Influence of Electrical Conductivity on Plant Growth, Nutritional Quality, and Phytochemical Properties of Kale (Brassica napus) and Collard (Brassica oleracea) Grown Using Hydroponics
Abstract
1. Introduction
2. Materials and Methods
2.1. Plant Growing Conditions
2.2. Treatments and Experimental Design
2.3. Gas Exchange Properties
2.4. Relative Chlorophyll Content (SPAD) and Chlorophyll Fluorescence
2.5. Plant Biomass Measurements
2.6. Tissue Nutrient Analysis
2.7. Chlorophyll and Carotenoids
2.8. Total Anthocyanins
2.9. Total Content of Phenolic Compounds
2.10. Vitamin C
2.11. Total Glucosinolates
2.12. Statistical Analysis
3. Results
3.1. Plant Fresh and Dry Biomass, Leaf Area, and Disorder Symptoms
3.2. Photosynthetic Properties and Plant Growth
3.3. Macro Nutrient Content of the Nutrient Solution
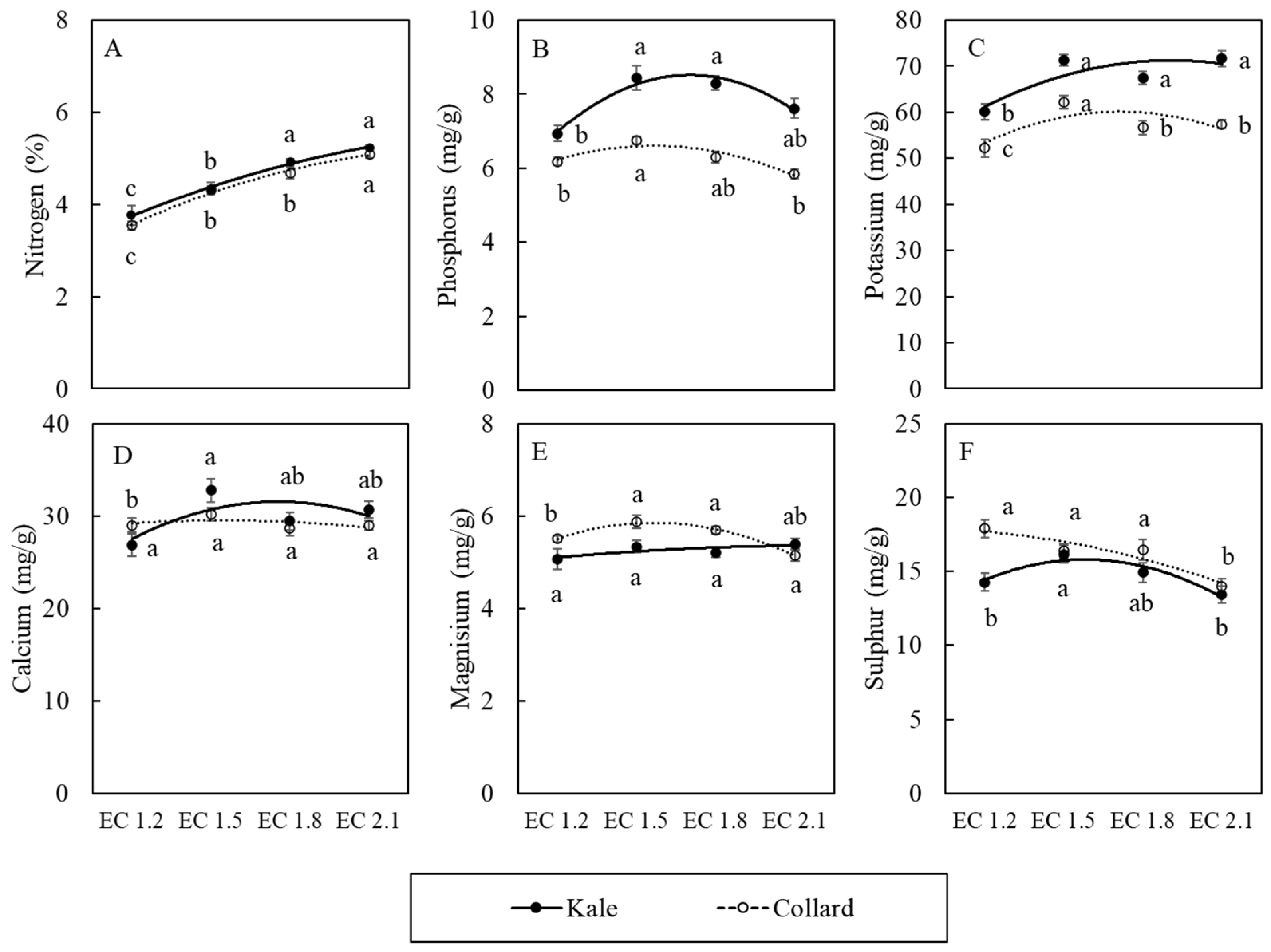
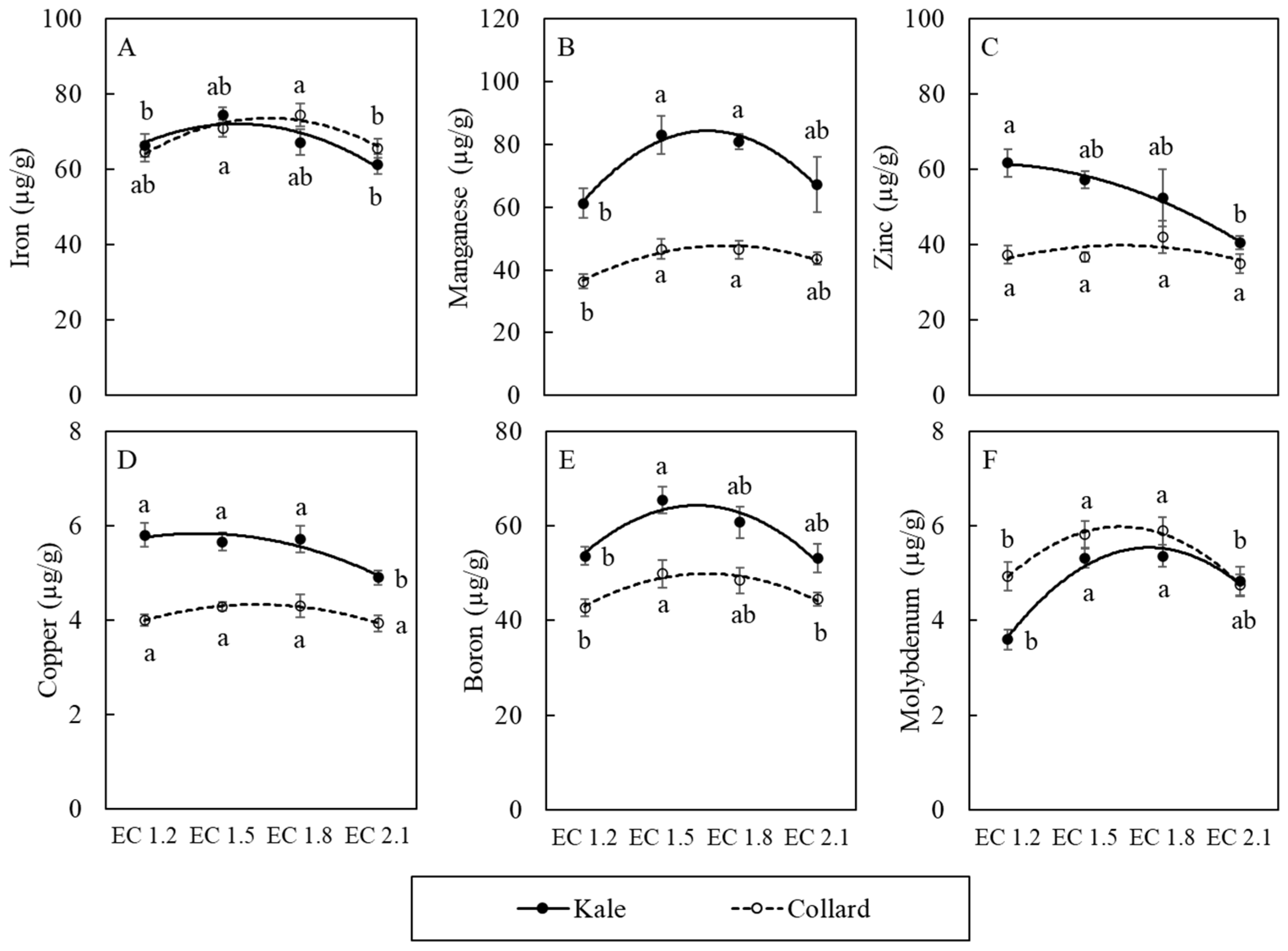
3.4. Plant Tissue Macro and Micronutrient Contents
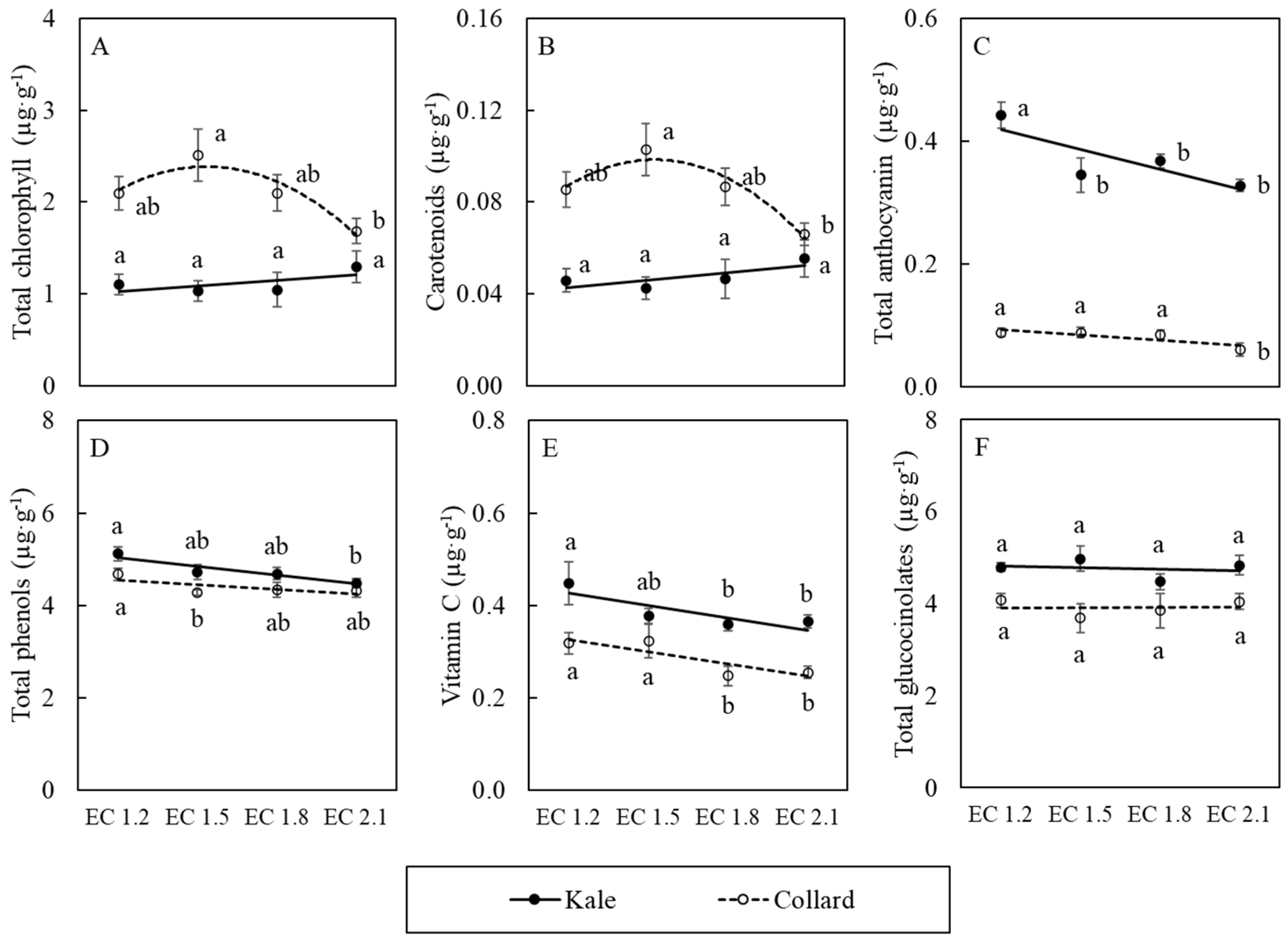
3.5. Plant Tissue Nitrate and Phytochemicals Contents
4. Discussion
4.1. Kale Prefers Higher Electrical Conductivity than Collard in Terms of Photosynthetic Properties and Plant Growth and Yield
4.2. High Electrical Conductivity Did Not Further Improve Tissue Mineral Nutrients or Phytochemicals Contents in Kale or Collard
4.3. Nutrient Fertilizer Formula Should Be Specifically Designed for Kale and Collard to Optimize Yield and Mineral Nutrient and Phytochemicals Contents
5. Conclusions
Author Contributions
Funding
Data Availability Statement
Acknowledgments
Conflicts of Interest
References
- Kopsell, D.A.; Kopsell, D.E.; Curran-Celentano, J. Carotenoid pigments in kale are influenced by nitrogen concentration and form. J. Sci. Food Agric. 2007, 87, 900–907. [Google Scholar] [CrossRef]
- Chen, R.; Song, S.; Li, X.; Liu, H.; Huang, D. Phosphorus deficiency restricts plant growth but induces pigment formation in the flower stalk of Chinese kale. Hortic. Environ. Biotechnol. 2013, 54, 243–248. [Google Scholar] [CrossRef]
- Sommerburg, O.; Keunen, J.E.; Bird, A.C.; Van Kuijk, F.J. Fruits and vegetables that are sources for lutein and zeaxanthin: The macular pigment in human eyes. Br. J. Ophthalmol. 1998, 82, 907–910. [Google Scholar] [CrossRef] [PubMed]
- van Jaarsveld, P.; Faber, M.; Van Heerden, I.; Wenhold, F.; van Rensburg, W.J.; Van Averbeke, W. Nutrient content of eight African leafy vegetables and their potential contribution to dietary reference intakes. J. Food Compos. Anal. 2014, 33, 77–84. [Google Scholar] [CrossRef]
- Kumar, V.; Singh, J. Trends in Hydroponics Practice/Technology in Horticultural Crops: A Review. Int. J. Plant Soil Sci. 2023, 35, 57–65. [Google Scholar] [CrossRef]
- Velazquez-Gonzalez, R.S.; Garcia-Garcia, A.L.; Ventura-Zapata, E.; Barceinas-Sanchez JD, O.; Sosa-Savedra, J.C. A review on hydroponics and the technologies associated for medium-and small-scale operations. Agriculture 2022, 12, 646. [Google Scholar] [CrossRef]
- Cowan, N.; Ferrier, L.; Spears, B.; Drewer, J.; Reay, D.; Skiba, U. CEA systems: The means to achieve future food security and environmental sustainability? Front. Sustain. Food Syst. 2022, 6, 891256. [Google Scholar] [CrossRef]
- Gómez, C.; Currey, C.J.; Dickson, R.W.; Kim, H.J.; Hernández, R.; Sabeh, N.C.; Raudales, R.E.; Brumfield, R.G.; Laury-Shaw, A.; Wilke, A.K.; et al. Controlled environment food production for urban agriculture. HortScience 2019, 54, 1448–1458. [Google Scholar] [CrossRef]
- Weidner, T.; Yang, A.; Hamm, M.W. Energy optimisation of plant factories and greenhouses for different climatic conditions. Energy Convers. Manag. 2021, 243, 114336. [Google Scholar] [CrossRef]
- Fussy, A.; Papenbrock, J. An overview of soil and soilless cultivation techniques—Chances, challenges and the neglected question of sustainability. Plants 2022, 11, 1153. [Google Scholar] [CrossRef]
- KD Market Insights. Global Market Analysis, Trends, Opportunity and Forecast, 2022–2032. 2022. Available online: https://www.kdmarketinsights.com/reports/controlled-environment-agriculture-market/2480 (accessed on 2 August 2022).
- Mao, Y.; Chai, X.; Zhong, M.; Zhang, L.; Zhao, P.; Kang, Y.; Guo, J.; Yang, X. Effects of nitrogen and magnesium nutrient on the plant growth, quality, photosynthetic characteristics, antioxidant metabolism, and endogenous hormone of Chinese kale (Brassica albograbra Bailey). Sci. Hortic. 2022, 303, 111243. [Google Scholar] [CrossRef]
- Zhu, Y.; Li, G.; Liu, H.; Sun, G.; Chen, R.; Song, S. Effects of partial replacement of nitrate with different nitrogen forms on the yield, quality and nitrate content of Chinese kale. Commun. Soil Sci. Plant Anal. 2018, 49, 1384–1393. [Google Scholar] [CrossRef]
- Martínez-Castillo, J.; Rodriguez-Mendoza MD, L.N.; Sandoval-Villa, M.; Luis Garcia-Cue, J. Yield and nutritional status of kale (Brassica oleracea) cv. dwarf blue curled scotch as a function of the electrical conductivity of the nutrient solution. Rev. Fitotec. Mex. 2022, 45, 193–202. [Google Scholar]
- Cardarelli, M.; Rouphael, Y.; Muntean, D.; Colla, G. Growth, quality index, and mineral composition of five ornamental cabbage cultivars grown under different nitrogen fertilization rates. HortScience 2015, 50, 688–693. [Google Scholar] [CrossRef]
- Ahn, T.I.; Park, J.E.; Jung, J.H.; Kim, S.M.; Yoo, G.; Kim, H.S.; Lee, J.Y. Nutrient Dosing Framework for an Emission-Free Urban Hydroponic Production. Front. Plant Sci. 2021, 12, 768717. [Google Scholar] [CrossRef]
- Lu, N.; Bernardo, E.L.; Tippayadarapanich, C.; Takagaki, M.; Kagawa, N.; Yamori, W. Growth and accumulation of secondary metabolites in perilla as affected by photosynthetic photon flux density and electrical conductivity of the nutrient solution. Front. Plant Sci. 2017, 8, 708. [Google Scholar] [CrossRef]
- Signore, A.; Serio, F.; Santamaria, P. A targeted management of the nutrient solution in a soilless tomato crop according to plant needs. Front. Plant Sci. 2016, 7, 391. [Google Scholar] [CrossRef]
- Yang, T.; Samarakoon, U.; Altland, J.; Ling, P. Photosynthesis, biomass production, nutritional quality, and flavor-related phytochemical properties of hydroponic-grown arugula (Eruca sativa Mill.) ‘standard’ under different electrical conductivities of nutrient solution. Agronomy 2021, 11, 1340. [Google Scholar] [CrossRef]
- Chaves, M.M.; Osorio, J.; Pereira, J.S. Water use efficiency and photosynthesis. In Water Use Efficiency in Plant Biology; CRC Press: Boca Raton, FL, USA, 2004. [Google Scholar]
- Rodolfi, M.; Barbanti, L.; Giordano, C.; Rinaldi, M.; Fabbri, A.; Pretti, L.; Casolari, R.; Beghé, D.; Petruccelli, R.; Ganino, T. The effect of different organic foliar fertilization on physiological and chemical characters in hop (Humulus lupulus L., cv Cascade) leaves and cones. Appl. Sci. 2021, 11, 6778. [Google Scholar] [CrossRef]
- Bradley, L.; Hosier, S. Guide to Symptoms of Plant Nutrient Deficiencies; College of Agriculture and Life Sciences, University of Arizona: Tucson, AZ, USA, 1999. [Google Scholar]
- Jones, J.B., Sr.; Wolf, B.; Mills, H.A. Microwave digestion using CEM microwave digestion system. In Plant Analysis Handbook; Micro-Macro Publishing: Athens, GA, USA, 1991. [Google Scholar]
- Gavlak, R.; Horneck, D.; Miller, R.O. Soil, Plant and Water Reference Methods for the Western Region, 3rd ed.; WCC-103 Publication: Fort Collins, CO, USA, 2005. [Google Scholar]
- AOAC (Association of Official Analytical Chemists). Protein (Crude) in Animal Feed. Combustion Method (Dumas Method). In Official Methods of Analysis of the Association of Official Analytical Chemists; VELP Scientifica: Usmate Velate, Italy, 1990. [Google Scholar]
- Lichtenthaler, H.K. Chlorophylls and carotenoids: Pigments of photosynthetic membranes. Methods Enzymol. 1987, 148, 350–383. [Google Scholar]
- Sukwattanasinit, T.; Burana-Osot, J.; Sotanaphun, U. Spectrophotometric method for quantitative determination of total anthocyanins and quality characteristics of roselle (Hibiscus sabdariffa). Planta Med. 2007, 73, 1517–1522. [Google Scholar] [CrossRef] [PubMed]
- Stratil, P.; Klejdus, B.; Kubáň, V. Determination of total content of phenolic compounds and their antioxidant activity in vegetables evaluation of spectrophotometric methods. J. Agric. Food Chem. 2006, 54, 607–616. [Google Scholar] [CrossRef] [PubMed]
- Kapur, A.; Hasković, A.; Čopra-Janićijević, A.; Klepo, L.; Topčagić, A.; Tahirović, I.; Sofić, E. Spectrophotometric analysis of total ascorbic acid content in various fruits and vegetables. Bull. Chem. Technol. Bosnia Herzeg. 2012, 38, 39–42. [Google Scholar]
- Mawlong, I.; Sujith Kumar, M.S.; Gurung, B.; Singh, K.H.; Singh, D. A simple spectrophotometric method for estimating total glucosinolates in mustard de-oiled cake. Int. J. Food Prop. 2017, 20, 3274–3281. [Google Scholar] [CrossRef]
- Björkman, O.; Demmig, B. Photon yield of O2 evolution and chlorophyll fluorescence characteristics at 77 K among vascular plants of diverse origins. Planta 1987, 170, 489–504. [Google Scholar] [CrossRef]
- Colla, G.; Kim, H.J.; Kyriacou, M.C.; Rouphael, Y. Nitrate in fruits and vegetables. Sci. Hortic. 2018, 237, 221–238. [Google Scholar] [CrossRef]
- EFSA. European Food Safety Authority Opinion of the Scientific Panel on Contaminants in Food Chain on a request from the European Commission to perform a scientific risk assessment on nitrate in vegetables. EFSA J. 2009, 69, 1–79. [Google Scholar]
- Feng, X.; An, Y.; Gao, J.; Wang, L. Photosynthetic responses of canola to exogenous application or endogenous overproduction of 5-aminolevulinic acid (ALA) under various nitrogen levels. Plants 2020, 9, 1419. [Google Scholar] [CrossRef]
- Hu, W.; Ren, T.; Meng, F.; Cong, R.; Li, X.; White, P.J.; Lu, J. Leaf photosynthetic capacity is regulated by the interaction of nitrogen and potassium through coordination of CO2 diffusion and carboxylation. Physiol. Plant. 2019, 167, 418–432. [Google Scholar] [CrossRef]
- Louvieaux, J.; Spanoghe, M.; Hermans, C. Root morphological traits of seedlings are predictors of seed yield and quality in winter oilseed rape hybrid cultivars. Front. Plant Sci. 2020, 11, 568009. [Google Scholar] [CrossRef]
- Ayaz, F.A.; Glew, R.H.; Millson, M.; Huang, H.S.; Chuang, L.T.; Sanz, C.; Hayırlıoglu-Ayaz, S. Nutrient contents of kale (Brassica oleraceae L. var. acephala DC.). Food Chem. 2006, 96, 572–579. [Google Scholar] [CrossRef]
- Mills, H.A.; Jones, J.R. Plant Analysis Handbook II. A Practical Sampling, Preparation Analysis and Interpretation Guide; Micro Macro International. Inc.: Athens, GA, USA, 1996. [Google Scholar]
- Hochmuth, G.; Hanlon, E. Plant Tissue Analysis and Interpretation for Vegetable Crops in Florida: HS964 EP081 Rev. 11 2022. EDIS 2004, 2022. [Google Scholar] [CrossRef]
- Ogunlela, V.B.; Kullmann, A.; Geisler, G. Leaf growth and chlorophyll content of oilseed rape (Brassica napus L.) as influenced by nitrogen supply. J. Agron. Crop Sci. 1989, 163, 73–89. [Google Scholar] [CrossRef]
- Kullmann, A.; Ogunlela, V.B.; Geisler, G. Concentrations and distribution of some mineral elements in oilseed rape (Brassica napus L.) plants in relation to nitrogen supply. J. Agron. Crop Sci. 1989, 163, 225–235. [Google Scholar] [CrossRef]
- Kopsell, D.A.; Sams, C.E.; Morrow, R.C. Interaction of light quality and fertility on biomass, shoot pigmentation and xanthophyll cycle flux in Chinese kale. J. Sci. Food Agric. 2017, 97, 911–917. [Google Scholar] [CrossRef]
- Shen, X.; Yang, L.; Han, P.; Gu, C.; Li, Y.; Liao, X.; Qin, L. Metabolic profiles reveal changes in the leaves and roots of rapeseed (Brassica napus L.) seedlings under nitrogen deficiency. Int. J. Mol. Sci. 2022, 23, 5784. [Google Scholar] [CrossRef]
- Abdel Mohsen, M.A.; Hassan, A.A.; El-Sewedy, S.M.; Aboul-Azm, T.; Magagnotti, C.; Fanelli, R.; Airoldi, L. Biomonitoring of N-nitroso compounds, nitrite and nitrate in the urine of Egyptian bladder cancer patients with or without Schistosoma haematobium infection. Int. J. Cancer 1999, 82, 789–794. [Google Scholar] [CrossRef]
- Mensinga, T.T.; Speijers, G.J.; Meulenbelt, J. Health implications of exposure to environmental nitrogenous compounds. Toxicol. Rev. 2003, 22, 41–51. [Google Scholar] [CrossRef]
- Parks, S.E.; Huett, D.O.; Campbell, L.C.; Spohr, L.J. Nitrate and nitrite in Australian leafy vegetables. Aust. J. Agric. Res. 2008, 59, 632–638. [Google Scholar] [CrossRef]
- European Union. Commission Regulation (EC) No 1258/2011 of 2 December 2011 amending Regulation (EC) No 1881/2006 as regards maximum levels for nitrates in foodstuffs setting. Off. J. Eur. Union 2011, 320, 15–17. [Google Scholar]
- Song, S.; Li, G.; Sun, G.; Liu, H.; Chen, R. Uptake kinetics of different nitrogen forms by Chinese kale. Commun. Soil Sci. Plant Anal. 2016, 47, 1372–1378. [Google Scholar] [CrossRef]
- Palmitessa, O.D.; Renna, M.; Crupi, P.; Lovece, A.; Corbo, F.; Santamaria, P. Yield and quality characteristics of Brassica microgreens as affected by the NH4: NO3 molar ratio and strength of the nutrient solution. Foods 2020, 9, 677. [Google Scholar] [CrossRef] [PubMed]
- Wang, Y.; Zhang, X.; Liu, H.; Sun, G.; Song, S.; Chen, R. High NH4+/NO3− Ratio Inhibits the Growth and Nitrogen Uptake of Chinese Kale at the Late Growth Stage by Ammonia Toxicity. Horticulturae 2021, 8, 8. [Google Scholar] [CrossRef]
- Renna, M.; Stellacci, A.M.; Corbo, F.; Santamaria, P. The use of a nutrient quality score is effective to assess the overall nutritional value of three brassica microgreens. Foods 2020, 9, 1226. [Google Scholar] [CrossRef]
- Burns, I.G. Studies of the relationship between the growth rate of young plants and their total-N concentration using nutrient interruption techniques: Theory and experiments. Ann. Bot. 1994, 74, 143–157. [Google Scholar] [CrossRef]
- Burns, I.G. A mechanistic theory for the relationship between growth rate and the concentration of nitrate-N or organic-N in young plants derived from nutrient interruption experiments. Ann. Bot. 1994, 74, 159–172. [Google Scholar] [CrossRef]
- Inthichack, P.; Nishimura, Y.; Fukumoto, Y. Effect of potassium sources and rates on plant growth, mineral absorption, and the incidence of tip burn in cabbage, celery, and lettuce. Hortic. Environ. Biotechnol. 2012, 53, 135–142. [Google Scholar] [CrossRef]
- van Rooyen, I.L.; Nicol, W. Inferential control of the phosphate concentration in hydroponic systems via measurement of the nutrient solution’s pH-buffering capacity. Sci. Hortic. 2022, 295, 110820. [Google Scholar] [CrossRef]











| Treatment | Pre-EC | Pre-pH | Post-EC | Post-pH |
|---|---|---|---|---|
| EC 1.2 | 1.09 ± 0.03 d | 6.46 ± 0.06 a | 1.19 ± 0.01 d | 5.83 ± 0.01 a |
| EC 1.5 | 1.38 ± 0.04 c | 6.46 ± 0.06 a | 1.50 ± 0.01 c | 5.82 ± 0.01 a |
| EC 1.8 | 1.68 ± 0.04 b | 6.34 ± 0.07 a | 1.79 ± 0.01 b | 5.83 ± 0.01 a |
| EC 2.1 | 1.94 ± 0.06 a | 6.41 ± 0.09 a | 2.10 ± 0.01 a | 5.85 ± 0.01 a |
| Parameter | Concentration (mg·L−1) |
|---|---|
| Total nitrogen (N) | 129.2 |
| P | 48.3 |
| K | 183.2 |
| S | 52.1 |
| Ca | 136.5 |
| Mg | 32.7 |
Disclaimer/Publisher’s Note: The statements, opinions and data contained in all publications are solely those of the individual author(s) and contributor(s) and not of MDPI and/or the editor(s). MDPI and/or the editor(s) disclaim responsibility for any injury to people or property resulting from any ideas, methods, instructions or products referred to in the content. |
© 2024 by the authors. Licensee MDPI, Basel, Switzerland. This article is an open access article distributed under the terms and conditions of the Creative Commons Attribution (CC BY) license (https://creativecommons.org/licenses/by/4.0/).
Share and Cite
Yang, T.; Samarakoon, U.; Altland, J.; Ling, P. Influence of Electrical Conductivity on Plant Growth, Nutritional Quality, and Phytochemical Properties of Kale (Brassica napus) and Collard (Brassica oleracea) Grown Using Hydroponics. Agronomy 2024, 14, 2704. https://doi.org/10.3390/agronomy14112704
Yang T, Samarakoon U, Altland J, Ling P. Influence of Electrical Conductivity on Plant Growth, Nutritional Quality, and Phytochemical Properties of Kale (Brassica napus) and Collard (Brassica oleracea) Grown Using Hydroponics. Agronomy. 2024; 14(11):2704. https://doi.org/10.3390/agronomy14112704
Chicago/Turabian StyleYang, Teng, Uttara Samarakoon, James Altland, and Peter Ling. 2024. "Influence of Electrical Conductivity on Plant Growth, Nutritional Quality, and Phytochemical Properties of Kale (Brassica napus) and Collard (Brassica oleracea) Grown Using Hydroponics" Agronomy 14, no. 11: 2704. https://doi.org/10.3390/agronomy14112704
APA StyleYang, T., Samarakoon, U., Altland, J., & Ling, P. (2024). Influence of Electrical Conductivity on Plant Growth, Nutritional Quality, and Phytochemical Properties of Kale (Brassica napus) and Collard (Brassica oleracea) Grown Using Hydroponics. Agronomy, 14(11), 2704. https://doi.org/10.3390/agronomy14112704

