Mulching Improves the Soil Hydrothermal Environment, Soil Aggregate Content, and Potato Yield in Dry Farmland
Abstract
1. Introduction
2. Materials and Methods
2.1. Survey of the Test Area
2.2. Experimental Design and Field Management
2.3. Determination Items and Methods
2.3.1. Soil Water Content
2.3.2. Soil Temperature
2.3.3. Soil Aggregates
2.3.4. Tuber Yield
2.3.5. Water Use Efficiency
2.4. Statistical Analysis
3. Results
3.1. Soil Moisture
3.1.1. Soil Moisture During the Whole Growth Period
3.1.2. Soil Moisture at Different Growth Stages
3.2. Soil Temperature
3.2.1. Soil Temperature at 0–25 cm Depth During Whole Growth Period
3.2.2. Soil Temperature at 0–25 cm Depth at Different Growth Stages
3.3. Soil Aggregate
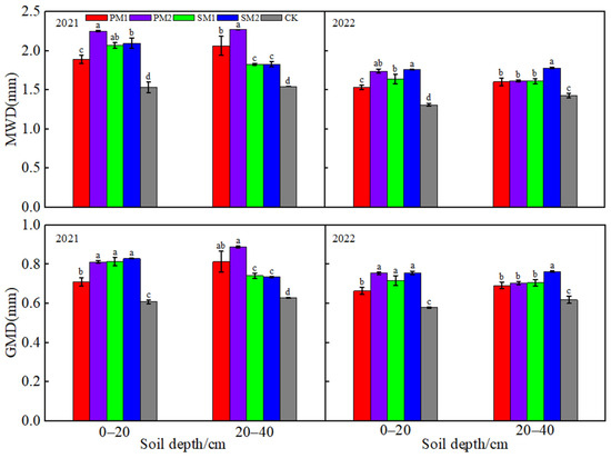
3.3.1. Soil Aggregate Mass Distribution
3.3.2. Soil Aggregate Mass Stability
3.4. Yield and Water Use Efficiency
3.5. Correlation of Soil Hydrothermal Environment and Soil Aggregates with Tuber Yield and Yield Components Using Different Mulching Materials
4. Discussion
4.1. Effects of Different Mulching Materials on the Soil Hydrothermal Environment
4.2. Effects of Different Mulching Materials on Soil Aggregate Distribution and Stability
4.3. Effects of Different Mulching Materials on Tuber Yield and Water Use Efficiency
5. Conclusions
Author Contributions
Funding
Data Availability Statement
Conflicts of Interest
References
- Ma, J.; Chang, L.; Li, Y.; Lan, X.; Ji, W.; Zhang, J.; Han, F.; Cheng, H.; Chai, Y.; Chai, S. Straw strip mulch improves soil moisture similar to plastic film mulch but with a higher net income. Agric. Ecosyst. Environ. 2024, 362, 108855. [Google Scholar] [CrossRef]
- Li, N.; Qu, J.; Yang, J. Microplastics distribution and microbial community characteristics of farmland soil under different mulch methods. J. Hazard. Mater. 2023, 445, 130408. [Google Scholar] [CrossRef]
- Chen, Y.; Chai, S.; Chen, H.; Chai, Y.; Yang, C.; Tan, K.; Chang, L. Effects of straw return combined with autumn mulching on water consumption characteristics and yield of winter wheat in drylands. Acta Agron. Sin. 2019, 45, 256–266. [Google Scholar] [CrossRef]
- Dong, Q.; Dang, T.; Guo, S.; Hao, M. Effects of mulching measures on soil moisture and N leaching potential in a spring maize planting system in the southern Loess Plateau. Agric. Water Manag. 2019, 213, 803–808. [Google Scholar] [CrossRef]
- Huang, Y.; Qin, R.; Wei, H.; Chai, N.; Yang, Y.; Wan, P.; Li, Y.; Zhao, W.; Lawawirojwong, S.; Suepa, T. Plastic film mulching application improves potato yields, reduces ammonia emissions, but boosts the greenhouse gas emissions in China. J. Environ. Manag. 2024, 353, 120241. [Google Scholar] [CrossRef]
- Menon, M.; Mawodza, T.; Rabbani, A.; Blaud, A.; Lair, G.; Babaei, M.; Kercheva, M.; Rousseva, S.; Banwart, S. Pore system characteristics of soil aggregates and their relevance to aggregate stability. Geoderma 2020, 366, 114259. [Google Scholar] [CrossRef]
- Zhang, S.; Wang, H.; Sun, X.; Fan, J.; Zhang, F.; Zheng, J.; Li, Y. Effects of farming practices on yield and crop water productivity of wheat, maize and potato in China: A meta-analysis. Agric. Water Manag. 2021, 243, 106444. [Google Scholar] [CrossRef]
- Fu, X.; Wang, J.; Zhao, D. Effect of mulching practices on organic carbon in soil aggregates of dry-crop wheat fields. Agric. Res. Arid. Areas. 2016, 34, 163–169+183. [Google Scholar]
- Rasa, K.; Turunen, M.; Miettinen, A.; Khr, T.; Uusitalo, R.; Mikkola, J.; Hyvluoma, J. A large one-time addition of organic soil amendments increased soil macroporosity but did not affect intra-aggregate porosity of a clay soil. Soil Tillage Res. 2024, 242, 106139. [Google Scholar] [CrossRef]
- Totsche, K.; Amelung, W.; Gerzabek, M.; Guggenberger, G.; Klumpp, E.; Knief, C.; Lehndorff, E.; Mikutta, R.; Peth, S.; Prechtel, A.; et al. Microaggregates in soils. J. Plant Nutr. Soil Sci. 2018, 181, 104–136. [Google Scholar]
- Zhang, X.; Shen, S.; Xue, S.; Hu, Y.; Wang, X. Long-term tillage and cropping systems affect soil organic carbon components and mineralization in aggregates in semiarid regions. Soil Tillage Res. 2023, 231, 105742. [Google Scholar] [CrossRef]
- Wu, J.; Cai, L.; Zhang, R.; Qi, P.; Zhang, J.; Steohen, Y. Effects of different tillage practices on the stability of water-stable aggregates in dryland agricultural soils. Chin. J. Eco-Agric. 2018, 26, 329–337. [Google Scholar]
- Yang, J.; Zhou, Y.; Ye, X.; Liu, E.; Sun, S.; Ren, X.; Jia, Z.; Wei, T.; Zhang, P. Continuous ridge-furrow film mulching enhances maize root growth and crop yield by improving soil aggregates characteristics in a semiarid area of China: An eight-year field experiment. Plant Soil 2023, 499, 173–191. [Google Scholar] [CrossRef]
- Cai, S.; Sun, L.; Wang, W.; Li, Y.; Ding, J.; Jin, L.; Li, Y.; Zhang, J.; Wang, j.; Wei, D. Straw mulching alters the composition and loss of dissolved organic matter in farmland surface runoff by inhibiting the fragmentation of soil small macroaggregates. J. Integr. Agric. 2024, 23, 1703–1717. [Google Scholar] [CrossRef]
- Li, C.; Wang, J.; Zhang, Y.; Feng, H.; Zhang, W.; Siddique, K. Response of plastic film mulched maize to soil and atmospheric water stresses in an arid irrigation area. Eur. J. Agron. 2024, 154, 127080. [Google Scholar] [CrossRef]
- Ma, J.; Chen, Y.; Cheng, H.; Lan, X.; Li, Y.; Li, R.; Chai, Y.; Chang, L.; Chai, S. Effect of mulching methods on soil hydrothermal characteristics and yield of potato soils of different maturity in drylands. J. Irrig. Drain. Eng. 2020, 39, 7–16. [Google Scholar]
- Song, W.; Han, F.; Bao, Z.; Chai, Y.; Wang, L.; Huang, C.; Chang, H.; Chang, L. Mulching Practices Improve Soil Moisture and Enzyme Activity in Drylands, Increasing Potato Yield. Agronomy 2024, 14, 1077. [Google Scholar] [CrossRef]
- Chen, Y.; Chai, S.; Tian, H.; Chai, Y.; Li, Y.; Chang, L.; Cheng, H. Straw strips mulch on furrows improves water use efficiency and yield of potato in a rainfed semiarid area. Agric. Water Manag. 2019, 211, 142–151. [Google Scholar] [CrossRef]
- Feng, Y.; Zhang, S.; Yang, C.; Ma, J.; Han, F.; Chai, S.; Huang, C. Effects of straw strip mulching on photosynthetic characteristics and yield of potato in semi-arid rainfed areas. Acta Agric. Nucl. Sin. 2023, 37, 1442–1451. [Google Scholar]
- Yang, C.; Huang, J.; Han, F.; Bao, Z.; Chai, S.; Cheng, H.; Ma, J.; Huang, C.; Chang, L. Effects of different mulching periods and methods on soil hydrothermal and yield of dryland potato. Acta Agric. Boreali-Occident. Sin. 2023, 32, 253–263. [Google Scholar]
- Ren, C.; Liu, K.; Dou, P.; Li, J.; Wang, K. The Changes in Soil Microorganisms and Soil Chemical Properties Affect the Heterogeneity and Stability of Soil Aggregates before and after Grassland Conversion. Agriculture 2022, 12, 307. [Google Scholar] [CrossRef]
- Ma, J.; Cheng, H.; Chen, Y.; Li, Y.; Lan, X.; Li, R.; Chai, Y.; Chang, L.; Chai, S. Effects of different mulching methods on water consumption characteristics and yield of dryland potato. Chin. J. Ecol. 2020, 39, 2242–2250. [Google Scholar]
- Yang, Y.; Ding, J.; Zhang, Y.; Wu, J.; Zhang, J.; Pan, X.; Gao, C.; Wang, Y.; He, F. Effects of tillage and mulching measures on soil moisture and temperature, photosynthetic characteristics and yield of winter wheat. Agric. Water Manag. 2018, 201, 299–308. [Google Scholar] [CrossRef]
- Li, K.; Xiao, J.; Yang, N.; Feng, L.; Zhang, Z.; Feng, C. Effects of different biodegradable mulches on soil hydrothermal changes and maize yield. Soil Fert. Sci. China 2019, 5, 194–199. [Google Scholar]
- Huang, F.; Wang, B.; Li, Z.; Li, Z.; Wu, P.; Ye, X.; Zhang, P.; Jia, Z. Continuous years of biodegradable film mulching enhances the soil environment and maize yield sustainability in the dryland of northwest China. Field Crops Res. 2022, 288, 108698. [Google Scholar] [CrossRef]
- Liu, J.; Liu, Q.; Li, J.; Zhang, L.; Cao, X.; Li, J.; Cao, R.; Huang, L.; Wang, Z.; Dong, Z. Response of soil moisture and water use efficiency to straw mulching amount and mulching period in black soil zone of northeast China. Can. J. Soil Sci. 2023, 103, 634–641. [Google Scholar] [CrossRef]
- Li, Y.; Chai, S.; Chai, Y.; Li, R.; Lan, X.; Ma, J.; Cheng, H.; Chang, L. Effects of mulching on soil temperature and yield of winter wheat in the semiarid rainfed area. Field Crops Res. 2021, 271, 108244. [Google Scholar]
- Zhao, X.; Qin, X.; Li, T.; Cao, H.; Xie, Y. Effects of planting patterns plastic film mulching on soil temperature, moisture, functional bacteria and yield of winter wheat in the Loess Plateau of China. J. Integr. Agric. 2023, 22, 1560–1573. [Google Scholar] [CrossRef]
- Chang, L.; Han, F.; Chai, S.; Cheng, H.; Yang, D.; Chen, Y. Straw strip mulching affects soil moisture and temperature for potato yield in semiarid regions. Agron. J. 2020, 112, 1126–1139. [Google Scholar] [CrossRef]
- Li, C.; Wang, Q.; Wang, N.; Luo, X.; Li, Y.; Zhang, T.; Feng, H.; Dong, Q. Effects of different plastic film mulching on soil hydrothermal conditions and grain-filling process in an arid irrigation district. Sci. Total Environ. 2021, 795, 148886. [Google Scholar] [CrossRef]
- Lu, H.; Xia, Z.; Fu, Y.; Wang, Q.; Xue, J.; Chu, J. Response of Soil Temperature, Moisture, and Spring Maize (Zea mays L.) Root/Shoot Growth to Different Mulching Materials in Semi-Arid Areas of Northwest China. Agronomy 2020, 10, 453. [Google Scholar] [CrossRef]
- Linsler, D.; Kaiser, M.; Andruschkewitsch, R.; Piegholdt, C.; Ludwig, B. Effect of cover crop growth and decomposition on the distribution of aggregate size fractions and soil microbial carbon dynamics. Soil Use Manag. 2016, 32, 192–199. [Google Scholar] [CrossRef]
- Gentsch, N.; Riechers, F.; Boy, J.; Schwenecker, D.; Feuerstein, U.; Heuermann, D.; Guggenberger, G. Cover crops improve soil structure and change organic carbon distribution in macroaggregate fractions. Soil 2024, 10, 139–150. [Google Scholar] [CrossRef]
- Liu, Z.; Zhao, C.; Zhang, P.; Jia, Z. Long-term effects of plastic mulching on soil structure, organic carbon and yield of rainfed maize. Agric. Water Manag. 2023, 287, 108447. [Google Scholar] [CrossRef]
- Fu, X.; Wang, J.; Liu, Q.; Li, R. Effects of straw and mulch on soil aggregates and organic carbon in dry-crop maize fields. Chin. J. Soil Sci. 2016, 47, 405–413. [Google Scholar]
- Qin, T.; Wang, L.; Zhao, J.; Zhou, G.; Li, C.; Guo, L.; Jiang, G. Effects of Straw mulching thickness on the soil health in a temperate organic vineyard. Agriculture 2022, 12, 1751. [Google Scholar] [CrossRef]
- Li, G.; Fu, Y.; Li, B.; Zheng, T.; Wu, F.; Peng, G.; Xiao, T. Micro-characteristics of soil aggregate breakdown under raindrop action. Catena 2018, 162, 354–359. [Google Scholar] [CrossRef]
- Zong, R.; Wang, Z.; Li, W.; Li, H.; Ayantobo, O. Effects of practicing long-term mulched drip irrigation on soil quality in Northwest China. Sci. Total Environ. 2023, 878, 163247. [Google Scholar] [CrossRef]
- Huang, C.; Huang, H.; Huang, S.; Li, W.; Zhang, K.; Chen, Y.; Yang, L.; Luo, L.; Deng, L. Effects of Straw Returning on Soil Aggregates and Its Organic Carbon and Nitrogen Retention under Different Mechanized Tillage Modes in Typical Hilly Regions of Southwest China. Agronomy 2024, 14, 928. [Google Scholar] [CrossRef]
- Ji, X.; Jiang, J.; Wang, Y.; Colinet, G.; Feng, W. Small straw addition enhances straw decomposition and carbon stabilized in soil aggregates over time. Soil Tillage Res. 2024, 238, 106022. [Google Scholar] [CrossRef]
- Hou, X.; Li, R. Interactive effects of autumn tillage with mulching on soil temperature, productivity and water use efficiency of rainfed potato in loess plateau of China. Agric. Water Manag. 2019, 224, 105747. [Google Scholar] [CrossRef]
- Zhao, H.; Wang, R.; Ma, B.; Xiong, Y.; Qiang, S.; Wang, C.; Liu, C.; Li, F. Ridge-furrow with full plastic film mulching improves water use efficiency and tuber yields of potato in a semiarid rainfed ecosystem. Field Crops Res. 2014, 161, 137–148. [Google Scholar] [CrossRef]
- Li, H.; Liu, P.; Sun, W.; Zhang, H.; Liu, X.; Li, P.; Zhang, F. Mechanized No-Tillage Planting with Maize Straw Mulching Improves Potato Yield and Water Use Efficiency in Arid Regions of Northwest China. Agronomy 2024, 14, 1711. [Google Scholar] [CrossRef]
- Ma, X.; Li, D.; Lei, J.; Yu, J.; Wang, L.; Hou, X.; Wei, L.; Li, R. Effects of tillage practices combined with mulching on physical properties of dryland soils and potato yields under different precipitation year patterns. Chin. J. Appl. Ecol. 2024, 35, 447–456. [Google Scholar]
- Zhang, L.; Li, J.; Zhao, F.; Li, D.; Hou, X.; Li, R. Synergistic effects of no-tillage or deep-polishing combined with straw mulching to enhance soil carbon, nitrogen and water content and potato yield. Plant Nutr. Fert. Sci. 2023, 29, 45–56. [Google Scholar]
- Liu, P.; Chai, S.; Chang, L.; Zhang, F.; Sun, W.; Zhang, H.; Liu, X.; Li, H. Effects of Straw Strip Covering on Yield and Water Use Efficiency of Potato cultivars with Different Maturities in Rain-Fed Area of Northwest China. Agriculture 2023, 13, 402. [Google Scholar] [CrossRef]









| Year | Treatment | Fresh Tuber Yield /(kg·ha−1) | Tuber Number per Plant | Weight per Fresh Tuber /(g) | Commodity Potato Rate /(%) | WUED (kg·ha−1·mm−1) |
|---|---|---|---|---|---|---|
| 2021 | CK | 35,593.7 e | 6.6 a | 126.2 d | 90.8 b | 19.3 e |
| PM1 | 38,587.6 c | 4.0 b | 175.5 a | 94.8 a | 23.3 c | |
| PM2 | 40,312.7 b | 6.2 a | 131.8 c | 89.7 c | 24.5 b | |
| SM1 | 37,385.1 d | 6.6 a | 133.0 c | 90.7 b | 22.2 d | |
| SM2 | 41,671.1 a | 5.6 a | 153.8 b | 93.3 ab | 25.8 a | |
| 2022 | CK | 29,487.5 b | 5.8 b | 89.3 c | 82.7 c | 23.9 c |
| PM1 | 33,201.7 a | 7.2 a | 100.3 b | 83.8 bc | 28.6 ab | |
| PM2 | 34,147.8 a | 6.4 b | 103.7 b | 84.9 bc | 27.5 ab | |
| SM1 | 33,508.7 a | 5.9 b | 107.0 ab | 86.0 ab | 30.4 a | |
| SM2 | 33,628.2 a | 6.0 b | 115.8 a | 88.4 a | 25.6 bc |
Disclaimer/Publisher’s Note: The statements, opinions and data contained in all publications are solely those of the individual author(s) and contributor(s) and not of MDPI and/or the editor(s). MDPI and/or the editor(s) disclaim responsibility for any injury to people or property resulting from any ideas, methods, instructions or products referred to in the content. |
© 2024 by the authors. Licensee MDPI, Basel, Switzerland. This article is an open access article distributed under the terms and conditions of the Creative Commons Attribution (CC BY) license (https://creativecommons.org/licenses/by/4.0/).
Share and Cite
Ma, Z.; Ma, J.; Chai, Y.; Song, W.; Han, F.; Huang, C.; Cheng, H.; Chang, L. Mulching Improves the Soil Hydrothermal Environment, Soil Aggregate Content, and Potato Yield in Dry Farmland. Agronomy 2024, 14, 2470. https://doi.org/10.3390/agronomy14112470
Ma Z, Ma J, Chai Y, Song W, Han F, Huang C, Cheng H, Chang L. Mulching Improves the Soil Hydrothermal Environment, Soil Aggregate Content, and Potato Yield in Dry Farmland. Agronomy. 2024; 14(11):2470. https://doi.org/10.3390/agronomy14112470
Chicago/Turabian StyleMa, Zhen, Jiantao Ma, Yuwei Chai, Wenhuan Song, Fanxiang Han, Caixia Huang, Hongbo Cheng, and Lei Chang. 2024. "Mulching Improves the Soil Hydrothermal Environment, Soil Aggregate Content, and Potato Yield in Dry Farmland" Agronomy 14, no. 11: 2470. https://doi.org/10.3390/agronomy14112470
APA StyleMa, Z., Ma, J., Chai, Y., Song, W., Han, F., Huang, C., Cheng, H., & Chang, L. (2024). Mulching Improves the Soil Hydrothermal Environment, Soil Aggregate Content, and Potato Yield in Dry Farmland. Agronomy, 14(11), 2470. https://doi.org/10.3390/agronomy14112470
