Rice Growth and Leaf Physiology in Response to Four Levels of Continuous Drought Stress in Southern China
Abstract
1. Introduction
2. Materials and Methods
2.1. Experimental Site Description
2.2. Experimental Design
2.3. Sampling and Measurements
2.3.1. Field Water Balance
2.3.2. Classification of Drought Stress Level
2.3.3. Rice Growth and Leaf Physiology
2.3.4. Yield and Its Composition
2.4. Statistical Analysis
3. Results
3.1. Four Levels of the Continuous Drought Stress Process
3.2. Effects of Four Levels of Continuous Drought Stress on Water Consumption and Utilization
3.3. Effects of Four Levels of Continuous Drought Stress on Plant Height and Tillering
3.4. Effects of Four Levels of Continuous Drought Stress on Physiological Parameters
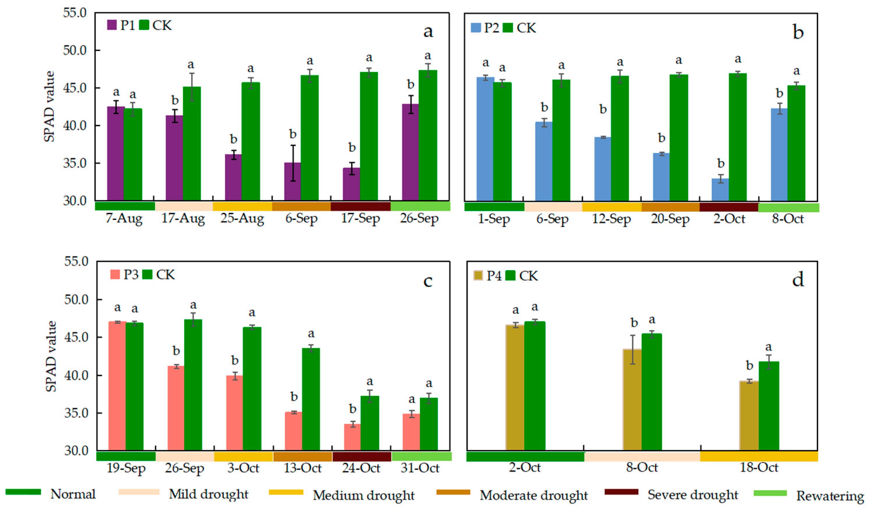
3.4.1. Relative Chlorophyll Content (SPAD Value)
3.4.2. Activity of Rubisco
3.4.3. Activities of SOD, POD, and CAT
3.4.4. MDA Content
3.5. Effects of Four Levels of Continuous Drought Stress on Yield and Its Components
4. Discussion
5. Conclusions
Author Contributions
Funding
Data Availability Statement
Conflicts of Interest
References
- Li, J.; Zhang, M.; Yang, L.; Mao, X.; Li, J.; Li, L.; Wang, J.; Liu, H.; Zheng, H.; Li, Z.; et al. OsADR3 Increases Drought Stress Tolerance by Inducing Antioxidant Defense Mechanisms and Regulating OsGPX1 in Rice (Oryza sativa L.). Crop J. 2021, 9, 1003–1017. [Google Scholar] [CrossRef]
- Dos Santos, T.B.; Ribas, A.F.; De Souza, S.G.H.; Budzinski, I.G.F.; Domingues, D.S. Physiological Responses to Drought, Salinity, and Heat Stress in Plants: A Review. Stresses 2022, 2, 113–135. [Google Scholar] [CrossRef]
- Ghadirnezhad Shiade, S.R.; Fathi, A.; Taghavi Ghasemkheili, F.; Amiri, E.; Pessarakli, M. Plants’ Responses under Drought Stress Conditions: Effects of Strategic Management Approaches—A Review. J. Plant Nutr. 2023, 46, 2198–2230. [Google Scholar] [CrossRef]
- Rahman, K.U.; Hussain, A.; Ejaz, N.; Shang, S.; Balkhair, K.S.; Khan, K.U.J.; Khan, M.A.; Rehman, N.U. Analysis of Production and Economic Losses of Cash Crops under Variable Drought: A Case Study from Punjab Province of Pakistan. Int. J. Disaster Risk Reduct. 2023, 85, 103507. [Google Scholar] [CrossRef]
- Khan, M.I.R.; Palakolanu, S.R.; Chopra, P.; Rajurkar, A.B.; Gupta, R.; Iqbal, N.; Maheshwari, C. Improving Drought Tolerance in Rice: Ensuring Food Security through Multi-dimensional Approaches. Physiol. Plant. 2021, 172, 645–668. [Google Scholar] [CrossRef] [PubMed]
- Rasheed, A.; Hassan, M.U.; Aamer, M.; Batool, M.; Sheng, F.; Ziming, W.; Huijie, L. A Critical Review on the Improvement of Drought Stress Tolerance in Rice (Oryza sativa L.). Not. Bot. Horti Agrobot. 2020, 48, 1756–1788. [Google Scholar] [CrossRef]
- Hornai, E.M.L.; Aycan, M.; Mitsui, T. The Promising B−Type Response Regulator Hst1 Gene Provides Multiple High Temperature and Drought Stress Tolerance in Rice. Int. J. Mol. Sci. 2024, 25, 2385. [Google Scholar] [CrossRef] [PubMed]
- Wang, C.; Wang, B.; Zhang, W.; Zhao, L.; Zhao, X.; Gao, L.; Hou, W. Effects of Drought Stress at Different Growth Stages on Grain Yield and Milling Quality of Rice. Chin. J. Rice Sci. 2007, 21, 643–649. [Google Scholar]
- Farooq, M.; Kobayashi, N.; Ito, O.; Wahid, A.; Serraj, R. Broader Leaves Result in Better Performance of Indica Rice under Drought Stress. J. Plant Physiol. 2010, 167, 1066–1075. [Google Scholar] [CrossRef]
- Qian, Y.; Guan, X.; Shao, C.; Qiu, C.; Chen, X.; Chen, J.; Xie, J.; Deng, G.; Peng, C. Effects of Drought Stress at Different Growth Stages on Yield and Water Use Efficiency of Double-Cropping Rice. Acta Agric. Jiangxi 2016, 28, 6–14. [Google Scholar]
- Nguyen, G.; Hailstones, D.; Wilkes, M.; Sutton, B. Drought-induced Oxidative Conditions in Rice Anthers Leading to a Programmed Cell Death and Pollen Abortion. J. Agron. Crop Sci. 2009, 195, 157–164. [Google Scholar] [CrossRef]
- Lawas, L.M.F.; Shi, W.; Yoshimoto, M.; Hasegawa, T.; Hincha, D.K.; Zuther, E.; Jagadish, S.K. Combined Drought and Heat Stress Impact during Flowering and Grain Filling in Contrasting Rice Cultivars Grown under Field Conditions. Field Crops Res. 2018, 229, 66–77. [Google Scholar] [CrossRef]
- Wang, G.; Zhang, J. Carbohydrate, Hormone and Enzyme Regulations of Rice Grain Filling under Post-Anthesis Soil Drying. Environ. Exp. Bot. 2020, 178, 104165. [Google Scholar] [CrossRef]
- Rasheed, S.; Bashir, K.; Matsui, A.; Tanaka, M.; Seki, M. Transcriptomic Analysis of Soil-Grown Arabidopsis Thaliana Roots and Shoots in Response to a Drought Stress. Front. Plant Sci. 2016, 7, 183475. [Google Scholar] [CrossRef] [PubMed]
- Zargar, S.M.; Gupta, N.; Nazir, M.; Mahajan, R.; Malik, F.A.; Sofi, N.R.; Shikari, A.B.; Salgotra, R. Impact of Drought on Photosynthesis: Molecular Perspective. Plant Gene 2017, 11, 154–159. [Google Scholar] [CrossRef]
- Evaristo de Deus, K.; Lanna, A.C.; Abreu, F.R.M.; Dias Silveira, R.D.; Jacinto Pereira, W.; Brondani, C.; Pereira Vianello, R. Molecular and Biochemical Characterization of Superoxide Dismutase (SOD) in Upland Rice under Drought. Aust. J. Crop Sci. 2015, 9, 744–753. [Google Scholar]
- Gusain, Y.S.; Singh, U.; Sharma, A. Bacterial Mediated Amelioration of Drought Stress in Drought Tolerant and Susceptible Cultivars of Rice (Oryza sativa L.). Afric. J. Biotechnol. 2015, 14, 764–773. [Google Scholar]
- Wang, B.; Yang, X.; Chen, L.; Jiang, Y.; Bu, H.; Jiang, Y.; Li, P.; Cao, C. Physiological Mechanism of Drought-Resistant Rice Coping with Drought Stress. J. Plant Growth Regul. 2022, 41, 2638–2651. [Google Scholar] [CrossRef]
- Farooq, M.; Wahid, A.; Lee, D.; Cheema, S.; Aziz, T. Drought Stress: Comparative Time Course Action of the Foliar Applied Glycinebetaine, Salicylic Acid, Nitrous Oxide, Brassinosteroids and Spermine in Improving Drought Resistance of Rice. J. Agron. Crop Sci. 2010, 196, 336–345. [Google Scholar] [CrossRef]
- Farooq, M.; Wahid, A.; Basra, S.M.A. Islam-ud-Din Improving Water Relations and Gas Exchange with Brassinosteroids in Rice under Drought Stress. J. Agron. Crop Sci. 2009, 195, 262–269. [Google Scholar] [CrossRef]
- Ji, K.; Wang, Y.; Sun, W.; Lou, Q.; Mei, H.; Shen, S.; Chen, H. Drought-Responsive Mechanisms in Rice Genotypes with Contrasting Drought Tolerance during Reproductive Stage. J. Plant Physiol. 2012, 169, 336–344. [Google Scholar] [CrossRef] [PubMed]
- Zhu, P.; Jia, X.; Zhao, C.; Shao, M. Long-Term Soil Moisture Evolution and Its Driving Factors across China’s Agroecosystems. Agric. Water Manag. 2022, 269, 107735. [Google Scholar] [CrossRef]
- Liu, Y.; Zhang, Y.; Liu, Q.; Wang, Q.; Lin, A.; Luo, J.; Du, Y.; Lin, Y.-W.; Wei, H. In Vitro Measurement of Superoxide Dismutase-like Nanozyme Activity: A Comparative Study. Analyst 2021, 146, 1872–1879. [Google Scholar] [CrossRef] [PubMed]
- Senthilkumar, N.A.M.; Sankaranarayanan, A.; Senthilkumar, M. Plant-Microbe Interactions; Springer: Berlin/Heidelberg, Germany, 2021; ISBN 1-07-161079-1. [Google Scholar]
- Sinha, A.K. Colorimetric Assay of Catalase. Anal. Biochem. 1972, 47, 389–394. [Google Scholar] [CrossRef] [PubMed]
- Qu, Y.; Sakoda, K.; Fukayama, H.; Kondo, E.; Suzuki, Y.; Makino, A.; Terashima, I.; Yamori, W. Overexpression of Both Rubisco and Rubisco Activase Rescues Rice Photosynthesis and Biomass under Heat Stress. Plant Cell Environ. 2021, 44, 2308–2320. [Google Scholar] [CrossRef] [PubMed]
- Fageria, N. Yield Physiology of Rice. J. Plant Nutr. 2007, 30, 843–879. [Google Scholar] [CrossRef]
- Bogati, K.; Walczak, M. The Impact of Drought Stress on Soil Microbial Community, Enzyme Activities and Plants. Agronomy 2022, 12, 189. [Google Scholar] [CrossRef]
- Ahanger, M.A.; Morad-Talab, N.; Abd-Allah, E.F.; Ahmad, P.; Hajiboland, R. Plant Growth under Drought Stress: Significance of Mineral Nutrients. Water Stress Crop Plants Sustain. Approach 2016, 2, 649–668. [Google Scholar]
- Cai, T.; Xu, H.; Peng, D.; Yin, Y.; Yang, W.; Ni, Y.; Chen, X.; Xu, C.; Yang, D.; Cui, Z.; et al. Exogenous Hormonal Application Improves Grain Yield of Wheat by Optimizing Tiller Productivity. Field Crops Res. 2014, 155, 172–183. [Google Scholar] [CrossRef]
- Cohen, I.; Zandalinas, S.I.; Huck, C.; Fritschi, F.B.; Mittler, R. Meta-analysis of Drought and Heat Stress Combination Impact on Crop Yield and Yield Components. Physiol. Plant. 2021, 171, 66–76. [Google Scholar] [CrossRef]
- Farooq, M.; Wahid, A.; Kobayashi, N.; Fujita, D.; Basra, S.M. Plant Drought Stress: Effects, Mechanisms and Management. In Sustainable Agriculture; Springer: Berlin/Heidelberg, Germany, 2009; pp. 153–188. [Google Scholar] [CrossRef]
- Moonmoon, S.; Islam, M.T. Effect of Drought Stress at Different Growth Stages on Yield and Yield Components of Six Rice (Oryza sativa L.) Genotypes. Fundam. Appl. Agric. 2017, 2, 285–289. [Google Scholar] [CrossRef]
- Simkin, A.J.; Kapoor, L.; Doss, C.G.P.; Hofmann, T.A.; Lawson, T.; Ramamoorthy, S. The Role of Photosynthesis Related Pigments in Light Harvesting, Photoprotection and Enhancement of Photosynthetic Yield in Planta. Photosynth. Res. 2022, 152, 23–42. [Google Scholar] [CrossRef] [PubMed]
- Dai, Y.; Fan, J.; Liao, Z.; Zhang, C.; Yu, J.; Feng, H.; Zhang, F.; Li, Z. Supplemental Irrigation and Modified Plant Density Improved Photosynthesis, Grain Yield and Water Productivity of Winter Wheat under Ridge-Furrow Mulching. Agric. Water Manag. 2022, 274, 107985. [Google Scholar] [CrossRef]
- Gu, J.; Zhou, Z.; Li, Z.; Chen, Y.; Wang, Z.; Zhang, H. Rice (Oryza sativa L.) with Reduced Chlorophyll Content Exhibit Higher Photosynthetic Rate and Efficiency, Improved Canopy Light Distribution, and Greater Yields than Normally Pigmented Plants. Field Crops Res. 2017, 200, 58–70. [Google Scholar] [CrossRef]
- Kyparissis, A.; Petropoulou, Y.; Manetas, Y. Summer Survival of Leaves in a Soft-Leaved Shrub (Phlomis fruticosa L., Labiatae) under Mediterranean Field Conditions: Avoidance of Photoinhibitory Damage through Decreased Chlorophyll Contents. J. Exp. Bot. 1995, 46, 1825–1831. [Google Scholar] [CrossRef]
- Izanloo, A.; Condon, A.G.; Langridge, P.; Tester, M.; Schnurbusch, T. Different Mechanisms of Adaptation to Cyclic Water Stress in Two South Australian Bread Wheat Cultivars. J. Exp. Bot. 2008, 59, 3327–3346. [Google Scholar] [CrossRef] [PubMed]
- Li, Y.; Song, H.; Zhou, L.; Xu, Z.; Zhou, G. Tracking Chlorophyll Fluorescence as an Indicator of Drought and Rewatering across the Entire Leaf Lifespan in a Maize Field. Agric. Water Manag. 2019, 211, 190–201. [Google Scholar] [CrossRef]
- de Brito, G.G.; Sofiatti, V.; de Andrade Lima, M.M.; de Carvalho, L.P.; da Silva Filho, J.L. Physiological Traits for Drought Phenotyping in Cotton. Acta Scientiarum. Agron. 2011, 33, 117–125. [Google Scholar] [CrossRef]
- Dong, S.; Jiang, Y.; Dong, Y.; Wang, L.; Wang, W.; Ma, Z.; Yan, C.; Ma, C.; Liu, L. A Study on Soybean Responses to Drought Stress and Rehydration. Saudi J. Biol. Sci. 2019, 26, 2006–2017. [Google Scholar] [CrossRef]
- Carmo-Silva, A.E.; Salvucci, M.E. The Regulatory Properties of Rubisco Activase Differ among Species and Affect Photosynthetic Induction during Light Transitions. Plant Physiol. 2013, 161, 1645–1655. [Google Scholar] [CrossRef]
- Carmo-Silva, A.E.; Gore, M.A.; Andrade-Sanchez, P.; French, A.N.; Hunsaker, D.J.; Salvucci, M.E. Decreased CO2 Availability and Inactivation of Rubisco Limit Photosynthesis in Cotton Plants under Heat and Drought Stress in the Field. Environ. Exp. Bot. 2012, 83, 1–11. [Google Scholar] [CrossRef]
- Anjum, S.A.; Xie, X.; Wang, L.; Saleem, M.F.; Man, C.; Lei, W. Morphological, Physiological and Biochemical Responses of Plants to Drought Stress. Afr. J. Agric. Res. 2011, 6, 2026–2032. [Google Scholar]
- Møller, I.M.; Jensen, P.E.; Hansson, A. Oxidative Modifications to Cellular Components in Plants. Annu. Rev. Plant Biol. 2007, 58, 459–481. [Google Scholar] [CrossRef]
- Shigeoka, S.; Ishikawa, T.; Tamoi, M.; Miyagawa, Y.; Takeda, T.; Yabuta, Y.; Yoshimura, K. Regulation and Function of Ascorbate Peroxidase Isoenzymes. J. Exp. Bot. 2002, 53, 1305–1319. [Google Scholar] [CrossRef]
- Wu, P.; Liu, F.; Chen, G.; Wang, J.; Huang, F.; Cai, T.; Zhang, P.; Jia, Z. Can Deep Fertilizer Application Enhance Maize Productivity by Delaying Leaf Senescence and Decreasing Nitrate Residue Levels? Field Crops Res. 2022, 277, 108417. [Google Scholar] [CrossRef]
- Zhang, J.; Kirkham, M. Drought-Stress-Induced Changes in Activities of Superoxide Dismutase, Catalase, and Peroxidase in Wheat Species. Plant Cell Physiol. 1994, 35, 785–791. [Google Scholar] [CrossRef]
- Türkan, I.; Bor, M.; Özdemir, F.; Koca, H. Differential Responses of Lipid Peroxidation and Antioxidants in the Leaves of Drought-Tolerant P. acutifolius Gray and Drought-Sensitive P. vulgaris L. Subjected to Polyethylene Glycol Mediated Water Stress. Plant Sci. 2005, 168, 223–231. [Google Scholar] [CrossRef]
- Okami, M.; Kato, Y.; Kobayashi, N.; Yamagishi, J. Morphological Traits Associated with Vegetative Growth of Rice (Oryza sativa L.) during the Recovery Phase after Early-Season Drought. Eur. J. Agron. 2015, 64, 58–66. [Google Scholar] [CrossRef]
- Wang, X.; Fu, J.; Min, Z.; Zou, D.; Liu, H.; Wang, J.; Zheng, H.; Jia, Y.; Yang, L.; Xin, W. Response of Rice with Overlapping Growth Stages to Water Stress by Assimilates Accumulation and Transport and Starch Synthesis of Superior and Inferior Grains. Int. J. Mol. Sci. 2022, 23, 11157. [Google Scholar] [CrossRef]
- Zhao, W.; Liu, L.; Shen, Q.; Yang, J.; Han, X.; Tian, F.; Wu, J. Effects of Water Stress on Photosynthesis, Yield, and Water Use Efficiency in Winter Wheat. Water 2020, 12, 2127. [Google Scholar] [CrossRef]
- Venuprasad, R.; Lafitte, H.R.; Atlin, G.N. Response to Direct Selection for Grain Yield under Drought Stress in Rice. Crop Sci. 2007, 47, 285–293. [Google Scholar] [CrossRef]












| Treatments | Drought Stress at Different Growth Stages | ||||
|---|---|---|---|---|---|
| TS | JBS | HFS | GFS | MS | |
| CK | Normal | Normal | Normal | Normal | Normal |
| P1 | Drought stress | Rewatering after severe drought stress | |||
| P2 | Normal | Drought stress | Rewatering after severe drought stress | ||
| P3 | Normal | Normal | Drought stress | Rewatering after severe drought stress | |
| P4 | Normal | Normal | Normal | Drought stress | Persistent to severe drought |
| Growth Stage | RS | ETS | LTS | JBS | HFS | GFS | MS |
|---|---|---|---|---|---|---|---|
| Water layer control standards | 0–20–40 | 0–20–50 Drying for 3 days | 0–20–50 | 0–20–50 Drying for 3 days | 0–20–50 Drying for 3 days | 0–20–50 Drying for 3 days | 0–20–30 |
| Late paddy sunning | Late drying |
| Treatment | W (mm) | WUE (kg m−3) |
|---|---|---|
| CK | 643.91 ± 7.70 a | 1.673 ± 0.042 b |
| P1 | 499.83 ± 9.97 c | 1.430 ± 0.053 c |
| P2 | 552.30 ± 2.15 b | 1.293 ± 0.021 d |
| P3 | 548.32 ± 5.34 b | 1.427 ± 0.025 c |
| P4 | 504.24 ± 4.29 c | 1.760 ± 0.010 a |
| Treatment | Spike Length (cm) | Effective Spike Number (104 hm−2) | Thousand Grain Weight (g) | Grain Number per Spike | Fruiting Rate (%) | Yield (kg·hm−2) | Yield Reduction (%) |
|---|---|---|---|---|---|---|---|
| CK | 23.86 ± 0.22 a | 262.51 ± 7.44 a | 21.98 ± 0.05 a | 161.13 ± 4.13 a | 87.55 ± 0.50 b | 10,778.36 ± 363.24 a | — |
| P1 | 22.44 ± 0.67 b | 185.76 ± 5.37 b | 21.95 ± 0.24 a | 131.69 ± 3.94 c | 90.6 ± 0.30 a | 7154.97 ± 155.93 d | 33.62 |
| P2 | 22.85 ± 0.34 b | 196.76 ± 4.34 c | 21.56 ± 0.60 a | 134.31 ± 7.11 c | 84.56 ± 0.77 c | 7141.46 ± 107.05 d | 33.74 |
| P3 | 23.09 ± 0.51 ab | 225.97 ± 12.37 d | 20.43 ± 0.09 b | 149.62 ± 0.77 b | 83.52 ± 0.28 d | 7815.67 ± 199.81 c | 27.49 |
| P4 | 23.68 ± 0.13 a | 243.30 ± 4.11 d | 20.76 ± 0.24 b | 154.43 ± 6.15 ab | 85.35 ± 0.90 c | 8875.99 ± 63.06 b | 17.62 |
| F value | 5.28 * | 83.71 ** | 12.81 ** | 23.69 ** | 70.64 ** | 174.64 ** | — |
Disclaimer/Publisher’s Note: The statements, opinions and data contained in all publications are solely those of the individual author(s) and contributor(s) and not of MDPI and/or the editor(s). MDPI and/or the editor(s) disclaim responsibility for any injury to people or property resulting from any ideas, methods, instructions or products referred to in the content. |
© 2024 by the authors. Licensee MDPI, Basel, Switzerland. This article is an open access article distributed under the terms and conditions of the Creative Commons Attribution (CC BY) license (https://creativecommons.org/licenses/by/4.0/).
Share and Cite
Zhang, W.; Shi, H.; Cai, S.; Guo, Q.; Dai, Y.; Wang, H.; Wan, S.; Yuan, Y. Rice Growth and Leaf Physiology in Response to Four Levels of Continuous Drought Stress in Southern China. Agronomy 2024, 14, 1579. https://doi.org/10.3390/agronomy14071579
Zhang W, Shi H, Cai S, Guo Q, Dai Y, Wang H, Wan S, Yuan Y. Rice Growth and Leaf Physiology in Response to Four Levels of Continuous Drought Stress in Southern China. Agronomy. 2024; 14(7):1579. https://doi.org/10.3390/agronomy14071579
Chicago/Turabian StyleZhang, Wenlong, Hong Shi, Shuo Cai, Qiaoling Guo, Yulong Dai, Haiyuan Wang, Shaoyuan Wan, and Yizhe Yuan. 2024. "Rice Growth and Leaf Physiology in Response to Four Levels of Continuous Drought Stress in Southern China" Agronomy 14, no. 7: 1579. https://doi.org/10.3390/agronomy14071579
APA StyleZhang, W., Shi, H., Cai, S., Guo, Q., Dai, Y., Wang, H., Wan, S., & Yuan, Y. (2024). Rice Growth and Leaf Physiology in Response to Four Levels of Continuous Drought Stress in Southern China. Agronomy, 14(7), 1579. https://doi.org/10.3390/agronomy14071579

