Analysis of Cross-Influence of Microclimate, Lighting, and Soil Parameters in the Vertical Farm
Abstract
:1. Introduction
2. Materials and Methods
3. Results and Discussion
3.1. Analysis of the Dependence of Soil Moisture Content and Carbon Dioxide Concentration on Time
3.2. Analysis of the Results of Training Predictive Models
- R2 coefficient of determination (adjusted);
- Mean Absolute Error (MAE);
- Mean Absolute Percentage Error (MAPE).
4. Conclusions
- Based on the correlation and Fourier analysis of the dependencies of soil moisture and carbon dioxide concentration on time, the correlation of these parameters was revealed with a correlation coefficient of 0.42. The best correlation was observed by shifting the CO2 concentration dependence relative to the soil moisture content dependence by 56 h. This effect can be explained by the increased intensity of the photosynthesis process when water is supplied to the plant, which leads to a delayed increase in carbon dioxide absorption intensity.
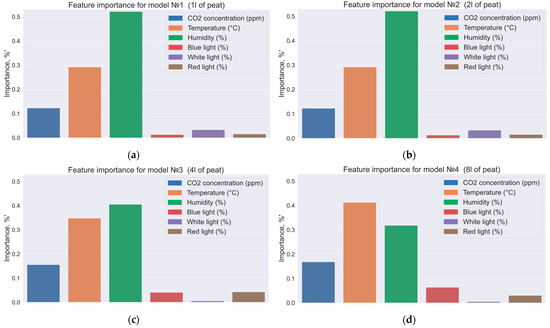
- Applying multiple regression analysis to identify the factors that influence the intensity of photosynthesis in potatoes and thus the intensity of tuber formation, the following pattern was discovered: increasing peat content within the substrate shifts the focus from the dominant effect of atmospheric humidity on substrate moisture to the effect of air temperature on substrate moisture. Moreover, the effect of lighting on soil moisture content is relatively negligible compared to the effects of temperature and humidity.
Author Contributions
Funding
Data Availability Statement
Conflicts of Interest
Appendix A


Appendix B



| Title 1 | Blue Light | Blue Light | Red Light |
|---|---|---|---|
| Correlation of light spectrum areas and CO2 concentration | 0.18 | 0.34 | 0.39 |
| Correlation of light spectrum areas and soil moisture | 0.28 | 0.34 | 0.30 |
| Correlation of light spectrum areas and air moisture | −0.07 | −0.34 | 0.56 |
| Correlation of light spectrum areas and air temperature | 0.17 | 0.44 | 0.50 |

References
- Nations, U. Day of 8 Billion. Available online: https://www.un.org/dayof8billion (accessed on 14 July 2023).
- World Population Prospects 2022: Summary of Results | Population Division. Available online: https://www.un.org/development/desa/pd/content/World-Population-Prospects-2022 (accessed on 14 July 2023).
- Nations, U. 2018 Revision of World Urbanization Prospects. Available online: https://www.un.org/en/desa/2018-revision-world-urbanization-prospects (accessed on 14 July 2023).
- Li, M.; Verburg, P.H.; van Vliet, J. Global trends and local variations in land take per person. Landsc. Urban Plan. 2022, 218, 104308. [Google Scholar] [CrossRef]
- Anderson, R.; Bayer, P.E.; Edwards, D. Climate Change and the Need for Agricultural Adaptation. Curr. Opin. Plant Biol. 2020, 56, 197–202. [Google Scholar] [CrossRef] [PubMed]
- Fanin, N.; Mooshammer, M.; Sauvadet, M.; Meng, C.; Alvarez, G.; Bernard, L.; Bertrand, I.; Blagodatskaya, E.; Bon, L.; Fontaine, S.; et al. Soil enzymes in response to climate warming: Mechanisms and feedbacks. Funct. Ecol. 2022, 36, 1378–1395. [Google Scholar] [CrossRef]
- Nikolaou, G.; Neocleous, D.; Christou, A.; Kitta, E.; Katsoulas, N. Implementing Sustainable Irrigation in Water-Scarce Regions under the Impact of Climate Change. Agronomy 2020, 10, 1120. [Google Scholar] [CrossRef]
- Abbas, S. Climate change and major crop production: Evidence from Pakistan. Environ. Sci. Pollut. Res. 2022, 29, 5406–5414. [Google Scholar] [CrossRef] [PubMed]
- Song, Y.; Wang, C.; Linderholm, H.W.; Fu, Y.; Cai, W.; Xu, J.; Zhuang, L.; Wu, M.; Shi, Y.; Wang, G.; et al. The negative impact of increasing temperatures on rice yields in southern China. Sci. Total Environ. 2022, 820, 153262. [Google Scholar] [CrossRef] [PubMed]
- He, W.; Chen, W.; Chandio, A.A.; Zhang, B.; Jiang, Y. Does Agricultural Credit Mitigate the Effect of Climate Change on Cereal Production? Evidence from Sichuan Province, China. Atmosphere 2022, 13, 336. [Google Scholar] [CrossRef]
- Malhi, G.S.; Kaur, M.; Kaushik, P. Impact of Climate Change on Agriculture and Its Mitigation Strategies: A Review. Sustainability 2021, 13, 1318. [Google Scholar] [CrossRef]
- Siregar, R.R.A.; Seminar, K.B.; Wahjuni, S.; Santosa, E. Vertical Farming Perspectives in Support of Precision Agriculture Using Artificial Intelligence: A Review. Computers 2022, 11, 135. [Google Scholar] [CrossRef]
- Watawana, B.; Isaksson, M. Design and Simulations of a Self-Assembling Autonomous Vertical Farm for Urban Farming. Agriculture 2022, 13, 112. [Google Scholar] [CrossRef]
- Rumiantsev, B.; Dzhatdoeva, S.; Zotov, V.; Kochkarov, A. Analysis of the Potato Vegetation Stages Based on the Dynamics of Water Consumption in the Closed Urban Vertical Farm with Automated Microclimate Control. Agronomy 2023, 13, 954. [Google Scholar] [CrossRef]
- Grochulska-Salak, M.; Nowysz, A.; Tofiluk, A. Sustainable Urban Agriculture as Functional Hybrid Unit—Issues of Urban Resilience. Buildings 2021, 11, 462. [Google Scholar] [CrossRef]
- Wang, Z.J.; Liu, H.; Zeng, F.K.; Yang, Y.C.; Xu, D.; Zhao, Y.C.; Liu, X.F.; Lovedeep, K.; Liu, G.; Singh, J. Potato processing industry in China: Current scenario, future trends and global impact. Potato Res. 2023, 66, 543–562. [Google Scholar] [CrossRef] [PubMed]
- Tang, D.; Jia, Y.; Zhang, J.; Li, H.; Cheng, L.; Wang, P.; Bao, Z.; Liu, Z.; Feng, X.Z.; Li, D.; et al. Genome evolution and diversity of wild and cultivated potatoes. Nature 2022, 606, 535–541. [Google Scholar] [CrossRef] [PubMed]
- Bvenura, C.; Witbooi, H.; Kambizi, L. Pigmented Potatoes: A Potential Panacea for Food and Nutrition Security and Health? Foods 2022, 11, 175. [Google Scholar] [CrossRef]
- Khorramifar, A.; Rasekh, M.; Karami, H.; Covington, J.A.; Derakhshani, S.M.; Ramos, J.; Gancarz, M. Application of MOS gas sensors coupled with chemometrics methods to predict the amount of sugar and carbohydrates in potatoes. Molecules 2022, 27, 3508. [Google Scholar] [CrossRef]
- Danielescu, S.; MacQuarrie, K.T.B.; Zebarth, B.; Nyiraneza, J.; Grimmett, M.; Levesque, M. Crop Water Deficit and Supplemental Irrigation Requirements for Potato Production in a Temperate Humid Region (Prince Edward Island, Canada). Water 2022, 14, 2748. [Google Scholar] [CrossRef]
- Xing, Y.; Zhang, T.; Jiang, W.; Li, P.; Shi, P.; Xu, G.; Cheng, S.; Cheng, Y.; Zhang, F.; Wang, X. Effects of irrigation and fertilization on different potato varieties growth, yield and resources use efficiency in the Northwest China. Agric. Water Manag. 2022, 261, 107351. [Google Scholar]
- Adekanmbi, T.; Wang, X.; Basheer, S.; Nawaz, R.A.; Pang, T.; Hu, Y.; Liu, S. Assessing Future Climate Change Impacts on Potato Yields—A Case Study for Prince Edward Island, Canada. Foods 2023, 12, 1176. [Google Scholar] [CrossRef] [PubMed]
- Lee, Y.H.; Sang, W.G.; Baek, J.K.; Kim, J.H.; Shin, P.; Seo, M.C.; Cho, J.I. The effect of concurrent elevation in CO2 and temperature on the growth, photosynthesis, and yield of potato crops. PLoS ONE 2020, 15, e0241081. [Google Scholar] [CrossRef]
- Nasir, M.W.; Toth, Z. Effect of Drought Stress on Potato Production: A Review. Agronomy 2022, 12, 635. [Google Scholar] [CrossRef]
- Xu, J.M.; Liu, Y.; Liu, M.X.; Xu, Z.G. Proteomic, Physiological, and Anatomical Analyses Reveal the Effects of Red, Blue, and White Light on the Growth of Potato Plantlets under In Vitro Culture. Russ. J. Plant Physiol. 2022, 69, 139. [Google Scholar] [CrossRef]
- Stockem, J.E.; de Vries, M.E.; Struik, P.C. Shedding light on a hot topic: Tuberisationin potato. Ann. Appl. Biol. 2023, 183, 170–180. [Google Scholar] [CrossRef]
- Chen, L.L.; Zhang, K.; Gong, X.C.; Wang, H.Y.; Gao, Y.H.; Wang, X.Q.; Zeng, Z.H.; Hu, Y.G. Effects of different LEDs light spectrum on the growth, leaf anatomy, and chloroplast ultrastructure of potato plantlets in vitro and minituber production after transplanting in the greenhouse. J. Integr. Agric. 2020, 19, 108–119. [Google Scholar] [CrossRef]
- Xu, J.; Yan, Z.; Xu, Z.; Wang, Y.; Xie, Z. Transcriptome analysis and physiological responses of the potato plantlets in vitro under red, blue, and white light conditions. 3 Biotech. 2018, 8, 394. [Google Scholar] [CrossRef] [PubMed]
- Gruda, N.S. Increasing Sustainability of Growing Media Constituents and Stand-Alone Substrates in Soilless Culture Systems. Agronomy 2019, 9, 298. [Google Scholar] [CrossRef]
- Brown, P.H.; Zhao, F.-J.; Dobermann, A. What is a plant nutrient? Changing definitions to advance science and innovation in plant nutrition. Plant Soil 2022, 476, 11–23. [Google Scholar] [CrossRef]
- Choi, J.M.; Lee, C.W.; Chun, J.-P. Optimization of substrate formulation and mineral nutrition during the production of vegetable seedling grafts. Hortic. Environ. Biotechnol. 2012, 53, 212–221. [Google Scholar] [CrossRef]
- Liu, W.; Liu, X.; Di, X.; Qi, H. A novel network intrusion detection algorithm based on Fast Fourier Transformation. In Proceedings of the 2019 1st International Conference on Industrial Artificial Intelligence (IAI), Shenyang, China, 23–27 July 2019. [Google Scholar] [CrossRef]
- Beck, M.S. Correlation in instruments: Cross correlation flowmeters. J. Phys. E Sci. Instrum. 1981, 14, 7. [Google Scholar] [CrossRef]
- Chicco, D.; Warrens, M.J.; Jurman, G. The coefficient of determination R-squared is more informative than SMAPE, MAE, MAPE, MSE and RMSE in regression analysis evaluation. PeerJ Comput. Sci. 2021, 7, e623. [Google Scholar] [CrossRef]
- Chaddock, R.E. Principles and Methods of Statistics; Houghton Mifflin: Boston, MA, USA, 1925. [Google Scholar]
- Dogutan, D.K.; Nocera, D.G. Artificial Photosynthesis at Efficiencies Greatly Exceeding That of Natural Photosynthesis. Acc. Chem. Res. 2019, 52, 3143–3148. [Google Scholar] [CrossRef] [PubMed]
- Zhou, J.; Li, P.; Wang, J. Effects of Light Intensity and Temperature on the Photosynthesis Characteristics and Yield of Lettuce. Horticulturae 2022, 8, 178. [Google Scholar] [CrossRef]
- Therby-Vale, R.; Lacombe, B.; Rhee, S.Y.; Nussaume, L.; Rouached, H. Mineral Nutrient Signaling Controls Photosynthesis: Focus on Iron Deficiency-Induced Chlorosis. Trends Plant Sci. 2022, 27, 502–509. [Google Scholar] [CrossRef] [PubMed]
- Lennartz, B.; Liu, H. Hydraulic functions of peat soils and ecosystem service. Front. Environ. Sci. 2019, 7, 92. [Google Scholar] [CrossRef]
- Gnatowski, T.; Ostrowska-Ligęza, E.; Kechavarzi, C.; Kurzawski, G.; Szatyłowicz, J. Heat Capacity of Drained Peat Soils. Appl. Sci. 2022, 12, 1579. [Google Scholar] [CrossRef]
- Monteverde, S.; Healy, M.G.; O’Leary, D.; Daly, E.; Callery, O. Management and rehabilitation of peatlands: The role of water chemistry, hydrology, policy, and emerging monitoring methods to ensure informed decision making. Ecol. Inform. 2022, 69, 101638. [Google Scholar] [CrossRef]
- Liu, H.; Rezanezhad, F.; Lennartz, B. Impact of land management on available water capacity and water storage of peatlands. Geoderma 2022, 406, 115521. [Google Scholar] [CrossRef]
- Chapman, H.W. Absorption of CO2 by Leaves of the Potato. Am. Potato J. 1951, 28, 602–615. [Google Scholar] [CrossRef]
- Tan, L.; Liu, P.; She, C.; Xu, P.; Yan, L.; Quan, H. Research on Heat Dissipation of Multi-Chip LED Filament Package. Micromachines 2021, 13, 77. [Google Scholar] [CrossRef]





| Neutralized Peat Content, Liter | Substrate Components Content (Swollen Vermiculite: Universal Soil), Liter |
|---|---|
| 1 | 13:2 |
| 2 | 12:2 |
| 4 | 10:2 |
| 8 | 6:2 |
| Crop | Variety | Step | Duration, Days | Blue, % | White,% | Red, % | Turn-On Time | Turn-Off Time | PAR, µmol/(s·m2) |
|---|---|---|---|---|---|---|---|---|---|
| Potato | Innovator | 1 | Sep 20–Sep 29 | 0 | 0 | 0 | 0:00 | 0:00 | 0 |
| 2 | Sep 30–Oct 24 | 30 | 70 | 0 | 8:00 | 22:00 | 220 | ||
| 3 | Oct 25–Nov 8 | 0 | 70 | 50 | 8:00 | 22:00 | 232 | ||
| 4 | Nov 9–Nov 28 | 30 | 70 | 50 | 8:00 | 22:00 | 299 | ||
| 5 | Nov 29–Dec 9 | 30 | 70 | 0 | 8:00 | 22:00 | 220 |
| Performance Metric | Model No 1 “1 L of Peat” | Model No 2 “2 L of Peat” | Model No 3 “4 L of Peat” | Model No 4 “8 L of Peat” |
|---|---|---|---|---|
| R2 | 0.821 | 0.788 | 0.771 | 0.749 |
| MAE | 4.67 | 4.90 | 5.19 | 4.86 |
| MAPE | 0.46 | 0.56 | 0.79 | 1.78 |
| Training time | 1 min. 19 s. | 1 min. 20 s. | 1 min. 25 s. | 1 min. 21 s. |
Disclaimer/Publisher’s Note: The statements, opinions and data contained in all publications are solely those of the individual author(s) and contributor(s) and not of MDPI and/or the editor(s). MDPI and/or the editor(s) disclaim responsibility for any injury to people or property resulting from any ideas, methods, instructions or products referred to in the content. |
© 2023 by the authors. Licensee MDPI, Basel, Switzerland. This article is an open access article distributed under the terms and conditions of the Creative Commons Attribution (CC BY) license (https://creativecommons.org/licenses/by/4.0/).
Share and Cite
Kamenchuk, V.; Rumiantsev, B.; Dzhatdoeva, S.; Sadykhov, E.; Kochkarov, A. Analysis of Cross-Influence of Microclimate, Lighting, and Soil Parameters in the Vertical Farm. Agronomy 2023, 13, 2174. https://doi.org/10.3390/agronomy13082174
Kamenchuk V, Rumiantsev B, Dzhatdoeva S, Sadykhov E, Kochkarov A. Analysis of Cross-Influence of Microclimate, Lighting, and Soil Parameters in the Vertical Farm. Agronomy. 2023; 13(8):2174. https://doi.org/10.3390/agronomy13082174
Chicago/Turabian StyleKamenchuk, Victoria, Boris Rumiantsev, Sofya Dzhatdoeva, Elchin Sadykhov, and Azret Kochkarov. 2023. "Analysis of Cross-Influence of Microclimate, Lighting, and Soil Parameters in the Vertical Farm" Agronomy 13, no. 8: 2174. https://doi.org/10.3390/agronomy13082174
APA StyleKamenchuk, V., Rumiantsev, B., Dzhatdoeva, S., Sadykhov, E., & Kochkarov, A. (2023). Analysis of Cross-Influence of Microclimate, Lighting, and Soil Parameters in the Vertical Farm. Agronomy, 13(8), 2174. https://doi.org/10.3390/agronomy13082174

