Sign in to use this feature.

Years

Between: -

Subjects

remove_circle_outline
remove_circle_outline
remove_circle_outline
remove_circle_outline
remove_circle_outline
remove_circle_outline
remove_circle_outline
remove_circle_outline
remove_circle_outline

Journals

remove_circle_outline
remove_circle_outline
remove_circle_outline
remove_circle_outline
remove_circle_outline
remove_circle_outline
remove_circle_outline
remove_circle_outline
remove_circle_outline
remove_circle_outline
remove_circle_outline
remove_circle_outline
remove_circle_outline
remove_circle_outline
remove_circle_outline
remove_circle_outline
remove_circle_outline
remove_circle_outline
remove_circle_outline

Article Types

Countries / Regions

remove_circle_outline
remove_circle_outline
remove_circle_outline
remove_circle_outline
remove_circle_outline
remove_circle_outline
remove_circle_outline
remove_circle_outline

Search Results (3,070)

Search Parameters:
Keywords = compost

Order results
Result details
Results per page
Select all
Export citation of selected articles as:
23 pages, 1746 KB  
Article
Composting and Vermicomposting of Fish Sludge with Egg Boxes and Lettuce Wastes with the Addition of Eggshells: Impacts on Chemical Properties, Nutrient Availability, and Safety
by Maha Hleibieh, Ales Hanc, Pavel Michal and Tereza Hrebeckova
Agronomy 2026, 16(4), 473; https://doi.org/10.3390/agronomy16040473 - 19 Feb 2026
Abstract
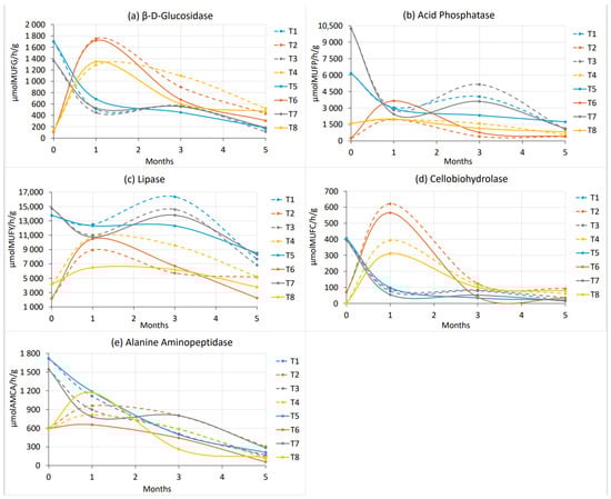
This study compared the composting and vermicomposting of fish sludge amended with egg boxes, lettuce residues, and eggshells, over a five-month period. Eight treatments (T1–T8) differing in fish sludge content and the presence or absence of earthworms (Eisenia andrei) were evaluated. [...] Read more.
This study compared the composting and vermicomposting of fish sludge amended with egg boxes, lettuce residues, and eggshells, over a five-month period. Eight treatments (T1–T8) differing in fish sludge content and the presence or absence of earthworms (Eisenia andrei) were evaluated. Monitored parameters included pH, electrical conductivity, earthworm biomass and abundance, concentrations of available elements (P, K, Mg, S, Fe, Cu, Zn and Mn), volatile solids and C/N ratio. Final total levels of potentially toxic elements (PTEs), such as Cr, Ni, Pb and As were also measured. The results demonstrated that fish sludge, egg boxes, and lettuce at a 4:5:1 ratio plus eggshells with earthworms (T8) enhanced nutrient transformation and earthworm activity. Fish sludge and egg boxes at 1:3 plus eggshells (T2) and the same mixture with earthworms (T6) produced compost with PTEs concentrations within safe limits. Final concentrations of Cu, Zn, Cr, Ni, and Pb in T2, T6, and T8 remained below European regulatory thresholds. T8 showed significantly higher concentrations of available K and Mg compared to T2 and T6. T8 was identified as the most effective treatment for processing fish sludge while producing a safe, nutrient-rich product suitable for use as a high-quality organic fertilizer in sustainable agriculture. These findings support vermicomposting as an efficient and environmental strategy for fish sludge utilization. Full article
(This article belongs to the Special Issue Composting for Soil Improvement and Removal of Soil Contaminants)
Show Figures

Figure 1

31 pages, 886 KB  
Review
Valorization of Seafood Processing Byproducts for Sustainable Fertilization: Opportunities and Food Safety Considerations in Agriculture 4.0
by Gulsun Akdemir Evrendilek
Sustainability 2026, 18(4), 2064; https://doi.org/10.3390/su18042064 - 18 Feb 2026
Viewed by 49
Abstract
The transition toward sustainable and circular bioeconomies in Agriculture 4.0 demands fertilization strategies that reduce environmental impacts while maintaining agronomic productivity. This article presents a structured narrative review of peer-reviewed literature integrating evidence across waste management, soil science, food safety, and regulatory frameworks [...] Read more.
The transition toward sustainable and circular bioeconomies in Agriculture 4.0 demands fertilization strategies that reduce environmental impacts while maintaining agronomic productivity. This article presents a structured narrative review of peer-reviewed literature integrating evidence across waste management, soil science, food safety, and regulatory frameworks to evaluate the potential of seafood processing byproducts including fish offal, shellfish residues, and aquaculture effluents as nutrient-rich fertilizers. These materials provide nitrogen, phosphorus, calcium, and essential micronutrients and may contribute to nutrient recycling within precision and resource-efficient agricultural systems. Evidence from diverse cropping contexts indicates that seafood waste-derived fertilizers can improve crop yield, nutrient use efficiency, and soil biological activity under site-specific conditions. Biological processing methods, including composting, enzymatic hydrolysis, and fermentation, are examined for their roles in enhancing nutrient bioavailability and reducing undesirable constituents. Particular emphasis is placed on food safety considerations, including heavy metals, persistent organic pollutants, antimicrobial resistance, pathogens, and microplastics, with discussion of speciation-based risk assessment and mitigation strategies such as thermal treatment, microbial screening, and compliance with international standards. Regulatory fragmentation, economic feasibility, and lifecycle environmental implications are also critically assessed. Emerging digital tools, including Internet of Things (IoT)-enabled nutrient monitoring and artificial intelligence (AI)-assisted compost optimization, are discussed as enabling technologies for integrating seafood-derived biofertilizers into smart farming systems. Overall, this interdisciplinary synthesis highlights the potential contribution of seafood waste valorization to circular nutrient management, environmental stewardship, and sustainable food production. Full article
(This article belongs to the Special Issue Fertilization for Sustainable Agriculture 4.0)
22 pages, 2998 KB  
Article
Oxidation Strength of PLA Filled with Algal Biomass and Rosemary Extract Powders for Food-Safe Handling
by Traian Zaharescu, Marius Bumbac, Cristina Mihaela Nicolescu, Aurora Craciun and Radu Mirea
Polymers 2026, 18(4), 504; https://doi.org/10.3390/polym18040504 - 18 Feb 2026
Viewed by 50
Abstract
Poly(lactic acid) (PLA) is widely used in food-contact applications due to its bio-based origin, compostability, and transparency; however, its limited resistance to thermo-oxidative degradation remains a challenge for applications involving repeated thermal exposure. The moderate but repetitive heating conditions commonly encountered during food [...] Read more.
Poly(lactic acid) (PLA) is widely used in food-contact applications due to its bio-based origin, compostability, and transparency; however, its limited resistance to thermo-oxidative degradation remains a challenge for applications involving repeated thermal exposure. The moderate but repetitive heating conditions commonly encountered during food use and pre-recycling stages were analyzed for the samples filled with algal biomass and rosemary extract, additives accepted for use in the food industry. In this context, the present study introduces a comparative and application-driven approach by evaluating the effect of food-grade fillers—rosemary extract, spirulina biomass, and kelp biomass—incorporated at low loadings (0.5–3 wt%) on the thermal and oxidative behavior of PLA subjected to repeated heating at 80 °C. The presented results show algal biomasses as multifunctional fillers and benchmark their performance against a well-established natural extract. By combining DSC, FTIR, and chemiluminescence analyses, the study aims to clarify whether such bio-fillers act as stabilizing or destabilizing factors under realistic service-life thermal stress. This strategy provides insight into the suitability of algae-based fillers for food-contact PLA materials from both performance and recyclability perspectives. Full article
(This article belongs to the Special Issue Advances in Biodegradable Polyester-Based Materials)
Show Figures

Figure 1

16 pages, 1262 KB  
Article
Prevalence of Escherichia coli and Salmonella spp. in Colombian Pig Production Settings: A One Health Perspective Study
by Adriana Pulido-Villamarín, Fidson-Juarismy Vesga, Camilo Venegas, Deyci Rodríguez-Cordero, Adriana Matiz-Villamil, Irina Barrientos, Iliana C. Chamorro-Tobar, Juan Pablo Caicedo, Beatriz Ariza, Seyli Gomez, Loti Sarai Bermudez, Ana Karina Carrascal-Camacho, Moises Aranda-Silva and David Olaya E
Vet. Sci. 2026, 13(2), 189; https://doi.org/10.3390/vetsci13020189 - 14 Feb 2026
Viewed by 171
Abstract
Zoonotic pathogens in swine production can negatively impact both human and animal health, with the environment serving as a potential transmission vehicle. Therefore, this study aimed to determine the prevalence of Escherichia coli and Salmonella spp. in the Colombian swine production chain using [...] Read more.
Zoonotic pathogens in swine production can negatively impact both human and animal health, with the environment serving as a potential transmission vehicle. Therefore, this study aimed to determine the prevalence of Escherichia coli and Salmonella spp. in the Colombian swine production chain using the One Health approach. Samples were collected from nine farms and two slaughterhouses in the departments of Antioquia, Cundinamarca, Valle del Cauca, and Meta. The analyzed samples included water, feed, pig and worker feces, organic material in treatment (manure treated and compost), and pig carcasses. These samples were analyzed using standard microbiological methods and the Molecular Detection System (MDS). The results showed Salmonella spp. prevalence rates of 15.47% in pigs, 9.4% in feed, 8.47% in water, and 2.56% in organic material. For E. coli O157, prevalence rates were 25.71% in pigs, 10% in feed, 22.22% in water, and 33.33% in organic material. The high prevalence and bacterial loads in water suggest it is a critical reservoir and a potential primary source of contamination in the production chain. Although these pathogens were not detected in workers, the zoonotic risk remains. Additionally, the prevalence of haemolytic enterotoxigenic E. coli (ETEC), a major swine pathogen, was 40.1%. This study emphasizes the need to improve biosecurity and farm management practices to reduce the risk of environmental transmission, thereby minimizing public, occupational, and animal health risks. Implementing water treatment protocols and improving organic waste management are recommended to limit the spread of bacterial contamination. These actions are based on the ‘One Health’ approach, recognizing that animal health and ecosystem integrity are indivisible pillars of human health. Full article
(This article belongs to the Section Veterinary Food Safety and Zoonosis)
Show Figures

Graphical abstract

32 pages, 2352 KB  
Article
Biochar–Compost as a Solution to Tackle Water Stress and Soil Degradation in Drylands
by Alban Echchelh and Felipe Guilayn
Agronomy 2026, 16(4), 444; https://doi.org/10.3390/agronomy16040444 - 13 Feb 2026
Viewed by 269
Abstract
Desertification in Mediterranean drylands threatens food security. This study evaluated biochar–compost amendments on drought-affected sandy–calcareous soils, focusing on carbon (C) and nitrogen (N) dynamics. Laboratory soil incubations revealed that biochar reduced C mineralization, aiding long-term storage, but also decreased N mineralization, signaling potential [...] Read more.
Desertification in Mediterranean drylands threatens food security. This study evaluated biochar–compost amendments on drought-affected sandy–calcareous soils, focusing on carbon (C) and nitrogen (N) dynamics. Laboratory soil incubations revealed that biochar reduced C mineralization, aiding long-term storage, but also decreased N mineralization, signaling potential short-term immobilization. However, leaching experiments showed that incorporating 2%, 5%, 10%, and 20% biochar into compost significantly reduced C losses by 22, 26, 36, and 48%, respectively, and N losses by 37, 67%, 45%, and 65%, respectively. In water-stressed lettuce trials, the use of compost alone could only yield 30% of the yield obtained in unstressed lettuce treated with compost. While the addition of 2–5% biochar to compost enabled the conservation of 44–45% of the yield of unstressed lettuce, a 10% biochar amendment doubled this number (88%). Nonetheless, a higher dose of 20% biochar in the compost offered no additional benefit with 84% of the yield of unstressed lettuce amended with compost. These findings position biochar–compost as a key strategy to enhance soil fertility and water-use efficiency. To counteract short-term N immobilization, the study recommends further investigation of early application combined with supplemental fertilization or fractionated biochar supply (over 2–3 years). Ultimately, tailoring biochar formulations to specific local conditions is essential to balance immediate crop productivity with long-term soil health. Full article
Show Figures

Figure 1

19 pages, 491 KB  
Article
Influence of Compost Amendments on the Composition of Pistachio Nuts in Young Pistachio Trees (Pistacia vera L.)
by Marta I. Saludes-Zanfaño, M. Remedios Morales-Corts, Louise Ferguson and Ana M. Vivar-Quintana
Foods 2026, 15(4), 697; https://doi.org/10.3390/foods15040697 - 13 Feb 2026
Viewed by 131
Abstract
New fertilization strategies in pistachio cultivation are necessary to reduce the environmental impact of mineral fertilization. The influence of organic fertilization strategies, compost and compost tea, on the growth, yield, and chemical composition of pistachio nuts (Pistacia vera L.) was investigated for [...] Read more.
New fertilization strategies in pistachio cultivation are necessary to reduce the environmental impact of mineral fertilization. The influence of organic fertilization strategies, compost and compost tea, on the growth, yield, and chemical composition of pistachio nuts (Pistacia vera L.) was investigated for two sequential seasons in Spain. Conventional synthetic fertilizers were compared with three organic treatments: compost (T1), compost with compost tea (T2), and compost tea combined with mineral fertilizers (T3). Organic fertilization, alone or combined with mineral fertilization, proved adequate for tree growth and production. The nut composition including mineral content, fatty acid profile, and amino acid composition, was comparable to that obtained with mineral fertilization. Linolenic acid content was higher in treatments that incorporated compost tea (T2 and T3). No changes were observed in mineral composition except for the Zn, which was higher in T3 during one season. Differences in pistachio nut composition between growing seasons were more pronounced than those associated with the fertilization treatments. This is probably a result of alternate bearing. In this trial, integrated organic–mineral fertilization of young pistachio trees reduced the need for mineral fertilization. Full article
(This article belongs to the Section Food Quality and Safety)
Show Figures

Graphical abstract

25 pages, 5143 KB  
Article
Biodiverse Compounds from Angiosperms and Gymnosperms: A Chemical, Nutritional, and Microbiological Approach
by Andressa Pereira de Jesus, Ueric José Borges de Souza, Daniel José de Souza Mol, Sabrina Faria Rezende, Layara Alexandre Bessa and Luciana Cristina Vitorino
Microorganisms 2026, 14(2), 436; https://doi.org/10.3390/microorganisms14020436 - 12 Feb 2026
Viewed by 157
Abstract
Biodiverse composts obtained through composting are widely used in regenerative agriculture due to their ability to improve soil quality, crop growth, and productivity, primarily by promoting beneficial microorganisms. These composts result from the decomposition of mixtures containing nitrogenous and plant biomass. During plant [...] Read more.
Biodiverse composts obtained through composting are widely used in regenerative agriculture due to their ability to improve soil quality, crop growth, and productivity, primarily by promoting beneficial microorganisms. These composts result from the decomposition of mixtures containing nitrogenous and plant biomass. During plant biomass preparation, litter serves as a source of beneficial microorganisms, which transition from endophytes to decomposers. This study tested the hypothesis that the type of litter influences the composition of bacterial and fungal communities in biodiverse composts, thereby affecting species abundance and diversity. To this end, litter from the tree species Handroanthus impetiginosus (Angiosperm—AC) and Pinus elliottii (Gymnosperm—GC) was evaluated in compost preparation, also investigating the impact of litter type on the concentration of macronutrients, chemical parameters (such as organic carbon, cation exchange capacity—CEC; carbon/nitrogen ratio—C/N; organic matter—OM; pH, and humic substances fractions, including humic and fulvic acids), and microbiological quality (assessed by Microbial Biomass Carbon—MBC). The microbial composition of composts prepared with both AC and GC litter was more influenced by the composting method than by plant origin, with bacterial genera such as Thermobacillus (representing 1.27% and 1.23% of the genera present in AC and GC, respectively) and thermotolerant species, adapted to the high temperatures of the thermophilic phase, being notably present. GC litter favored a higher abundance of bacterial (pi = 0.027) and fungal species (pi = 0.042), despite the antimicrobial properties of P. elliottii. In contrast, AC compost accumulated higher levels of macronutrients and OM (39.5%), reflecting the efficacy of specific fungi in decomposition, particularly species from the phyla Chytridiomycota and Zoopagomycota, identified exclusively in this compost. MBC analysis indicated that composts reach optimal efficiency and nutritional quality between 60 and 90 days of maturation, suggesting that this period is the most suitable for leveraging the resident microbiota and producing high-quality composts for agricultural use. Full article
(This article belongs to the Section Plant Microbe Interactions)
Show Figures

Figure 1

17 pages, 2536 KB  
Review
Regional Characteristics of Livestock and Poultry Manure Production and Sustainable Resource Utilisation Technologies in China—A Review
by Xuan Ye, Cheng Shen and Jin Zhang
Sustainability 2026, 18(4), 1844; https://doi.org/10.3390/su18041844 - 11 Feb 2026
Viewed by 177
Abstract
China’s livestock farming scale rose from 54.4% in 2020 to 73.2% in 2023, increasing annual manure production to 3.8 billion tons and greenhouse gas emissions to 4–6 billion t carbon dioxide equivalent (CO2-eq). Manure management has thus become a key barrier [...] Read more.
China’s livestock farming scale rose from 54.4% in 2020 to 73.2% in 2023, increasing annual manure production to 3.8 billion tons and greenhouse gas emissions to 4–6 billion t carbon dioxide equivalent (CO2-eq). Manure management has thus become a key barrier to agricultural pollution control and carbon reduction goals. This study analyses regional differences in manure generation, showing that East and Central China—comprising less than 40% of the national land area—bear over 48% of total manure and about 50% of N and P loads, whereas Northeast and Northwest China have surplus cropland absorption capacity. This reveals a clear spatial mismatch between manure production and land carrying capacity. By reviewing major treatment technologies (aerobic composting, anaerobic digestion) and utilisation pathways (fertiliser use, energy recovery) and integrating life cycle assessment (LCA) with geographic information system (GIS)-based spatial evaluation, this study highlights the advantages of technology coupling strategies. For example, anaerobic digestion combined with composting can reduce net climate impacts by 21%, and regional circular models cut full-cycle carbon footprints by 34.44%. The results underscore the need for GIS-supported spatial LCA to match technologies with regional conditions, providing a scientific basis for advancing livestock manure management and China’s green agricultural transition. Full article
Show Figures

Figure 1

19 pages, 1824 KB  
Article
Comparing the Environmental Impacts of Representative Food Donation and Redistribution Strategies
by Zhijian Guo, Tianhong Mu, Beth Feingold, Akiko Hosler, Christine Bozlak, Stacy Pettigrew and Xiaobo Romeiko
Foods 2026, 15(4), 645; https://doi.org/10.3390/foods15040645 - 11 Feb 2026
Viewed by 212
Abstract
Assessing the environmental impacts of food donation systems is necessary to support food donation policy and management. Few life cycle assessment (LCA) studies have investigated the environmental impacts of food donation systems. This comparative LCA study analyzed the environmental impacts of eight different [...] Read more.
Assessing the environmental impacts of food donation systems is necessary to support food donation policy and management. Few life cycle assessment (LCA) studies have investigated the environmental impacts of food donation systems. This comparative LCA study analyzed the environmental impacts of eight different donation scenarios reflecting diverse supply chain configurations and operational management options, using 391.8 kg of redistributed food over two weeks as the functional unit. Each of the eight scenarios presented net environmental benefits for all five life cycle environmental impact categories: 132~233 kg CO2-eq for global warming potential, 2.30~5.24 kg SO2-eq for acidification potential, 1.13~2.04 kg N-eq for eutrophication potential, 1791~3140 MJ for cumulative energy demand, and 3.7 × 107~5.8 × 107 m3 for water resource depletion. The highest magnitudes of environmental benefits were achieved when intermediary organizations collected and gleaned the surplus food from donors and then transported it to food pantries (the eighth scenario). Improving the quality of donated food, augmenting the sorting capacities of emergency organizations, and shortening transportation distances could increase the environmental benefits of food donation systems. The environmental impact intensities of production and waste management choices for food waste generated during the redistribution of the surplus food ranked as the top influential factors for the five environmental impacts. Rescuing surplus food from donors who landfilled the wasted food tended to yield larger environmental benefits than from donors who composted it. Overall, this study finds that improving donation quality and increasing the capacities of emergency food organizations are crucial for maximizing the environmental benefits of the fresh produce donation system. Full article
Show Figures

Graphical abstract

24 pages, 1208 KB  
Article
Modulation of Grapevine Physiological Performance by Compost and Vermicompost Obtained from Vine Pruning Residues
by Carolina Maia, Sandra Pereira, Renata Moura, Cátia Brito, Miguel Baltazar, Sandra Martins, Zélia Branco, Marta Roboredo, Elisabete Nascimento-Gonçalves, João R. Sousa, Ana M. Coimbra, Tiago Azevedo, Henda Lopes, Maria C. Morais, Paula A. Oliveira and Lia-Tânia Dinis
Plants 2026, 15(4), 558; https://doi.org/10.3390/plants15040558 - 10 Feb 2026
Viewed by 256
Abstract
Recycling vineyard pruning residues into compost and vermicompost represents a sustainable strategy to reduce viticulture’s reliance on chemical fertilizers. Nonetheless, their effects on plant performance remain poorly understood. This study evaluated the effect of vine pruning residues compost and vermicompost on the physiological, [...] Read more.
Recycling vineyard pruning residues into compost and vermicompost represents a sustainable strategy to reduce viticulture’s reliance on chemical fertilizers. Nonetheless, their effects on plant performance remain poorly understood. This study evaluated the effect of vine pruning residues compost and vermicompost on the physiological, biochemical, and growth performance of Vitis vinifera L. cv. Touriga Franca, in comparison with mineral fertilization and an unfertilized control. A pot experiment was conducted from April to September 2024 in northern Portugal under Mediterranean climate conditions, using one-year-old grapevines and subjected to four fertilization treatments. Leaf gas exchange, chlorophyll a fluorescence, photosynthetic pigments, antioxidant and osmoprotective metabolites, and shoot and root development were assessed at three sampling dates during the growing season. Organic amendments enhanced photosynthetic performance and root growth relative to the unfertilized control. Vermicompost promoted higher CO2 assimilation, stomatal conductance, and shoot and root elongation, whereas compost increased intrinsic water use efficiency, photochemical regulation, and root biomass. Biochemical analyses indicated that compost favored protein and carotenoid accumulation, while vermicompost increased proline and later protein levels, alongside reduced phenolic and flavonoid contents. Despite their similar chemical composition, compost and vermicompost induced distinct physiological responses driven by differences in biological activity and nutrient dynamics. These findings demonstrate that pruning-derived organic amendments can match mineral fertilization in supporting grapevine performance while offering additional benefits for stress regulation and sustainable vineyard management. Full article
(This article belongs to the Special Issue Plant Physiological and Biochemical Adaptations to Climate Change)
Show Figures

Figure 1

26 pages, 1745 KB  
Article
Governing the Green Bin: A Comparative Systems Thinking Analysis of Organics Recovery in Regional Queensland
by Christine Blanchard, Esther Landells, Peter Harris and Bernadette K. McCabe
Recycling 2026, 11(2), 40; https://doi.org/10.3390/recycling11020040 - 10 Feb 2026
Viewed by 320
Abstract
Management of food organics and garden organics (FOGO) has emerged as a critical policy priority due to methane emissions from landfilled organics in Australia. Here, the responsibility for organics recovery rests with state and local governments, resulting in fragmented implementation, differing regulatory settings, [...] Read more.
Management of food organics and garden organics (FOGO) has emerged as a critical policy priority due to methane emissions from landfilled organics in Australia. Here, the responsibility for organics recovery rests with state and local governments, resulting in fragmented implementation, differing regulatory settings, and variable landfill levy designs. This study examines the viability of FOGO systems by drawing on three Queensland regional case studies: Lockyer Valley, Rockhampton, and Bundaberg. The study uses qualitative document analysis and comparative case study methods, supported by systems mapping, to examine interactions between policy, governance, infrastructure, and community factors. Seven key domains were identified as being central to system performance: (1) government waste strategy, (2) waste regulation, (3) political acceptance, (4) collection systems, (5) cost and funding, (6) community acceptance, and (7) compost processing. Examining these components collectively demonstrated that effective FOGO delivery relies on their alignment, with each layer reinforcing or constraining the others. To highlight waste regulation tools, the study compared landfill levies as a central economic and governance instrument in two contrasting Australian jurisdictions. In Queensland, the levy operates primarily as a fiscal tool rather than as a behavioural driver, limiting councils’ ability to invest in new services. By contrast, New South Wales’s mandatory FOGO implementation and a more mature regulatory framework have driven widespread service rollout but have also revealed the complexities of enforcing a universal policy in diverse regional contexts. The paper offers new insights into the financial and governance dynamics shaping regional waste policy, demonstrating how whole-of-system coherence is essential for advancing circular economy transitions in dispersed local contexts. Full article
Show Figures

Graphical abstract

16 pages, 1841 KB  
Article
Enhancing Soil Functionality Through Circular Fertilizers Derived from Agro-Industrial Wastes: Insights into Microbiological and Biochemical Dynamics
by Angela Maffia, Federica Alessia Marra, Santo Battaglia, Carmelo Mallamaci and Adele Muscolo
Environments 2026, 13(2), 93; https://doi.org/10.3390/environments13020093 - 9 Feb 2026
Viewed by 286
Abstract
The growing demand for sustainable fertilization practices has stimulated interest in circular fertilizers derived from agro-industrial and agricultural wastes. This study assessed the agronomic and biological performance of several waste-based fertilizers—produced through composting, vermicomposting, and sulfur–bentonite enrichment—on chemical and microbiological soil properties. Composts [...] Read more.
The growing demand for sustainable fertilization practices has stimulated interest in circular fertilizers derived from agro-industrial and agricultural wastes. This study assessed the agronomic and biological performance of several waste-based fertilizers—produced through composting, vermicomposting, and sulfur–bentonite enrichment—on chemical and microbiological soil properties. Composts and vermicomposts were prepared from olive pomace, citrus residues, wood sawdust, and straw, with or without elemental sulfur obtained from petroleum gas desulfurization. Field trials were conducted on a sandy loam soil (Motta San Giovanni, Italy) to compare the different formulations. After six months, soils amended with waste-based fertilizers exhibited significant improvements in key parameters relative to both the control and mineral fertilizer treatment. Vermicompost applications (SV1, SV2) increased total organic carbon by 20–30% (up to 2.1%), total nitrogen by 35–45% (0.22–0.23%), microbial biomass carbon by ~25% (≈1090 µg C g−1), and dehydrogenase and fluorescein diacetate activities by 10–20% compared with compost or sulfur–bentonite treatments. Compost amendments (SC1, SC2) raised soil pH (8.2–8.3) and organic matter content (≈3.3–3.6%), while sulfur–bentonite formulations lowered pH to 7.1–7.3 and increased water-soluble phenols (up to 40 µg TAE g−1 d.s). The highest cation exchange capacity (22–23 cmol (+) kg−1) was observed in vermicompost-amended soils. Microbial community analysis revealed greater fungal abundance under sulfur–bentonite treatments, whereas bacteria and actinomycetes predominated in compost-amended soils. Principal Component Analysis (explaining 76% of variance) identified two main functional pathways: vermicompost treatments clustered with indicators of high biological activity (TOC, TN, MBC, and enzyme activities), while compost and sulfur–bentonite treatments were associated with pH, phenolic compounds, and fungal biomass, reflecting slower but more stable organic matter turnover. Overall, vermicompost-based fertilizers proved most effective in enhancing short-term nutrient availability and microbial activation, whereas composts favored long-term soil carbon accumulation and stability. These results highlight the potential of circular fertilizers derived from agro-industrial wastes to restore soil health, close nutrient cycles, and reduce dependence on synthetic fertilizers—thereby advancing sustainable and circular agriculture. Full article
Show Figures

Graphical abstract

18 pages, 4137 KB  
Article
Qualitative Assessment and Interrelation of Organic Carbon Transport and Bioactivity Characteristics During Natural Composting and Vermicomposting: Various Pig Manure/Straw Pellets Ratios
by Yong Zhou, Mengting Huang, Wenqiang Li, Zuhong Zheng, Wanping Chen, Lang Hu and Huankai Li
Fermentation 2026, 12(2), 98; https://doi.org/10.3390/fermentation12020098 - 9 Feb 2026
Viewed by 247
Abstract
The transformation pathways of organic carbon (OC) fractions and their interrelationship with microbial activity during natural composting (NC) and vermicomposting (VC) remain poorly understood across pig manure (PM)/straw pellets (SP) ratios. Therefore, the objective of this study was to elucidate the regulatory mechanisms [...] Read more.
The transformation pathways of organic carbon (OC) fractions and their interrelationship with microbial activity during natural composting (NC) and vermicomposting (VC) remain poorly understood across pig manure (PM)/straw pellets (SP) ratios. Therefore, the objective of this study was to elucidate the regulatory mechanisms of substrate mixing ratios on carbon fraction transformation and microbial functional networks during these processes. To achieve this, five PM/SP ratios [100:0 (T1), 75:25 (T2), 50:50 (T3), 25:75 (T4), and 0:100 (T5)] were composted with or without earthworms, revealing the T2 (75:25) ratio had most efficient composting performance within 60 days due to the suitable initial C/N ratio (31.65 ± 0.99). Consequently, the T2 treatment reached the highest organic degradation, including TOC reduction (58.6%), TN accumulation (63.9%), and C/N decline (74.8%) in the VC. Vermicomposting markedly stimulated functional microbial groups—nitrogen-fixing, phosphate-solubilizing, and potassium-solubilizing bacteria—thereby enhancing nutrient (N, P, K) bioavailability. The prominence of the optimal C/N ratio across multiple hydrolytic and oxidative enzymes in the VC-T2 further proved that this ratio provided an optimal nutrient and structural balance for both earthworms and microbial consortia. Strong correlations between bacterial abundance and enzyme activities (r ≥ 0.98), lignin and dissolved OC (r ≈ −0.81), and particulate organic carbon and mineral-associated carbon (r > 0.9) highlighted microbially mediated carbon stabilization through enzymatic mineralization, aggregation, and redistribution of carbon from active pools toward mineral-associated OC. This work identifies the critical PM-SP ratio for waste valorization and mechanistically links earthworm–bacteria interactions to carbon sequestration pathways. Full article
Show Figures

Figure 1

20 pages, 5843 KB  
Article
Zinc-Driven Antibiotic Resistance Gene Dynamics During Vermicomposting: Insights into Co-Contamination Mitigation for Sustainable Manure Management
by Naiyu Wang, Shimei Zheng, Yuanye Zeng and Fengxia Yang
Antibiotics 2026, 15(2), 188; https://doi.org/10.3390/antibiotics15020188 - 9 Feb 2026
Viewed by 264
Abstract
Background: The coexistence of antibiotic resistance genes (ARGs) and heavy metals in livestock manure poses critical challenges to vermicomposting technology. Objectives: This study aimed to clarify the zinc (Zn)-driven ARG dynamics over 60-day vermicomposting for livestock manure and provide a reference for taking [...] Read more.
Background: The coexistence of antibiotic resistance genes (ARGs) and heavy metals in livestock manure poses critical challenges to vermicomposting technology. Objectives: This study aimed to clarify the zinc (Zn)-driven ARG dynamics over 60-day vermicomposting for livestock manure and provide a reference for taking appropriate measures to reduce the spread of ARGs in the environment. Methods: In a vermicomposting system using Eisenia fetida and treated with varying concentrations of Zn, high-throughput sequencing was employed to analyze microbial succession, while quantitative real-time PCR (qPCR) was performed to track the fluctuation patterns of ARG (tet-, erm-, qnr-, str-, chl-, bla-, mcr-ARGs) and mobile genetic element (MGE, intI1 and intI2) abundances over the 60-day treatment period. Results: Generally, sul- (10−3–10−1 copies/16S rRNA), tet- (10−3–10−2 copies/16S rRNA), and str-ARGs (10−3–10−2 copies/16S rRNA) are dominant in dairy manure. Vermicomposting significantly reduced total ARGs (88.62% removal), but Zn stress triggered concentration-dependent shifts. Low Zn (100–250 mg/kg) elevated tet-, erm-, and chl-ARGs via co-selective pressure and disrupted bacterial succession, while high Zn (500–1000 mg/kg) suppressed qnr- and mcr-ARGs but intensified horizontal transfer via cross-resistance. Conclusions: Vermicomposting maintained a greater ARG removal capacity across the Zn gradient (100–1000 mg/kg) than natural composting, proving an effective approach for reducing the threat of antibiotic resistance in bacteria even under high Zn stress. The link between Zn residues and the increased ARG dissemination risks underscores the challenge of co-contaminants, providing essential insights for developing vermicomposting strategies to mitigate ARG risks and ensure sustainable manure management. Full article
(This article belongs to the Section Antibiotics in Animal Health)
Show Figures

Graphical abstract

20 pages, 1657 KB  
Article
Green Regeneration of Dredged Sediments: Desalination and Amendment for the Preparation of Greening Soil
by Xin Zhang, Yue Ma, Hengyu Liang, Kelan Liu, Junqing Mu, Dongxue Cui, Hongying Liu and Yan Ma
Sustainability 2026, 18(4), 1716; https://doi.org/10.3390/su18041716 - 7 Feb 2026
Viewed by 192
Abstract
The rapid expansion of coastal dredging projects has resulted in the accumulation of large volumes of dredged sediments, creating significant environmental and land-use challenges. Conventional disposal methods, such as landfilling and marine dumping, not only waste valuable resources but also pose risks, including [...] Read more.
The rapid expansion of coastal dredging projects has resulted in the accumulation of large volumes of dredged sediments, creating significant environmental and land-use challenges. Conventional disposal methods, such as landfilling and marine dumping, not only waste valuable resources but also pose risks, including heavy metal contamination and excessive salinity. In this study, dredged sediment from the former sedimentation area of Huanghua Port was systematically examined for its potential reuse as greening soil through a three-stage approach: desalination, amendment with additives, and composting. Water-washing experiments were conducted to optimize desalination parameters, with a focus on the effects of solid-to-liquid ratios and washing solution concentrations on electrical conductivity reduction. Biochar, fly ash, and wood vinegar were then applied as amendments to evaluate their impacts on soil properties, including pH, organic matter, electrical conductivity, and cation exchange capacity. In addition, co-composting experiments with dredged sediment and crop straw were designed to investigate composting dynamics and changes in physicochemical characteristics under different mixing ratios. The results showed that two washes with a 0.3% NaCl solution effectively reduced electrical conductivity to acceptable levels. Subsequent amendment and composting treatments markedly enhanced soil fertility and ecological suitability. In particular, the combination of 1000-fold diluted wood vinegar and straw-to-sediment composting at a 1:3 weight ratio enabled the amended sediment to meet the Chinese standards for Planting Soil Green. Overall, this study establishes a scientific basis and practical strategy for the sustainable recycling of dredged sediments, supporting their application in urban greening and ecological restoration. Full article
(This article belongs to the Section Pollution Prevention, Mitigation and Sustainability)
Show Figures

Figure 1

Back to TopTop