Effects of Different Agricultural Waste Composts on Cabbage Yield and Rhizosphere Environment
Abstract
1. Introduction
2. Materials and Methods
2.1. Experimental Site Condition
2.2. Composting
2.3. Test Materials and Field Management
2.4. Measurement of Yield and Soil Sampling
2.5. Composting Fertilizers and Soil Physicochemical Property Analysis
2.6. Soil DNA Extraction and PCR Amplification
2.7. Illumina MiSeq Sequencing
2.8. Data Analysis
3. Results
3.1. Soil’s Physicochemical Properties under Different Composting Treatments
3.2. Cabbage Yield under Different Composting Treatments
3.3. Soil’s Microbial Diversity under Different Treatments
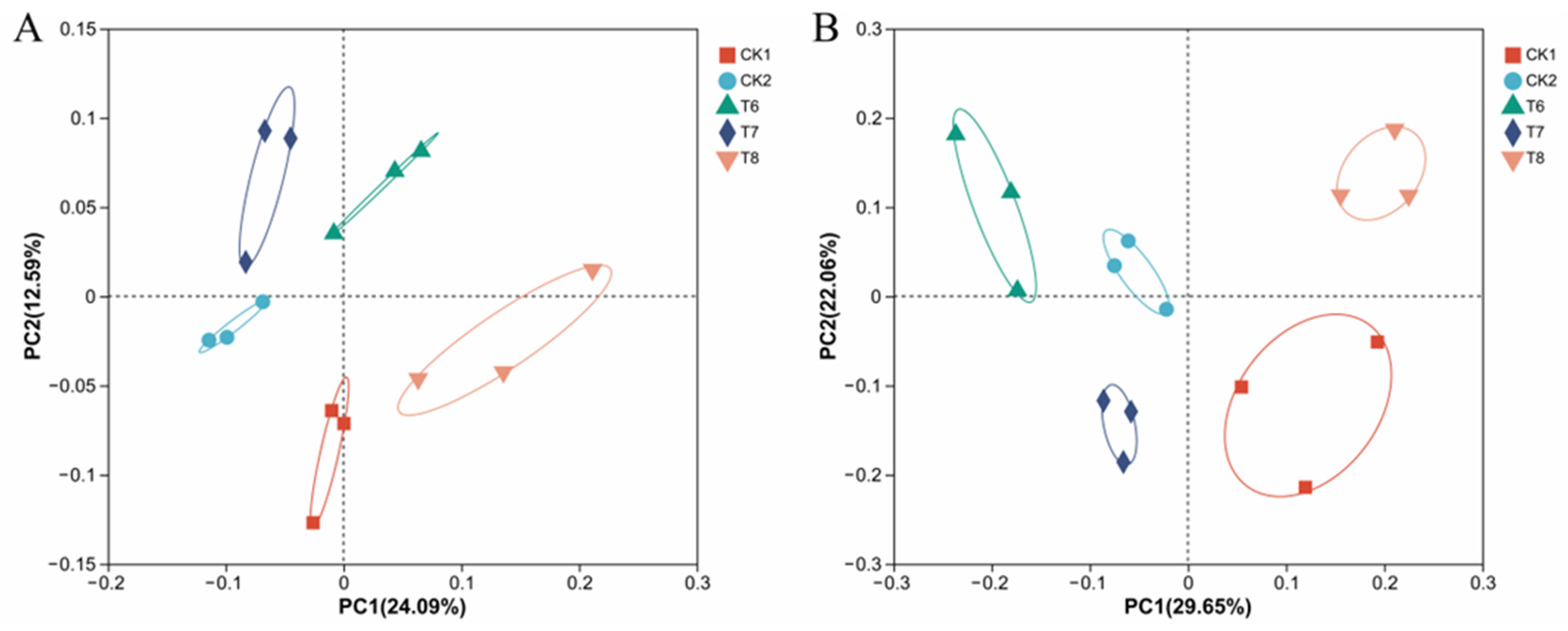
3.4. Soil’s Microbial Community Structure under Different Fertilization Conditions
3.5. Relative Abundance of Major Bacterial and Fungal Groups
3.6. Relationships among Soil Microbial Communities and Environmental Factors
3.7. Bacterial Function in Agricultural Waste Compost Soil
3.8. Fungal Function in Soil Treated with Agricultural Waste Composts
4. Discussion
4.1. Effects of Agricultural Waste Composts on Cabbage Yield and Soil’s Physicochemical Properties
4.2. Effects of Agricultural Waste Compost on Soil’s Microbial Richness and Diversity
4.3. Relationships between Microbial Communities and Soil Environmental Factors
4.4. Effects of Waste Compost on Soil Microbial Community’s Function
5. Conclusions
Author Contributions
Funding
Data Availability Statement
Conflicts of Interest
References
- Obi, F.O.; Ugwuishiwu, B.O.; Nwakaire, J.N. Agricultural waste concept, generation, utilization and management. Niger. J. Technol. 2016, 35, 957–964. [Google Scholar] [CrossRef]
- Koul, B.; Yakoob, M.; Shah, M.P. Agricultural waste management strategies for environmental sustainability. Environ. Res. 2022, 206, 112285. [Google Scholar] [CrossRef]
- Maji, S.; Dwivedi, D.H.; Singh, N.; Kishor, S.; Gond, M. Agricultural waste: Its impact on environment and management approaches. Emerg. Eco-Friendly Green Technol. Wastewater Treat. 2020, 18, 329–351. [Google Scholar]
- Nagendran, R. Agricultural Waste and Pollution; Academic Press: Cambridge, MA, USA, 2011; pp. 341–355. [Google Scholar]
- Sabiiti, E.N. Utilising agricultural waste to enhance food security and conserve the environment. Afr. J. Food Agric. Nutr. Dev. 2011, 11, 1–9. [Google Scholar]
- Fidanza, M.A.; Sanford, D.L.; Beyer, D.M.; Aurentz, D.J. Analysis of fresh mushroom compost. HortTechnology 2010, 20, 449–453. [Google Scholar] [CrossRef]
- Harshwardhan, K.; Upadhyay, K. Effective utilization of agricultural waste: Review. Fundam. Renew. Energy Appl. 2017, 7, 237. [Google Scholar] [CrossRef]
- Duque-Acevedo, M.; Belmonte-Urena, L.; Cortés-García, F.J.; Camacho-Ferre, F. Agricultural waste: Review of the evolution, approaches and perspectives on alternative uses. Glob. Ecol. Conserv. 2020, 22, e00902. [Google Scholar] [CrossRef]
- Feeney, D.S.; Crawford, J.W.; Daniell, T.; Hallett, P.D.; Nunan, N.; Ritz, K.; Rivers, M.; Young, I.M. Three-dimensional microorganization of the soil–root–microbe system. Microb. Ecol. 2006, 52, 151–158. [Google Scholar] [CrossRef] [PubMed]
- Aislabie, J.; Deslippe, J.R.; Dymond, J. Soil microbes and their contribution to soil services. Ecosyst. Serv. N. Z.–Cond. Trends. 2013, 1, 143–161. [Google Scholar]
- Berg, G.; Smalla, K. Plant species and soil type cooperatively shape the structure and function of microbial communities in the rhizosphere. FEMS Microbiol. Ecol. 2009, 68, 1–13. [Google Scholar] [CrossRef]
- Siebielec, G.; Siebielec, S.; Lipski, D. Long-term impact of sewage sludge, digestate and mineral fertilizers on plant yield and soil biological activity. J. Clean. Prod. 2018, 187, 372–379. [Google Scholar] [CrossRef]
- Nie, S.A.; Li, H.; Yang, X.R.; Zhang, Z.J.; Weng, B.; Huang, F.Y.; Zhu, G.G.; Zhu, Y.G. Nitrogen loss by anaerobic oxidation of ammonium in rice rhizosphere. ISME J. 2015, 9, 2059–2067. [Google Scholar] [CrossRef]
- Lang, J.J.; Hu, J.; Ran, W.; Xu, Y.C.; Shen, Q.R. Control of cotton Verticillium wilt and fungal diversity of rhizosphere soils by bio-organic fertilizer. Biol. Fertil. Soils 2012, 48, 191–203. [Google Scholar] [CrossRef]
- Zulueta-Rodriguez, R.; Cordoba-Matson, M.V.; Hernandez-Montiel, L.G.; Murillo-Amador, B.; Rueda-Puente, E.; Lara, L.L. Effect of Pseudomonas putida on growth and anthocyanin pigment in two poinsettia (Euphorbia pulcherrima) cultivars. Sci. World J. 2014, 2014, 810192. [Google Scholar] [CrossRef]
- Akköprü, A.; Demir, S. Biological control of Fusarium wilt in tomato caused by Fusarium oxysporum f. sp. lycopersici by AMF Glomus intraradices and some rhizobacteria. J. Phytopathol. 2005, 153, 544–550. [Google Scholar] [CrossRef]
- Manikandan, R.; Saravanakumar, D.; Rajendran, L.; Raguchander, T.; Samiyappan, R. Standardization of liquid formulation of Pseudomonas fluorescens Pf1 for its efficacy against Fusarium wilt of tomato. Biol. Control 2010, 54, 83–89. [Google Scholar] [CrossRef]
- Maung, C.E.; Gyu, C.T.; Hae, N.H.; Yong, K.K. Role of Bacillus amyloliquefaciens Y1 in the control of Fusarium wilt disease and growth promotion of tomato. Biocontrol Sci. Technol. 2017, 27, 1400–1415. [Google Scholar] [CrossRef]
- Shi, L.; Du, N.S.; Shu, S.; Sun, J.; Li, S.Z.; Guo, S.R. Paenibacillus polymyxa NSY50 suppresses Fusarium wilt in cucumbers by regulating the rhizospheric microbial community. Sci. Rep. 2017, 7, 46263. [Google Scholar] [CrossRef] [PubMed]
- Zhang, F.G.; Huo, Y.Q.; Xu, X.S.; Hu, J.; Sun, X.; Xiao, Y.; Zhang, Y.J. Trichoderma improves the growth of Leymus chinensis. Biol. Fertil. Soils 2018, 54, 685–696. [Google Scholar] [CrossRef]
- Muktamar, Z.; Putri, D.; Setyowati, N. Reduction of synthetic fertilizer for sustainable agriculture: Influence of organic and nitrogen fertilizer combination on growth and yield of green mustard. Int. J. Adv. Sci. Eng. Inf. Technol. 2016, 6, 361–364. [Google Scholar] [CrossRef]
- Ochoa-Velasco, C.E.; Valadez-Blanco, R.; Salas-Coronado, R.; Sustaita-Rivera, F.; Hernández-Carlos, B.; García-Ortega, S.; Santos-Sánchez, N.F. Effect of nitrogen fertilization and Bacillus licheniformis biofertilizer addition on the antioxidants compounds and antioxidant activity of greenhouse cultivated tomato fruits (Solanum lycopersicum L. var. Sheva). Sci. Hortic. 2016, 201, 338–345. [Google Scholar] [CrossRef]
- Huang, N.; Wang, W.W.; Yao, Y.L.; Zhu, F.X.; Wang, W.P.; Chang, X.J. The influence of different concentrations of bio-organic fertilizer on cucumber Fusarium wilt and soil microflora alterations. PLoS ONE 2017, 12, e0171490. [Google Scholar] [CrossRef] [PubMed]
- Bhowmik, A.; Fortuna, A.M.; Cihacek, L.J.; Bary, A.I.; Carr, P.M.; Cogger, C.G. Potential carbon sequestration and nitrogen cycling in long-term organic management systems. Renew. Agric. Food Syst. 2017, 32, 498–510. [Google Scholar] [CrossRef]
- Lee, J.J.; Park, R.D.; Kim, Y.W.; Shim, J.H.; Chae, D.H.; Rim, Y.S.; Sohn, B.K.; Kim, T.H.; Kim, K.Y. Effect of food waste compost on microbial population, soil enzyme activity and lettuce growth. Bioresour. Technol. 2004, 93, 21–28. [Google Scholar] [CrossRef] [PubMed]
- Jin, N.; Jin, L.; Wang, S.Y.; Li, J.W.; Liu, F.H.; Liu, Z.C.; Luo, S.L.; Wu, Y.; Lyu, J.; Yu, J.H. Reduced chemical fertilizer combined with bio-organic fertilizer affects the soil microbial community and yield and quality of lettuce. Front. Microbiol. 2022, 13, 863325. [Google Scholar] [CrossRef] [PubMed]
- Abah, R.C.; Petja, B.M. Evaluation of organic carbon, available phosphorus, and available potassium as a measure of soil fertility. Merit Res. J. Agric. Sci. Soil Sci. 2015, 3, 159–167. [Google Scholar]
- R Core Team. R: A language and environment for statistical computing. R foundation for statistical computing, Vienna, Austria. Computing 2010, 14, 12–21. [Google Scholar]
- Wagner, H. Vegan: Community Ecology Package, R package version 2.0-5; CiNii: Tokyo, Japan, 2012. [Google Scholar]
- Yan, C.; Huang, L.M. Community compositions of phytoplankton and eukaryotes during the mixing periods of a drinking water reservoir: Dynamics and interactions. Int. J. Environ. Res. Public Health 2020, 17, 1128. [Google Scholar] [CrossRef]
- Chen, Y.; Avnimelech, Y. The Role of Organic Matter in Modern Agriculture; Springer Science & Business Media: Berlin/Heidelberg, Germany, 2012; Volume 25. [Google Scholar]
- Liebig, M.A.; Doran, J.W. Impact of Organic Production Practices on Soil Quality Indicators. J. Environ. Qual. 1999, 28, 1601–1609. [Google Scholar] [CrossRef]
- Chang, E.H.; Chung, R.S.; Tsai, Y.H. Effect of different application rates of organic fertilizer on soil enzyme activity and microbial population. Soil Sci. Plant Nutr. 2007, 53, 132–140. [Google Scholar] [CrossRef]
- Weon, H.Y.; Kwon, J.S.; Suh, J.S.; Choi, W.Y. Soil microbial flora and chemical properties as influenced by the application of pig manure compost. Korean J. Soil Sci. Fertil. 1999, 32, 76–83. [Google Scholar]
- Sun, D.Q.; Meng, J.; Liang, H.; Yang, E.; Huang, Y.W.; Chen, W.F.; Jiang, L.L.; Lan, Y.; Zhang, W.M.; Gao, J.P. Effect of volatile organic compounds absorbed to fresh biochar on survival of Bacillus mucilaginosus and structure of soil microbial communities. J. Soils Sediments 2015, 15, 271–281. [Google Scholar] [CrossRef]
- Hirose, S. Mineralization of organic nitrogen of various plant residues in the soil under upland condition. Sci. Soil Manure 1973, 44, 157–163. [Google Scholar]
- Aoyama, M.; Nozawa, T. Microbial biomass nitrogen and mineralization-immobilization processes of nitrogen in soils incubated with various organic materials. Soil Sci. Plant Nutr. 1993, 39, 23–32. [Google Scholar] [CrossRef]
- Kaiser, K.; Wemheuer, B.; Korolkow, V.; Wemheuer, F.; Nacke, H.; Schöning, I.; Schrumpf, M.; Daniel, R. Driving forces of soil bacterial community structure, diversity, and function in temperate grasslands and forests. Sci. Rep. 2016, 6, 33696. [Google Scholar] [CrossRef]
- Wu, J.Q.; Sha, C.Y.; Wang, M.; Ye, C.M.; Li, P.; Huang, S.F. Effect of organic fertilizer on soil bacteria in maize fields. Land 2021, 10, 328. [Google Scholar] [CrossRef]
- Geisseler, D.; Scow, K.M. Long-term effects of mineral fertilizers on soil microorganisms—A review. Soil Biol. Biochem. 2014, 75, 54–63. [Google Scholar] [CrossRef]
- Gao, C.H.; El-Sawah, A.M.; Ali, D.F.; Alhaj, H.; Shaghaleh, H.; Sheteiwy, M.S. The integration of bio and organic fertilizers improve plant growth, grain yield, quality and metabolism of hybrid maize (Zea mays L.). Agronomy 2020, 10, 319. [Google Scholar] [CrossRef]
- Ji, R.T.; Dong, G.Q.; Shi, W.M.; Min, J. Effects of liquid organic fertilizers on plant growth and rhizosphere soil characteristics of chrysanthemum. Sustainability 2017, 9, 841. [Google Scholar] [CrossRef]
- Hua, K.K.; Wang, D.Z.; Guo, Z.B. Effects of long-term application of various organic amendments on soil particulate organic matter storage and chemical stabilisation of vertisol soil. Acta Agric. Scand. Sect. B-Soil Plant Sci. 2018, 68, 505–514. [Google Scholar] [CrossRef]
- Sauze, J.; Ogée, J.; Maron, P.A.; Crouzet, O.; Nowak, V.; Wohl, S.; Kaisermann, A.; Jones, S.P.; Wingate, L. The interaction of soil phototrophs and fungi with pH and their impact on soil CO2, CO18O and OCS exchange. Soil Biol. Biochem. 2017, 115, 371–382. [Google Scholar] [CrossRef]
- Ning, Y.C.; Wang, X.; Yang, Y.N.; Cao, X.; Wu, Y.L.; Zou, D.T.; Zhou, D.X. Studying the effect of straw returning on the interspecific symbiosis of soil microbes based on carbon source utilization. Agriculture 2022, 12, 1053. [Google Scholar] [CrossRef]
- Celik, I.; Ortas, I.; Kilic, S. Effects of compost, mycorrhiza, manure and fertilizer on some physical properties of a Chromoxerert soil. Soil Tillage Res. 2004, 78, 59–67. [Google Scholar] [CrossRef]
- Nannipieri, P.; Ascher, J.; Ceccherini, M.T.; Landi, L.; Pietramellara, G.; Renella, G. Microbial diversity and soil functions. Eur. J. Soil Sci. 2003, 54, 655–670. [Google Scholar] [CrossRef]
- Bhat, A.K. Preserving microbial diversity of soil ecosystem: A key to sustainable productivity. Int. J. Curr. Microbiol. Appl. Sci. 2013, 2, 85–101. [Google Scholar]
- Delgado-Baquerizo, M.; Maestre, F.T.; Reich, P.B.; Jeffries, T.C.; Gaitan, J.J.; Encinar, D.; Berdugo, M.; Campbell, C.D.; Singh, B.K. Microbial diversity drives multifunctionality in terrestrial ecosystems. Nat. Commun. 2016, 7, 10541. [Google Scholar] [CrossRef]
- Bever, J.D.; Mangan, S.A.; Alexander, H.M. Maintenance of plant species diversity by pathogens. Annu. Rev. Ecol. Evol. Syst. 2015, 46, 305–325. [Google Scholar] [CrossRef]
- Fierer, N.; Lauber, C.L.; Ramirez, K.S.; Zaneveld, J.; Bradford, M.A.; Knight, R.J. Comparative metagenomic, phylogenetic and physiological analyses of soil microbial communities across nitrogen gradients. ISME J. 2012, 6, 1007–1017. [Google Scholar] [CrossRef]
- Zeng, X.B.; Wang, Y.N.; Wang, Y.Z.; Bai, L.Y.; Li, L.F.; Duan, R.; Su, S.M.; Wu, C.X. Effects of different fertilization regimes on abundance and community structure of the nirK-type denitrifying bacteria in greenhouse vegetable soils. J. Appl. Ecol. 2014, 25, 505–514. [Google Scholar]
- Song, Y.L.; Yu, J.; Chen, S.G.; Xiao, C.Z.; Li, Y.H.; Su, X.R.; Ding, F.J. Effects of complex microbial agent on cotton physiological characteristics, microorganism and physicochemical properties in rhizosphere soil. Soils 2019, 51, 477–487. [Google Scholar]
- Tang, Q.; Xia, Y.; Ti, C.; Shan, J.; Zhou, W.; Li, C.; Yan, X.; Yan, X. Partial organic fertilizer substitution promotes soil multifunctionality by increasing microbial community diversity and complexity. Pedosphere 2023, 33, 407–420. [Google Scholar] [CrossRef]
- Liu, J.J.; Sui, Y.Y.; Yu, Z.H.; Shi, Y.U.; Chu, H.Y.; Jin, J.; Liu, X.B.; Wang, G.H. High throughput sequencing analysis of biogeographical distribution of bacterial communities in the black soils of northeast China. Soil Biol. Biochem. 2014, 70, 113–122. [Google Scholar] [CrossRef]
- Davis, K.R.; Sangwan, P.; Janssen, P.H. Acidobacteria, rubrobacteridae and chloroflexi are abundant among very slow-growing and mini-colony-forming soil bacteria. Environ. Microbiol. 2011, 13, 798–805. [Google Scholar] [CrossRef] [PubMed]
- Eo, J.N.; Park, K.C. Long-term effects of imbalanced fertilization on the composition and diversity of soil bacterial community. Agric. Ecosyst. Environ. Exp. Bot. 2016, 231, 176–182. [Google Scholar] [CrossRef]
- Ma, A.Z.; Zhuang, X.L.; Wu, J.M.; Cui, M.M.; Lv, D.; Liu, C.Z.; Zhuang, G.Q. Ascomycota members dominate fungal communities during straw residue decomposition in arable soil. PLoS ONE 2013, 8, e66146. [Google Scholar] [CrossRef] [PubMed]
- Kjøller, R.; Rosendahl, S. Cultivated and fallow fields harbor distinct communities of Basidiomycota. Fungal Ecol. 2014, 9, 43–51. [Google Scholar] [CrossRef]
- Larkin, R.P. Characterization of soil microbial communities under different potato cropping systems by microbial population dynamics, substrate utilization, and fatty acid profiles. Soil Biol. Biochem. 2003, 35, 1451–1466. [Google Scholar] [CrossRef]
- Zhao, J.; Zhang, R.F.; Xue, C.; Xun, W.B.; Sun, L.; Xu, Y.C.; Shen, Q.R. Pyrosequencing reveals contrasting soil bacterial diversity and community structure of two main winter wheat cropping systems in China. Microb. Ecol. 2014, 67, 443–453. [Google Scholar] [CrossRef]
- Feng, M.M.; Adams, J.M.; Fan, K.K.; Shi, Y.; Sun, R.B.; Wang, D.Z.; Guo, X.S.; Chu, H.Y. Long-term fertilization influences community assembly processes of soil diazotrophs. Soil Biol. Biochem. 2018, 126, 151–158. [Google Scholar] [CrossRef]
- Rousk, J.; Brookes, P.C.; Bååth, E. Contrasting soil pH effects on fungal and bacterial growth suggest functional redundancy in carbon mineralization. Appl. Environ. Microbiol. 2009, 75, 1589–1596. [Google Scholar] [CrossRef]
- Strickland, M.S.; Rousk, J. Considering fungal: Bacterial dominance in soils–methods, controls, and ecosystem implications. Soil Biol. Biochem. 2010, 42, 1385–1395. [Google Scholar] [CrossRef]
- Prasanna, R.; Jaiswal, P.; Singh, Y.; Singh, P. Influence of biofertilizers and organic amendments on nitrogenase activity and phototrophic biomass of soil under wheat. Acta Agron. Hung. 2008, 56, 149–159. [Google Scholar] [CrossRef]
- Correll, D.L. The role of phosphorus in the eutrophication of receiving waters: A review. J. Environ. Qual. 1998, 27, 261–266. [Google Scholar] [CrossRef]
- Fierer, N.; Bradford, M.A.; Jackson, R.B. Toward an ecological classification of soil bacteria. Ecology 2007, 88, 1354–1364. [Google Scholar] [CrossRef] [PubMed]
- Guo, J.J.; Liu, W.B.; Zhu, C.; Luo, G.W.; Kong, Y.L.; Ling, N.; Wang, M.; Dai, J.Y.; Shen, Q.R.; Guo, S.W. Bacterial rather than fungal community composition is associated with microbial activities and nutrient-use efficiencies in a paddy soil with short-term organic amendments. Plant Soil 2018, 424, 335–349. [Google Scholar] [CrossRef]
- Zhao, S.C.; Qiu, S.J.; Xu, X.P.; Ciampitti, I.A.; Zhang, S.Q.; He, P. Change in straw decomposition rate and soil microbial community composition after straw addition in different long-term fertilization soils. Appl. Soil Ecol. 2019, 138, 123–133. [Google Scholar] [CrossRef]
- Li, H.Y.; Hu, T.; Amombo, E.; Fu, J.M. Transcriptome profilings of two tall fescue (Festuca arundinacea) cultivars in response to lead (Pb) stress. BMC Genom. 2017, 18, 145. [Google Scholar] [CrossRef]
- Wang, X.; Gao, S.H.; Chen, J.Q.; Yao, Z.W.; Zhang, L.; Wu, H.L.; Shu, Q.; Zhang, X.D. Response of functional diversity of soil microbial community to forest cutting and regeneration methodology in a Chinese fir plantation. Forests 2022, 13, 360. [Google Scholar] [CrossRef]
- Chantigny, M.H. Dissolved and water-extractable organic matter in soils: A review on the influence of land use and management practices. Geoderma 2003, 113, 357–380. [Google Scholar] [CrossRef]
- Sønsteby, A.; Nes, A.; Mage, F. Effects of bark mulch and npk fertilizer on yield, leaf nutrient status and soil mineral nitrogen during three years of strawberry production. Acta Agric. Scand. 2004, 54, 128–134. [Google Scholar] [CrossRef]
- Cai, D.; Yang, X.H.; Wang, S.Z.; Chao, Y.Q.; Morel, J.L.; Qiu, R.L. Effects of dissolved organic matter derived from forest leaf litter on biodegradation of phenanthrene in aqueous phase. J. Hazard. Mater. 2017, 324, 516–525. [Google Scholar] [CrossRef] [PubMed]
- Durling, M.; Brandstroem, S.; Erica, B.; Adam, L.; Bjoern, D. Changes in fungal communities along a boreal forest soil fertility gradient. New Phytol. 2015, 207, 1145–1158. [Google Scholar]
- Sadowsky, J.J.; Diepen, V.; Linda, T.A.; Thomas, K.W.; Frey, S.D.; Morrison, E.W. Chronic nitrogen additions fundamentally restructure the soil fungal community in a temperate forest. Fungal Ecol. 2016, 23, 48–57. [Google Scholar]
- Zhang, C.; Xin, S.Q.; Guo, D.D.; Zhou, W.; Huang, S.M. Distinct responses of soil bacterial and fungal communities to changes in fertilization regime and crop rotation. Geoderma Int. J. Soil Sci. 2018, 319, 156–166. [Google Scholar]








| Raw Material | TN (g/kg) | TP (g/kg) | TK (g/kg) | AN (mg/kg) | AP (mg/kg) | AK (mg/kg) | OM (g/kg) |
|---|---|---|---|---|---|---|---|
| Sheep Manure | 8.99 | 6.61 | 11.8 | 658.58 | 304.87 | 9320 | 945.67 |
| Cow Manure | 9 | 5.71 | 13.3 | 686.58 | 383.29 | 6786.67 | 510.76 |
| Tail Vegetable | 11.09 | 5.41 | 139.6 | 971.25 | 391.25 | 13,886.67 | 614.43 |
| Mushroom Residue | 9.1 | 6.65 | 11.4 | 630.58 | 284.33 | 9253.33 | 470.31 |
| Corn Straw | 10.04 | 7.79 | 15.09 | 546.58 | 385.61 | 8246.67 | 998.77 |
| Treatments | TN (g/kg) | TP (g/kg) | TK (g/kg) | AN (mg/kg) | AP (mg/kg) | AK (mg/kg) | OM (g/kg) | pH Value | EC Value (ms/cm) |
|---|---|---|---|---|---|---|---|---|---|
| CK2 | 9.19 | 4.27 | 14.60 | 434.58 | 122.11 | 7596.67 | 227.57 | 8.14 | 4.81 |
| T1 | 8.09 | 3.40 | 15.35 | 429.92 | 143.29 | 8123.33 | 195.33 | 7.95 | 4.92 |
| T2 | 9.37 | 4.12 | 13.76 | 415.92 | 100.87 | 7013.33 | 132.75 | 8.07 | 5.33 |
| T3 | 9.19 | 4.38 | 11.68 | 476.58 | 93.33 | 6856.67 | 176.37 | 8.03 | 5.63 |
| T4 | 10.13 | 4.54 | 14.99 | 504.58 | 165.40 | 8860.00 | 394.45 | 8.25 | 6.35 |
| T5 | 10.17 | 4.27 | 10.11 | 411.25 | 96.54 | 7453.33 | 195.33 | 8.08 | 5.32 |
| T6 | 10.49 | 4.50 | 14.28 | 415.92 | 166.01 | 8240.00 | 244.64 | 8.13 | 5.91 |
| T7 | 11.34 | 4.86 | 13.77 | 555.92 | 161.93 | 9746.67 | 384.97 | 8.18 | 6.19 |
| T8 | 10.90 | 4.64 | 14.00 | 448.58 | 173.55 | 8530.00 | 252.22 | 8.24 | 6.65 |
Disclaimer/Publisher’s Note: The statements, opinions and data contained in all publications are solely those of the individual author(s) and contributor(s) and not of MDPI and/or the editor(s). MDPI and/or the editor(s) disclaim responsibility for any injury to people or property resulting from any ideas, methods, instructions or products referred to in the content. |
© 2024 by the authors. Licensee MDPI, Basel, Switzerland. This article is an open access article distributed under the terms and conditions of the Creative Commons Attribution (CC BY) license (https://creativecommons.org/licenses/by/4.0/).
Share and Cite
Wang, J.; Zhang, B.; Wang, J.; Zhang, G.; Yue, Z.; Hu, L.; Yu, J.; Liu, Z. Effects of Different Agricultural Waste Composts on Cabbage Yield and Rhizosphere Environment. Agronomy 2024, 14, 413. https://doi.org/10.3390/agronomy14030413
Wang J, Zhang B, Wang J, Zhang G, Yue Z, Hu L, Yu J, Liu Z. Effects of Different Agricultural Waste Composts on Cabbage Yield and Rhizosphere Environment. Agronomy. 2024; 14(3):413. https://doi.org/10.3390/agronomy14030413
Chicago/Turabian StyleWang, Jue, Bo Zhang, Jie Wang, Guobin Zhang, Zhibin Yue, Linli Hu, Jihua Yu, and Zeci Liu. 2024. "Effects of Different Agricultural Waste Composts on Cabbage Yield and Rhizosphere Environment" Agronomy 14, no. 3: 413. https://doi.org/10.3390/agronomy14030413
APA StyleWang, J., Zhang, B., Wang, J., Zhang, G., Yue, Z., Hu, L., Yu, J., & Liu, Z. (2024). Effects of Different Agricultural Waste Composts on Cabbage Yield and Rhizosphere Environment. Agronomy, 14(3), 413. https://doi.org/10.3390/agronomy14030413
