Effects of Pedoclimate and Agronomical Management on Yield and Quality of Common Wheat Varieties (Triticum aestivum L.) in Afghanistan
Abstract
:1. Introduction
2. Materials and Methods
2.1. Experimental Fields’ Set-Up
2.2. Analysis of Kernel and Dough
2.3. Statistical Analysis
3. Results
3.1. Meteorology Data
3.2. Agronomic Parameters
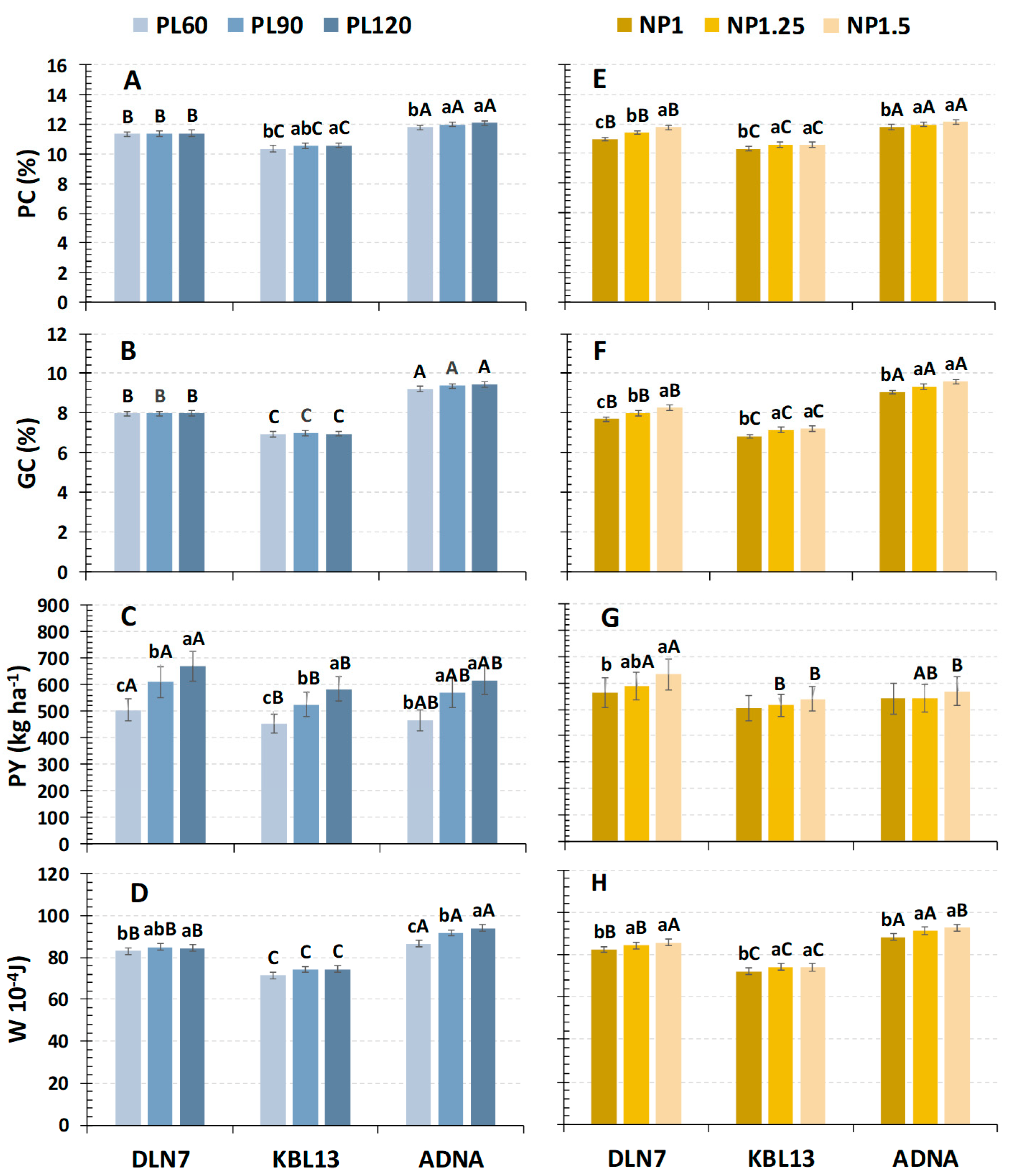
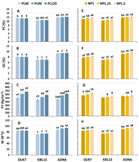
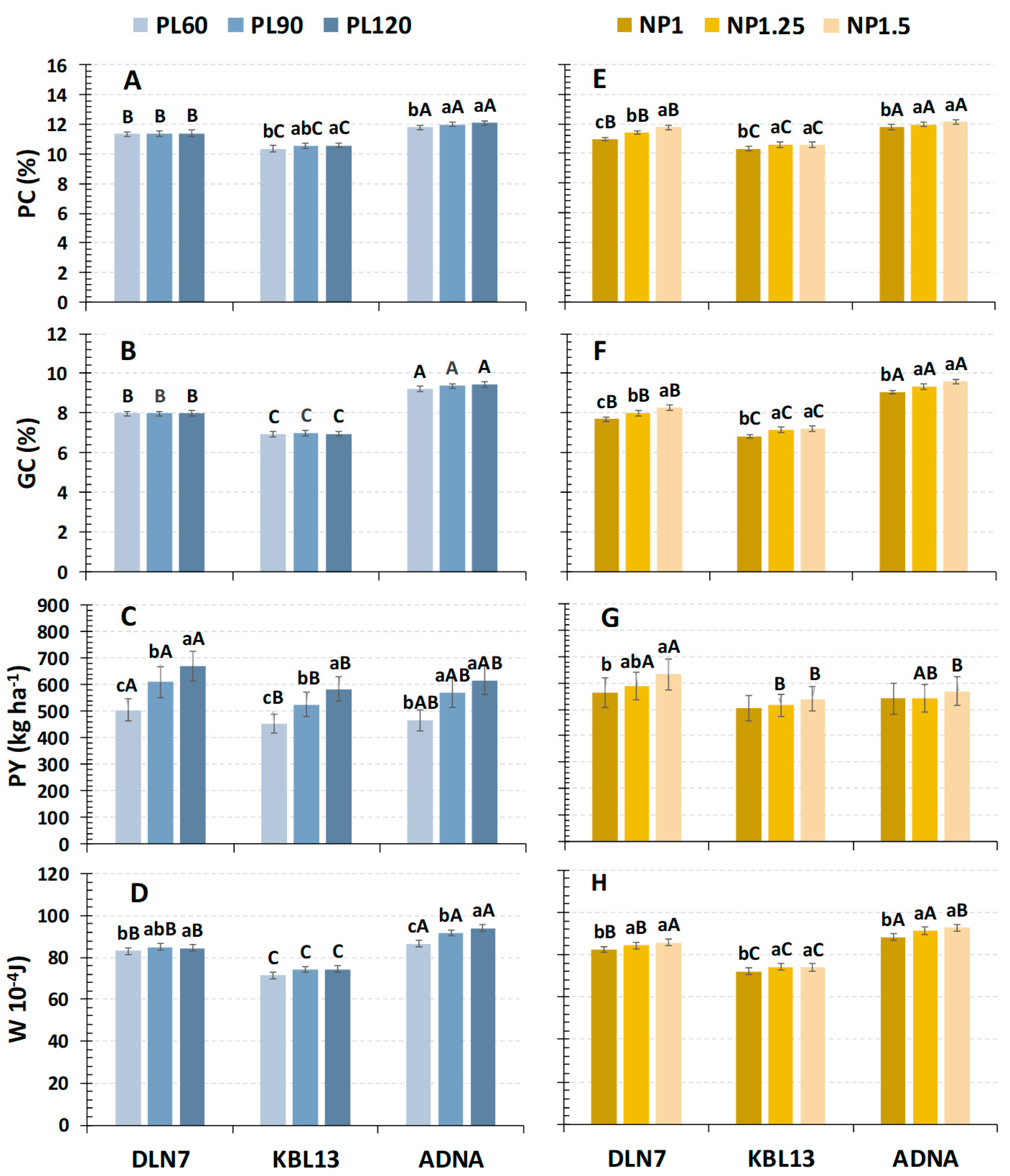
3.3. Protein, Starch, and Alveograph Parameters
4. Discussion
5. Conclusions
Author Contributions
Funding
Acknowledgments
Conflicts of Interest
References
- World Bank Group Afghanistan. Agricultural Sector Review: Revitalizing Agriculture for Economic Growth, Job Creation, and Food Security; World Bank: Washington, DC, USA, 2014. [Google Scholar]
- Muradi, A.J.; Boz, I. The Contribution of Agriculture Sector in the Economy of Afghanistan. Int. J. Sci. Res. Manag. 2018, 6, 2321–3418. [Google Scholar] [CrossRef]
- IRA Islamic Republic of Afghanistan. Afghanistan National Development Strategy 1387–1391 (2008–2013); International Monetary Fund: Washington, DC, USA, 2008. [Google Scholar]
- Samim, S.; Hu, Z.; Yu, W. Assessment of Cereal Self-Sufficiency and Food Balance Projection in Afghanistan. Preprints 2021, 2021040159. [Google Scholar] [CrossRef]
- MAIL. National Comprehensive Agriculture Development Priority Program 2016–2020; MAIL: Kabul, Afghanistan, 2016. [Google Scholar]
- Poole, N.; Sharma, R.; Nemat, O.A.; Trenchard, R.; Scanlon, A.; Davy, C.; Ataei, N.; Donovan, J.; Bentley, A.R. Sowing the Wheat Seeds of Afghanistan’s Future. Plants People Planet 2022, 4, 423–431. [Google Scholar] [CrossRef]
- MAIL. Wheat Sector Development Program of Afghanistan; MAIL: Kabul, Afghanistan, 2013. [Google Scholar]
- Elrashidi, M.A.; West, L.T.; Smith, C. Phosphorus Availability and Release Characteristics for Irrigated Cropland in Afghanistan. Soil Sci. 2012, 177, 251–262. [Google Scholar] [CrossRef]
- Sharma, R.; Nang, M. Afghanistan Wheat Seed Scenario: Status and Imperatives. Int. J. Agric. Policy Res. 2018, 6, 71–75. [Google Scholar] [CrossRef]
- Kazimi, Z.; Rasekh, M.E.; Hashemi, S.R.; Hashimi, S.J. Wheat Market Instability in Afghanistan: A Case Study of Kabul, Mazar-e-Sharif, Bamyan and Ghor Provinces. Int. J. Environ. Rural. Dev. 2018, 9, 122–127. [Google Scholar]
- ARIA. Best Practices in Wheat Production. Zone-Specific Recommendations for: CENTRAL REGION Irrigated and Rainfed Systems; ARIA: Kabul, Afghanistan, 2022. [Google Scholar]
- Soofizada, Q. Wheat Manual: Recommended Agronomical Practices for Wheat Cultivation in Afghanistan; MAIL: Kabul, Afghanistan, 2018. [Google Scholar]
- Zörb, C.; Ludewig, U.; Hawkesford, M.J. Perspective on Wheat Yield and Quality with Reduced Nitrogen Supply. Trends Plant Sci. 2018, 23, 1029–1037. [Google Scholar] [CrossRef]
- Igrejas, G.; Ikeda, T.M.; Guzmán, C. Wheat Quality for Improving Processing and Human Health; Springer: Berlin/Heidelberg, Germany, 2020; p. 557. [Google Scholar]
- Stępień, A.; Wojtkowiak, K. Evaluation of the Effect of Different Levels of Nitrogen and Manganese Fertiliser on the Yield, Macronutrient Content and Technological Properties of Winter Wheat. J. Elem. 2019, 24, 661–675. [Google Scholar] [CrossRef]
- Tóth, B.; van Biljon, A.; Labuschagne, M. Influence of Low Soil Nitrogen and Phosphorus on Gluten Polymeric and Monomeric Protein Distribution in Two High Quality Spring Wheat Cultivars. J. Cereal Sci. 2020, 91, 102867. [Google Scholar] [CrossRef]
- Ni, Y.; Wang, Z.; Yin, Y.; Li, W.; Yan, S.; Cai, T. Starch Granule Size Distribution in Wheat Grain in Relation to Phosphorus Fertilization. J. Agric. Sci. 2012, 150, 45–52. [Google Scholar] [CrossRef]
- Kizilgeci, F. Physiological, Agronomical and Quality Response of Bread Wheat to Phosphorus Application under Dryland Condition. Appl. Ecol. Env. Res. 2019, 17, 1979–1987. [Google Scholar] [CrossRef]
- Peng, Y.; Zhao, Y.; Yu, Z.; Zeng, J.; Xu, D.; Dong, J.; Ma, W. Wheat Quality Formation and Its Regulatory Mechanism. Front. Plant Sci. 2022, 13, 834654. [Google Scholar] [CrossRef] [PubMed]
- Asthir, B.; Jain, D.; Kaur, B.; Bain, N.S. Effect of Nitrogen on Starch and Protein Content in Grain Influence of Nitrogen Doses on Grain Starch and Protein Accumulation in Diversified Wheat Genotypes. J. Environ. Biol. 2017, 38, 427–433. [Google Scholar] [CrossRef]
- Soofizada, Q.; Pescatore, A.; Atefi, R.; Grassi, C.; Orlandini, S.; Napoli, M. Evaluation of Nitrogen and Phosphorus Responses on Yield, Quality and Economic Advantage of Winter Wheat (Triticum aestivum L.) under Four Different Agro-Climatic Zones in Afghanistan. Agronomy 2023, 13, 345. [Google Scholar] [CrossRef]
- Salazar-Gutierrez, M.R.; Johnson, J.; Chaves-Cordoba, B.; Hoogenboom, G. Relationship of Base Temperature to Development of Winter Wheat. Int. J. Plant Prod. 2013, 7, 741–762. [Google Scholar] [CrossRef]
- Grassi, C.; Cecchi, S.; Baldi, A.; Zanchi, C.A.; Orlandini, S.; Pardini, A.; Napoli, M. Crop Suitability Assessment in Remediation of Zn Contaminated Soil. Chemosphere 2020, 246, 125706. [Google Scholar] [CrossRef]
- Fabbri, C.; Mancini, M.; Dalla Marta, A.; Orlandini, S.; Napoli, M. Integrating Satellite Data with a Nitrogen Nutrition Curve for Precision Top-Dress Fertilization of Durum Wheat. Eur. J. Agron. 2020, 120, 126148. [Google Scholar] [CrossRef]
- Niane, A.A.; Bishaw, Z.; Kugbei, S.; Aria, A.Z.; Wahed, A.; Sherzad, F.; Ahmad, G.; Zadda, Z.A. National Catalogue of Wheat Varieties in Afghanistan; FAO: Rome, Italy; ICARDA: Aleppo, Syria, 2011. [Google Scholar]
- Favre, R. Review of the Wheat Seed Sector in Afghanistan. Implications for Seed Programming and Regulatory Frameworks; AIZON: Addis Abeba, Ethiopia, 2004. [Google Scholar]
- Kugbei, S. Efficiency of Wheat Seed Production and Crop Diversification in Afghanistan. J. Crop Improv. 2011, 25, 191–201. [Google Scholar] [CrossRef]
- Jilani, A.; Pearce, D.; Bailo, F. ACIAR Wheat and Maize Projects in Afghanistan; ACIAR Impact Assessment Series Report No. 85; ACIAR: Canberra, Australia, 2013.
- Guerrini, L.; Napoli, M.; Mancini, M.; Masella, P.; Cappelli, A.; Parenti, A.; Orlandini, S. Wheat Grain Composition, Dough Rheology and Bread Quality as Affected by Nitrogen and Sulfur Fertilization and Seeding Density. Agronomy 2020, 10, 233. [Google Scholar] [CrossRef]
- Soofizada, Q.; Pescatore, A.; Guerrini, L.; Fabbri, C.; Mancini, M.; Orlandini, S.; Napoli, M. Effects of Nitrogen plus Sulfur Fertilization and Seeding Density on Yield, Rheological Parameters, and Asparagine Content in Old Varieties of Common Wheat (Triticum aestivum L.). Agronomy 2022, 12, 351. [Google Scholar] [CrossRef]
- Cammerata, A.; Laddomada, B.; Milano, F.; Camerlengo, F.; Bonarrigo, M.; Masci, S.; Sestili, F. Qualitative Characterization of Unrefined Durum Wheat Air-Classified Fractions. Foods 2021, 10, 2817. [Google Scholar] [CrossRef] [PubMed]
- Wang, Z.; Ma, S.; Li, L.; Huang, J. Effect of Wheat Bran Dietary Fiber on Structural Properties and Hydrolysis Behavior of Gluten after Synergistic Fermentation of Lactobacillus Plantarum and Saccharomyces Cerevisiae. Front. Nutr. 2022, 9, 982878. [Google Scholar] [CrossRef] [PubMed]
- Qutbudin, I.; Shiru, M.S.; Sharafati, A.; Ahmed, K.; Al-Ansari, N.; Yaseen, Z.M.; Shahid, S.; Wang, X. Seasonal Drought Pattern Changes Due to Climate Variability: Case Study in Afghanistan. Water 2019, 11, 1096. [Google Scholar] [CrossRef]
- ICARDA. Needs Assessment on Soil and Water in Afghanistan; ICARDA: Beirut, Lebanon, 2002. [Google Scholar]
- Hashimi, R.; Matsuura, E.; Komatsuzaki, M. Effects of Cultivating Rice and Wheat with and without Organic Fertilizer Application on Greenhouse Gas Emissions and Soil Quality in Khost, Afghanistan. Sustainability 2020, 12, 6508. [Google Scholar] [CrossRef]
- Man, J.; Shi, Y.; Yu, Z.; Zhang, Y. Root Growth, Soil Water Variation, and Grain Yield Response of Winter Wheat to Supplemental Irrigation. Plant Prod. Sci. 2016, 19, 193–205. [Google Scholar] [CrossRef]
- Latief, A.; Al-Ghzawi, A.; Khalaf, Y.B.; Al-Ajlouni, Z.I.; Al-Quraan, N.A.; Musallam, I.; Hani, N.B. The Effect of Supplemental Irrigation on Canopy Temperature Depression, Chlorophyll Content, and Water Use Efficiency in Three Wheat (Triticum aestivum L. and T. durum Desf.) Varieties Grown in Dry Regions of Jordan. Agriculture 2018, 8, 67. [Google Scholar] [CrossRef]
- Sun, Y.; Chen, X.; Shan, J.; Xian, J.; Cao, D.; Luo, Y.; Yao, R.; Zhang, X. Nitrogen Mitigates Salt Stress and Promotes Wheat Growth in the Yellow River Delta, China. Water 2022, 14, 3819. [Google Scholar] [CrossRef]
- Zhang, R.; Li, C.; Fu, K.; Li, C.; Li, C. Phosphorus Alters Starch Morphology and Gene Expression Related to Starch Biosynthesis and Degradation in Wheat Grain. Front. Plant Sci. 2018, 8, 292134. [Google Scholar] [CrossRef]
- Li, C.Y.; Li, C.; Zhang, R.Q.; Liang, W. Effect of Phosphorus on the Characteristics of Starch in Winter Wheat. Starch—Stärke 2013, 65, 801–807. [Google Scholar] [CrossRef]
- Ali, M.; Asif, M.; Adnan, M.; Aziz, A.; Hayyat, M.S.; Saleem, M.W.; Hanif, M.S.; Javed, M.A.; Hassan, W.; Ali, S.M. Effect of Different Levels of Phosphorus on Growth, Yield and Quality of Wheat (Triticum aestivum L.). Int. J. Bot. Stud. 2020, 5, 64–68. [Google Scholar]
- Zhang, W.; Liu, D.; Liu, Y.; Chen, X.; Zou, C. Overuse of Phosphorus Fertilizer Reduces the Grain and Flour Protein Contents and Zinc Bioavailability of Winter Wheat (Triticum aestivum L.). J. Agric. Food Chem. 2017, 65, 1473–1482. [Google Scholar] [CrossRef] [PubMed]
- Zhu, X.K.; Li, C.Y.; Jiang, Z.Q.; Huang, L.L.; Feng, C.N.; Guo, W.S.; Peng, Y.X. Responses of Phosphorus Use Efficiency, Grain Yield, and Quality to Phosphorus Application Amount of Weak-Gluten Wheat. J. Integr. Agric. 2012, 11, 1103–1110. [Google Scholar] [CrossRef]
- Ma, D.; Zhang, J.; Hou, J.; Li, Y.; Huang, X.; Wang, C.; Lu, H.; Zhu, Y.; Guo, T. Evaluation of Yield, Processing Quality, and Nutritional Quality in Different-Colored Wheat Grains under Nitrogen and Phosphorus Fertilizer Application. Crop Sci. 2018, 58, 402–415. [Google Scholar] [CrossRef]
- Brill, R.; Gardner, M.; Fettell, N.; McMullen, G. Comparison of Grain Yield and Grain Protein Concentration of Commercial Wheat Varieties; GRDC: Condobolin, Australia, 2011. [Google Scholar]
- Yang, T.; Zhou, Q.; Wang, Q.; Wang, X.; Cai, J.; Huang, M.; Jiang, D. Effects of Nitrogen Fertilizer on Quality Characteristics of Wheat with the Absence of Different Individual High-Molecular-Weight Glutenin Subunits (HMW-GSs). Int. J. Mol. Sci. 2022, 23, 2178. [Google Scholar] [CrossRef]
- Litke, L.; Gaile, Z.; Ruža, A. Effect of Nitrogen Fertilization on Winter Wheat Yield and Yield Quality. Agron. Res. 2018, 16, 500–509. [Google Scholar] [CrossRef]
- Mariem, S.B.; González-Torralba, J.; Collar, C.; Aranjuelo, I.; Morales, F. Durum Wheat Grain Yield and Quality under Low and High Nitrogen Conditions: Insights into Natural Variation in Low- and High-Yielding Genotypes. Plants 2020, 9, 1636. [Google Scholar] [CrossRef]
- Xiong, F.; Yu, X.; Zhou, L.; Zhang, J.; Jin, Y.; Li, D.; Wang, Z. Effect of Nitrogen Fertilizer on Distribution of Starch Granules in Different Regions of Wheat Endosperm. Crop J. 2014, 2, 46–54. [Google Scholar] [CrossRef]







| Location | pH | OM (%) | Av_P (mg P kg−1) | Av_K (mg K kg−1) | Tot_N (%) | Soil Texture |
|---|---|---|---|---|---|---|
| BGL | 7.9 | 1.58 | 7.2 | 135 | 0.16 | Silty loam |
| BLK | 8.3 | 1.15 | 6.2 | 120 | 0.12 | Silty loam |
| HLM | 8.2 | 1.31 | 5.6 | 132 | 0.11 | Silty loam |
| HRT | 8.4 | 0.86 | 4.5 | 118 | 0.05 | Sandy loam |
| Treatments | P Rate (kg P2O5 ha−1) | N Rate (kg N ha−1) | |
|---|---|---|---|
| PL | NP | ||
| PL60 | NP1 | 60 | 60 |
| NP1.25 | 75 | ||
| NP1.5 | 90 | ||
| PL90 | NP1 | 90 | 90 |
| NP1.25 | 113 | ||
| NP1.5 | 135 | ||
| PL120 | NP1 | 120 | 120 |
| NP1.25 | 150 | ||
| NP1.5 | 180 | ||
| Variation Source | DF | GY | SY | TKW | |||
|---|---|---|---|---|---|---|---|
| (t ha−1) | (t ha−1) | (g) | |||||
| F | sig | F | sig | F | sig | ||
| GS | 1 | 243.1 | *** | 94.5 | *** | 136.8 | *** |
| L | 3 | 995.1 | *** | 613.2 | *** | 149.6 | *** |
| Gen | 2 | 77.3 | *** | 44.1 | *** | 8.3 | *** |
| PL | 2 | 293.3 | *** | 156.9 | *** | 0.2 | ns |
| NP | 2 | 8.2 | *** | 5.9 | ** | 0 | ns |
| GS×Gen | 2 | 8.1 | *** | 1.1 | ns | 0.8 | ns |
| GS×L | 3 | 21.3 | *** | 37.6 | *** | 125.5 | *** |
| GS×NP | 2 | 6 | ** | 0.2 | ns | 0.2 | ns |
| GS×PL | 2 | 2.2 | ns | 2.5 | ns | 3.4 | * |
| L×Gen | 6 | 5.8 | *** | 10.2 | *** | 7.6 | *** |
| L×NP | 6 | 1.6 | ns | 5.7 | *** | 0.3 | ns |
| L×PL | 6 | 25.1 | *** | 10.8 | *** | 1.4 | ns |
| Gen×NP | 4 | 0.4 | ns | 1 | ns | 1.3 | ns |
| Gen×PL | 4 | 2.6 | * | 0.2 | ns | 0.8 | ns |
| PL×NP | 4 | 15.8 | *** | 13.4 | *** | 2.5 | * |
| Residuals | 432 | ||||||
| Treatments | GY (t ha−1) | SY (t ha−1) | TKW (g) | |||
|---|---|---|---|---|---|---|
| Average | sig | Average | sig | Average | sig | |
| Gen | *** | *** | *** | |||
| DLN7 | 5.26 (0.42) | a | 9.12 (0.74) | a | 39.81 (0.61) | a |
| KBL13 | 5.01 (0.39) | ab | 8.64 (0.73) | ab | 38.66 (0.57) | b |
| ZDNA | 4.62 (0.37) | b | 8.05 (0.61) | b | 38.75 (0.71) | b |
| PL (kg ha−1) | *** | *** | ns | |||
| PL60 | 4.28 (0.3) | c | 7.6 (0.59) | c | 38.97 (1.48) | |
| PL90 | 5.07 (0.41) | b | 8.61 (0.65) | b | 39.15 (1.27) | |
| PL120 | 5.54 (0.41) | a | 9.61 (0.76) | a | 39.1 (1.34) | |
| NP | ns | ns | ns | |||
| NP1:1 | 4.91 (0.42) | 8.4 (0.70) | 39.12 (1.49) | |||
| NP1.25:1 | 4.89 (0.37) | 8.63 (0.67) | 39.03 (1.33) | |||
| NP1.5:1 | 5.08 (0.39) | 8.78 (0.74) | 39.07 (1.28) | |||
| L | *** | *** | *** | |||
| BGL | 6.89 (0.36) | a | 11 (0.73) | a | 37.3 (1.11) | b |
| BLK | 4.59 (0.19) | b | 7.25 (0.39) | c | 41.67 (2.03) | a |
| HLM | 4.65 (0.28) | b | 10.04 (0.68) | b | 41.75 (0.95) | a |
| HRT | 3.73 (0.25) | c | 6.13 (0.51) | d | 35.58 (2.03) | c |
| GS | *** | *** | *** | |||
| 1st GS | 4.63 (0.35) | b | 8.15 (0.62) | b | 37.58 (1.51) | b |
| 2nd GS | 5.30 (0.35) | a | 9.06 (0.63) | a | 40.57 (0.72) | a |
| Variable Source | DF | PC (%) | PY (kg ha−1) | GC (%) | W (10−4 J) | ST (%) | STY (t ha−1) | AP (%) | AM:AP (%) | ||||||||
|---|---|---|---|---|---|---|---|---|---|---|---|---|---|---|---|---|---|
| F | sig | F | sig | F | sig | F | sig | F | sig | F | sig | F | sig | F | sig | ||
| GS | 1 | 17.50 | *** | 237.32 | *** | 23.60 | *** | 2.27 | ns | 99.58 | *** | 242.36 | *** | 144.89 | *** | 149.16 | *** |
| L | 3 | 202.12 | *** | 812.08 | *** | 238.97 | *** | 23.85 | *** | 613.25 | *** | 1030.35 | *** | 760.77 | *** | 786.41 | *** |
| Gen | 2 | 1196.43 | *** | 86.91 | *** | 6482.88 | *** | 1082.43 | *** | 2921.15 | *** | 93.57 | *** | 3096.04 | *** | 3180.02 | *** |
| PL | 2 | 21.91 | *** | 355.58 | *** | 3.35 | ns | 64.19 | *** | 342.20 | *** | 308.44 | *** | 313.74 | *** | 324.86 | *** |
| NP | 2 | 126.01 | *** | 31.43 | *** | 130.71 | *** | 39.91 | *** | 909.69 | *** | 3.88 | ns | 1063.88 | *** | 1093.22 | *** |
| GS×Gen | 2 | 0.06 | ns | 10.15 | *** | 0.38 | ns | 0.01 | ns | 11.89 | *** | 7.85 | *** | 17.06 | *** | 17.33 | *** |
| GS×L | 3 | 2.99 | * | 21.10 | *** | 3.88 | ** | 0.50 | ns | 13.10 | *** | 21.27 | *** | 24.35 | *** | 24.94 | *** |
| GS×NP | 2 | 0.15 | ns | 5.22 | ** | 0.24 | ns | 0.89 | ns | 1.67 | ns | 6.40 | ** | 4.23 | * | 3.22 | * |
| GS×PL | 2 | 2.59 | ns | 2.73 | ns | 2.87 | ns | 0.08 | ns | 3.72 | * | 2.06 | ns | 5.13 | ** | 4.85 | ** |
| L×Gen | 6 | 13.30 | *** | 6.81 | *** | 11.12 | *** | 5.24 | *** | 15.55 | *** | 5.87 | *** | 27.87 | *** | 24.81 | *** |
| L×NP | 6 | 1.94 | ns | 2.14 | * | 2.01 | ns | 0.36 | ns | 1.87 | ns | 1.48 | ns | 0.83 | ns | 1.24 | ns |
| L×PL | 6 | 0.47 | ns | 25.21 | *** | 0.61 | ns | 0.97 | ns | 1.82 | ns | 25.67 | *** | 4.00 | *** | 4.34 | *** |
| Gen×NP | 4 | 16.99 | *** | 2.63 | * | 16.53 | *** | 2.40 | * | 7.68 | *** | 0.49 | ns | 72.96 | *** | 72.46 | *** |
| Gen×PL | 4 | 3.11 | * | 2.49 | * | 2.96 | ns | 11.43 | *** | 30.45 | *** | 6.11 | ** | 183.59 | *** | 198.38 | *** |
| PL×NP | 4 | 14.19 | *** | 9.03 | *** | 16.90 | *** | 1.90 | ns | 67.37 | *** | 18.75 | *** | 22.10 | *** | 22.30 | *** |
| Residuals | 432 | ||||||||||||||||
| Variable Source | PC (%) | PY (kg ha−1) | GC (%) | W (10−4 J) | ST (%) | STY (t ha−1) | AP (%) | AM:AP (%) | ||||||||
|---|---|---|---|---|---|---|---|---|---|---|---|---|---|---|---|---|
| Average | sig | Average | sig | Average | sig | Average | sig | Average | sig | Average | sig | Average | sig | Average | sig | |
| GS | *** | *** | *** | *** | *** | *** | *** | *** | ||||||||
| DLN7 | 11.38 (0.13) | b | 594.42 (43.47) | a | 7.98 (0.09) | b | 84.17 (1.26) | b | 80.5 (0.29) | b | 4.25 (0.35) | a | 80.59 (0.22) | a | 24.10 (0.35) | c |
| KBL13 | 10.5 (0.15) | c | 520.47 (35.36) | b | 6.95 (0.10) | c | 73.35 (1.14) | c | 82.52 (0.29) | a | 4.14 (0.33) | a | 78.7 (0.22) | c | 27.07 (0.32) | a |
| ZDNA | 11.96 (0.12) | a | 550.21 (42.20) | b | 9.35 (0.10) | a | 90.69 (1.32) | a | 79.62 (0.36) | c | 3.69 (0.31) | b | 79.51 (0.22) | b | 25.78 (0.34) | b |
| PL (kg ha−1) | *** | * | ns | *** | *** | *** | *** | *** | ||||||||
| PL60 | 11.17 (0.21) | b | 474.09 (30.45) | c | 8.04 (0.26) | 80.31 (1.99) | b | 80.38 (0.37) | c | 3.45 (0.25) | c | 78.31 (0.33) | b | 26.11 (0.52) | a | |
| PL90 | 11.30 (0.2) | ab | 568.12 (41.84) | b | 8.11 (0.27) | 83.59 (2.19) | a | 80.87 (0.42) | b | 4.11 (0.34) | b | 79.58 (0.29) | ab | 25.67 (0.44) | b | |
| PL120 | 11.36 (0.21) | a | 622.89 (40.76) | a | 8.13 (0.29) | 84.31 (2.39) | a | 81.39 (0.5) | a | 4.52 (0.35) | a | 79.91 (0.25) | a | 25.16 (0.39) | c | |
| NP | *** | *** | ** | *** | *** | ns | *** | *** | ||||||||
| 1 | 11.02 (0.2) | b | 536.38 (42.46) | b | 7.91 (1.8) | b | 80.86 (2.1) | b | 81.74 (0.42) | a | 4.03 (0.36) | 80.15 (0.29) | a | 24.79 (0.45) | c | |
| 1.25 | 11.32 (0.19) | a | 548.88 (38.62) | ab | 8.12 (1.87) | ab | 83.23 (2.21) | a | 80.82 (0.4) | b | 3.96 (0.31) | 79.61 (0.27) | ab | 25.63 (0.42) | b | |
| 1.5 | 11.49 (0.21) | a | 579.84 (41.80) | a | 8.25 (1.88) | a | 84.12 (2.33) | a | 80.08 (0.41) | c | 4.08 (0.33) | 79.04 (0.25) | b | 26.53 (0.40) | a | |
| L | *** | *** | *** | *** | *** | *** | *** | *** | ||||||||
| BGL | 10.78 (0.24) | c | 740.05 (38.72) | a | 7.71 (0.31) | b | 80.62 (2.67) | b | 82.01 (0.41) | a | 5.65 (0.31) | a | 78.83 (0.25) | c | 26.88 (0.41) | a |
| BLK | 11.34 (0.18) | b | 519.60 (22.8) | b | 8.14 (0.27) | a | 82.87 (2.33) | ab | 80.74 (0.42) | b | 3.71 (0.16) | b | 79.75 (0.31) | b | 25.42 (0.48) | b |
| HLM | 11.43 (0.2) | ab | 530.59 (31.47) | b | 8.21 (0.29) | a | 83.37 (2.27) | a | 80.56 (0.46) | bc | 3.75 (0.23) | b | 79.74 (0.29) | b | 25.42 (0.44) | b |
| HRT | 11.57 (0.19) | a | 429.9 (28.15) | c | 8.32 (0.28) | a | 84.1 (2.23) | a | 80.21 (0.47) | c | 2.99 (0.21) | c | 80.09 (0.31) | a | 25.89 (0.48) | b |
| GS | *** | *** | *** | ns | *** | *** | *** | *** | ||||||||
| 2021 | 11.53 (0.19) | a | 519.54 (36.03) | b | 8.14 (0.25) | a | 82.97 (2.04) | 80.72 (0.41) | b | 3.75 (0.3) | b | 79.72 (0.28) | a | 25.46 (0.43) | b | |
| 2022 | 11.30 (0.18) | b | 590.53 (36.65) | a | 8.05 (0.25) | b | 82.51 (2.01) | 81.04 (0.39) | a | 4.30 (0.3) | a | 79.48 (0.26) | b | 25.84 (0.40) | a | |
| pH | OM (%) | AV_P (mg kg−1) | AV_K (mg kg−1) | Tot_N (%) | GDD_TGf (°C) | P_TGf (mm) | PL (kg ha−1) | NP | GY (t ha−1) | SY (t ha−1) | TKW (g) | PC (%) | PY (t ha−1) | GC (%) | ST (%) | STY (t ha−1) | AP (%) | AM:AP | W (10−4 J) | |
|---|---|---|---|---|---|---|---|---|---|---|---|---|---|---|---|---|---|---|---|---|
| pH | −0.95 *** | −0.85 *** | −0.89 *** | −0.86 *** | −0.22 *** | −0.2 *** | 0, ns | 0, ns | −0.67 *** | −0.75 *** | 0.04, ns | 0.36 *** | −0.71 *** | 0.21 *** | −0.38 *** | −0.75 *** | 0.4 *** | −0.4 *** | 0.14 *** | −0.95 *** |
| OM (%) | 1 | 0.9 *** | 0.92 *** | 0.95 *** | 0.46 *** | 0.09 * | 0, ns | 0, ns | 0.7 *** | 0.71 *** | 0.12 ** | −0.33 *** | 0.68 *** | −0.19 *** | 0.35 *** | 0.71 *** | −0.38 *** | 0.38 *** | −0.13 *** | |
| AV_P (mg kg−1) | 1 | 0.67 *** | 0.99 *** | 0.19 *** | 0.21 *** | 0, ns | 0, ns | 0.54 *** | 0.7 *** | 0.13 ** | −0.35 *** | 0.66 *** | −0.2 *** | 0.37 *** | 0.7 *** | −0.38 *** | 0.38 *** | −0.14 *** | ||
| AV_K (mg kg−1) | 1 | 0.75 *** | 0.6 *** | −0.01, ns | 0, ns | 0, ns | 0.73 *** | 0.61 *** | 0.08 * | −0.27 *** | 0.59 *** | −0.16 *** | 0.29 *** | 0.61 *** | −0.32 *** | 0.32 *** | −0.11 ** | |||
| Tot_N (%) | 1 | 0.34 *** | 0.14 *** | 0, ns | 0, ns | 0.6 *** | 0.69 *** | 0.18 *** | −0.34 *** | 0.66 *** | −0.19 *** | 0.35 *** | 0.69 *** | −0.37 *** | 0.37 *** | −0.14 *** | ||||
| GDD_TGf (°C) | 1 | −0.42 *** | 0, ns | 0, ns | 0.46 *** | 0.09 * | 0.4 *** | 0.01, ns | 0.11 ** | 0, ns | 0, ns | 0.08 * | −0.04, ns | 0.04, ns | 0, ns | |||||
| P_TGf (mm) | 1 | 0, ns | 0, ns | 0.08, ns | 0.34 *** | 0.16 *** | −0.17 *** | 0.32 *** | −0.1 * | 0.19 *** | 0.34 *** | −0.18 *** | 0.18 *** | −0.07, ns | ||||||
| PL (kg ha−1) | 1 | 0, ns | 0.3 *** | 0.34 *** | 0.01, ns | 0.1 * | 0.38 *** | 0.03, ns | 0.24 *** | 0.34 *** | 0.22 *** | −0.22 *** | 0.19 *** | |||||||
| NP | 1 | 0.06, ns | 0.05, ns | 0, ns | 0.24 *** | 0.11 ** | 0.13 *** | −0.4 *** | 0.02, ns | −0.4 *** | 0.4 *** | 0.15 *** | ||||||||
| GY (t ha−1) | 1 | 0.77 *** | 0.12 ** | −0.28 *** | 0.76 *** | −0.23 *** | 0.38 *** | 0.77 *** | −0.21 *** | 0.21 *** | −0.1 ** | |||||||||
| SY (t ha−1) | 1 | 0.07, ns | −0.39 *** | 0.97 *** | −0.3 *** | 0.51 *** | 1 *** | −0.29 *** | 0.3 *** | −0.13 *** | ||||||||||
| TKW (g) | 1 | 0, ns | 0.08 * | −0.01, ns | −0.01, ns | 0.06, ns | 0.04, ns | −0.05, ns | 0, ns | |||||||||||
| PC (%) | 1 | −0.16 *** | 0.92 *** | −0.87 *** | −0.43 *** | 0.34 *** | −0.35 *** | 0.8 *** | ||||||||||||
| PY (t ha−1) | 1 | −0.09 * | 0.32 *** | 0.95 *** | −0.23 *** | 0.23 *** | 0.07, ns | |||||||||||||
| GC (%) | 1 | −0.83 *** | −0.35 *** | 0.26 *** | −0.26 *** | 0.85 *** | ||||||||||||||
| ST (%) | 1 | 0.55 *** | −0.24 *** | 0.24 *** | −0.68 *** | |||||||||||||||
| STY (t ha−1) | 1 | −0.3 *** | 0.3 *** | −0.17 *** | ||||||||||||||||
| AP (%) | 1 | −1 *** | 0.34 *** | |||||||||||||||||
| AM:AP | 1 | −0.35 *** | ||||||||||||||||||
| W (10−4 J) | 1 |
Disclaimer/Publisher’s Note: The statements, opinions and data contained in all publications are solely those of the individual author(s) and contributor(s) and not of MDPI and/or the editor(s). MDPI and/or the editor(s) disclaim responsibility for any injury to people or property resulting from any ideas, methods, instructions or products referred to in the content. |
© 2023 by the authors. Licensee MDPI, Basel, Switzerland. This article is an open access article distributed under the terms and conditions of the Creative Commons Attribution (CC BY) license (https://creativecommons.org/licenses/by/4.0/).
Share and Cite
Soofizada, Q.; Pescatore, A.; Orlandini, S.; Napoli, M. Effects of Pedoclimate and Agronomical Management on Yield and Quality of Common Wheat Varieties (Triticum aestivum L.) in Afghanistan. Agronomy 2023, 13, 2152. https://doi.org/10.3390/agronomy13082152
Soofizada Q, Pescatore A, Orlandini S, Napoli M. Effects of Pedoclimate and Agronomical Management on Yield and Quality of Common Wheat Varieties (Triticum aestivum L.) in Afghanistan. Agronomy. 2023; 13(8):2152. https://doi.org/10.3390/agronomy13082152
Chicago/Turabian StyleSoofizada, Qudratullah, Antonio Pescatore, Simone Orlandini, and Marco Napoli. 2023. "Effects of Pedoclimate and Agronomical Management on Yield and Quality of Common Wheat Varieties (Triticum aestivum L.) in Afghanistan" Agronomy 13, no. 8: 2152. https://doi.org/10.3390/agronomy13082152
APA StyleSoofizada, Q., Pescatore, A., Orlandini, S., & Napoli, M. (2023). Effects of Pedoclimate and Agronomical Management on Yield and Quality of Common Wheat Varieties (Triticum aestivum L.) in Afghanistan. Agronomy, 13(8), 2152. https://doi.org/10.3390/agronomy13082152

