fitting Equation | R2 | |
| 0:00–6:00 | y = −0.0793x + 84.003 | 0.55 | y = 0.0776x + 98.549 | 0.36 |
| 6:00–12:00 | y = 0.0178x + 64.002 | 0.002 | y = 0.8898x + 77.252 | 0.79 |
| 12:00–18:00 | y = 0.0634x + 39.813 | 0.16 | y = 1.3329x + 62.085 | 0.89 |
| 18:00–24:00 | y = −0.0328x + 76.24 | 0.02 | y = 0.2749x + 84.841 | 0.80 |
| Item | Time | 0:00–6:00 | 6:00–12:00 | 12:00–18:00 | 18:00–24:00 | |
|---|---|---|---|---|---|---|
| Pattern | ||||||
| Temperature | NV | 0.146 | 1.163 | 1.448 | 0.446 | |
| FPV | 0.122 | 0.704 | 0.841 | 0.313 | ||
| Relative humidity | NV | 0.166 | 2.006 | 3.212 | 1.017 | |
| FPV | 0.226 | 0.997 | 1.592 | 0.532 | ||
| Item | Samples | R2 | MAE | MAPE | RMSE |
|---|---|---|---|---|---|
| Temperature | Training | 0.92 | 0.78 | 0.004 | 1.18 |
| Testing | 0.91 | 0.94 | 0.011 | 1.33 | |
| Relative humidity | Training | 0.94 | 2.30 | 0.004 | 3.09 |
| Testing | 0.93 | 2.83 | 0.010 | 3.86 |
Disclaimer/Publisher’s Note: The statements, opinions and data contained in all publications are solely those of the individual author(s) and contributor(s) and not of MDPI and/or the editor(s). MDPI and/or the editor(s) disclaim responsibility for any injury to people or property resulting from any ideas, methods, instructions or products referred to in the content. |
© 2024 by the authors. Licensee MDPI, Basel, Switzerland. This article is an open access article distributed under the terms and conditions of the Creative Commons Attribution (CC BY) license (https://creativecommons.org/licenses/by/4.0/).
Share and Cite
Wei, X.; Li, B.; Lu, H.; Guo, J.; Dong, Z.; Yang, F.; Lü, E.; Liu, Y. Distribution Characteristics and Prediction of Temperature and Relative Humidity in a South China Greenhouse. Agronomy 2024, 14, 1580. https://doi.org/10.3390/agronomy14071580
Wei X, Li B, Lu H, Guo J, Dong Z, Yang F, Lü E, Liu Y. Distribution Characteristics and Prediction of Temperature and Relative Humidity in a South China Greenhouse. Agronomy. 2024; 14(7):1580. https://doi.org/10.3390/agronomy14071580
Chicago/Turabian StyleWei, Xinyu, Bin Li, Huazhong Lu, Jiaming Guo, Zhaojie Dong, Fengxi Yang, Enli Lü, and Yanhua Liu. 2024. "Distribution Characteristics and Prediction of Temperature and Relative Humidity in a South China Greenhouse" Agronomy 14, no. 7: 1580. https://doi.org/10.3390/agronomy14071580
APA StyleWei, X., Li, B., Lu, H., Guo, J., Dong, Z., Yang, F., Lü, E., & Liu, Y. (2024). Distribution Characteristics and Prediction of Temperature and Relative Humidity in a South China Greenhouse. Agronomy, 14(7), 1580. https://doi.org/10.3390/agronomy14071580
