Long-Term Agricultural Management Alters Soil Fungal Communities and Soil Carbon and Nitrogen Contents in Tea Plantations
Abstract
1. Introduction
2. Materials and Methods
2.1. Site Description of the Forest, Young (YTP), and Century-Old (OTP) Tea Plantations Groups
2.2. Soil Sampling and Determination of Related Indicators
2.3. DNA Amplicon and Illumina Sequencing of Fungal Communities
2.4. Statistical Analyses
3. Results
3.1. Soil Carbon Pool
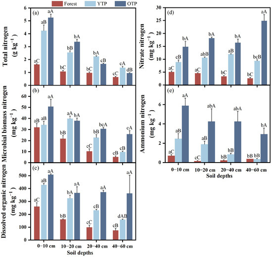
3.2. Soil N Pool
3.3. Soil Microbial Community
3.4. Relationships Between Soil Carbon, Nitrogen, and Microbial Community
4. Discussion
4.1. Effects of Planting Year on the Soil Carbon Pool at Different Depths
4.2. Effects of Planting Year on Soil N Pool at Different Depths
4.3. Association Between the Soil C and N Pool and Microbial Communities
5. Conclusions
Supplementary Materials
Author Contributions
Funding
Data Availability Statement
Conflicts of Interest
References
- Tang, B.; Rocci, K.S.; Lehmann, A.; Rillig, M.C. Nitrogen increases soil organic carbon accrual and alters its functionality. Glob. Chang. Biol. 2023, 29, 1971–1983. [Google Scholar] [CrossRef]
- Valdez, Z.P.; Hockaday, W.C.; Masiello, C.A.; Gallagher, M.E.; Robertson, G.P. Soil Carbon and Nitrogen Responses to Nitrogen Fertilizer and Harvesting Rates in Switchgrass Cropping Systems. Bioenergy Res. 2017, 10, 456–464. [Google Scholar] [CrossRef]
- Knicker, H. Soil organic N—An under-rated player for C sequestration in soils? Soil Boil. Biochem. 2011, 43, 1118–1129. [Google Scholar] [CrossRef]
- Lin, B.J.; Li, R.C.; Liu, K.C.; Pelumi Oladele, O.; Xu, Z.Y.; Lal, R.; Zhao, X.; Zhang, H.L. Management-induced changes in soil organic carbon and related crop yield dynamics in China’s cropland. Glob. Chang. Biol. 2023, 29, 3575–3590. [Google Scholar] [CrossRef]
- Raheem, A.; Yohanna, P.; Li, G.L.; Noh, N.J.; Iqbal, B.; Tang, J.; Du, D.L.; Alahmadi, T.A.; Ansari, M.J.; Zhan, A.B.; et al. Unraveling the ecological threads: How invasive alien plants influence soil carbon dynamics. J. Environ. Manag. 2020, 26, 2613–2629. [Google Scholar] [CrossRef]
- Padhy, S.R.; Bhattacharyya, P.; Dash, P.K.; Reddy, C.S.; Chakraborty, A.; Pathak, H. Seasonal fluctuation in three mode of greenhouse gases emission in relation to soil labile carbon pools in degraded mangrove, Sundarban, India. Sci. Total Environ. 2020, 705, 135829. [Google Scholar] [CrossRef]
- Vidal, E.A.; Alvarez, J.M.; Araus, V.; Riveras, E.; Brooks, M.D.; Krouk, G.; Ruffel, S.; Lejay, L.; Crawford, N.M.; Coruzzi, G.M.; et al. Nitrate in 2020: Thirty Years from Transport to Signaling Networks. Plant Cell 2020, 32, 2094–2119. [Google Scholar] [CrossRef]
- Miki, U.; Kachina, P.; Marod, D.; Nakashizuka, T.; Kurokawa, H. Soil properties and gross nitrogen dynamics in old growth and secondary forest in four types of tropical forest in Thailand. For. Ecol. Manag. 2017, 398, 130–139. [Google Scholar]
- Xue, D.; Yao, H.; Huang, C. Microbial Biomass, N Mineralization and Nitrification, Enzyme Activities, and Microbial Community Diversity in Tea Orchard Soils. Plant Soil 2006, 288, 319–331. [Google Scholar] [CrossRef]
- Yang, H.C.; Wang, J.Y.; Zhang, F.H. Soil aggregation and aggregate-associated carbon under four typical halophyte communities in an arid area. Environ. Sci. Pollut. Res. 2016, 23, 23920–23929. [Google Scholar] [CrossRef]
- Kalita, R.M.; Das, A.K.; Sileshi, G.W.; Nath, A.J. Ecosystem carbon stocks in different aged tea agroforestry systems: Implications for regional ecosystem management. Trop. Ecol. 2020, 61, 203–214. [Google Scholar] [CrossRef]
- Li, H.M.; Ma, Y.X.; Liu, W.J.; Liu, W.J. Soil changes induced by rubber and tea plantation establishment: Comparison with tropical rain forest soil in Xishuangbanna, SW China. Environ. Manag. 2012, 50, 837–848. [Google Scholar] [CrossRef]
- Wang, S.Q.; Li, T.X.; Zheng, Z.C.; Chen, H.Y.H. Soil aggregate-associated bacterial metabolic activity and community structure in different aged tea plantations. Sci. Total Environ. 2019, 654, 1023–1032. [Google Scholar] [CrossRef]
- Li, X.Z.; Han, B.S.; Yang, F.; Hu, C.Y.; Han, G.Z.; Huang, L.M. Effects of land use change on soil carbon and nitrogen in purple paddy soil. J. Environ. Manag. 2022, 314, 115122. [Google Scholar] [CrossRef]
- Chen, L.; Xu, J.M.; Feng, Y.Z.; Wang, J.T.; Yu, Y.J.; Brookes, P.C. Responses of soil microeukaryotic communities to short-term fumigation-incubation revealed by MiSeq amplicon sequencing. Front. Microbiol. 2015, 6, 1149. [Google Scholar] [CrossRef]
- Wang, H.B.; Jin, J.; Yu, P.Y.; Fu, W.J.; Morrison, L.; Lin, H.P.; Meng, M.J.; Zhou, X.F.; Lv, Y.L.; Wu, J.S. Converting evergreen broad-leaved forests into tea and Moso bamboo plantations affects labile carbon pools and the chemical composition of soil organic carbon. Sci. Total Environ. 2020, 711, 135225. [Google Scholar] [CrossRef]
- Zechmeister-Boltenstern, S.; Keiblinger, K.M.; Mooshammer, M.; Penuelas, J.; Richter, A.; Sardans, J.; Wanek, W. The application of ecological stoichiometry to plant-microbial-soil organic matter transformations. Ecol. Monogr. 2015, 85, 133–155. [Google Scholar] [CrossRef]
- Yang, G.; Zhou, D.; Wan, R.; Wang, C.; Xie, J.; Ma, C.; Li, Y. HPLC and High-Throughput Sequencing Revealed Higher Tea-Leaves Quality, Soil Fertility and Microbial Community Diversity in Ancient Tea Plantations: Compared with Modern Tea Plantations. BMC Plant Biol. 2022, 22, 239. [Google Scholar] [CrossRef]
- Liu, C.G.; Jin, Y.Q.; Lin, F.M.; Jiang, C.; Zeng, X.L.; Feng, D.F.; Huang, F.Z.; Tang, J.W. Land use change alters carbon and nitrogen dynamics mediated by fungal functional guilds within soil aggregates. Sci. Total Environ. 2023, 902, 166080. [Google Scholar] [CrossRef]
- Yuri, L.Z.; Gonçalves, J.M.; Carlos, A.S. Soil C:N ratios are unresponsive to land use change in Brazil: A comparative analysis. Agric. Ecosyst. Environ. 2018, 255, 62–72. [Google Scholar]
- Wang, S.Q.; Li, T.X.; Zheng, Z.C. Distribution of microbial biomass and activity within soil aggregates as affected by tea plantation age. Catena 2017, 153, 1–8. [Google Scholar] [CrossRef]
- Burton, J.; Chen, C.R.; Xu, Z.H.; Ghadiri, H. Soil microbial biomass, activity and community composition in adjacent native and plantation forests of subtropical Australia. J. Soils Sediments 2010, 10, 1267–1277. [Google Scholar] [CrossRef]
- Zhong, Y.Q.; Yan, W.M.; Zhouping, S.G. Impact of long-term N additions upon coupling between soil microbial community structure and activity, and nutrient-use efficiencies. Soil Boil. Biochem. 2015, 91, 151–159. [Google Scholar] [CrossRef]
- Ondik, M.M.; Ooi, M.K.J.; Munoz-Rojas, M. Soil microbial community composition and functions are disrupted by fire and land use in a Mediterranean woodland. Sci. Total Environ. 2023, 895, 165717. [Google Scholar] [CrossRef]
- Yan, P.; Shen, C.; Zou, Z.; Fan, L.; Li, X.; Zhang, L.P.; Zhang, L.; Dong, C.; Fu, J.; Han, W.; et al. Increased Soil Fertility in Tea Gardens Leads to Declines in Fungal Diversity and Complexity in Subsoils. Agronomy 2022, 12, 1751. [Google Scholar] [CrossRef]
- Leifeld, J.; Zimmermann, M.; Fuhrer, J. Simulating decomposition of labile soil organic carbon: Effects of pH. Soil Biol. Biochem. 2008, 40, 2948–2951. [Google Scholar] [CrossRef]
- Zhang, J.Y.; Huang, H.; Liu, H.F.; Wu, H.M.; Zhang, Z.; Wang, G.L.; Xue, S.; Liu, G.B. Effects of Soil Microbiological Properties on the Fractional Distribution and Stability of Soil Organic Carbon under Different N Addition Treatments. Forests 2023, 14, 1540. [Google Scholar] [CrossRef]
- Zhang, S.; Zhong, H.; Huang, L.L.; Kong, Z.Y.; Wu, L. Recovery of soil organic carbon storage driven by microbial communities during long-term natural restoration in wetland ecosystems. Ecol. Eng. 2024, 199, 107170. [Google Scholar] [CrossRef]
- Zheng, H.; Liu, D.; Liao, X.; Miao, Y.; Li, Y.; Li, J.; Chen, Z.; Ding, W. Field-aged biochar enhances soil organic carbon by increasing recalcitrant organic carbon fractions and making microbial communities more conducive to carbon sequestration. Agron. Ecosyst. Environ. 2022, 340, 10817. [Google Scholar] [CrossRef]
- Wang, D.; Wu, B.S.; Li, F.; Li, X.Q.; Wang, Z.H.; Hou, J.F.; Cao, R.; Yang, W.Q. Soil organic carbon stock in China’s tea plantations and their great potential of carbon sequestration. J. Clean Prod. 2023, 421, 138485. [Google Scholar] [CrossRef]
- Abakumov, E.V.; Gladkov, G.F.; Kimeklis, A.k.; Andronov, E.E. The Microbiomes of Various Types of Abandoned Fallow Soils of South Taiga (Novgorod Region, Russian North-West). Agronomy 2023, 13, 2592. [Google Scholar] [CrossRef]
- Yan, P.; Shen, C.; Fan, L.C.; Li, X.; Zhang, L.P.; Zhang, L.; Han, W.Y. Tea planting affects soil acidification and nitrogen and phosphorus distribution in soil. Agric. Ecosyst. Environ. 2018, 254, 20–25. [Google Scholar] [CrossRef]
- Yang, K.; Zhu, J.J.; Zhang, M.; Yan, Q.L.; Sun, O.J.X. Soil microbial biomass carbon and nitrogen in forest ecosystems of Northeast China: A comparison between natural secondary forest and larch plantation. J. Plant Ecol. 2010, 3, 175–182. [Google Scholar] [CrossRef]
- Ghani, A.; Dexter, M.; Carran, R.A.; Theobald, P.W. Dissolved organic nitrogen and carbon in pastoral soils: The New Zealand experience. Eur. J. Soil Sci. 2007, 58, 832–843. [Google Scholar] [CrossRef]
- White, T.J.; Bruns, T.; Lee, S.; Taylor, J.; Innis, M.A.; Gelfand, D.H.; Sninsky, J. Amplification and Direct Sequencing of Fungal Ribosomal RNA Genes for Phylogenetics. In PCR Protocols; Academic Press: Cambridge, MA, USA, 1990; pp. 315–322. [Google Scholar]
- Reeder, J.; Knight, R. Rapidly denoising pyrosequencing amplicon reads by exploiting rank-abundance distributions. Nat. Methods 2010, 7, 668–669. [Google Scholar] [CrossRef]
- Edgar, R.C. Search and clustering orders of magnitude faster than BLAST. Bioinformatics 2010, 26, 2460–2461. [Google Scholar] [CrossRef]
- Pruitt, K.D.; Brown, G.R.; Hiatt, S.M.; Thibaud-Nissen, F.; Astashyn, A.; Ermolaeva, O.; Farrell, C.M.; Hart, J.; Landrum, M.J.; McGarvey, K.M.; et al. RefSeq: An update on mammalian reference sequences. Nucleic Acids Res. 2013, 42, D756–D763. [Google Scholar] [CrossRef]
- Nguyen, N.H.; Williams, L.J.; Vincent, J.B.; Stefanski, A.; Cavender-Bares, J.; Messier, C.; Paquette, A.; Gravel, D.; Reich, P.; Kennedy, P.G. Ectomycorrhizal fungal diversity and saprotrophic fungal diversity are linked to different tree community attributes in a field-based tree experiment. Mol. Ecol. 2016, 25, 4032–4046. [Google Scholar] [CrossRef]
- Yang, X.; Yu, H.; Zhang, T.; Guo, J.; Zhang, X. Arbuscular Mycorrhizal Fungi Improve the Antioxidative Response and the Seed Production of Suaedoideae Species Suaeda physophora Pall Under Salt Stress. Not. Bot. Hortic. Agrobotanici 2016, 44, 533–540. [Google Scholar] [CrossRef][Green Version]
- Delgado-Baquerizo, M.; Fry, E.L.; Eldridge, D.J.; de Vries, F.T.; Manning, P.; Hamonts, K.; Kattge, J.; Boenisch, G.; Singh, B.K.; Bardgett, R.D. Plant attributes explain the distribution of soil microbial communities in two contrasting regions of the globe. New Phytol. 2018, 219, 574–587. [Google Scholar] [CrossRef] [PubMed]
- McMurdie, P.J.; Holmes, S. phyloseq: An R package for reproducible interactive analysis and graphics of microbiome census data. PLoS ONE 2013, 8, e61217. [Google Scholar] [CrossRef] [PubMed]
- Zheng, N.G.; Yu, Y.X.; Wang, J.; Chapman, S.; Yao, H.Y.; Zhang, Y.Y. The conversion of subtropical forest to tea plantation changes the fungal community and the contribution of fungi to N2O production. Environ. Pollut. 2020, 265, 115106. [Google Scholar] [CrossRef]
- Chiti, T.; Díaz-Pinés, E.; Butterbach-Bahl, K.; Marzaioli, F.; Valentini, R. Soil organic carbon changes following degradation and conversion to cypress and tea plantations in a tropical mountain forest in Kenya. Plant Soil. 2018, 422, 527–539. [Google Scholar] [CrossRef]
- Malik, A.A.; Puissant, J.; Buckeridge, K.M.; Goodall, T.; Jehmlich, N.; Chowdhury, S.; Gweon, H.S.; Peyton, J.M.; Mason, K.E.; van Agtmaal, M.; et al. Land use driven change in soil pH affects microbial carbon cycling processes. Nat. Commun. 2018, 9, 2037. [Google Scholar] [CrossRef] [PubMed]
- Chen, T.; Hong, X.M.; Hu, Y.L.; Wang, Q.K.; Yu, L.Z.; Wang, X.W. Effects of litter input on the balance of new and old soil organic carbon under natural forests along a climatic gradient in China. Biogeochemistry 2022, 160, 409–421. [Google Scholar] [CrossRef]
- He, P.; Deng, X.S.; Liu, J.; Li, M.M.; Cheng, F. Non-additive responses of litter decomposition, litter chemical traits, and soil C: N:P stoichiometry to mixing with Eucalyptus in plantation environments. Plant Soil 2024, 499, 457–472. [Google Scholar] [CrossRef]
- Lungmuana; Singh, S.B.; Vanthawmliana; Saha, S.; Dutta, S.K.; Rambuatsaiha; Singh, A.R. Impact of secondary forest fallow period on soil microbial biomass carbon and enzyme activity dynamics under shifting cultivation in North Eastern Hill region, India. Catena 2017, 156, 10–17. [Google Scholar] [CrossRef]
- Mendham, D.S.; Sankaran, K.V.; O′Connell, A.M.; Grove, T.S. Eucalyptus globulus harvest residue management effects on soil carbon and microbial biomass at 1 and 5 years after plantation establishment. Soil Biol. Biochem. 2002, 34, 1903–1912. [Google Scholar] [CrossRef]
- Xu, S.; Liu, L.L.; Sayer, E.J. Variability of above-ground litter inputs alters soil physicochemical and biological processes: A meta-analysis of litterfall-manipulation experiments. Biogeosciences 2013, 10, 7423–7433. [Google Scholar] [CrossRef]
- Wen, L.; Lei, P.F.; Xiang, W.H.; Yan, W.D.; Liu, S.T. Soil microbial biomass carbon and nitrogen in pure and mixed stands of Pinus massoniana and Cinnamomum camphora differing in stand age. For. Ecol. Manag. 2014, 328, 150–158. [Google Scholar] [CrossRef]
- Yang, Z.Y.; Zhu, Q.R.; Zhang, Y.P.; Jiang, P.; Wang, Y.Z.; Fei, J.C.; Rong, X.M.; Peng, J.W.; Wei, X.M.; Luo, G.W. Soil carbon storage and accessibility drive microbial carbon use efficiency by regulating microbial diversity and key taxa in intercropping ecosystems. Biol. Fertil. Soils 2024, 60, 437–453. [Google Scholar] [CrossRef]
- Clarke, N.; Wu, Y.J.; Strand, L.T. Dissolved organic carbon concentrations in four Norway spruce stands of different ages. Plant Soil 2007, 299, 275–285. [Google Scholar] [CrossRef]
- Li, Y.K.; Gong, J.Y.; Liu, J.; Hou, W.P.; Moroenyane, I.; Liu, Y.L.; Jin, J.; Liu, J.; Xiong, H.; Cheng, C. Effects of Different Land Use Types and Soil Depth on Soil Nutrients and Soil Bacterial Communities in a Karst Area, Southwest China. Soil Syst. 2022, 6, 20. [Google Scholar] [CrossRef]
- Gui, H.; Fan, L.C.; Wang, D.H.; Yan, P.; Li, X.; Pang, Y.H.; Zhang, L.P.; Zamanian, K.; Shi, L.L.; Xu, J.C.; et al. Variations in Soil Nutrient Dynamics and Bacterial Communities After the Conversion of Forests to Long-Term Tea Monoculture Systems. Front. Microbiol. 2022, 13, 896530. [Google Scholar] [CrossRef]
- Zhang, G.H.; Yang, W.J.; Hu, J.J.; Liu, J.G.; Ding, W.F.; Huang, J.Q. Effects of tea planting age on soil microbial biomass C:N:P stoichiometry and microbial quotient. Plant Soil Environ. 2023, 69, 221–229. [Google Scholar] [CrossRef]
- Yang, C.D.; Sainju, U.M.; Li, C.; Fu, X.; Zhao, F.Z.; Wang, J. Long-Term Chemical and Organic Fertilization Differently Affect Soil Aggregates and Associated Carbon and Nitrogen in the Loess Plateau of China. Agronomy 2023, 13, 1466. [Google Scholar] [CrossRef]
- Gong, S.S.; Yang, X.Y.; Xu, X.K.; Lai, Y.; Zhang, Z.H.; Kong, Y.H. Effect of stand age on the temporal dynamics of soil active carbon and nitrogen in Chinese cypress artificial forests. Soil Sci. Plant Nutr. 2022, 68, 64–71. [Google Scholar] [CrossRef]
- Tiefenbacher, A.; Weigelhofer, G.; Klik, A.; Pucher, M.; Santner, J.; Wenzel, W.; Eder, A.; Strauss, P. Short-Term Effects of Fertilization on Dissolved Organic Matter in Soil Leachate. Water 2020, 12, 1617. [Google Scholar] [CrossRef]
- Karagatzides, J.D.; Butler, J.L.; Ellison, A.M. The Pitcher Plant Sarracenia purpurea Can Directly Acquire Organic Nitrogen and Short-Circuit the Inorganic Nitrogen Cycle. PLoS ONE 2009, 4, 7. [Google Scholar] [CrossRef]
- Fang, Y.T.; Zhu, W.X.; Mo, J.M.; Zhou, G.Y.; Gundersen, P. Dynamics of soil inorganic nitrogen and their responses to nitrogen additions in three subtropical forests, south China. J. Environ. Sci. 2006, 18, 752–759. [Google Scholar]
- Liao, H.K.; Zheng, C.L.; Li, J.; Long, J. Dynamics of soil microbial recovery from cropland to orchard along a 20-year chronosequence in a degraded karst ecosystem. Sci. Total Environ. 2018, 639, 1051–1059. [Google Scholar] [CrossRef] [PubMed]
- Tischer, A.; Potthast, K.; Hamer, U. Land-use and soil depth affect resource and microbial stoichiometry in a tropical mountain rainforest region of southern Ecuador. Oecologia 2014, 175, 375–393. [Google Scholar] [CrossRef] [PubMed]







| Main Steps | Kits and Manufacturers |
|---|---|
| Extract total DNA of soil samples | Fast DNA Spin kit (MP Biomedicals LLC, Santa Ana, CA, USA) |
| Purification the total DNA of soil samples | OMEGA Bio-Tek kit (Bio-Tek Instruments, Inc., Charlotte, VT, USA) |
| Determine the concentration and purity of DNA | NanoDrop ND-1000 spectrophotometer (Thermo Fisher, Waltham, MA, USA). |
| Purification the PCR products of soil samples | Agcourt AMPure XP SPRI magnetic beads (Beckman Coulter, Indianapolis, IN, USA) |
| Quantifying and normalizing the PCR product | Qubit 2.0 fluorescence and Qubit dsDNA HS assay kits (Invitrogen, Carlsbad, CA, USA) |
Disclaimer/Publisher’s Note: The statements, opinions and data contained in all publications are solely those of the individual author(s) and contributor(s) and not of MDPI and/or the editor(s). MDPI and/or the editor(s) disclaim responsibility for any injury to people or property resulting from any ideas, methods, instructions or products referred to in the content. |
© 2024 by the authors. Licensee MDPI, Basel, Switzerland. This article is an open access article distributed under the terms and conditions of the Creative Commons Attribution (CC BY) license (https://creativecommons.org/licenses/by/4.0/).
Share and Cite
Luo, Y.; Zhang, S.; Hu, Q.; Huang, F.; Bao, D.; Li, X.; Dong, C.; Zhu, S.; Fu, J.; Yan, P. Long-Term Agricultural Management Alters Soil Fungal Communities and Soil Carbon and Nitrogen Contents in Tea Plantations. Agronomy 2024, 14, 2779. https://doi.org/10.3390/agronomy14122779
Luo Y, Zhang S, Hu Q, Huang F, Bao D, Li X, Dong C, Zhu S, Fu J, Yan P. Long-Term Agricultural Management Alters Soil Fungal Communities and Soil Carbon and Nitrogen Contents in Tea Plantations. Agronomy. 2024; 14(12):2779. https://doi.org/10.3390/agronomy14122779
Chicago/Turabian StyleLuo, Ying, Shaobo Zhang, Qiang Hu, Fuyin Huang, Demeng Bao, Xin Li, Chunwang Dong, Shuixing Zhu, Jianyu Fu, and Peng Yan. 2024. "Long-Term Agricultural Management Alters Soil Fungal Communities and Soil Carbon and Nitrogen Contents in Tea Plantations" Agronomy 14, no. 12: 2779. https://doi.org/10.3390/agronomy14122779
APA StyleLuo, Y., Zhang, S., Hu, Q., Huang, F., Bao, D., Li, X., Dong, C., Zhu, S., Fu, J., & Yan, P. (2024). Long-Term Agricultural Management Alters Soil Fungal Communities and Soil Carbon and Nitrogen Contents in Tea Plantations. Agronomy, 14(12), 2779. https://doi.org/10.3390/agronomy14122779

