Abstract
The formation process of starch in the grain is influenced by both genetic characteristics and environmental factors, which can affect starch quality. Waxy wheat Yangnuo1 (YN1) and non-waxy wheat Yangmai15 (YM15) were subjected to heat stress at the early, medium, and late grain-filling stages using artificial intelligence temperature control. Heat stress increased the short-chain content of amylopectin in both cultivars and decreased their amylose contents. The effect of heat stress on the wheat amylopectin structure was most pronounced 16–20 days after anthesis (DAA). The crystallinity and enthalpy of starch decreased, as did the swelling potential, solubility, and transmittance, but the retrogradation degree showed an opposite trend after heat stress. Compared with YM15, YN1 exhibited superior physical and chemical properties as well as anti-aging properties of starch and consequently had greater thermal stability under heat stress due to its higher degree of branching. The most sensitive stage to heat stress for yield was 6–10 DAA, which resulted in significant decreases in grain number and 1000-grain weight, followed by 16–20 DAA, which resulted in a significant decrease only in 1000-grain weight. Our study indicated that heat stress during the early stage of grain filling resulted in a decrease in both grain weight and yield, whereas during the middle stage of grain filling, it led to a decline in starch quality, especially in non-waxy wheat.
1. Introduction
Wheat (Triticum aestivum L.) plays a major role in supplying food as it is widely cultivated in numerous countries, accounting for almost 28% of the world crop yield and 41.5% of the world cereal trade volume [1]. It serves as the primary source of calories for millions of people, and processed edibles provide about 20% of the protein and 20% of the energy demands for daily human consumption [2].
With the intensification of global climate variations, agricultural production and world food security are facing significant challenges [3]. Greenhouse gas emissions and human activities have exacerbated the process of global warming [4,5]. According to the report on global warming produced by the National Aeronautics and Space Administration (NASA), global temperature has risen by ~0.9 °C (~1.62 °F) since the industrial revolution [6]. It was also reported that the average temperature in Europe during the decade 2002–2011 was 1.3 °C higher than that of 1850–1899 [7,8]. The temperature will continue to rise in the predictable future, resulting in more direct exposure of crops to an environment where short-term extreme heat occurs frequently [9]. The heat stress circumstance is intensified when soil temperature increases owing to increased air temperature associated with descended soil moisture. Once the crop growth tolerance limit is exceeded, a tremendous negative impact on grain yield and quality will be observed [10,11].
Ram et al. (2022) have found that the optimal temperature range for the flowering and filling stages of wheat was a minimum of 12 °C during nighttime and a maximum of 24 °C during daytime. However, the actual growth temperature often exceeds 30 °C during this stage, which is not beneficial for wheat grain filling. Moreover, previous evidence indicated that wheat is highly susceptible to heat, especially during the developmental stages of flowering and grain filling [12].
In recent decades, several studies have reported that heat stress is mainly harmful to the duration and rate of grain filling [13]. Reduced photosynthesis affected by heat stress leads to a reduction in the accumulation of photosynthetic assimilates, which directly reduces the above-ground biomass and grain weight and ultimately affects the yield decline [14]. The global wheat output is expected to decline by 6% every time the temperature exceeds the optimal temperature range for wheat growth by 1 °C [15]. Experimental studies employing artificial heating also have demonstrated that a 2 °C increase in temperature resulted in wheat yield reduction ranging from 1% to 28%, while a 4 °C increase led to yield decrease ranging from 6% to 55% [12].
In wheat, starch is composed of two glucose polymers, amylose and amylopectin, which collectively constitute approximately 70% of the grain’s dry weight. As one of the most important reserve nutrients of wheat, it plays a determining role in the appearance, flavor, and nutritional value of food products. The amylose content and gelatinization characteristics of starch have a significant impact on the quality attributes of flour, while their response to heat stress during grain filling is also highly influential [16]. Additionally, amylopectin exhibited a higher susceptibility to heat stress compared to amylose. Elevated temperature during the grain-filling stage did not significantly change the amylose content of endosperm starches, but decreased the amylopectin content and changed its chain length, and the degree of modifications varied by cultivars and genotypes [17].
The structure, functional properties, and activity of key enzymes involved in starch accumulation are all negatively impacted to varying degrees by the onset time, duration, and temperature level of heat stress. Liu et al. (2017) hypothesized that the reduction in starch content could potentially be attributed to the impact of high temperature during this stage on endosperm cell division, leading to a decrease in the number of starch granules and causing damage to starch particles [18]. Numerous studies have discussed the morphology and physicochemical properties of starch, especially its ability to absorb water and gelatinize under high-temperature conditions, which are interrupted by the ratio of amylose to amylopectin and the crystalline structure [19].
In common wheat, there exist three homologous waxy genes, namely Wx-A1, Wx-B1, and Wx-D1. When these three proteins are absent in the wheat mutant, it is referred to as waxy (triple null) and the mutant contains almost 100% amylopectin [20]. Waxy starch is characterized by its ability to achieve gelatinization approximately 3 min faster at temperatures below 15 °C compared with non-waxy starch. In addition, it was characterized by higher peak viscosity and lower retrogradation (setback) viscosity. Hence, the unique structure and functional properties of waxy starch can enhance noodle quality and alter dough mixing characteristics, as well as improve bread-making quality [21].
Nowadays, there is a growing trend in the cultivation of waxy wheat and waxy wheat is susceptible to heat stress during grain filling just like non-waxy wheat. The majority of research has concentrated on the impact of heat stress on non-waxy wheat growth and yield at the filling stage. However, the differences in starch structure between waxy wheat and non-waxy wheat, and their responses to abnormal temperatures at different grain-filling periods have not been explored. We hypothesized that waxy wheat exhibits greater stability of starch quality after heat stress compared to non-waxy wheat due to its lower amylose content. Therefore, the objectives of the present study were: (1) to analyze the differences in the physicochemical properties and structural characteristics between waxy and non-waxy wheat starch; (2) to discuss the impacts of extreme heat regimes on grain quality at three different grain-filling stages; and (3) to determine the critical developmental phase for wheat grain filling in response to abnormal temperature.
2. Materials and Methods
2.1. Experimental Design
Two wheat cultivars, non-waxy wheat YM15 (42 g per 1000 grains) and waxy wheat YN1 (39.7 g per 1000 grains), were selected to be sown at the pot experiment site of Jiangsu Key Laboratory of Crop Genetics and Physiology at Yangzhou University (119°25′ E, 32°39′ N), Yangzhou, Jiangsu Province, P.R. China. Wheat was planted in a plastic pot with a wide top and narrow bottom, the top diameter and depth of which were both 26 cm, while the bottom diameter was 18 cm. Each pot was filled with 12 kg soil, containing 0.96 mg g−1 total N, 54.75 mg kg−1 available P, and 124.33 mg kg−1 available K. During the stages of wheat seeding, tillering, and elongating, a total N application rate of 1.75 g per pot was applied with 50%, 10%, and 40%, respectively, allocated to each stage; the application ratio of P2O5 and K2O for base fertilizer: jointing fertilizer was 5:5, with a total of 1.05 g per pot applied throughout the entire growth period.
Wheat was labeled at flowering and subsequently transferred to the artificial climate chamber (ACC) for heat stress treatment from 6 to 10 days after anthesis (6–10 DAA), from 16 to 20 days after anthesis (16–20 DAA), and from 26 to 30 days after anthesis (26–30 DAA). The phytotron glasshouse temperatures were regulated to 25 °C during the period from 19:00 to 07:00, and set to 35 °C between 07:00 and 19:00. The atmospheric humidity was maintained at 70.0% (±1.0%) all day long and the average light intensity was set to 800 μmol m−2s−1 during daytime. Both were controlled to replicate natural conditions. Additionally, we implemented quantitative irrigation and provided appropriate water replenishment to prevent drought stress caused by high temperatures in the ACC. During heat stress, the average maximum and minimum air temperatures of the natural conditions were 24.7 °C/8.8 °C (6–10 DAA), 24.2 °C/14.7 °C (16–20 DAA), and 26.6 °C/15.9 °C (26–30 DAA), respectively. After the completion of heat treatment, the pots were relocated back to natural environment conditions and grew together with the control plants to maturity.
2.2. Measurements
2.2.1. Yield Parameters
At maturity of the wheat plants, 5 pots were randomly selected from each repetition of each treatment for hand harvesting and recording of yield components. The spikes were threshed and air-dried outdoors until reaching a constant weight. An automated grain testing instrument (SC-G, Wanshen, China) was used to measure 1000-grain weight.
2.2.2. Starch Isolation and Contents of Compositions
The separation process of starch followed the previous method of Wang et al. (2018) with slight changes [22]. Briefly, wheat kernels (100 g) were covered with ultrapure water for two days. The softened seeds were ground using a cyclone mill machine (MX-SS1, Panasonic, Xiamen, China) until the majority of starch granules were released, and then the residue was filtered through a 100 mm sieve. The precipitate was centrifuged at a speed of 3000 r/min for 10 min, the supernatant was carefully discarded, and the yellow impurities removed from the upper layer in order to collect the starch present in the lower layer. Afterward, the starch was successively washed with anhydrous alcohol, a mixture of methanol and acetone (1:1 v/v), and centrifuged (3000 r/m, 10 min) until no impurity was detected. The starch was dried at 40 °C for 48 h until a constant weight was achieved as a backup.
The contents of amylopectin and amylose were monitored by measuring the absorbance values of the samples at 631, 480, 554, and 754 nm, respectively, with the dual-wavelength iodine binding method [23]. The sum of amylopectin and amylose was calculated as the total starch concentration.
2.2.3. Amylopectin Branch Chain Length Distribution
The distribution of amylopectin branch chain length was identified with reference to the method previously described by Liu et al. (2010) with minor modifications [24]. In a nutshell, the 20 mg sample was introduced into a 10 mL solution of sodium acetate buffer (0.01 mol/L, pH = 4.2) and boiled for 10 min. After being cooled to room temperature, the solutions were enzymatically debranched using 5000 U isoamylase (I5284, Merck KGaA, Darmstadt, Germany) and successively incubated in a thermomixer at 50 °C for 24 h and 100 °C for 10 min, and then freeze-dried. The dried debranched starch was dissolved completely in DMSO solution and stored in gel permeation chromatography (GPC) sample tubes for the determination of amylopectin chain length by GPC.
2.2.4. Starch Granule Size Distribution
The granule size characteristics of the starch were measured using a Malvern Mastersizer 2000 laser diffraction particle size analyzer (Mastersizer 2000, Malvern Panalytical, Malvern, UK). Approximately 50 mg of starch was dispensed into a 10 mL Eppendorf tube, followed by the addition of 5 mL anhydrous ethanol. The tubes were incubated at 4 °C for 1 h and vortexed every 15 min during this period. The suspension was transferred into the dispersion cup of the analyzer for particle size measurement. Starch particles were separated into A (diameter greater than 10 μm), B (diameter 2–10 μm), and C (diameter less than 2 μm) types according to particle size.
2.2.5. X-ray Diffraction (XRD)
Relative crystallinity was measured by X-ray diffraction analysis (D8 Advance, Bruker, Germany) following the method described by Wei et al. (2010) [25]. The diffractometer was set in motion using Cu-Kα radiation (λ = 0.15406 nm) under the conditions of 40 mA and 40 kV, and utilizing a scanning speed of 4°/min from 3° to 40° with a step size of 0.02°. The ratio of the crystalline area and the total diffraction area obtained by fitting the diffraction patterns with MDI.Jade 6.0 software (Materials Data Inc, Livermore, CA, USA) was the relative crystallinity (%).
2.2.6. Thermal Properties
The thermal properties were tested by a differential scanning calorimeter following the method of Wang et al. (2018) [22]. Starch (5 mg) and ultrapure water (10 μL) were added into a DuPont crucible and sealed at 4 °C overnight for balancing. With the blank crucible as the control, the temperature was increased from 20 °C to 100 °C at 10 °C min−1. The DSC parameters, including peak temperature (Tp), conclusion temperature (Tc), initial temperature (To), and gelation enthalpy (ΔH) were obtained. The gelatinized samples were refrigerated at 4 °C for 7 days prior to achieving stabilization for retrogradation determination.
2.2.7. Swelling Power, Solubility and Light Transmittance
The swelling capacity and solubility were determined according to the method of Liu et al. (2022) with slight modifications [26]. Starch (M0 (0.03–0.04 g)) and 1 mL of ultrapure water were added into a weighed 2 mL Eppendorf tube (M1 (g)) in sequence, and the solution was mixed evenly. Subsequently, the tube was shaken in a water bath at 90 °C for 1 h. The samples were subjected to centrifugation at 4000× g for 10 min. The remaining part (M2 (g)) was weighed after discarding the supernatant and finally dried at 60 °C to a constant weight (M3 (g)). The properties were calculated according to the following formula:
Solubility (%) = (M0 + M1 − M3)/M0 × 100%;
Swelling power (g/g) = (M2 − M1)/(M3 − M1).
For each sample, starch (0.20 g) was mixed with 20 mL ultrapure water to prepare a starch emulsion with a concentration of 1%. Then, the emulsion was shaken in a water bath at 90 °C for 1 h. Ultrapure water was used as a blank (transmittance 100%), and the transmittance (%) of the paste was measured with a visible spectrophotometer at a wavelength of 650 nm.
2.3. Statistical Analysis
The experiments were performed using a randomized block experimental design with three factors. All the data are shown as the mean deviation of three replicates. The data were computed and analyzed using Excel 2016, and the statistical significance was performed through an analysis of variance (ANOVA) with multiple comparisons test at p < 0.05, using SPSS version 19.0 (SPSS, IBM Statistics, New York, NY, USA).
3. Results
3.1. Grain Yield and Components
The numbers of grains per spike and 1000-grain weights of both cultivars were significantly decreased by heat stress at different periods after anthesis. Grain yield also declined significantly, especially in 6–10 DAA and 16–20 DAA (Table 1). The yields of YM15 were 6.93 g and 8.53 g per pot under heat stress in 6–10 DAA and 16–20 DAA, respectively, representing a reduction of 38.07% and 23.77% compared to the control. The yields of YN1 were 5.65 g (with a reduction of 38.79%) and 7.19 g (with a reduction of 22.10%) per pot under heat stress in 6–10 DAA and 16–20 DAA, respectively. Heat stress in 6–10 DAA had the most significant effects on the number and weight of grains, leading to the largest drop in yield, followed by 16–20 DAA, which mainly reduced grain weight. Nevertheless, grain number and grain weight were not significantly affected under heat stress from 26 to 30 DAA, and the yield decreased slightly with the reductions of 2.23%–5.85% in both cultivars.
Table 1.
Effects of heat stress imposed at different post-anthesis stages on grain yield, spike number per plant, grain number per spike, 1000-grain weight, and percentage of yield change in YM15 and YN1.
3.2. Gel Permeation Chromatography Parameters
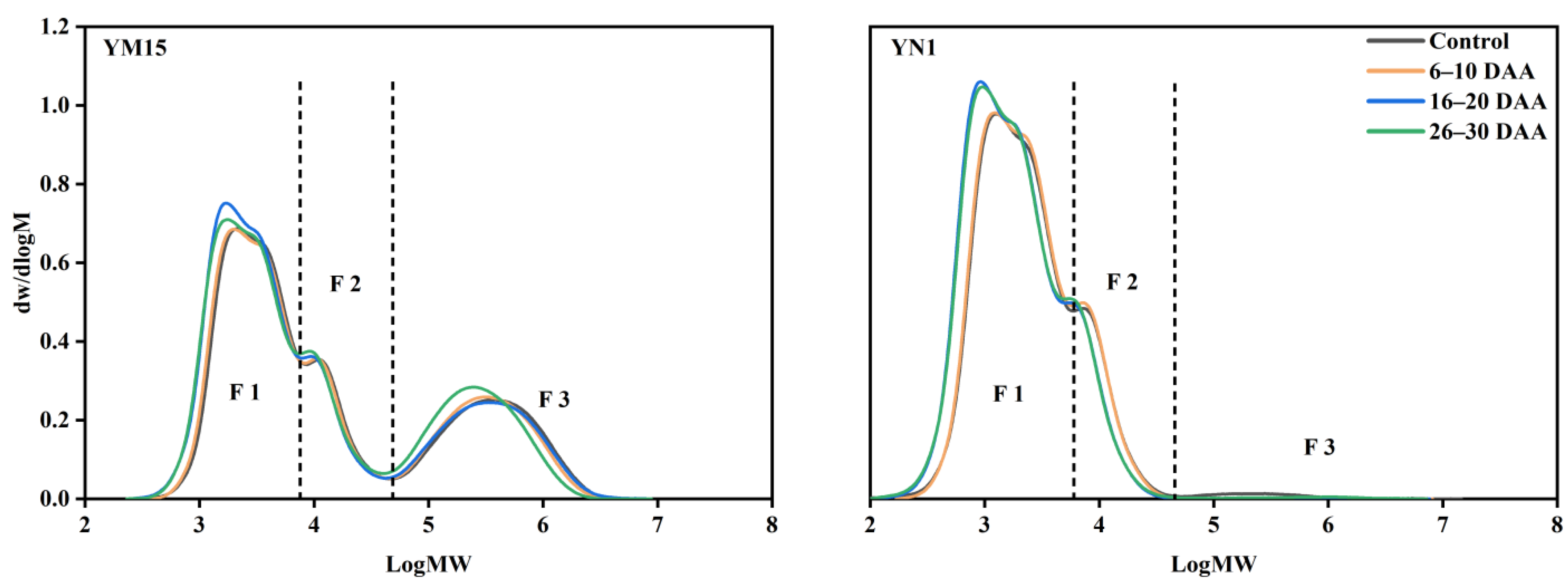
The gel permeation chromatography of isoamylase-debranched starches showed trimodal distribution in YM15 and bimodal distribution in YN1 (Figure 1). There was an apparent impact of heat stress on the distribution of starch chain length in non-waxy wheat and waxy wheat. The impact of heat stress on the distribution of starch chain lengths followed a descending order of 16–20 DAA, 26–30 DAA, and 6–10 DAA. Compared with the control, heat stress mainly increased the first peak (Fraction 1) height of the two wheat cultivars.
Figure 1.
Gel permeation chromatography of isoamylase-debranched starches from the starches of the two wheat varieties under different heat stress durations at different stages after anthesis. F: Fraction.
After experiencing heat during various grain-filling stages, the amylopectin short-chain content (Fraction 1) in starch was relatively increased and the degree of polymerization was reduced compared to the control grains (Table 2). The treatment of 16–20 DAA was particularly significant. The short-chain content of amylopectin in YM15 and YN1 increased from 55.01% to 57.77% and from 79.93% to 82.58%, and the corresponding DP decreased by 22.37% and 27.91%, respectively. The trend of the medium- and long-chain contents of amylopectin (Fraction 2) was reversed on 16–20 DAA, while the change trend of DP remained consistent in YM15 and YN1. Both varieties had significantly lower DP than that of the control, with a 15.28% decrease observed in the former and a 24.13% decrease observed in the latter. Therefore, the ratio of F1/F2 exhibited an increase compared to the control, with YM15 showing a 12.5% increase and YN1 exhibiting a 12.21% increase. The amylose content of starch (Fraction 3) in different wheat cultivars decreased after heat treatment and was notably lower compared to that observed in the control grains. For instance, exposure of YM15 grains to 35 °C during the periods of 6–10 DAA, 16–20 DAA, and 26–30 DAA resulted in a reduction in its amylose content by 1.41%, 5.89%, and 2.49%, respectively, compared with the control group. The amylose content of YN1 also decreased after treatment, which was significantly affected after heat stress in 16–20 DAA.
Table 2.
Gel permeation chromatography parameters from the starches of the two wheat varieties after short-term heat stress during grain filling.
3.3. Starch Granule Distribution
The average proportion of A-, B-, and C-type starch particles in the two wheat cultivars was 0.07–0.36%, 1.66–3.41%, and 96.29–98.26%, respectively. C-particles had the largest proportion compared to the number of A- and B-particles (Table 3). For YM15, the proportion of C-granules in starch under heat stress was significantly lower than that in the control treatment. The specific order of the proportion of C-particles was 16–20 DAA > 26–30 DAA > 6–10 DAA > CK, indicating that heat stress in 16–20 DAA significantly restricted the volume expansion of C-type starch particles. A different trend was observed in the C-type granule proportion of YN1, which followed the order 6–10 DAA > CK > 16–20 DAA > 26–30 DAA. Positive effects on the number of small granules in the YN1 were found from 6 to 10 days after anthesis under extreme temperature stress, while a significant negative effect on the number of A- and B-granules was also indicated.
Table 3.
Granule number and size volume distribution of the starches of the two wheat cultivars.
After 35 °C temperature treatment, the volume of C-granules accounted for 4.73–7.61% of the total starch granules, B-granules made up 5.14–36.10%, and the percentage of A-granule starch was the highest, 56.58–90.14%. The proportion of large-particle volumes in both cultivars decreased post-flowering, with the order: CK > 26–30 DAA > 6–10 DAA > 16–20 DAA. This observation indicated significant differences in the proportion of large particles between the treatments and the control. Starch grains filled fastest in 16–20 DAA, while heat inhibited the filling and volume increase in starch grains. Therefore, heat had the greatest impact on the particle volume of type A starch in this period.
3.4. Starch Crystal Structure
The starch granules of both wheat cultivars had five diffraction peaks, which were located at approximately 2θ of 15°, 17°, 18°, 20°, and 23°, respectively, and the maximum peak intensity appeared at 2θ of 18° (Figure 2). The crystallinity type of starch remained unchanged under extreme heat during the filling periods, which was still consistent with that of ordinary wheat starch and displayed an A-type diffraction pattern. Differences in the relative degree of crystallinity of the two cultivars under heat stress were found in 6–10 DAA, where YN1 exhibited a higher intensity, and increased from 26.10% to 26.20%. On the contrary, the relative degree of crystallinity of YM15 decreased from 18.00% to 16.80%. Both cultivars had the lowest relative degree of crystallinity under heat stress in 16–20 DAA, among all the treatments. There was no difference in the relative degree of crystallinity between the treatment in 26–30 DAA and the control.
Figure 2.
X-ray diffractograms of the starches of the two wheat cultivars subjected to heat stress.
3.5. Starch Thermal Properties
The starch thermal properties of the two wheat cultivars exposed to heat stress at different filling stages were analyzed by DSC (Table 4). The gelatinization temperatures did not alter significantly for YM15 and YN1 in response to heat stress, but remarkable changes in gelatinization enthalpy (ΔHgel) and retrogradation enthalpy (ΔHret) were observed, as compared with the control. The ΔHgel of the waxy wheat starch was influenced by extreme temperature after anthesis was in the order of 6–10 DAA > CK > 26–30 DAA > 16–20 DAA. ΔHret decreased from 0.91 J/g to 0.82 J/g, while the degree of retrogradation (DR) increased from 8.67% to 12.76%. The impact of short-term heat stress during various grain-filling stages on ΔHgel of YM15 was in the following order: CK > 26–30 DAA > 6–10 DAA > 16–20 DAA. The order of ΔHret was slightly different from that of gelatinization enthalpy, but it was still the smallest under heat stress in 16–20 DAA. DR presents the opposite trend to ΔHgel, increasing from 23.89 to 32.12%. Heat stress at 35 °C from 16 to 20 days after anthesis had the greatest effect on YN1 and YM15.
Table 4.
Effects of heat stress imposed at different post-anthesis stages on the thermal properties of the starches of the two wheat cultivars.
3.6. Swelling Power, Solubility, and Luminousness
The swelling capacity is indicative of the water absorption potential of starch granules, while solubility reflects the extent to which starch dissolves during inhibition. After temperature stress at different filling stages, the solubility of YN1 was higher than that of the control, and that of YM15 was lower than under natural conditions except for heat stress from 26 to 30 days after anthesis (Table 5). The differences in starch pastes were significant (p < 0.05) between the two wheat cultivars and the control in 16–20 DAA. In addition, the solubility, swelling power, and luminosity of YM15 were the lowest, at 16.83%, 22.92 g/g, and 18.60%, respectively; the maximum solubility, swelling power, and luminosity of YN1 were 35.53%, 15.48 g/g, and 57.50%. These results indicated that 16–20 days after flowering was the key period affecting the physicochemical properties of wheat starch.
Table 5.
Effects of heat stress imposed at different post-anthesis stages on the swelling power, solubility, and luminousness of the starches of the two wheat cultivars.
4. Discussion
4.1. Changes in Yield of Waxy and Non-Waxy Wheat under Short-Term Heat during Grain Filling
Previous reports indicated that the global average surface temperature is projected to increase by 2–5 °C by the end of the 21st century, and heatwaves will occur more frequently and continuously [27,28]. In many agricultural areas, there are serious impacts of heat stress on wheat cultivation. The stage and duration of heat stress occurrence during the reproductive phase will particularly influence the filling rate and the duration of grain, accelerate the grain development process, and significantly reduce grain weight and yield [29]. Some studies have indicated that wheat exhibits greater sensitivity during the early filling stage as opposed to the late stage [13]. The period with the most serious depletion of yield was 15–17 DAA, followed by 7–9 DAA and 23–25 DAA [16]. Our results also found that early exposure (6–10 DAA) to heat reduced subsequent longevity at maturity and the number and weight of grains, whereas late exposure (26–30 DAA) to heat also reduced the yield and yield components, but to a lesser extent.
The optimal temperature range for wheat grain filling is between 20 °C and 22 °C [15]. Wheat was found to be more sensitive to heat stress above 30 °C during the reproductive phase. Prasad et al. (2014) observed that transferring plants from the natural environment to heat stress conditions during the early stage of filling resulted in the reduction in seed set and grain sterility of wheat, which leads to lower grain numbers per spike [30]. Our research also found that the senescence of wheat accelerated after heat stress during the early and medium filling stages, which affected the fertility and grain filling of inferior grains, resulting in lower grain numbers per spike. Of course, stress promoted caryopsis senescence in advance, and affected the embryo and aleurone layer whilst inhibiting the volume expansion of the embryo and endosperm [31]. Moreover, heat stress exerted an impact on the wheat filling process by modifying the physical and biochemical mechanisms of the plant, such as photosynthetic rate, cellular respiration, hormonal imbalances, and antioxidant enzyme activity [32]. All of these factors led to a relatively reduced supply of assimilates obtained by the grains. However, grain number and weight were not found to be seriously influenced by heat stress in 26–30 DAA, because it was close to maturity and the filling speed slowed down. At this moment, the senescence of leaves and other organs results in a delayed response mechanism in wheat, rendering it insensitive to the perception of heat stress. Therefore, the yields of YM15 and YN1 decreased significantly by 23.77–38.07% (6–10 DAA) and 22.10–38.79% (16–20 DAA), respectively, under short-term heat stress.
This damage caused by heat stress was ultimately reflected in the yield and quality of grain. The maintenance of wheat productivity under the predicted climate change scenario necessitates the implementation of enhanced agronomic practices. Abdelrahman et al. (2020) demonstrated that grain weight was dominated by the equilibrium between the photoassimilate amount practicable for grain filling (source intensity) and the efficient utilization of these assimilates for productive organ growth and seed development (sink intensity) [6]. Scientists have conducted studies to explore the possibility of spraying certain exogenous growth regulators to assist wheat plants in resisting heat stress, such as brassinosteroids (BR), BR along with gibberellins or ABA, and trehalose-6-phosphate (T6P) [33]. These growth regulators can act as signaling molecules of sucrose levels in plants and maintain the balance of supply and demand of sucrose in various organs. In addition, T6P has the potential to be applied to vegetative tissues to promote flowering and grain filling and alleviate the problems such as yield reduction caused by heat or other stresses. We are still struggling hard to spray them on the wheat canopy during the growth period so that they can improve stress resistance.
4.2. Differences in Grain Starch Granule Size and Starch Structure between Waxy and Non-Waxy Wheat under Heat Stress
Earlier research has demonstrated that during the initial phase of grain filling, A- and B-type large starch granules form first, while in the middle and late stages, C-type small starch granules develop as their volume increases. Significant differences were observed in both morphology and granule size distribution between the starches of waxy and non-waxy wheat cultivars. Compared with normal wheat, waxy wheat had larger A-type starch granules and more B-type granules [34]. However, in our study, heat stress resulted in maximum reductions of 19.23% and 15.38% in the volume distribution of A-type starch granules for YM15 and YN1, respectively. The average starch particle size was reduced from 13.63 μm to 11.60 μm in YN1 and the mean diameter was lower than that in YM15. Although the number of C-type starch granules increased, their volume remained small, resulting in a decrease in mean diameter. A previous study reported that the number and size of B-type starch granules decreased under 37/28 °C heat stress [20]. In our study, the starch size volume distribution of B-type granules increased under heat, especially the treatment in 16–20 DAA, when it increased by 76.28% and 28.92%. We speculate that certain B-type starch granules may have been limited in their nutrient availability under heat and caused their failure to develop into larger A-type starch granules.
Previous studies proved differences in starch structure between common rice and waxy rice. The fine structures of non-waxy and waxy branched rice starches responding to heat had similar tendencies, but the impact of elevated temperature on waxy starch was more significant. The data measured by GPC indicated that compared to rice grown under normal conditions, high-temperature treatment increased the content of branched starch with DP between 20 and 100, and significantly reduced the concentration of amylose and short-branched starch [35]. By contrast, in our research, we observed the opposite results in wheat. The short-chain amylopectin content in YM15 and YN1 increased by 5.02% and 3.32%, and the content of amylose decreased by 5.89% and 87.79% after heat stress in 16–20 DAA. Our results were consistent with the report by Zhang (2016) [36], who discovered that there was a significant decrease in long-chain rice amylose (MW 107.1 to 107.4) in GPC analysis under hot conditions. We also observed that the degrees of polymerization at the peak’s maximum height all decreased significantly, especially for the amylose of YM15, which was probably due to the inhibition of enzyme activity and gene expression with GBSS [37].
Our present study found that the starch structure of YM15 was significantly changed after heat stress in 16–20 DAA. The concentration of short-chain amylopectin increased significantly, and the content of amylose decreased from 29.72% to 27.97%; the most significant impact on YN1 was the temperature treatment of 6–10 DAA in the initial filling stage, and the amylose concentration was almost reduced to 0%. Heat-affected amylase gene expression was related to the synthesis of starch. The activities and gene expression of four key enzymes (SBE, SSS, GBSS, and AGPase) involved in the conversion of sucrose to starch were significantly reduced under heat conditions, which ultimately lead to a marked decrease in starch content [38]. We speculated that the early and middle stages of grain development were the primary periods of amylose formation, and heat during this period may affect the activity of starch synthase, leading to a notable decrease in amylose content.
The crystal structure of both wheat starches still rendered an A-type X-ray diffraction pattern after heat stress. Experimental evidence of the relative crystallinity of starch has shown that the crystal structure was intimately linked to the intermolecular forces of amylopectin double helix structure, and was affected by the contents of amylose and amylopectin [39], which is consistent with the results obtained by this experiment. The degree of crystallinity exhibited a negative correlation with the short-chain amylopectin and amylose contents of starch while displaying a positive association with the long-chain content of branch chains [40]. Our results showed that the amylose concentration of YM15 was greater than that of YN1, and the relative crystallinity of YM15 was lower than that of YN1. Waxy wheat defected the Wx protein, which resulted in a more ordered structure and fewer amorphous regions [41]. The phenomenon resulted in a significant augmentation of B- and C-type starch granules, concomitant with a reduction in amylose content. The heat treatment at the peak grain-filling stage (16–20 DAA) did not transform the A-type X-ray diffraction pattern of YM15 and YN1 starch, while obviously decreasing the degree of crystallinity by 6.67% and 7.28% in contrast to their respective counterparts, explaining why the starch crystal structure of wheat was decimated [42]. Our findings proved that the starch samples had a lower relative crystallinity than the control, as the starch structure was changed, and the interaction of starch chains in both crystalline and amorphous domains was also modified by heat. The increase in short chains (DP < 12) and the decrease in long chains (DP > 12) of amylopectin can lead to a decline in crystallinity, which was not in agreement with the report by Tu et al. (2023) [43].
4.3. Effects of Heat Stress at Different Filling Stages on Starch Properties in Waxy and Non-Waxy Wheat Grains
The differences in starch content and structure between waxy and non-waxy wheat had different effects on starch properties. The viscosity of starch in YN1 was higher than that of YM15 due to significantly higher values of Tp, Tc, and ΔHgel compared to YM15, particularly at lower DR. The proportion of amylose content and short amylopectin chains decreased, while long amylopectin chains increased under heat stress during grain filling, leading to the increased gelatinization temperature of starch [43]. In the present study, we did not observe the same results due to the short time of heat stress. However, the DR of YM15 increased from 23.89% to 32.12%, while that of YN1 decreased from 8.67% to 7.93% in 6–10 DAA, which suggested that YN1 exhibited superior anti-aging performance compared to YM15. The water solubility of non-waxy starch was lower than that of waxy starch, which is consistent with the previous reports. This may be associated with the ratio, morphology, and particle size of amylose and amylopectin, and the ratio of long and short-chain amylopectin [44,45]. This study showed the starch pastes of YM15 exhibited the lowest light transmittance of 18.60% after heat stress in 16–20 DAA, which was possibly caused by the increase in the content of small-size starch particles and granule remnants due to heat. There existed a positive correlation between the proportion of large-size granules and swelling power, while the content of amylose was negatively correlated with solubility. In addition, C-type starch granules affected the passage of light after absorbing water and swelling, resulting in a 19.13% decrease in transmittance compared to the control [46]. These findings validate the greater stability of physical and chemical properties in waxy wheat compared to non-waxy wheat.
5. Conclusions
Our study showed heat stress of 35 °C/25 °C (day/night) at different filling stages increased the content of amylopectin short chains and decreased the levels of amylopectin long chains and amylose. Additionally, it negatively impacted the physicochemical characteristics of starch of the two types of wheat, especially in 16–20 DAA. The starch of YN1 had a higher degree of branching, which led to its crystallinity, solubility, gelatinization temperature (To, Tp, and Tc), and anti-aging performance being more stable than those of YM15 after heat stress. These findings partially align with our initial hypothesis that YN1 exhibited superior thermal stability under heat stress compared to YM15, while its performance in other respects still remained susceptible to high temperatures. The most sensitive stage to heat stress for yield was 6–10 DAA, which resulted in significant decreases in grain number and 1000-grain weight, followed by 16–20 DAA, which resulted in a significant decrease only in 1000-grain weight. Therefore, greater attention should be given to the occurrence of heat stress during the early and middle grain-filling stages in wheat production. Meanwhile, the dynamic process of starch formation or reaction mechanisms, for example, the role of starch biosynthetic enzyme activity and related enzyme gene expression in waxy and non-waxy starch reaction after heat, remains to be studied further.
Author Contributions
Conceptualization, C.L. and X.L.; formal analysis, X.L. and M.Z.; investigation, D.Z.; methodology, C.D. and Y.Z.; project administration, C.L.; resources, J.D. and X.Z.; writing—original draft, C.L. and X.L.; writing—review and editing, G.Z. and W.G.; supervision, C.L. All authors have read and agreed to the published version of the manuscript.
Funding
This research was funded by the National Natural Science Foundation of China (32172111), Jiangsu Provincial Key R & D Program (BE2020319), Independent Innovative Agricultural Project of Jiangsu Province (CX (22)1001), Yangzhou University Innovation Fund (2022), and Priority Academic Program Development of Jiangsu Higher Education Institutions (PAPD).
Data Availability Statement
All data are presented in the article.
Acknowledgments
We thank the editor and anonymous reviewers for their constructive comments.
Conflicts of Interest
The authors declare no conflict of interest.
References
- FAO. Quarterly Global Report No. 1; FAO: Rome, Italy, 2020. [Google Scholar]
- Gouis, L.J.; Oury, F.; Charmet, G. How changes in climate and agricultural practices influenced wheat production in Western Europe. J. Cereal Sci. 2020, 93, 102960. [Google Scholar] [CrossRef]
- Garcia, G.A.; Dreccer, M.F.; Miralles, D.J.; Serrago, R.A. High night temperatures during grain number determination reduce wheat and barley grain yield: A field study. Glob. Chang. Biol. 2015, 21, 4153–4164. [Google Scholar] [CrossRef]
- Cox, D.T.C.; Maclean, I.M.D.; Gardner, A.S.; Gaston, K.J. Global variation in diurnal asymmetry in temperature, cloud cover, specific humidity and precipitation and its association with leaf area index. Glob. Chang. Biol. 2020, 26, 7099–7111. [Google Scholar] [CrossRef] [PubMed]
- Zahra, N.; Hafeez, M.B.; Wahid, A.; Al Masruri, M.H.; Ullah, A.; Siddique, K.H.M.; Farooq, M. Impact of climate change on wheat grain composition and quality. J. Sci. Food Agric. 2022, 103, 2745–2751. [Google Scholar] [CrossRef] [PubMed]
- Abdelrahman, M.; Burritt, D.J.; Gupta, A.; Tsujimoto, H.; Tran, L.P. Heat stress effects on source-sink relationships and metabolome dynamics in wheat. J. Exp. Bot. 2020, 71, 543–554. [Google Scholar] [CrossRef] [PubMed]
- IPCC. Climate Change 2013: The Physical Science Basis. Contribution of Working Group I to the Fifth Assessment Report of the Intergovernmental Panel on Climate Change; Cambridge University Press: Cambridge, UK, 2013. [Google Scholar]
- IPCC. Climate Change 2014: Impacts, Adaptation, and Vulnerability. Part A: Global and Sectoral Aspects. Contribution of Working Group II to the Fifth Assessment Report of the Intergovernmental Panel on Climate Change; Cambridge University Press: Cambridge, UK, 2014. [Google Scholar]
- Elía, M.; Slafer, G.A.; Savin, R. Yield and grain weight responses to post-anthesis increases in maximum temperature under field grown wheat as modified by nitrogen supply. Field Crops Res. 2018, 221, 228–237. [Google Scholar] [CrossRef]
- Bergkamp, B.; Impa, S.M.; Asebedo, A.R.; Fritz, A.K.; Jagadish, S.V.K. Prominent winter wheat varieties response to post-flowering heat stress under controlled chambers and field based heat tents. Field Crops Res. 2018, 222, 143–152. [Google Scholar] [CrossRef]
- Tack, J.; Barkley, A.; Nalley, L.L. Effect of warming temperatures on US wheat yields. Proc. Natl. Acad. Sci. USA 2015, 112, 6931–6936. [Google Scholar] [CrossRef]
- Ram, M.Y.; Mukesh, C.; Jogendra, S.; Kumar, M.L.; Kumar, P.J.; Pushpika, U.; Kumar, N.G.; Vishnu, D.R.; Kumar, N.G.; Chirag, M.; et al. Impacts, tolerance, adaptation, and mitigation of heat stress on wheat under changing climates. Int. J. Mol. Sci. 2022, 23, 2838. [Google Scholar] [CrossRef]
- Kumar Lal, M.; Kumar, T.R. Physiological and molecular insights on wheat responses to heat stress. Plant Cell Rep. 2022, 41, 501–518. [Google Scholar] [CrossRef]
- Buttar, Z.A.; Wu, S.N.; Arnao, M.B.; Wang, C.; Ullah, I.; Wang, C. Melatonin suppressed the heat stress-induced damage in wheat seedlings by modulating the antioxidant machinery. Plants 2020, 9, 809. [Google Scholar] [CrossRef] [PubMed]
- Farooq, M.; Bramley, H.; Palta, J.A.; Siddique, K.H.M. Heat stress in wheat during reproductive and grain-filling phases. Crit. Rev. Plant Sci. 2011, 30, 491–507. [Google Scholar] [CrossRef]
- Zhao, K.M.; Tao, Y.; Liu, M.M.; Yang, D.D.; Zhu, M.; Ding, J.F.; Zhu, X.K.; Guo, W.S.; Zhou, G.S.; Li, C.Y. Does temporary heat stress or low temperature stress similarly affect yield, starch, and protein of winter wheat grain during grain filling? J. Cereal Sci. 2022, 103, 103408. [Google Scholar] [CrossRef]
- Wang, S.J.; Li, T.G.; Miao, Y.J.; Zhang, Y.; He, Z.H.; Wang, S. Effects of heat stress and cultivar on the functional properties of starch in Chinese wheat. Cereal Chem. 2017, 94, 443–450. [Google Scholar] [CrossRef]
- Liu, L.L.; Ma, J.F.; Tian, L.Y.; Wang, S.H.; Tang, L.; Cao, W.X.; Zhu, Y. Effect of postanthesis high temperature on grain quality formation for wheat. Agron. J. 2017, 109, 1970–1980. [Google Scholar] [CrossRef]
- Bao, J.S.; Ying, Y.N.; Zhou, X.; Xu, Y.J.; Wu, P.; Xu, F.F.; Pang, Y.H. Relationships among starch biosynthesizing protein content, fine structure and functionality in rice. Carbohydr. Polym. 2020, 237, 116–118. [Google Scholar] [CrossRef]
- Hurkman, W.J.; Wood, D.F. High temperature during grain fill alters the morphology of protein and starch deposits in the starchy endosperm cells of developing wheat (Triticum aestivum L.) grain. J. Agric. Food Chem. 2011, 59, 4938–4946. [Google Scholar] [CrossRef]
- Liu, Q.; Hu, Y.P.; Hu, M.Y.; Sun, L.J.; Chen, X.Y.; Li, Q.Y.; Wang, P.N.; Wang, L.A.; Zhang, Y.J.; Li, H. Identification and molecular characterization of mutant line deficiency in three waxy proteins of common wheat (Triticum aestivum L.). Sci. Rep. 2021, 11, 3510. [Google Scholar] [CrossRef]
- Wang, L.L.; Yu, X.R.; Yang, Y.; Chen, X.Y.; Wang, Q.J.; Zhang, X.H.; Ran, L.P.; Xiong, F. Morphology and physicochemical properties of starch in wheat superior and inferior grains. Starch-Stärke 2018, 70, 3–4. [Google Scholar] [CrossRef]
- Wang, S.J.; Luo, H.Y.; Zhang, J.; Zhang, J.; He, Z.H.; Wang, S. Alkali-induced changes in functional properties and in vitro digestibility of wheat starch: The role of surface proteins and lipids. J. Agric. Food Chem. 2014, 62, 3636–3643. [Google Scholar] [CrossRef]
- Liu, W.C.; Halley, P.J.; Gilbert, R.G. Mechanism of degradation of starch, a highly branched polymer, during extrusion. Macromolecules 2010, 43, 2855–2864. [Google Scholar] [CrossRef]
- Wei, C.X.; Qin, F.L.; Zhou, W.D.; Yu, H.G.; Xu, B.; Chen, C.; Zhu, L.J.; Wang, Y.P.; Gu, M.H.; Liu, Q.Q. Granule structure and distribution of allomorphs in C-type high-amylose rice starch granule modified by antisense RNA inhibition of starch branching enzyme. J. Agric. Food Chem. 2010, 58, 11946–11954. [Google Scholar] [CrossRef] [PubMed]
- Liu, M.; Ma, H.; Liang, Y.; Sun, L.; Li, J.; Dang, W.Q.; Li, L.M.; Zheng, X.L.; Lv, Q.; Zhang, X. Effect of multiple freezing/thawing cycles on the physicochemical properties and structural characteristics of starch from wheat flours with different gluten strength. Int. J. Biol. Macromol. 2022, 194, 619–625. [Google Scholar] [CrossRef] [PubMed]
- Hein, N.T.; Bheemanahalli, R.; Wagner, D.; Vennapusa, A.R.; Bustamante, C.; Ostmeyer, T.; Pokharel, M.; Chiluwal, A.; Fu, J.; Srikanthan, D.S.; et al. Improved cyber-physical system captured post-flowering high night temperature impact on yield and quality of field grown wheat. Sci. Rep. 2020, 10, 22213. [Google Scholar] [CrossRef]
- Zhu, T.T.; De Lima, C.F.F.; De Smet, I. The heat is on: How crop growth, development and yield respond to high temperature. J. Exp. Bot. 2021, 72, 7359–7373. [Google Scholar] [CrossRef]
- Balla, K.; Karsai, I.; Bonis, P.; Kiss, T.; Berki, Z.; Horvath, A.; Mayer, M.; Bencze, S.; Veisz, O. Heat stress responses in a large set of winter wheat cultivars (Triticum aestivum L.) depend on the timing and duration of stress. PLoS ONE 2019, 14, e0222639. [Google Scholar] [CrossRef]
- Prasad, P.V.V.; Djanaguiraman, M. Response of floret fertility and individual grain weight of wheat to high temperature stress: Sensitive stages and thresholds for temperature and duration. Funct. Plant Biol. 2014, 41, 1261–1269. [Google Scholar] [CrossRef]
- Nasehzadeh, M.; Ellis, R.H. Wheat seed weight and quality differ temporally in sensitivity to warm or cool conditions during seed development and maturation. Ann. Bot. 2017, 120, 479–493. [Google Scholar] [CrossRef]
- Ullah, A.; Nadeem, F.; Nawaz, A.; Siddique, K.H.; Farooq, M. Heat stress effects on the reproductive physiology and yield of wheat. J. Agron. Crop Sci. 2022, 208, 1–17. [Google Scholar] [CrossRef]
- Sadura, I.; Janeczko, A. Brassinosteroids and the tolerance of cereals to low and high temperature stress: Photosynthesis and the physicochemical properties of cell membranes. Int. J. Mol. Sci. 2021, 23, 342. [Google Scholar] [CrossRef]
- Yu, X.R.; Yu, H.; Zhang, J.; Shao, S.S.; Zhou, L.; Xiong, F.; Wang, Z. Comparison of endosperm starch granule development and physicochemical properties of starches from waxy and non-waxy wheat. Int. J. Food Prop. 2015, 18, 2409–2421. [Google Scholar] [CrossRef]
- Fan, X.L.; Li, Y.Q.; Zhang, C.Q.; Li, E.P.; Chen, Z.Z.; Li, Q.F.; Zhang, Z.W.; Zhu, Y.; Sun, X.S.; Liu, Q.Q. Effects of high temperature on the fine structure of starch during the grain-filling stages in rice: Mathematical modeling and integrated enzymatic analysis. J. Sci. Food Agric. 2019, 99, 2865–2873. [Google Scholar] [CrossRef] [PubMed]
- Zhang, C.Q.; Zhou, L.H.; Zhu, Z.B.; Lu, H.W.; Zhou, X.Z.; Qian, Y.T.; Li, Q.F.; Lu, Y.; Gu, M.H.; Liu, Q.Q. Characterization of grain quality and starch fine structure of two Japonica rice (Oryza Sativa) cultivars with good sensory properties at different temperatures during the filling stage. J. Agric. Food Chem. 2016, 64, 4048–4057. [Google Scholar] [CrossRef] [PubMed]
- Ahmed, N.; Tetlow, I.J.; Nawaz, S.; Iqbal, A.; Mubin, M.; Nawaz ul Rehman, M.S.; Butt, A.; Lightfoot, D.A.; Maekawa, M. Effect of high temperature on grain filling period, yield, amylose content and activity of starch biosynthesis enzymes in endosperm of basmati rice. J. Sci. Food Agric. 2015, 95, 2237–2243. [Google Scholar] [CrossRef] [PubMed]
- Lu, H.F.; Hu, Y.Y.; Wang, C.Y.; Liu, W.X.; Ma, G.; Han, Q.X.; Ma, D.Y. Effects of high temperature and drought stress on the expression of gene encoding enzymes and the activity of key enzymes involved in starch biosynthesis in wheat grains. Front. Plant Sci. 2019, 10, 1414. [Google Scholar] [CrossRef]
- Gonzalez, M.; Vernon-Carter, E.J.; Alvarez-Ramirez, J.; Carrera-Tarela, Y. Effects of dry heat treatment temperature on the structure of wheat flour and starch in vitro digestibility of bread. Int. J. Biol. Macromol. 2021, 166, 1439–1447. [Google Scholar] [CrossRef]
- Li, C.Y.; Zhou, D.D.; Fan, T.; Wang, M.Y.; Zhu, M.; Ding, J.F.; Zhu, X.K.; Guo, W.S.; Shi, Y.C. Structure and physicochemical properties of two waxy wheat starches. Food Chem. 2020, 318, 126492. [Google Scholar] [CrossRef]
- Chang, H.M.; Zhang, J.W.; Xia, J.; Kang, C.Y.; Yan, Y.M. Influence of waxy proteins on wheat resistant starch formation, molecular structure and physicochemical properties. Food Chem. 2022, 376, 131944. [Google Scholar] [CrossRef]
- Li, W.H.; Gao, J.M.; Wu, G.L.; Zheng, J.M.; Ouyang, S.H.; Luo, Q.G.; Zhang, G.Q. Physicochemical and structural properties of A- and B-starch isolated from normal and waxy wheat: Effects of lipids removal. Food Hydrocoll. 2016, 60, 364–373. [Google Scholar] [CrossRef]
- Tu, D.B.; Jiang, Y.; Akram, S.; Xi, M.; Cai, M.L.; Cheng, B.; Sun, X.S.; Cao, C.G.; Wu, W.G. Variation of rice starch structure and physicochemical properties in response to high natural temperature during the reproductive stage. Front. Plant Sci. 2023, 14, 1136347. [Google Scholar] [CrossRef]
- Yang, Q.H.; Zhang, W.L.; Li, J.; Gong, X.W.; Feng, B.L. Physicochemical properties of starches in Proso (non-waxy and waxy) and Foxtail Millets (non-waxy and waxy). Molecules 2019, 24, 1743. [Google Scholar] [CrossRef] [PubMed]
- Yang, Q.H.; Zhang, W.L.; Luo, Y.; Li, J.; Gao, J.F.; Yang, P.; Gao, X.L.; Feng, B.L. Comparison of structural and physicochemical properties of starches from five coarse grains. Food Chem. 2019, 288, 283–290. [Google Scholar] [CrossRef] [PubMed]
- Shang, J.Y.; Li, L.M.; Zhao, B.; Liu, M.; Zheng, X.L. Comparative studies on physicochemical properties of total, A- and B-type starch from soft and hard wheat varieties. Int. J. Biol. Macromol. 2020, 154, 714–723. [Google Scholar] [CrossRef] [PubMed]
Disclaimer/Publisher’s Note: The statements, opinions and data contained in all publications are solely those of the individual author(s) and contributor(s) and not of MDPI and/or the editor(s). MDPI and/or the editor(s) disclaim responsibility for any injury to people or property resulting from any ideas, methods, instructions or products referred to in the content. |
© 2023 by the authors. Licensee MDPI, Basel, Switzerland. This article is an open access article distributed under the terms and conditions of the Creative Commons Attribution (CC BY) license (https://creativecommons.org/licenses/by/4.0/).

