How Weather and Fertilization Affected Grain Yield and Stability of Winter Wheat in a Long-Term Trial in the South Moravian Region, Czech Republic
Abstract
:1. Introduction
2. Materials and Methods
2.1. Description of the Field Trial Site
2.2. Description of Field Trial
2.3. Data Analysis
3. Results
3.1. Weather Development
3.2. Grain Yield Development
3.3. Effect of Fertilization on Grain Yield
3.4. Effect of Wheat Variety
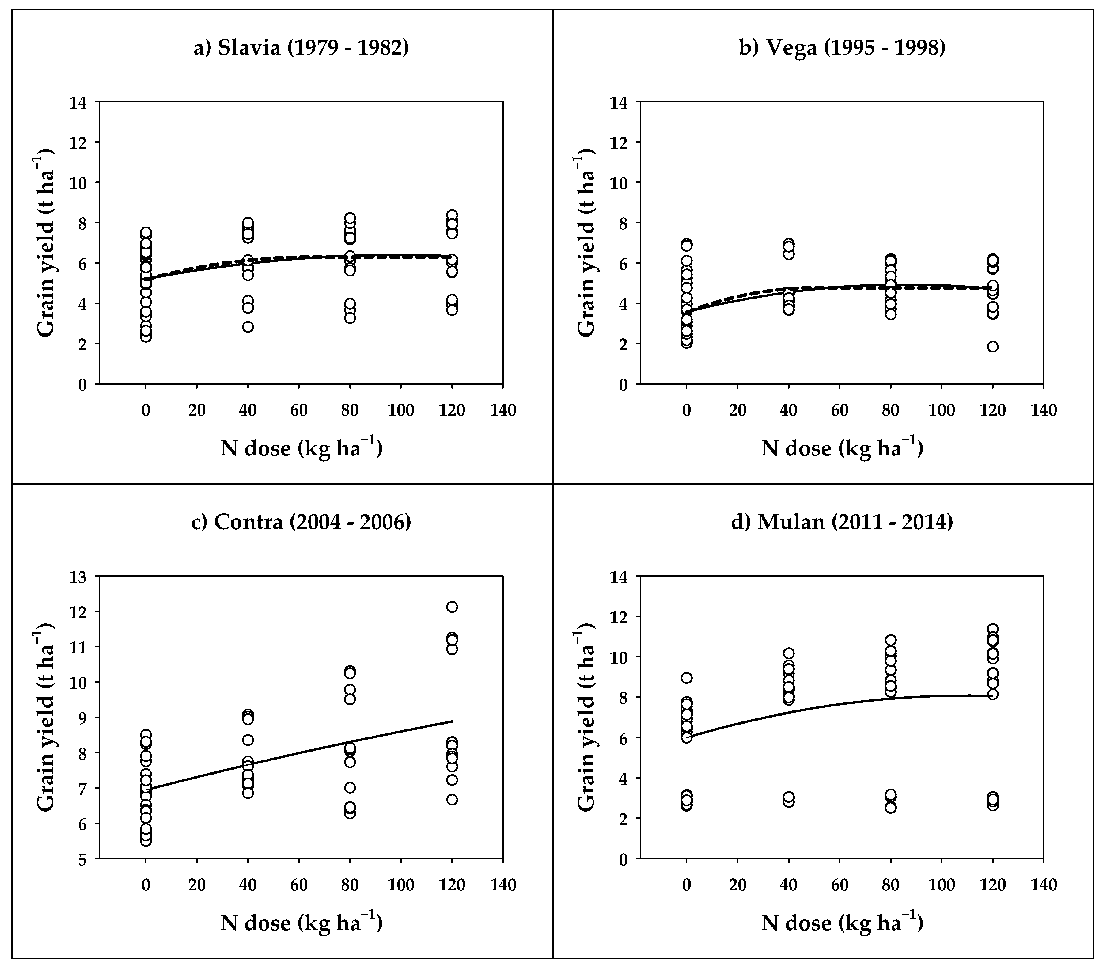
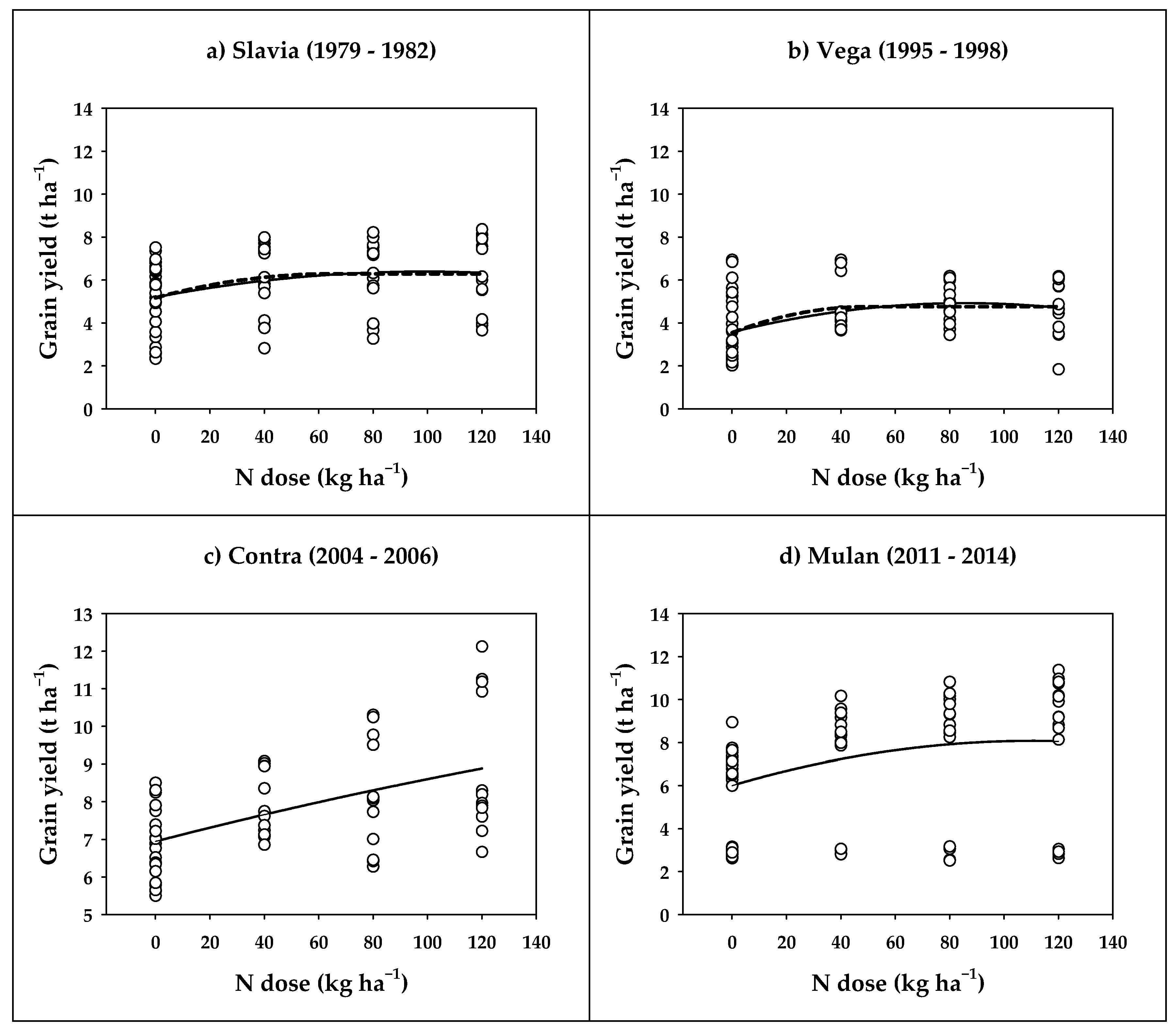
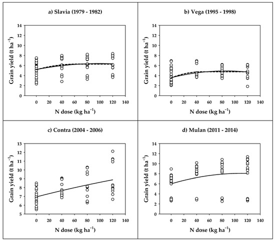
3.5. Fertilization Optimization
3.6. Relationship between Weather, Grain Yield, and Fertilization
3.7. Yield Stability
4. Discussion
4.1. Weather Development
4.2. Yield Stability
4.3. Grain Yield Development and Fertilization Optimization
5. Conclusions
Supplementary Materials
Author Contributions
Funding
Institutional Review Board Statement
Informed Consent Statement
Data Availability Statement
Acknowledgments
Conflicts of Interest
References
- Nielsen, D.C.; Vigil, M.F. Wheat Yield and Yield Stability of Eight Dryland Crop Rotations. Agron. J. 2018, 110, 594–601. [Google Scholar] [CrossRef]
- Berzsenyi, Z.; Győrffy, B.; Lap, D. Effect of Crop Rotation and Fertilisation on Maize and Wheat Yields and Yield Stability in a Long-Term Experiment. Eur. J. Agron. 2000, 13, 225–244. [Google Scholar] [CrossRef]
- Christen, O.; Sieling, K.; Hanus, H. The Effect of Different Preceding Crops on the Development, Growth and Yield of Winter Wheat. Eur. J. Agron. 1992, 1, 21–28. [Google Scholar] [CrossRef]
- Peng, Z.; Wang, L.; Xie, J.; Li, L.; Coulter, J.A.; Zhang, R.; Luo, Z.; Cai, L.; Carberry, P.; Whitbread, A. Conservation Tillage Increases Yield and Precipitation Use Efficiency of Wheat on the Semi-Arid Loess Plateau of China. Agric. Water Manag. 2020, 231, 106024. [Google Scholar] [CrossRef]
- Amato, G.; Ruisi, P.; Frenda, A.S.; di Miceli, G.; Saia, S.; Plaia, A.; Giambalvo, D. Long-Term Tillage and Crop Sequence Effects on Wheat Grain Yield and Quality. Agron. J. 2013, 105, 1317–1327. [Google Scholar] [CrossRef]
- Lawes, J.B.; Gilbert, J.H. Our Climate and Our Wheat Crops. J. R. Agric. Soc. Engl. 1880, 16, 173–210. [Google Scholar]
- Shaw, W.N. Seasons in the British Isles from 1878. J. R. Stat. Soc. 1905, 68, 247. [Google Scholar] [CrossRef]
- Hooker, R.H. Correlation of the Weather and Crops. J. R. Stat. Soc. 1907, 70, 1. [Google Scholar] [CrossRef]
- Walter, A. The Sugar Industry of Mauritius: A Study in Correlation; A. L. Humphreys: London, UK, 1910. [Google Scholar]
- Fisher, R.A. The Influence of Rainfall on the Yield of Wheat at Rothamsted. Philos. Trans. R. Soc. London Ser. B 1925, 213, 89–142. [Google Scholar] [CrossRef]
- Thai, T.H.; Bellingrath-Kimura, S.D.; Hoffmann, C.; Barkusky, D. Effect of Long-Term Fertiliser Regimes and Weather on Spring Barley Yields in Sandy Soil in North-East Germany. Arch. Agron. Soil Sci. 2020, 66, 1812–1826. [Google Scholar] [CrossRef]
- Addy, J.W.G.; Ellis, R.H.; Macdonald, A.J.; Semenov, M.A.; Mead, A. Investigating the Effects of Inter-Annual Weather Variation (1968–2016) on the Functional Response of Cereal Grain Yield to Applied Nitrogen, Using Data from the Rothamsted Long-Term Experiments. Agric. For. Meteorol. 2020, 284, 107898. [Google Scholar] [CrossRef] [PubMed]
- Hatfield, J.L.; Dold, C. Agroclimatology and Wheat Production: Coping with Climate Change. Front. Plant Sci. 2018, 9, 224. [Google Scholar] [CrossRef] [PubMed]
- Žalud, Z.; Trnka, M.; Dubrovský, M.; Hlavinka, P.; Semerádová, D.; Kocmánková, E. Climate Change Impacts on Selected Aspects of the Czech Agricultural Production. Plant Prot. Sci. 2009, 45, 11–20. [Google Scholar] [CrossRef]
- Zahradníček, P.; Brázdil, R.; Štěpánek, P.; Trnka, M. Reflections of Global Warming in Trends of Temperature Characteristics in the Czech Republic, 1961–2019. Int. J. Climatol. 2021, 41, 1211–1229. [Google Scholar] [CrossRef]
- Chloupek, O.; Hrstkova, P.; Schweigert, P. Yield and Its Stability, Crop Diversity, Adaptability and Response to Climate Change, Weather and Fertilisation over 75 Years in the Czech Republic in Comparison to Some European Countries. Field Crops Res. 2004, 85, 167–190. [Google Scholar] [CrossRef]
- Kundzewicz, Z.W.; Matczak, P. Climate Change Regional Review: Poland. Wiley Interdiscip. Rev. Clim. Change 2012, 3, 297–311. [Google Scholar] [CrossRef]
- Hemmerle, H.; Bayer, P. Climate Change Yields Groundwater Warming in Bavaria, Germany. Front. Earth Sci. 2020, 8, 575894. [Google Scholar] [CrossRef]
- Benz, S.A.; Bayer, P.; Winkler, G.; Blum, P. Recent Trends of Groundwater Temperatures in Austria. Hydrol. Earth Syst. Sci. 2018, 22, 3143–3154. [Google Scholar] [CrossRef]
- Ribes, A.; Corre, L.; Gibelin, A.L.; Dubuisson, B. Issues in Estimating Observed Change at the Local Scale—A Case Study: The Recent Warming over France. Int. J. Climatol. 2016, 36, 3794–3806. [Google Scholar] [CrossRef]
- Wreford, A.; Topp, C.F.E. Impacts of Climate Change on Livestock and Possible Adaptations: A Case Study of the United Kingdom. Agric. Syst. 2020, 178, 102737. [Google Scholar] [CrossRef]
- Twardosz, R.; Walanus, A.; Guzik, I. Warming in Europe: Recent Trends in Annual and Seasonal Temperatures. Pure Appl. Geophys. 2021, 178, 4021–4032. [Google Scholar] [CrossRef]
- Brown, P.J.; DeGaetano, A.T. A Paradox of Cooling Winter Soil Surface Temperatures in a Warming Northeastern United States. Agric. For. Meteorol. 2011, 151, 947–956. [Google Scholar] [CrossRef]
- Griffiths, G.M.; Chambers, L.E.; Haylock, M.R.; Manton, M.J.; Nicholls, N.; Baek, H.J.; Choi, Y.; Della-Marta, P.M.; Gosai, A.; Iga, N.; et al. Change in Mean Temperature as a Predictor of Extreme Temperature Change in the Asia-Pacific Region. Int. J. Climatol. 2005, 25, 1301–1330. [Google Scholar] [CrossRef]
- Werndl, C. On Defining Climate and Climate Change. Br. J. Philos. Sci. 2016, 67, 337–364. [Google Scholar] [CrossRef]
- Pielke, R.A. What Is Climate Change? Energy Environ. 2004, 15, 515–520. [Google Scholar] [CrossRef]
- Spinoni, J.; Vogt, J.V.; Naumann, G.; Barbosa, P.; Dosio, A. Will Drought Events Become More Frequent and Severe in Europe? Int. J. Climatol. 2018, 38, 1718–1736. [Google Scholar] [CrossRef]
- Grillakis, M.G. Increase in Severe and Extreme Soil Moisture Droughts for Europe under Climate Change. Sci. Total Environ. 2019, 660, 1245–1255. [Google Scholar] [CrossRef] [PubMed]
- Lhotka, O.; Kyselý, J.; Farda, A. Climate Change Scenarios of Heat Waves in Central Europe and Their Uncertainties. Theor. Appl. Climatol. 2018, 131, 1043–1054. [Google Scholar] [CrossRef]
- Trenberth, K.E. Changes in Precipitation with Climate Change. Clim. Res. 2011, 47, 123–138. [Google Scholar] [CrossRef]
- Szwed, M. Variability of Precipitation in Poland under Climate Change. Theor. Appl. Climatol. 2019, 135, 1003–1015. [Google Scholar] [CrossRef]
- Brázdil, R.; Zahradníček, P.; Dobrovolný, P.; Štěpánek, P.; Trnka, M. Observed Changes in Precipitation during Recent Warming: The Czech Republic, 1961–2019. Int. J. Climatol. 2021, 41, 3881–3902. [Google Scholar] [CrossRef]
- Li, Z.; Fang, H. Impacts of Climate Change on Water Erosion: A Review. Earth-Sci. Rev. 2016, 163, 94–117. [Google Scholar] [CrossRef]
- Eghball, B.; Wienhold, B.J.; Gilley, J.E.; Eigenberg, R.A. Mineralization of Manure Nutrients. J. Soil Water Conserv. 2002, 57, 470–473. [Google Scholar]
- Hlisnikovský, L.; Kunzová, E.; Hejcman, M.; Dvořáček, V. Effect of Fertilizer Application, Soil Type, and Year on Yield and Technological Parameters of Winter Wheat (Triticum aestivum) in the Czech Republic. Arch. Agron. Soil Sci. 2015, 61, 33–53. [Google Scholar] [CrossRef]
- Yang, Z.; Ha, L. Analysis and Comparison of Nutrient Contents in Different Animal Manures from Beijing Suburbs. Agric. Sci. 2013, 4, 50–55. [Google Scholar] [CrossRef]
- Chen, Y.; Camps-Arbestain, M.; Shen, Q.; Singh, B.; Cayuela, M.L. The Long-Term Role of Organic Amendments in Building Soil Nutrient Fertility: A Meta-Analysis and Review. Nutr. Cycl. Agroecosyst. 2018, 111, 103–125. [Google Scholar] [CrossRef]
- Du, Y.; Cui, B.; Zhang, Q.; Wang, Z.; Sun, J.; Niu, W. Effects of Manure Fertilizer on Crop Yield and Soil Properties in China: A Meta-Analysis. CATENA 2020, 193, 104617. [Google Scholar] [CrossRef]
- Hamm, A.C.; Tenuta, M.; Krause, D.O.; Ominski, K.H.; Tkachuk, V.L.; Flaten, D.N. Bacterial Communities of an Agricultural Soil Amended with Solid Pig and Dairy Manures, and Urea Fertilizer. Appl. Soil Ecol. 2016, 103, 61–71. [Google Scholar] [CrossRef]
- Šimon, T.; Czakó, A. Influence of Long-Term Application of Organic and Inorganic Fertilizers on Soil Properties. Plant Soil Environ. 2014, 60, 314–319. [Google Scholar] [CrossRef]
- Suwara, I.; Pawlak-Zaręba, K.; Gozdowski, D.; Perzanowska, A. Physical Properties of Soil after 54 Years of Long-Term Fertilization and Crop Rotation. Plant Soil Environ. 2016, 62, 389–394. [Google Scholar] [CrossRef]
- Gross, A.; Glaser, B. Meta-Analysis on How Manure Application Changes Soil Organic Carbon Storage. Sci. Rep. 2021, 11, 5516. [Google Scholar] [CrossRef] [PubMed]
- Arfat, M.Y.; Sher, A.; Ul-Allah, S.; Sattar, A.; Ijaz, M.; Manaf, A.; Sarwar, B.; Muneer-ul-Husnain, M. Organic manure for promoting sustainable agriculture. In Biostimulants for Crop Production and Sustainable Agriculture; CABI: Oxfordshire, UK, 2022; pp. 110–121. [Google Scholar]
- Macholdt, J.; Piepho, H.P.; Honermeier, B. Mineral NPK and Manure Fertilisation Affecting the Yield Stability of Winter Wheat: Results from a Long-Term Field Experiment. Eur. J. Agron. 2019, 102, 14–22. [Google Scholar] [CrossRef]
- Macholdt, J.; Styczen, M.E.; Macdonald, A.; Piepho, H.P.; Honermeier, B. Long-Term Analysis from a Cropping System Perspective: Yield Stability, Environmental Adaptability, and Production Risk of Winter Barley. Eur. J. Agron. 2020, 117, 126056. [Google Scholar] [CrossRef]
- Moitzi, G.; Neugschwandtner, R.W.; Kaul, H.P.; Wagentristl, H. Efficiency of Mineral Nitrogen Fertilization in Winter Wheat under Pannonian Climate Conditions. Agriculture 2020, 10, 541. [Google Scholar] [CrossRef]
- Wieser, H.; Seilmeier, W. The Influence of Nitrogen Fertilisation on Quantities and Proportions of Different Protein Types in Wheat Flour. J. Sci. Food Agric. 1998, 76, 49–55. [Google Scholar] [CrossRef]
- Zörb, C.; Ludewig, U.; Hawkesford, M.J. Perspective on Wheat Yield and Quality with Reduced Nitrogen Supply. Trends Plant Sci. 2018, 23, 1029–1037. [Google Scholar] [CrossRef]
- Rembiałkowska, E.; Średnicka-Tober, D.; Obiedzińska, A.; Kazimierczak, R. Environmental Impact of Organic vs. Conventional Agriculture—A Review. J. Res. Appl. Agric. Eng. 2016, 61, 204–211. [Google Scholar]
- Savci, S. Investigation of Effect of Chemical Fertilizers on Environment. APCBEE Procedia 2012, 1, 287–292. [Google Scholar] [CrossRef]
- Kissel, D.E.; Bock, B.R.; Ogles, C.Z. Thoughts on Acidification of Soils by Nitrogen and Sulfur Fertilizers. Agrosyst. Geosci. Environ. 2020, 3, e20060. [Google Scholar] [CrossRef]
- Kopeć, M.; Gondek, K.; Mierzwa-Hersztek, M.; Jarosz, R. Changes in the Soil Content of Organic Carbon Nitrogen and Sulphur in a Long-Term Fertilisation Experiment in Czarny Potok (Poland). J. Elem. 2021, 26, 33–46. [Google Scholar] [CrossRef]
- Vašák, F.; Černý, J.; Buráňová, Š.; Kulhánek, M.; Balík, J. Soil PH Changes in Long-Term Field Experiments with Different Fertilizing Systems. Soil Water Res. 2015, 10, 19–23. [Google Scholar] [CrossRef]
- Lassaletta, L.; Billen, G.; Garnier, J.; Bouwman, L.; Velazquez, E.; Mueller, N.D.; Gerber, J.S. Nitrogen Use in the Global Food System: Past Trends and Future Trajectories of Agronomic Performance, Pollution, Trade, and Dietary Demand. Environ. Res. Lett. 2016, 11, 095007. [Google Scholar] [CrossRef]
- Zhu, H.; Chen, C.; Xu, C.; Zhu, Q.; Huang, D. Effects of Soil Acidification and Liming on the Phytoavailability of Cadmium in Paddy Soils of Central Subtropical China. Environ. Pollut. 2016, 219, 99–106. [Google Scholar] [CrossRef] [PubMed]
- Hendricks, G.S.; Shukla, S.; Roka, F.M.; Sishodia, R.P.; Obreza, T.A.; Hochmuth, G.J.; Colee, J. Economic and Environmental Consequences of Overfertilization under Extreme Weather Conditions. J. Soil Water Conserv. 2019, 74, 160–171. [Google Scholar] [CrossRef]
- Khan, A.; Ahmad, A.; Ali, W.; Hussain, S.; Ajayo, B.S.; Raza, M.A.; Kamran, M.; Te, X.; al Amin, N.; Ali, S.; et al. Optimization of Plant Density and Nitrogen Regimes to Mitigate Lodging Risk in Wheat. Agron. J. 2020, 112, 2535–2551. [Google Scholar] [CrossRef]
- Liu, H.; Wang, Z.; Yu, R.; Li, F.; Li, K.; Cao, H.; Yang, N.; Li, M.; Dai, J.; Zan, Y.; et al. Optimal Nitrogen Input for Higher Efficiency and Lower Environmental Impacts of Winter Wheat Production in China. Agric. Ecosyst. Environ. 2016, 224, 1–11. [Google Scholar] [CrossRef]
- Beck, H.E.; Zimmermann, N.E.; McVicar, T.R.; Vergopolan, N.; Berg, A.; Wood, E.F. Present and Future Köppen-Geiger Climate Classification Maps at 1-km Resolution. Sci. Data 2018, 5, 180214. [Google Scholar] [CrossRef]
- Shapiro, A.S.S.; Wilk, M.B. An Analysis of Variance Test for Normality (Complete Samples). Biometrika 1965, 52, 591–611. [Google Scholar] [CrossRef]
- Conover, W.; Iman, R. Multiple-Comparisons Procedures. Informal Report; Los Alamos National Lab: Los Alamos, NM, USA, 1979. [Google Scholar]
- Kendall, M.G. Rank Correlation Methods, 4th ed.; Griffin: London, UK, 1975; ISBN 9780852641996. [Google Scholar]
- Mann, H.B. Nonparametric Tests Against Trend. Econometrica 1945, 13, 245. [Google Scholar] [CrossRef]
- Sen, P.K. Estimates of the Regression Coefficient Based on Kendall’s Tau. J. Am. Stat. Assoc. 1968, 63, 1379. [Google Scholar] [CrossRef]
- Kang, M.S. A Rank-Sum Method for Selecting High-Yielding, Stable Corn Genotypes. Cereal Res. Commun. 1988, 16, 113–115. [Google Scholar]
- Pour-Aboughadareh, A.; Yousefian, M.; Moradkhani, H.; Poczai, P.; Siddique, K.H.M. STABILITYSOFT: A New Online Program to Calculate Parametric and Non-Parametric Stability Statistics for Crop Traits. Appl. Plant Sci. 2019, 7, e01211. [Google Scholar] [CrossRef] [PubMed]
- Alhaji, U.U.; Yusuf, A.S.; Edet, C.O.; Oche, C.O.; Agbo, E.P. Trend Analysis of Temperature in Gombe State Using Mann Kendall Trend Test. J. Sci. Res. Rep. 2018, 20, 1–9. [Google Scholar] [CrossRef]
- Choudhury, B.U.; Das, A.; Ngachan, S.V.; Slong, A.; Bordoloi, L.J.; Chowdhury, P. Trend Analysis of Long Term Weather Variables in Mid Altitude Meghalaya, North-East India. J. Agric. Phys. 2012, 12, 12–22. [Google Scholar]
- Gocic, M.; Trajkovic, S. Analysis of Changes in Meteorological Variables Using Mann-Kendall and Sen’s Slope Estimator Statistical Tests in Serbia. Glob. Planet. Chang. 2013, 100, 172–182. [Google Scholar] [CrossRef]
- Repel, A.; Zeleňáková, M.; Jothiprakash, V.; Hlavatá, H.; Blišt’an, P.; Gargar, I.; Purcz, P. Long-Term Analysis of Precipitation in Slovakia. Water 2021, 13, 952. [Google Scholar] [CrossRef]
- Eekhout, J.P.C.; de Vente, J. Global Impact of Climate Change on Soil Erosion and Potential for Adaptation through Soil Conservation. Earth-Sci. Rev. 2022, 226, 103921. [Google Scholar] [CrossRef]
- Zahradníček, P.; Trnka, M.; Brázdil, R.; Možný, M.; Štěpánek, P.; Hlavinka, P.; Žalud, Z.; Malý, A.; Semerádová, D.; Dobrovolný, P.; et al. The Extreme Drought Episode of August 2011–May 2012 in the Czech Republic. Int. J. Climatol. 2015, 35, 3335–3352. [Google Scholar] [CrossRef]
- Eitzinger, J.; Trnka, M.; Semerádová, D.; Thaler, S.; Svobodová, E.; Hlavinka, P.; Šiška, B.; Takáč, J.; Malatinská, L.; Nováková, M.; et al. Regional Climate Change Impacts on Agricultural Crop Production in Central and Eastern Europe—Hotspots, Regional Differences and Common Trends. J. Agric. Sci. 2013, 151, 787–812. [Google Scholar] [CrossRef]
- Pechanec, V.; Machar, I.; Kilianova, H.; Vlckova, V.; Bucek, A.; Plasek, V. Prediction of Climate Change Impacts on Sustainable Agricultural Management in the Czech Republic. Fresenius Environ. Bull. 2017, 26, 7580–7586. [Google Scholar]
- Hlisnikovský, L.; Menšík, L.; Kunzová, E. Development and the Effect of Weather and Mineral Fertilization on Grain Yield and Stability of Winter Wheat Following Alfalfa—Analysis of Long-Term Field Trial. Plants 2023, 12, 1392. [Google Scholar] [CrossRef] [PubMed]
- Mustǎtea, P.; Sǎulescu, N.N.; Ittu, G.; Pǎunescu, G.; Voinea, L.; Stere, I.; Mîrlogeanu, S.; Constantinescu, E.; Nǎstase, D. Grain Yield and Yield Stability of Winter Wheat Cultivars in Contrasting Weather Conditions. Rom. Agric. Res. 2009, 26, 1–8. [Google Scholar]
- Macholdt, J.; Honermeier, B. Yield Stability in Winter Wheat Production: A Survey on German Farmers’ and Advisors’ Views. Agronomy 2017, 7, 45. [Google Scholar] [CrossRef]
- Hao, M.-D.; Fan, J.; Wang, Q.-J.; Dang, T.-H.; Guo, S.-L.; Wang, J.-J. Wheat Grain Yield and Yield Stability in a Long-Term Fertilization Experiment on the Loess Plateau. Pedosphere 2007, 17, 257–264. [Google Scholar] [CrossRef]
- Chen, H.; Deng, A.; Zhang, W.; Li, W.; Qiao, Y.; Yang, T.; Zheng, C.; Cao, C.; Chen, F. Long-Term Inorganic plus Organic Fertilization Increases Yield and Yield Stability of Winter Wheat. Crop J. 2018, 6, 589–599. [Google Scholar] [CrossRef]
- Varvel, G.E. Crop Rotation and Nitrogen Effects on Normalized Grain Yields in a Long-Term Study. Agron. J. 2000, 92, 938–941. [Google Scholar] [CrossRef]
- Rasmussen, I.S.; Dresbøll, D.B.; Thorup-Kristensen, K. Winter Wheat Cultivars and Nitrogen (N) Fertilization-Effects on Root Growth, N Uptake Efficiency and N Use Efficiency. Eur. J. Agron. 2015, 68, 38–49. [Google Scholar] [CrossRef]
- Skudra, I.; Ruza, A. Effect of Nitrogen and Sulphur Fertilization on Chlorophyll Content in Winter Wheat. Rural Sustain. Res. 2017, 37, 29–37. [Google Scholar] [CrossRef]
- Pan, G.; Smith, P.; Pan, W. The Role of Soil Organic Matter in Maintaining the Productivity and Yield Stability of Cereals in China. Agric. Ecosyst. Environ. 2009, 129, 344–348. [Google Scholar] [CrossRef]
- Pujol-Andreu, J. Wheat Varieties and Technological Change in Europe, 19th and 20th Centuries: New Issues in Economic History. Hist. Agrar. 2011, 54, 71–103. [Google Scholar]
- Kronstad, W.E. Agricultural development and wheat breeding in the 20th century. In Wheat: Prospects for Global Improvement. Developments in Plant Breeding; Springer: Dordrecht, The Netherlands, 1997; pp. 1–10. [Google Scholar]
- Evenson, R.E.; Gollin, D. Assessing the Impact of the Green Revolution, 1960 to 2000. Science 2003, 300, 758–762. [Google Scholar] [CrossRef]
- Zhang, W.J.; Zhang, X.Y. A Forecast Analysis on Fertilizers Consumption Worldwide. Environ. Monit. Assess. 2007, 133, 427–434. [Google Scholar] [CrossRef] [PubMed]
- Yu, Z.; Liu, J.; Kattel, G. Historical Nitrogen Fertilizer Use in China from 1952 to 2018. Earth Syst. Sci. Data 2022, 14, 5179–5194. [Google Scholar] [CrossRef]
- Cao, P.; Lu, C.; Yu, Z. Historical Nitrogen Fertilizer Use in Agricultural Ecosystems of the Contiguous United States during 1850–2015: Application Rate, Timing, and Fertilizer Types. Earth Syst. Sci. Data 2018, 10, 969–984. [Google Scholar] [CrossRef]
- Jepsen, M.R.; Kuemmerle, T.; Müller, D.; Erb, K.; Verburg, P.H.; Haberl, H.; Vesterager, J.P.; Andrič, M.; Antrop, M.; Austrheim, G.; et al. Transitions in European Land-Management Regimes between 1800 and 2010. Land Use Policy 2015, 49, 53–64. [Google Scholar] [CrossRef]
- Silverstone, A.L.; Sun, T. Gibberellins and the Green Revolution. Trends Plant Sci. 2000, 5, 1–2. [Google Scholar] [CrossRef]
- Galloway, J.N.; Leach, A.M.; Bleeker, A.; Erisman, J.W.; Galloway, J.N. A Chronology of Human Understanding of the Nitrogen Cycle. Philos. Trans. R. Soc. B Biol. Sci. 2013, 368, 20130120. [Google Scholar] [CrossRef] [PubMed]
- Leghari, S.J.; Wahocho, N.A.; Laghari, G.M.; Hafeez Laghari, A. Role of Nitrogen for Plant Growth and Development: A Review. Adv. Environ. Biol. 2016, 10, 209–218. [Google Scholar]
- Hignett, T.P. History of chemical fertilizers. In Fertilizer Manual; Springer: Dordrecht, The Netherlands, 1985; pp. 3–10. [Google Scholar]
- Russel, D.A.; Williams, G.G. History of Chemical Fertilizer Development. Soil Sci. Soc. Am. J. 1977, 41, 260–265. [Google Scholar] [CrossRef]
- Hejcman, M.; Kunzová, E.; Šrek, P. Sustainability of Winter Wheat Production over 50 Years of Crop Rotation and N, P and K Fertilizer Application on Illimerized Luvisol in the Czech Republic. Field Crops Res. 2012, 139, 30–38. [Google Scholar] [CrossRef]
- Hejcman, M.; Kunzová, E. Sustainability of Winter Wheat Production on Sandy-Loamy Cambisol in the Czech Republic: Results from a Long-Term Fertilizer and Crop Rotation Experiment. Field Crops Res. 2010, 115, 191–199. [Google Scholar] [CrossRef]
- Kunzová, E.; Hejcman, M. Yield Development of Winter Wheat over 50 Years of Nitrogen, Phosphorus and Potassium Application on Greyic Phaeozem in the Czech Republic. Eur. J. Agron. 2010, 33, 166–174. [Google Scholar] [CrossRef]
- Wang, Q.; Liu, J.; Zhu, H. Genetic and Molecular Mechanisms Underlying Symbiotic Specificity in Legume-Rhizobium Interactions. Front. Plant Sci. 2018, 9, 313. [Google Scholar] [CrossRef] [PubMed]
- Kebede, E. Contribution, Utilization, and Improvement of Legumes-Driven Biological Nitrogen Fixation in Agricultural Systems. Front. Sustain. Food Syst. 2021, 5, 767998. [Google Scholar] [CrossRef]
- Preissel, S.; Reckling, M.; Schläfke, N.; Zander, P. Magnitude and Farm-Economic Value of Grain Legume Pre-Crop Benefits in Europe: A Review. Field Crops Res. 2015, 175, 64–79. [Google Scholar] [CrossRef]
- Song, X.; Fang, C.; Yuan, Z.Q.; Li, F.M. Long-Term Growth of Alfalfa Increased Soil Organic Matter Accumulation and Nutrient Mineralization in a Semi-Arid Environment. Front. Environ. Sci. 2021, 9, 649346. [Google Scholar] [CrossRef]
- Ballesta, A.; Lloveras, J. Nitrogen Replacement Value of Alfalfa to Corn and Wheat under Irrigated Mediterranean Conditions. Span. J. Agric. Res. 2010, 8, 159. [Google Scholar] [CrossRef]
- N’Dayegamiye, A.; Whalen, J.K.; Tremblay, G.; Nyiraneza, J.; Grenier, M.; Drapeau, A.; Bipfubusa, M. The Benefits of Legume Crops on Corn and Wheat Yield, Nitrogen Nutrition, and Soil Properties Improvement. Agron. J. 2015, 107, 1653–1665. [Google Scholar] [CrossRef]
- Thiessen Martens, J.R.; Entz, M.H.; Hoeppner, J.W. Legume Cover Crops with Winter Cereals in Southern Manitoba: Fertilizer Replacement Values for Oat. Can. J. Plant Sci. 2005, 85, 645–648. [Google Scholar] [CrossRef]
- Yost, M.A.; Pound, C.A.; Creech, J.E.; Cardon, G.E.; Pace, M.G.; Kitchen, B.; Nelson, M.; Russell, K. Nitrogen Requirements of First-year Small Grains after Alfalfa. Soil Sci. Soc. Am. J. 2021, 85, 1698–1709. [Google Scholar] [CrossRef]
- Pimentel, D. Environmental and economic costs of the application of pesticides primarily in the United States. In Integrated Pest Management: Innovation-Development Process; Springer: Dordrecht, The Netherlands, 2009; pp. 89–111. [Google Scholar]
- Ward, M.H. Too Much of a Good Thing? Nitrate from Nitrogen Fertilizers and Cancer. Rev. Environ. Health 2009, 24, 357–363. [Google Scholar] [CrossRef]
- Ahmed, M.; Rauf, M.; Mukhtar, Z.; Saeed, N.A. Excessive Use of Nitrogenous Fertilizers: An Unawareness Causing Serious Threats to Environment and Human Health. Environ. Sci. Pollut. Res. 2017, 24, 26983–26987. [Google Scholar] [CrossRef] [PubMed]
- Van Grinsven, H.J.M.; Holland, M.; Jacobsen, B.H.; Klimont, Z.; Sutton, M.A.; Jaap Willems, W. Costs and Benefits of Nitrogen for Europe and Implications for Mitigation. Environ. Sci. Technol. 2013, 47, 3571–3579. [Google Scholar] [CrossRef] [PubMed]
- Pahalvi, H.N.; Rafiya, L.; Rashid, S.; Nisar, B.; Kamili, A.N. Microbiota and Biofertilizers, Ecofriendly Tools for Reclamation of Degraded Soil Environs; Springer Nature: Berlin/Heidelberg, Germany, 2022; Volume 2, ISBN 9783030610098. [Google Scholar]
- Van Grinsven, H.J.M.; Ten Berge, H.F.M.; Dalgaard, T.; Fraters, B.; Durand, P.; Hart, A.; Hofman, G.; Jacobsen, B.H.; Lalor, S.T.J.; Lesschen, J.P.; et al. Management, Regulation and Environmental Impacts of Nitrogen Fertilization in Northwestern Europe under the Nitrates Directive; A Benchmark Study. Biogeosciences 2012, 9, 5143–5160. [Google Scholar] [CrossRef]
- Hlisnikovský, L.; Ivičic, P.; Barłóg, P.; Grzebisz, W.; Menšík, L.; Kunzová, E. The Effects of Weather and Fertilization on Grain Yield and Stability of Winter Wheat Growing on Orthic Luvisol—Analysis of Long-Term Field Experiment. Plants 2022, 11, 1825. [Google Scholar] [CrossRef] [PubMed]
- Huang, S.; Ding, W.; Yang, J.; Zhang, J.; Ullah, S.; Xu, X.; Liu, Y.; Yang, Y.; Liu, M.; He, P.; et al. Estimation of Nitrogen Supply for Winter Wheat Production through a Long-Term Field Trial in China. J. Environ. Manag. 2020, 270, 110929. [Google Scholar] [CrossRef] [PubMed]





| Fertilizer Treatment | Grain Yield (t ha−1) |
|---|---|
| Control | 5.0 ± 0.2 A |
| PK | 5.6 ± 0.3 AB |
| NPK1 | 6.4 ± 0.3 BC |
| NPK2 | 6.6 ± 0.3 BC |
| NPK3 | 6.9 ± 0.3 C |
| Wheat Variety | Grain Yield (t ha−1) |
|---|---|
| Slavia (1979–1982) | 5.8 ± 0.2 B |
| Vega (1995–1998) | 4.3 ± 0.2 A |
| Contra (2004–2006) | 7.8 ± 0.2 C |
| Mulan (2001–2014) | 7.1 ± 0.3 C |
| Quadratic Model | Quadratic-Plateau Model | |
|---|---|---|
| Slavia | 99 kg ha−1 N–6.4 t ha−1 | 64 kg ha−1 N–6.3 t ha−1 |
| Vega | 86 kg ha−1 N–4.9 t ha−1 | 50 kg ha−1 N–4.8 t ha−1 |
| Contra | Not applicable | Not applicable |
| Mulan | 111 kg ha−1 N–8.1 t ha−1 | 107 kg ha−1 N–8.1 t ha−1 |
Disclaimer/Publisher’s Note: The statements, opinions and data contained in all publications are solely those of the individual author(s) and contributor(s) and not of MDPI and/or the editor(s). MDPI and/or the editor(s) disclaim responsibility for any injury to people or property resulting from any ideas, methods, instructions or products referred to in the content. |
© 2023 by the authors. Licensee MDPI, Basel, Switzerland. This article is an open access article distributed under the terms and conditions of the Creative Commons Attribution (CC BY) license (https://creativecommons.org/licenses/by/4.0/).
Share and Cite
Hlisnikovský, L.; Menšík, L.; Barłóg, P.; Kunzová, E. How Weather and Fertilization Affected Grain Yield and Stability of Winter Wheat in a Long-Term Trial in the South Moravian Region, Czech Republic. Agronomy 2023, 13, 2293. https://doi.org/10.3390/agronomy13092293
Hlisnikovský L, Menšík L, Barłóg P, Kunzová E. How Weather and Fertilization Affected Grain Yield and Stability of Winter Wheat in a Long-Term Trial in the South Moravian Region, Czech Republic. Agronomy. 2023; 13(9):2293. https://doi.org/10.3390/agronomy13092293
Chicago/Turabian StyleHlisnikovský, Lukáš, Ladislav Menšík, Przemysław Barłóg, and Eva Kunzová. 2023. "How Weather and Fertilization Affected Grain Yield and Stability of Winter Wheat in a Long-Term Trial in the South Moravian Region, Czech Republic" Agronomy 13, no. 9: 2293. https://doi.org/10.3390/agronomy13092293
APA StyleHlisnikovský, L., Menšík, L., Barłóg, P., & Kunzová, E. (2023). How Weather and Fertilization Affected Grain Yield and Stability of Winter Wheat in a Long-Term Trial in the South Moravian Region, Czech Republic. Agronomy, 13(9), 2293. https://doi.org/10.3390/agronomy13092293

