Optimizing Nitrogen Input Increased Yield and Efficiency in Maize-Soybean Strip Intercropping System
Abstract
1. Introduction
2. Materials and Methods
2.1. Test Site and Materials
2.2. Experimental Design
2.3. Sampling and Measurement
2.3.1. Dry Matter and N Accumulation
2.3.2. Yield Calculation
2.3.3. Leaf Area Index (LAI)
2.3.4. Land Equivalent Ratio (LER)
2.3.5. Actual Yield Loss (AYL)
2.3.6. Nitrogen Use Efficiency (NUE)
2.3.7. Nitrogen Agronomic Efficiency (NAE)
2.3.8. Nitrogen Partial Factor Productivity (NPFP)
2.3.9. Economic Benefit
2.4. Statistical Analysis
3. Results
3.1. Yield and Path Analysis
3.2. Economic Benefit Analysis
3.3. Land Equivalent Ratio (LER) and Actual Yield Loss Index (AYL)
3.4. Leaf Area Index (LAI)
3.5. Dry Matter Accumulation and Distribution
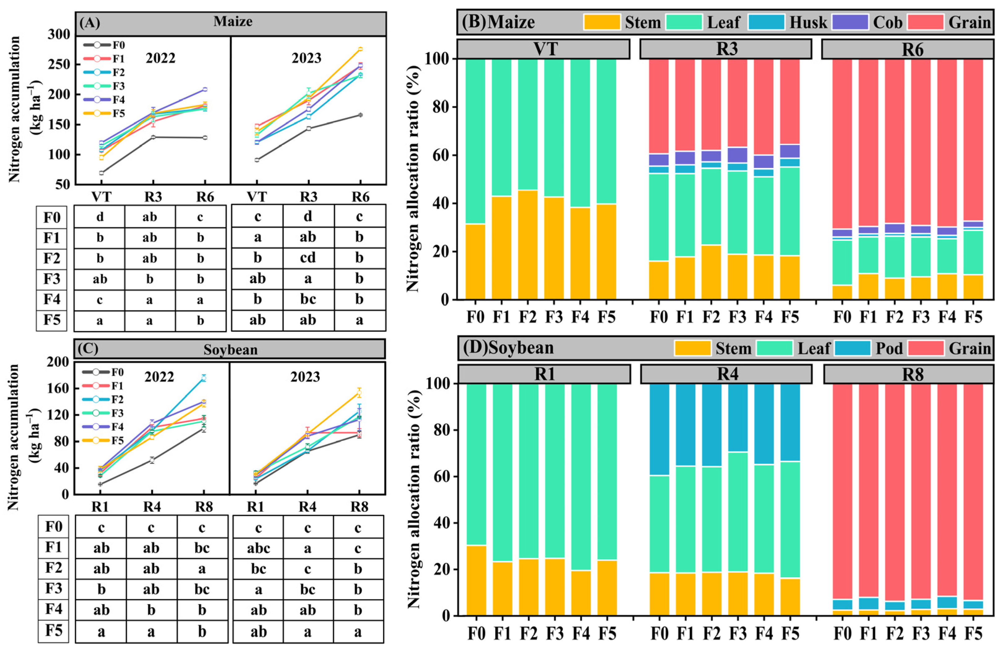
3.6. Nitrogen Accumulation and Distribution
3.7. Nitrogen Use Efficiency
4. Discussion
5. Conclusions
Author Contributions
Funding
Data Availability Statement
Acknowledgments
Conflicts of Interest
Appendix A
| Year | N Input (kg ha−1) | Maize | N Input (kg ha−1) | Soybean | ||||||
|---|---|---|---|---|---|---|---|---|---|---|
| EP (×104 plant ha−1) | GN (n) | TKW (g) | Yield kg ha−1 | EP (×104 plant ha−1) | GN (n) | HKW (g) | Yield kg ha−1 | |||
| 2022 | 0 | 6.722 | 441 b | 281.3 c | 8338.7 c | 0 | 14.250 | 63 c | 20.6 b | 1906.2 d |
| 210 | 6.722 | 519 a | 315.9 a | 11,016.2 b | 30 | 14.250 | 120 b | 23.4 a | 4146.5 c | |
| 255 | 6.722 | 545 a | 322.9 a | 11,828.4 a | 45 | 14.250 | 157 a | 22.2 ab | 5126.2 a | |
| 300 | 6.722 | 551 a | 300.4 b | 11,117.4 b | 60 | 14.250 | 147 a | 22.4 ab | 4853.6 b | |
| 2023 | 0 | 6.560 | 456 c | 280.4 c | 8369.3 c | 0 | 15.132 | 61 c | 21.6 b | 2062.2 c |
| 210 | 6.560 | 529 b | 327.6 a | 11,365.0 b | 30 | 15.132 | 122 b | 23.5 a | 4491.1 b | |
| 255 | 6.560 | 574 a | 336.1 a | 12,659.1 a | 45 | 15.132 | 130 ab | 23.9 a | 4862.6 a | |
| 300 | 6.560 | 559 ab | 297.8 b | 10,914.9 b | 60 | 15.132 | 139 a | 22.5 ab | 4891.3 a | |
References
- Tilman, D.; Balzer, C.; Hill, J.; Befort, B.L. Global Food Demand and the Sustainable Intensification of Agriculture. Proc. Natl. Acad. Sci. USA 2011, 108, 20260–20264. [Google Scholar] [CrossRef] [PubMed]
- The Future of Food and Agriculture—Alternative Pathways to 2050. Available online: https://www.fao.org/global-perspectives-studies/resources/detail/en/c/1157074/ (accessed on 25 March 2024).
- FAO (Food and Agriculture Organization). Crops and Livestock Products. FAOSTAT. 2024. Available online: http://www.fao.org/faostat/en/#data/QCL (accessed on 15 March 2024).
- Luo, N.; Meng, Q.; Feng, P.; Qu, Z.; Yu, Y.; Liu, D.L.; Müller, C.; Wang, P. China Can Be Self-Sufficient in Maize Production by 2030 with Optimal Crop Management. Nat. Commun. 2023, 14, 2637. [Google Scholar] [CrossRef] [PubMed]
- Sun, J.; Mooney, H.; Wu, W.; Tang, H.; Tong, Y.; Xu, Z.; Huang, B.; Cheng, Y.; Yang, X.; Wei, D.; et al. Importing Food Damages Domestic Environment: Evidence from Global Soybean Trade. Proc. Natl. Acad. Sci. USA 2018, 115, 5415–5419. [Google Scholar] [CrossRef]
- Liu, J.; Yang, W. Soybean Maize Strip Intercropping: A Solution towards Food Security in China. J. Integr. Agric. 2024, 23, 2503–2506. [Google Scholar] [CrossRef]
- Liu, X.; Rahman, T.; Song, C.; Yang, F.; Su, B.; Cui, L.; Bu, W.; Yang, W. Relationships among Light Distribution, Radiation Use Efficiency and Land Equivalent Ratio in Maize-Soybean Strip Intercropping. Field Crops Res. 2018, 224, 91–101. [Google Scholar] [CrossRef]
- Chen, P.; Song, C.; Liu, X.; Zhou, L.; Yang, H.; Zhang, X.; Zhou, Y.; Du, Q.; Pang, T.; Fu, Z.; et al. Yield Advantage and Nitrogen Fate in an Additive Maize-Soybean Relay Intercropping System. Sci. Total Environ. 2019, 657, 987–999. [Google Scholar] [CrossRef]
- Blessing, D.J.; Gu, Y.; Cao, M.; Cui, Y.; Wang, X.; Asante-Badu, B. Overview of the Advantages and Limitations of Maize-Soybean Intercropping in Sustainable Agriculture and Future Prospects: A Review. Chil. J. Agric. Res. 2022, 82, 177–188. [Google Scholar] [CrossRef]
- Shen, L.; Wang, X.; Liu, T.; Wei, W.; Zhang, S.; Keyhani, A.B.; Li, L.; Zhang, W. Border Row Effects on the Distribution of Root and Soil Resources in Maize–Soybean Strip Intercropping Systems. Soil Tillage Res. 2023, 233, 105812. [Google Scholar]
- Fu, Z.; Chen, P.; Zhang, X.; Du, Q.; Zheng, B.; Yang, H.; Luo, K.; Lin, P.; Li, Y.; Pu, T.; et al. Maize-Legume Intercropping Achieves Yield Advantages by Improving Leaf Functions and Dry Matter Partition. Bmc Plant Biol. 2023, 23, 438. [Google Scholar] [CrossRef]
- Feng, J.; Li, F.; Deng, A.; Feng, X.; Fang, F.; Zhang, W. Integrated Assessment of the Impact of Enhanced-Efficiency Nitrogen Fertilizer on N2O Emission and Crop Yield. Agric. Ecosyst. Environ. 2016, 231, 218–228. [Google Scholar] [CrossRef]
- Yong, T.; Chen, P.; Dong, Q.; Du, Q.; Yang, F.; Wang, X.; Liu, W.; Yang, W. Optimized Nitrogen Application Methods to Improve Nitrogen Use Efficiency and Nodule Nitrogen Fixation in a Maize-Soybean Relay Intercropping System. J. Integr. Agric. 2018, 17, 664–676. [Google Scholar] [CrossRef]
- Liu, X.; Meng, L.; Yin, T.; Wang, X.; Zhang, S.; Cheng, Z.; Ogundeji, A.O.; Li, S. Maize/Soybean Intercrop over Time Has Higher Yield Stability Relative to Matched Monoculture under Different Nitrogen-Application Rates. Field Crop Res. 2023, 301, 109015. [Google Scholar] [CrossRef]
- Li, C.; Stomph, T.-J.; Makowski, D.; Li, H.; Zhang, C.; Zhang, F.; van der Werf, W. The Productive Performance of Intercropping. Proc. Natl. Acad. Sci. USA 2023, 120, e2201886120. [Google Scholar] [CrossRef]
- Xu, Z.; Li, C.; Zhang, C.; Yu, Y.; van der Werf, W.; Zhang, F. Intercropping Maize and Soybean Increases Efficiency of Land and Fertilizer Nitrogen Use; A Meta-Analysis. Field Crops Res. 2020, 246, 107661. [Google Scholar] [CrossRef]
- Cernay, C.; Makowski, D.; Pelzer, E. Preceding Cultivation of Grain Legumes Increases Cereal Yields under Low Nitrogen Input Conditions. Environ. Chem. Lett. 2018, 16, 631–636. [Google Scholar] [CrossRef]
- Chen, P.; Du, Q.; Liu, X.; Zhou, L.; Hussain, S.; Lei, L.; Song, C.; Wang, X.; Liu, W.; Yang, F.; et al. Effects of Reduced Nitrogen Inputs on Crop Yield and Nitrogen Use Efficiency in a Long-Term Maize-Soybean Relay Strip Intercropping System. PLoS ONE 2017, 12, e0184503. [Google Scholar] [CrossRef]
- Wang, W.; Zhao, J.-H.; Li, M.-Y.; Zhang, W.; Rehman, M.M.U.; Wang, B.-Z.; Ullah, F.; Cheng, Z.-G.; Zhu, L.; Zhang, J.-L.; et al. Yield Loss of Inferior Crop Species and Its Physiological Mechanism in a Semiarid Cereal-Legume Intercropping System. Eur. J. Agron. 2024, 152, 127032. [Google Scholar] [CrossRef]
- Zhang, R.; Meng, L.; Li, Y.; Wang, X.; Ogundeji, A.O.; Li, X.; Sang, P.; Mu, Y.; Wu, H.; Li, S. Yield and Nutrient Uptake Dissected through Complementarity and Selection Effects in the Maize/Soybean Intercropping. Food Energy Secur. 2021, 10, 379–393. [Google Scholar] [CrossRef]
- Yang, S.; Li, H.; Xu, Y.; Wang, T.; Hu, Y.; Zhao, Y.; Qian, X.; Li, Z.; Sui, P.; Gao, W.; et al. The Yield Performance of Maize-Soybean Intercropping in the North China Plain: From 172 Sites Empirical Investigation. Field Crops Res. 2024, 315, 109467. [Google Scholar] [CrossRef]
- Koskey, G.; Leoni, F.; Carlesi, S.; Avio, L.; Bàrberi, P. Exploiting Plant Functional Diversity in Durum Wheat–Lentil Relay Intercropping to Stabilize Crop Yields under Contrasting Climatic Conditions. Agronomy 2022, 12, 210. [Google Scholar] [CrossRef]
- Nelson, D.W.; Sommers, L.E. Total Carbon, Organic Carbon, and Organic Matter. In Methods of Soil Analysis, Part 3: Chemical Methods; Sparks, D.L., Page, A.L., Helmke, P.A., Loeppert, R.H., Eds.; John Wiley & Sons, Ltd.: Hoboken, NJ, USA, 1996; Volume 3, pp. 961–1010. ISBN 9780891188667. [Google Scholar]
- Bremner, J.M. Determination of nitrogen in soil by the Kjeldahl method. J. Agric. Sci. 1960, 55, 11–33. [Google Scholar]
- Alves, B.J.R.; Boddey, R.M.; Urquiaga, S.S. A Rapid and Sensitive Flow Injection Technique for the Analysis of Ammonium in Soil Extracts. Commun. Soil Sci. Plant Anal. 1993, 24, 277–284. [Google Scholar] [CrossRef]
- Olsen, S. Estimation of Available Phosphorus in Soils by Extraction with Sodium Bicarbonate; United States Department of Agriculture: Washington, DC, USA, 1954; Volume 939.
- Sprunger, C.D.; Martin, T.K. Chapter Three—An Integrated Approach to Assessing Soil Biological Health. In Advances in Agronomy; Sparks, D.L., Ed.; Academic Press: Cambridge, MA, USA, 2023; Volume 182, pp. 131–168. [Google Scholar]
- Maddonni, G.A.; Otegui, M.E. Leaf Area, Light Interception, and Crop Development in Maize. Field Crops Res. 1996, 48, 81–87. [Google Scholar] [CrossRef]
- Li, C.; Hoffland, E.; Kuyper, T.W.; Yu, Y.; Zhang, C.; Li, H.; Zhang, F.; Van Der Werf, W. Syndromes of Production in Intercropping Impact Yield Gains. Nat. Plants 2020, 6, 653–660. [Google Scholar] [CrossRef]
- Xia, H.; Li, X.; Qiao, Y.; Xue, Y.; Yan, W.; Xue, Y.; Cui, Z.; Silva, J.V.; van der Werf, W. Diversification of Wheat-Maize Double Cropping with Legume Intercrops Improves Nitrogen-Use Efficiency: Evidence at Crop and Cropping System Levels. Field Crops Res. 2024, 307, 109262. [Google Scholar]
- Liang, J.; He, Z.; Shi, W. Cotton/Mung Bean Intercropping Improves Crop Productivity, Water Use Efficiency, Nitrogen Uptake, and Economic Benefits in the Arid Area of Northwest China. Agric. Water Manag. 2020, 240, 106277. [Google Scholar]
- Li, G.; Fu, P.; Cheng, G.; Lu, W.; Lu, D. Delaying Application Time of Slow-Release Fertilizer Increases Soil Rhizosphere Nitrogen Content, Root Activity, and Grain Yield of Spring Maize. Crop J. 2022, 10, 1798–1806. [Google Scholar] [CrossRef]
- National Food and Stratedic Reserves Administration. Grain Price. 2023. Available online: http://www.lswz.gov.cn/html/zmhd/lysj/index.shtml (accessed on 27 March 2024).
- Nasar, J.; Zhao, C.J.; Khan, R.; Gul, H.; Gitari, H.; Shao, Z.; Abbas, G.; Haider, I.; Iqbal, Z.; Ahmed, W.; et al. Maize-Soybean Intercropping at Optimal N Fertilization Increases the N Uptake, N Yield and N Use Efficiency of Maize Crop by Regulating the N Assimilatory Enzymes. Front. Plant Sci. 2023, 13, 1077948. [Google Scholar] [CrossRef]
- Du, Q.; Zhou, L.; Chen, P.; Liu, X.; Song, C.; Yang, F.; Wang, X.; Liu, W.; Sun, X.; Du, J.; et al. Relay-Intercropping Soybean with Maize Maintains Soil Fertility and Increases Nitrogen Recovery Efficiency by Reducing Nitrogen Input. Crop J. 2020, 8, 140–152. [Google Scholar] [CrossRef]
- Simon-Miquel, G.; Reckling, M.; Lampurlanés, J.; Plaza-Bonilla, D. A Win-Win Situation—Increasing Protein Production and Reducing Synthetic N Fertilizer Use by Integrating Soybean into Irrigated Mediterranean Cropping Systems. Eur. J. Agron. 2023, 146, 126817. [Google Scholar] [CrossRef]
- Zhang, T.; Liu, Y.; Ge, S.; Peng, P.; Tang, H.; Wang, J. Sugarcane/Soybean Intercropping with Reduced Nitrogen Addition Enhances Residue-Derived Labile Soil Organic Carbon and Microbial Network Complexity in the Soil during Straw Decomposition. J. Integr. Agric. 2024; in press. [Google Scholar] [CrossRef]
- Yang, W.; Miao, J.; Wang, X.; Xu, J.; Lu, M.; Li, Z. Corn-Soybean Intercropping and Nitrogen Rates Affected Crop Nitrogen and Carbon Uptake and C:N Ratio in Upland Red Soil. J. Plant Nutr. 2018, 41, 1890–1902. [Google Scholar] [CrossRef]
- Huang, C.; Liu, Q.; Li, X.; Zhang, C. Effect of Intercropping on Maize Grain Yield and Yield Components. J. Integr. Agric. 2019, 18, 1690–1700. [Google Scholar] [CrossRef]
- Assefa, Y.; Carter, P.; Hinds, M.; Bhalla, G.; Schon, R.; Jeschke, M.; Paszkiewicz, S.; Smith, S.; Ciampitti, I.A. Analysis of Long Term Study Indicates Both Agronomic Optimal Plant Density and Increase Maize Yield per Plant Contributed to Yield Gain. Sci. Rep. 2018, 8, 4937. [Google Scholar] [CrossRef]
- Jia, Q.; Sun, L.; Mou, H.; Ali, S.; Liu, D.; Zhang, Y.; Zhang, P.; Ren, X.; Jia, Z. Effects of Planting Patterns and Sowing Densities on Grain-Filling, Radiation Use Efficiency and Yield of Maize (Zea Mays L.) in Semi-Arid Regions. Agric. Water Manag. 2018, 201, 287–298. [Google Scholar] [CrossRef]
- Fan, Y.; Wang, Z.; Liao, D.; Raza, M.A.; Wang, B.; Zhang, J.; Chen, J.; Feng, L.; Wu, X.; Liu, C.; et al. Uptake and Utilization of Nitrogen, Phosphorus and Potassium as Related to Yield Advantage in Maize-Soybean Intercropping under Different Row Configurations. Sci. Rep. 2020, 10, 9504. [Google Scholar]
- Feng, L.; Yang, W.; Zhou, Q.; Tang, H.; Ma, Q.; Huang, G.; Wang, S. Effects of Interspecific Competition on Crop Yield and Nitrogen Utilisation in Maize-Soybean Intercropping System. Plant Soil Environ. 2021, 67, 460–467. [Google Scholar] [CrossRef]
- Mohammadkhani, F.; Pouryousef, M.; Yousefi, A.R. Growth and Production Response in Saffron-Chickpea Intercropping under Different Irrigation Regimes. Ind. Crop. Prod. 2023, 193, 116256. [Google Scholar] [CrossRef]
- Yang, F.; Liao, D.; Fan, Y.; Gao, R.; Wu, X.; Rahman, T.; Yong, T.; Liu, W.; Liu, J.; Du, J.; et al. Effect of Narrow-Row Planting Patterns on Crop Competitive and Economic Advantage in Maize–Soybean Relay Strip Intercropping System. Plant Prod. Sci. 2017, 20, 1–11. [Google Scholar] [CrossRef]
- Wei, W.; Liu, T.; Shen, L.; Wang, X.; Zhang, S.; Zhang, W. Effect of Maize (Zeal Mays) and Soybean (Glycine Max) Intercropping on Yield and Root Development in Xinjiang, China. Agriculture 2022, 12, 996. [Google Scholar] [CrossRef]
- Duchene, O.; Vian, J.-F.; Celette, F. Intercropping with Legume for Agroecological Cropping Systems: Complementarity and Facilitation Processes and the Importance of Soil Microorganisms. A Review. Agric. Ecosyst. Environ. 2017, 240, 148–161. [Google Scholar] [CrossRef]
- Chai, Q.; Nemecek, T.; Liang, C.; Zhao, C.; Yu, A.; Coulter, J.A.; Wang, Y.; Hu, F.; Wang, L.; Siddique, K.H.M.; et al. Integrated Farming with Intercropping Increases Food Production While Reducing Environmental Footprint. Proc. Natl. Acad. Sci. USA 2021, 118, e2106382118. [Google Scholar] [CrossRef] [PubMed]
- Yang, S.; Zhao, Y.; Xu, Y.; Cui, J.; Li, T.; Hu, Y.; Qian, X.; Li, Z.; Sui, P.; Chen, Y. Yield Performance Response to Field Configuration of Maize and Soybean Intercropping in China: A Meta-Analysis. Field Crops Res. 2024, 306, 109235. [Google Scholar] [CrossRef]
- Sun, X.; Yang, Z.; Su, P.; Wei, K.; Wang, Z.; Yang, C.; Wang, C.; Qin, M.; Xiao, L.; Yang, W.; et al. Non-Destructive Monitoring of Maize LAI by Fusing UAV Spectral and Textural Features. Front. Plant Sci. 2023, 14, 1158837. [Google Scholar] [CrossRef]
- Tan, Y.; Hu, F.; Chai, Q.; Li, G.; Zhao, C.; Yu, A.; Fan, H.; Fan, Z.; Yin, W. Optimizing Water Use between Intercropped Pea and Maize through Strip Row Ratio Expansion and N Fertilizer Reduction in Arid Areas. Field Crops Res. 2021, 260, 108001. [Google Scholar] [CrossRef]
- Li, Y.; Chen, P.; Fu, Z.; Luo, K.; Lin, P.; Gao, C.; Liu, S.; Pu, T.; Yong, T.; Yang, W. Maize–Soybean Relay Cropping Increases Soybean Yield Synergistically by Extending the Post-Anthesis Leaf Stay-Green Period and Accelerating Grain Filling. Crop J. 2023, 11, 1921–1930. [Google Scholar]
- Wu, Y.; Gong, W.; Wang, Y.; Yong, T.; Yang, F.; Liu, W.; Wu, X.; Du, J.; Shu, K.; Liu, J.; et al. Leaf Area and Photosynthesis of Newly Emerged Trifoliolate Leaves Are Regulated by Mature Leaves in Soybean. J. Plant Res. 2018, 131, 671–680. [Google Scholar] [CrossRef]
- Raza, A.; Asghar, M.A.; Ahmad, B.; Bin, C.; Iftikhar Hussain, M.; Li, W.; Iqbal, T.; Yaseen, M.; Shafiq, I.; Yi, Z.; et al. Agro-Techniques for Lodging Stress Management in Maize-Soybean Intercropping System—A Review. Plants 2020, 9, 1592. [Google Scholar] [CrossRef] [PubMed]
- Spiertz, J.H.J. Nitrogen, Sustainable Agriculture and Food Security. A Review. Agron. Sustain. Dev. 2010, 30, 43–55. [Google Scholar]
- Gitari, H.I.; Karanja, N.N.; Gachene, C.K.K.; Kamau, S.; Sharma, K.; Schulte-Geldermann, E. Nitrogen and Phosphorous Uptake by Potato (Solanum tuberosum L.) and Their Use Efficiency under Potato-Legume Intercropping Systems. Field Crops Res. 2018, 222, 78–84. [Google Scholar] [CrossRef]
- Shao, Z.; Wang, X.; Gao, Q.; Zhang, H.; Yu, H.; Wang, Y.; Zhang, J.; Nasar, J.; Gao, Y. Root Contact between Maize and Alfalfa Facilitates Nitrogen Transfer and Uptake Using Techniques of Foliar 15N-Labeling. Agronomy 2020, 10, 360. [Google Scholar] [CrossRef]
- Li, Q.; Kong, F.; Wu, Y.; Feng, D.; Jichao, Y. Increasing Nitrogen Accumulation and Reducing Nitrogen Loss with N-Efficient Maize Cultivars. Plant Prod. Sci. 2020, 23, 260–269. [Google Scholar] [CrossRef]







| Year (Y) | Fertilizer (F) | Maize Yield Components | Yieldm kg ha−1 | Soybean Yield Components | Yields kg ha−1 | Total Yield kg ha−1 | ||||
|---|---|---|---|---|---|---|---|---|---|---|
| EP (×104 plant) | GN (n) | TKW (g) | EP (×104 plant) | GN (n) | HKW (g) | |||||
| 2022 | F0 | 6.534 | 448.0 d | 238.1 d | 5900.8 c | 7.001 | 94.3 c | 20.1 c | 1236.0 | 7136.8 d |
| F1 | 474.3 c | 322.0 b | 8484.4 b | 129.3 b | 20.0 c | 1677.0 | 10,161.3 c | |||
| F2 | 533.6 a | 296.1 c | 8775.8 ab | 159.7 a | 23.8 a | 2472.7 | 11,248.5 a | |||
| F3 | 509.1 ab | 331.6 a | 9374.3 a | 100.3 c | 22.5 b | 1471.3 | 10,845.6 b | |||
| F4 | 496.9 b | 323.9 b | 8938.2 ab | 132.7 b | 24.3 a | 2095.4 | 11,033.6 b | |||
| F5 | 512.5 ab | 327.6 ab | 9323.8 a | 143.0 ab | 23.8 a | 2217.7 | 11,541.5 a | |||
| 2023 | F0 | 6.423 | 447.8 c | 313.9 b | 7217.9 c | 9.462 | 80.3 c | 19.1 b | 1353.4 | 8571.3 c |
| F1 | 558.4 ab | 325.9 ab | 9942.1 b | 86.7 c | 19.5 b | 1487.9 | 11,430.0 b | |||
| F2 | 561.6 a | 327.2 ab | 10,031.9 ab | 118.3 a | 22.6 a | 2356.6 | 12,388.4 a | |||
| F3 | 577.8 a | 332.1 a | 10,478.7 a | 94.0 bc | 23.1 a | 1900.4 | 12,379.2 a | |||
| F4 | 543.5 b | 330.8 a | 9813.8 b | 102.7 b | 19.1 b | 1728.5 | 11,542.2 b | |||
| F5 | 574.5 a | 325.0 ab | 10,194.1 ab | 113.3 ab | 22.9 a | 2290.6 | 12,484.7 a | |||
| ANOVA (F-value) | ||||||||||
| Y | - | 14.4 ** | 166.5 ** | 31.4 ** | - | 21.0 ** | 21.3 ** | 0.1 | 24.8 ** | |
| F | - | 6.0 * | 259.7 ** | 25.1 ** | - | 7.7 ** | 22.5 ** | 15.1 ** | 29.2 ** | |
| Y × F | - | 1.0 | 57.5 * | 0.2 | - | 1.1 | 7.9 ** | 1.7 | 0.4 | |
| Year (Y) | Treatment (F) | Productm | Products | Gross Product | Net Return (NR) |
|---|---|---|---|---|---|
| 2022 | F0 | 16,522.2 c | 7168.6 c | 23,690.8 c | 6260.8 c |
| F1 | 23,756.2 b | 9726.4 b | 33,482.6 b | 13,202.6 b | |
| F2 | 24,572.3 ab | 14,341.4 a | 38,913.7 a | 18,528.7 a | |
| F3 | 26,248.1 a | 8533.7 b | 34,781.7 ab | 14,291.7 b | |
| F4 | 25,026.9 ab | 12,153.2 a | 37,180.1 a | 17,080.1 a | |
| F5 | 26,106.7 a | 12,862.6 a | 38,969.3 a | 18,299.3 a | |
| 2023 | F0 | 18,766.4 b | 6631.8 c | 25,398.2 c | 7968.2 c |
| F1 | 25,849.5 a | 7290.6 c | 33,140.1 b | 12,860.1 b | |
| F2 | 26,082.9 a | 11,547.1 a | 37,630.0 a | 17,245.0 a | |
| F3 | 27,244.7 a | 9312.2 b | 36,556.8 a | 16,066.8 a | |
| F4 | 25,515.8 a | 8469.4 bc | 33,985.2 b | 13,885.2 b | |
| F5 | 26,504.8 a | 11,223.9 a | 37,728.6 a | 17,058.6 a | |
| ANOVA (F-value) | |||||
| Y | 5.8 * | 12.2 * | 0.2 * | 0.3 * | |
| F | 26.2 ** | 14.3 ** | 27.3 ** | 28.2 ** | |
| Y × F | 0.4 | 1.8 | 0.9 | 0.9 | |
| Year (Y) | Treatment | NUE (%) | NAE (kg/kg) | NPFP (kg/kg) | ||
|---|---|---|---|---|---|---|
| Maize | Soybean | Maize | Soybean | |||
| 2022 | F0 | —— | —— | —— | —— | —— |
| F1 | 23.9 c | 11.9 a | 16.3 c | 39.1 bc | 63.4 a | |
| F2 | 41.5 a | 13.3 a | 30.5 a | 40.5 bc | 61.1 a | |
| F3 | 18.6 bc | 16.0 a | 4.3 d | 43.2 b | 27.2 c | |
| F4 | 36.3 ab | 17.0 a | 21.2 b | 50.1 a | 51.7 b | |
| F5 | 35.0 ab | 13.4 a | 24.2 b | 36.6 c | 54.8 b | |
| 2023 | F0 | —— | —— | —— | —— | —— |
| F1 | 29.7 b | 12.6 a | 5.0 b | 45.9 bc | 55.1 a | |
| F2 | 34.2 b | 13.0 a | 24.8 a | 46.3 bc | 58.2 a | |
| F3 | 29.5 b | 15.0 a | 10.1 b | 48.3 ab | 35.2 c | |
| F4 | 41.4 ab | 14.5 a | 9.3 b | 55.0 a | 42.7 b | |
| F5 | 50.2 a | 11.7 a | 23.1 a | 40.0 c | 56.6 a | |
| ANOVA (F-value) | ||||||
| Fertilization (F) | Y | 7.0 * | 1.3 | 2.5 | 22.2 ** | 0.3 |
| F | 10.5 ** | 1.4 | 5.4 * | 17.3 ** | 11.2 ** | |
| Y × F | 2.9 | 0.2 | 1.2 | 0.2 | 0.9 | |
Disclaimer/Publisher’s Note: The statements, opinions and data contained in all publications are solely those of the individual author(s) and contributor(s) and not of MDPI and/or the editor(s). MDPI and/or the editor(s) disclaim responsibility for any injury to people or property resulting from any ideas, methods, instructions or products referred to in the content. |
© 2024 by the authors. Licensee MDPI, Basel, Switzerland. This article is an open access article distributed under the terms and conditions of the Creative Commons Attribution (CC BY) license (https://creativecommons.org/licenses/by/4.0/).
Share and Cite
Liang, Y.; Liu, Q.; Zeng, J.; Xiong, F.; Guo, J.; Li, G.; Lu, D. Optimizing Nitrogen Input Increased Yield and Efficiency in Maize-Soybean Strip Intercropping System. Agronomy 2024, 14, 2472. https://doi.org/10.3390/agronomy14112472
Liang Y, Liu Q, Zeng J, Xiong F, Guo J, Li G, Lu D. Optimizing Nitrogen Input Increased Yield and Efficiency in Maize-Soybean Strip Intercropping System. Agronomy. 2024; 14(11):2472. https://doi.org/10.3390/agronomy14112472
Chicago/Turabian StyleLiang, Yuwen, Qiannan Liu, Jinghan Zeng, Fei Xiong, Jian Guo, Guanghao Li, and Dalei Lu. 2024. "Optimizing Nitrogen Input Increased Yield and Efficiency in Maize-Soybean Strip Intercropping System" Agronomy 14, no. 11: 2472. https://doi.org/10.3390/agronomy14112472
APA StyleLiang, Y., Liu, Q., Zeng, J., Xiong, F., Guo, J., Li, G., & Lu, D. (2024). Optimizing Nitrogen Input Increased Yield and Efficiency in Maize-Soybean Strip Intercropping System. Agronomy, 14(11), 2472. https://doi.org/10.3390/agronomy14112472

