Abstract
In order to explore the drag reduction mechanism of pneumatic subsoiling and study the influence of pneumatic subsoiling on the soil, this study used machine learning models to predict the working resistance of a pneumatic subsoiler and adopted random forest (RF), error back-propagation (BP), eXtreme gradient boosting (XGBoost) and support vector regression (SVR) to analyze and compare the predictions of these four models. Field experiments were carried out in two fields with different bulk densities and moisture content. The effects of these parameters on the resistance of pneumatic subsoiling were studied by changing the working air pressure, depth and forward speed. In the RF, SVR, XGBoost and BP models, five parameters (working air pressure, working depth, forward speed, bulk density and moisture content) were inputted as independent variables, and the operating resistance of pneumatic subsoiling was used as the predicted value. After training the four models, the results showed that the R2 value of the RF model was the highest and the error was the smallest, which made it better than the SVR, XGBoost and BP models. The values of MAPE, R2 and RMSE for the RF model’s test set were 0.01, 0.99, and 3.61 N, respectively, indicating that the RF model could predict the resistance value of subsoiling well. When the RF model was used to analyze the five input parameters, the experimental results showed that the contribution of working air pressure to reducing the resistance of subsoiling reached 29%, indicating that pneumatic subsoiling can reduce the resistance, drag and consumption.
1. Introduction
As the level of agricultural mechanization improves, the soil is compacted during the operation of agricultural machinery and equipment [1], and the bottom of the plow pans are raised and thickened due to continuous tillage all year round. The thickening of the plow pan will inhibit the discharge of gas from the soil and the build-up of plant roots, which will lead to the deterioration of plants’ growing environments [2,3]. At present, as one of the means of conservation tillage, subsoilers are the most widely used machines that can break the plow pan and effectively solve the problem of soil hardening [4]. The subsoiling operation can break the separation layer without turning the tillage layer and enhance the conservation of the water deposits and the soil’s ability to resist drought [5,6]. At present, the most widely used subsoiling shovels are mainly wing subsoiling shovels and vibrating subsoiling shovels. In recent years, the research on pneumatic subsoiling shovels has gradually increased, but there are problems, such as their high energy consumption and incomplete soil subsoiling [7,8]. The current research on reducing the resistance and consumption of subsoiling has mainly focused on constructing subsoiling models through discrete element simulation. Through analyses of the models, the disturbance range and resistance of subsoiling can be studied [9,10,11]. The research object of this study was a pneumatic subsoiler. Pneumatic subsoiling impacts the soil through the air explosion jet, reducing the friction between the subsoiling shovel and the soil and assisting the subsoiling operation, which can effectively break the plow pan [12]. Han et al. simulated and analyzed the reinforcement mechanism of high-pressure gas on the soft soil foundation through soil trough tests [13]. Zuo et al. designed a gas injection test for soil subsoiling, which verified the feasibility of air pressure subsoiling, and the effect of subsoiling was good [7]. Araya et al. used the finite element method to establish a subsoiling model based on a high-pressure gas explosion and, on this basis, explored the influence of the placement angle of the subsoiling shovel on the groundbreaking influence of subsoiling [14]. Zhang et al. advanced a method of air explosion scarification that could improve the internal environment of lawn soil and studied alterations of the parameters, for instance, soil and soil bulk density, which originated from the air explosion subsoiling operation [15,16,17]. Xi et al. developed a profile approach for observing the cracks and disturbance from pneumatic subsoiling and established the crack trace equation and soil disturbance model of the airburst soil. They analyzed the soil crack propagation method through the soil’s tension failure and shear failure mechanism, then resolved the connection of the pneumatic subsoiling cracks and working air pressure [18].
Because of the nonlinear characteristics of soil, it is difficult to find the relationship between the working resistance and the air pressure and other parameters of subsoiling when the pneumatic subsoiler operates. Especially in a complex soil environment, pneumatic subsoiling can easily cause excessive resistance and losses of traction and the device’s energy [19]. A pneumatic subsoiler’s working efficiency and subsoiling tillage resistance are greatly affected by the soil moisture content, soil bulk density, working pressure, working depth and working forward speed [20]. Therefore, efficiently optimizing the ratios of various parameters of pneumatic subsoiling and accurately predicting the resistance of pneumatic subsoiling have become crucial issues [21]. The optimal management of these parameters will assist in reducing the consumption of fuel and costs and will improve working efficiency, which has great scientific significance [22,23,24]. Three methods are mainly used to establish models for predicting subsoiling resistance: data analysis and comparison, mathematical models and regression equations of resistance, and computer models [25,26,27]. The first two methods require multiple field experiments to analyze the relationships among the parameters and to evaluate the relationships between the parameters and resistance [28]. However, it takes a long time to analyze the relationships of the parameters through field experiments, and the experimental equipment and measuring instruments are also expensive. Therefore, computer prediction models have become a better choice [29]. With innovations in the field of computing, machine learning (ML) also provides a new way to reduce drag and consumption. ML techniques have been widely used in predicting the energy consumption of tractors and the resistance of subsoilers. Various ML approaches, for instance, artificial neural networks (ANNs) and support vector machines (SVM), can be successfully applied to model various prediction parameter problems. At the same time, ML models can also assist researchers in resolving the relative importance of numerous aspects that affect resistance [30,31]. In 2009, Alimardani et al. constructed a model via ANN and compared the gradient of descent with the momentum of the Lavenberg–Marquardt scaled conjugated gradient algorithm. The results showed that the Lavenberg–Marquardt algorithm was the best, with a prediction accuracy of 95.8% and a simulation accuracy of 97.6% [29]. In 2003, Hamed et al. used the ANN model to predict the draught demand and energy demand of a disc plow by using 10 input parameters (the plow’s depth and forward speed, sand content, silt content, clay content, soil water content, the disk’s diameter and angle, tilt angle and soil density) and the predicted results were reliable, with R2 values of 0.934 and 0.915 [32]. Gautam et al. compared the performances of the RSM and ANN models in predicting resistance, where the R2 value of RMS was 0.997 and that of ANN was 0.987, indicating that the ANN model is suitable for predicting resistance [33]. RF is a supervised ML technique based on an ensemble method, which usually combines multiple models of the random forest algorithm to improve the accuracy of predictions. Swetha predicted the clay, silt and sand measured in the laboratory by the RF and convolutional neural network (CNN) algorithms to determine the soil texture [34].
It can be seen that a computer model could be applied to forecast the tillage resistance of pneumatic subsoilers. It could assist researchers in discovering the relative importance of each parameter affecting the tillage resistance, save a lot of time and effort without expensive and time-consuming field experiments, and verify that pneumatic subsoiling has a better effect than traditional subsoiling. Moreover, machine learning outperforms traditional problem-solving methods with the forward speed of processing data and the quality of generated solutions.
In this study, four different ML models (SVR, BP, RF and XGBoost) were used to predict the resistance of pneumatic subsoiling. These four models have not been previously applied to predicting the resistance of pneumatic subsoiling. The most suitable model was determined on the basis of comparative analysis. Finally, the relative importance of various parameters affecting the resistance of subsoiling tillage was determined through the model. In order to achieve this goal, two different experimental fields were tested, and a large amount of data was obtained, which verified that pneumatic subsoiling could effectively reduce the drag and consumption compared with traditional subsoiling, and effectively predicted pneumatic subsoiling. The objectives of this study were as follows:
1. Use the SVR, BP, RF and XGBooST algorithms to predict the tillage resistance of pneumatic subsoiling and select the best model according to the relevant evaluation index of the model.
2. Use field experiments to collect relevant data, compare and analyze the levels of resistance, and then determine the higher efficiency of pneumatic subsoiling and traditional subsoiling.
3. Use the best machine learning model to determine the degree of contribution of each dimension affecting tillage resistance and determine the influence of different dimensions on the resistance of pneumatic subsoiling.
2. Materials and Methods
2.1. Structural Parameter Design of a Pneumatic Subsoiling Shovel
This study adopted a medium-sized subsoiling shovel that imitated the standard of JBT 9788-1999. The installation parameters included the wing shovel’s installation angle (θ), upward inclination angle (β), backward inclination angle (φ) and installation height (h), and the air pressure of subsoiling (P). According to Wang’s proposal, the wing shovel’s installation angle (θ) was 25°, the upward inclination angle (β) was 0°, the backward inclination angle (φ) was 45°, the installation height (h) was 95 mm, and the penetration angle was 23° [9]. According to the JBT 9788-1999 standard for subsoiling shovels, the long radius R1 was 320 mm, the short radius R2 was 284 mm, L was 650 mm, L1 was 85 mm, and L2 was 316 mm. According to the recommendations of Spoor and Godwin, the width of the wing was 70 mm to 80 mm of the operating width, and the width L3 of the wing in this study was 80 mm, the width D was 340 mm, the length L4 was 50 mm and B was 30 mm [35]. A diagram of the structure of the subsoiling shovel is shown in Figure 1. Zou et al. studied the stress of each functional area of a blade-type subsoiling shovel through EDEM, and the experiment showed that the stress was the greatest at the bottom of the subsoiling shovel [36]. Therefore, in this study, the air outlet of the air pump was placed at the bottom of the subsoiling shovel, coupled with the jet’s impact on the soil, and the subsoiling operation was carried out at the bottom of the plow pan at a depth of 400 mm. Under the action of the tractor’s traction, the shovel head cuts the soil to the depth set by the depth-limiting wheel of the subsoiler, turns on the air compressor, controls the air gun’s pressure to reach the splitting air pressure of the corresponding soil and sprays gas from the air gun’s hole to the plow pan around the air gun. The plow pan produces cracks after being expanded and sheared by the high-pressure gas, and the high-pressure gas penetrates the cracks and lifts the soil. The tractor pulls the subsoiler to move the pneumatic subsoiling shovel forward, and the lifted soil is crushed after being turned over by the composite shape of the shovel head to complete the subsoiling operation.
Figure 1.
The structure and geometric parameters of the pneumatic subsoiling shovel (a–c) are the left view, top view and actual subsoiler of the subsoiling shovel, respectively.
2.2. Field Trials
2.2.1. Soil Characteristics
Field trials were conducted in an experimental field (39.19° N, 116.17° E) of Gu’an County, Langfang City, Hebei Province, China, and Nanda Township Research Station (40.5° N, 120.5° E) in Huludao City, Liaoning Province, China. The terrain of the experimental fields is flat, and the slopes are less than 5°. The crops cultivated in the two experimental fields in the early stage were both corn, and the fields had never been subsoiled previously. According to the International Soil Texture Classification Standard (ISTC), the soil type of the experimental area of Gu’an in Langfang City, Hebei Province, is loam (clay, 12.1%; silica, 39.8%; sand, 48.1%), and the soil type of the experimental area of Nandaxiang in Huludao City, Liaoning Province, is loam (clay, 9.2%; silica, 37.1%; sand, 53.7%). In order to study the subsoiling resistance, it was necessary to test the soil parameters; for instance, the soil’s penetration resistance, organic matter, bulk density, soil moisture content and pH value. Soil compaction was estimated with a soil penetration resistance meter, and random measurements were performed at 10 sites. The soil’s penetration resistance was monitored at intervals of 50 mm within a depth range of 0–0.5 m, and the measurement results are shown in Figure 2. The potentiometric method was used to measure the soil pH. The samples for calculating the soil bulk density were collected by using a ring knife (volume: 100 cm2). The specific calculation method was to divide the dry mass of the soil by the core volume. The soil samples were dried in a drying box at 105 °C and then heated to 400 °C to obtain the soil bulk density. The soil water content was measured at 12 measurement sites, where the water content at 0–5 cm and 25–50 cm soil was collected, and we took the average value of the two. This was performed by placing the collected soil samples into aluminum boxes and weighing them in a balance with an accuracy of 0.1 mg (), and then drying the boxes and soil samples in an oven at 105 °C for a sufficient time until there was no change in the weight () [10]. The soil water content was calculated as shown in Equation (1):
Figure 2.
Changes in penetration resistance. The “LN field” indicates the Huludao test field in Liaoning Province, and the “HB field” indicates the Langfang test field in Hebei Province.
We dissolved the soil in water and measured the soil conductivity with a conductivity meter.
The data of the soil bulk density, moisture content, compactness, pH value and organic matter of the experimental sites in Liaoning and Hebei are shown in Table 1. According to the table, the soil conditions in the two experimental sites were basically the same, and the bottom of the plow pan of the two experimental sites was in the same subsoiling range.
Table 1.
Soil data of the two experimental plots, HB and LN.
2.2.2. Field Testing Program
The field experiments were carried out in Hebei and Liaoning. In order to reduce the error of the experiments, the instruments used in the experiments and the experimental process were kept as consistent as possible. Each test field was 300 m long and 4 m wide, with two round-trip operation swathe widths and a 3 m long tractor turning zone set aside at both ends.
The test equipment included a pneumatic subsoiling shovel, a subsoiling frame, two tractors, an S-type digital display tension meter (Bengbu Dayang Sensor System Engineering Co., Ltd., Bengbu, China, Model: DYLY-103, 0-5T range), a flexible ruler, two rings (M18), a steel ruler and a laptop. The air pump was a movable piston air pump. The air pump was fixed on the frame by welding, and the subsoiling shovel was connected to the air pipe through the frame.
In the field experiment, the subsoiling shovel, presented in Section 2.1, was used. In order to measure the resistance accurately and facilitate the data measurement and collection process, two tractors were used. One was a John Deere 6E-1504 tractor that provided forward power, with a size of 4860 × 2480 × 2840 mm, a 4 × 4 drivetrain, 118 kW of engine power and a power output of 110.5 kW. The other one was a Dongfanghong LX1000 wheeled tractor, which was connected to a pneumatic subsoiling machine. Its dimensions were 4330 × 2160 × 2865 mm, with a 4 × 4 wheeled drivetrain. The engine power was 80 kW, and the power output was 73.5 kW. In the subsoiling process, the John Deere 6E-1504 tractor was in front, and the Dongfanghong LX1000 wheeled tractor was placed in the middle. The pneumatic subsoiling machine was connected to the upper and lower pulling shafts of the Dongfanghong LX1000 tractor through the suspension device. The tractors were connected by two lengths of the wire rope (radius = 5 mm), and the tension sensors that measured the traction force were connected by two rings (M18) between the two lengths of wire rope. The tension sensors could be used to view the specific value through the display and were connected to a laptop to upload the tension data. The schematic diagram of the on-site test framework for pneumatic subsoiling is shown in Figure 3.
Figure 3.
The overall framework of the pneumatic subsoiling field test.
The force measurement process was as follows. First, when the subsoiling machine was not working, the John Deere 6E-1504 tractor pulled the Dongfanghong LX1000 tractor and the nonoperating subsoiling machine forward with the wire rope. The resistance of the Dongfanghong LX1000 tractor and the unloaded subsoiling machine was measured by the tension sensor, and the measured tension was designated as F1. Secondly, based on the surface of the test field, the height of the subsoiling machine was adjusted up and down by the three-point suspension at the back of the tractor, the depth of the soil was selected, and the depth of subsoiling was adjusted to the operating depth with the steel ruler. Then, the air pump was opened, and the subsoiling operation began. The steel ruler was used to remove excess soil, which was convenient for the subsequent determination of the subsoiling effect and observations of the disturbance surface of the subsoiling. The John Deere 6E-1504 tractor then pulled the Dongfanghong LX1000 tractor forward, and the pneumatic subsoiling machine began operating. The data from the tension sensor were again collected by the computer, with the tension designated as F2. The average drag value of the tractor at a stable driving distance was taken as the experimental result. Finally, the tension obtained in the second experiment minus the tension obtained in the first experiment was used as the resistance F3 of the subsoiling operation in the field experiment. The formula used for this calculation is shown in Formula (2). Each experiment was repeated three times, and then the average value of the subsoiling resistance was calculated and taken as the final experimental result.
The running speed was changed by adjusting the tractor’s gears. For all experiments, the tractor’s forward speed was estimated by measuring the time required to travel a certain distance (30 m) at a constant speed, and the average forward speed was always measured to be 0.5–1.0 m/s. In addition, the working pressure was controlled by adjusting the air pump’s pressure-regulating valve. The experimental process is shown in Figure 4.
Figure 4.
Rear view of the pneumatic subsoiler during the trials.
In order to explore the disturbance effect of the pneumatic subsoiling shovel on the soil, the soil disturbance area of the subsoiling shovel was measured, and the soil in the furrow after subsoiling was removed in the stable tractor driving area. The profile shape of the subsoiling shovel’s soil disturbance was measured by a rigid ruler and a soft ruler, and the shape was drawn on graph paper to outline the soil profile, and then the area of soil disturbance was calculated, as shown in Figure 5.
Figure 5.
Surface disturbance of subsoiling. (a) Extraction method of disturbance surface, (b) rendering of subsoiling disturbance surface.
In this experiment, a simple randomized trial design was adopted, and 160 sets of experiments were carried out with different working air pressures (Factor A; 0, 0.2, 0.4, 0.6 and 0.8 MPa), different working forward speeds (Factor B; 1.8, 2.3, 2.9 and 3.5 km/h), depths (Factor C; 30, 35, 40 and 45 cm), and the bulk density and moisture content of the two different soils (Factor D and Factor F) as the five effective independent variables to measure the working resistance of the pneumatic subsoiler. See Table 2 for the selection of the parameters.
Table 2.
Selection of the experimental parameters.
2.3. Machine Learning Models
This section introduces the RF, XGBoost, BP and SVR models that were used in this study and the methods for evaluating their performance. In this study, MATLAB R2019A (Mathworks Inc., Natick, MA, USA) was used to establish the ML network models to predict the tillage resistance of the pneumatic subsoiler. This software has powerful functions in the field of ML and has been widely used in various fields. The following is a brief introduction to the models that were built. Figure 6 shows the overall method used for the four models.
Figure 6.
Working methodologies of the machine learning models.
2.3.1. RF model
Random forest (RF) is a specific implementation of the bagging method. It comprises a large number of decision trees, which can be used for classification or regression problems. Its mathematical equation is given in Equation (3) [37]. The basic principle of the RF model uses multiple decision trees to realize its regression function. It uses random sampling to extract a sample subset from all the training samples to generate a single decision tree. At the same time, in the process of generating a single non-leaf node, the best partition feature is selected from multiple randomly selected features. By repeating the above process, multiple decision trees with different shapes can be generated to form a decision forest, and the decision tree is pruned to improve generalizability. The original data were divided into different subsets, where each subset had a prediction, and then the prediction results of the various subsets were combined as the final output of RF. Thus, the random forest method is more accurate than the results obtained by a single decision tree [38,39,40]. Since the random forest method is insensitive to the noise in the dataset, it is best for dealing with complex nonlinear relationships between features and outputs.
where f is the segmentation feature; , and are the parent objects; and are the number of samples of the parent node; and I is the impurity.
2.3.2. SVR Model
In the discipline of machine learning, the support vector network is a supervised algorithm for classification and regression. Support vector regression (SVR) applies the support vector machine (SVM) to regression problems. SVM is known as a supervised learning classification technology. It is based on statistical learning of the VC dimension (Vapnik–Chervonenkis dimension) and structural risk minimization theory. It is a two-class classification model, which mainly solves the linear classification problem with the largest interval in the feature space. For the linear inseparability problem, the RBF kernel function is used to map the low-dimensional data to a high-dimensional space, thus transforming the linearly inseparable problem in the low-dimensional space into the linearly separable problem in the high-dimensional space and then mapping it back to the low-dimensional space by solving it [41,42]. SVR uses SVM to fit the curve for the regression analysis of the data. The primary operations of SVR are as follows: given a training sample D, as shown in Equation (4), the process finds a regression model f(x) that is as close as possible to y; f(x) is shown in Equation (5).
where x is the input dataset, w represents an N-dimensional vector, and b is the displacement term. In this model, if f(x) and y are equal, the loss is zero. Support vector regression assumes that the deviation between f(x) and y is, at most, ε. The loss is calculated if, and only if, the absolute deviation between f(x) and y is greater than ε. An interval with a width of 2ε is constructed with f(x) as the center. If the training samples fall into this interval, the prediction is considered correct, and the regression estimation problem can be formally transformed into the inference problem of the function y = f(x). The slack variable 𝜉 and the error penalty coefficient c are introduced to transform the multidimensional problem into an optimization constraint problem.
2.3.3. BP Model
The BP neural network is generally made up of an input layer, a hidden layer and an output layer, which is known as a multilayered feedforward neural network. Each layer has multiple neurons, and each neuron is independent of the others. The input sample vector is processed by the input layer and the hidden layer’s neurons, as shown in Equation (6), and is outputted by the output layer’s neurons, as shown in Equation (7). The learning process of BP is mainly through weight adjustment, and a BP neural network has a strong self-learning capacity plus the ability to adapt [43,44].
where f, m, n, and are the weight of the hidden layer, the bias of the hidden layer, the activation function, the total number of input layers, the number of neurons in the hidden layer, the output of the hidden layer, the output of the output layer, the weight of the output layer and the bias of the output layer, respectively [45].
2.3.4. XGBoost Model
Extreme gradient boosting (XGBoost) is known as an ensemble learning algorithm that has been optimized and improved on the basis of the gradient-boosted decision tree (GBDT) [46]. The basic idea is to fit the residual of the previous weak evaluator by iteratively generating new weak evaluators, assigning specific weights to the generated weak evaluators in each iteration, and then aggregating them into a strong evaluator for prediction. XGBoost is an additive model comprising multiple decision trees [47]. XGBoost introduces regularization to control the complexity of the model, prevent over-fitting problems, support parallel processing and greatly improve the running speed of the algorithm. The formula is given in Equation (8).
where is the predicted value of sample i at step t of the model, and is the value of the decision tree for sample i at step t.
2.4. Training of the Network Models and Evaluation of Their Performance
In this study, the RF, XGBoost, SVR and BP regression models were applied to forecast the resistance of pneumatic subsoiling. For each model, a grid search approach is applied to adjust the parameters to advance the performance of the models in terms of generalization. The example with the optimal parameters was applied to the training and testing datasets.
In order to find the machine learning model that was most suitable for predicting the resistance of pneumatic subsoiling, we evaluated the network performance and the accuracy of the selected models. For the evaluation of the network performance and accuracy, three indexes (the coefficient of determination (R2), root mean square error (RMSE), and mean absolute percentage error (MAPE) were applied. The R2 is generally between 0 and 1, with values closer to 1 indicating a better fit between the measured and predicted values, and thus the model makes better predictions. The RMSE is the square root of the ratio of the squared deviation between the predicted value and the true value and the number of data groups, which estimates the changes in the expected value and true value. It is sensitive to outliers in the data. When the RMSE is lower, the model’s performance is better, and the greater the prediction error, the greater the RMSE value [48]. MAPE is equivalent to normalizing the error at each point, reducing the impact of the absolute error from individual outliers. MAPE uses a percentage to measure the size of the deviation, which is easy to understand and interpret [49,50]. Predictions become more accurate as the MAPE value becomes smaller, and generally, a model is better when the MAPE value is no more than 5%. The range of MAPE is [0, +∞), with 0% indicating a perfect model and a MAPE greater than 100% indicating a poor model. The formulas for R2, RMSE and MAPE are given in Equations (9)–(11).
where k is the total number of samples, m is the number of datasets on the resistance of pneumatic subsoiling, A is the observed value, and A* is the predicted value of the model.
3. Results and Discussion
3.1. Comparison of Resistance in Field Trials
According to two field experiments with different bulk density and moisture content levels, 160 groups of tillage resistance with various assorted working air pressures, depths and forward speeds were measured. The tillage resistance data were collected by the traction pressure sensor. According to the collected data, the tillage resistance was effectively reduced by pneumatic subsoiling. The forward speed was changed under five working air pressure conditions and compared with depths of 30 cm, 35 cm, 40 cm and 45 cm. As shown in Figure 7a,b, the effects of reducing the traction resistance were different at different tillage depths, forward speeds and working air pressures. Under the conditions of the exact same depth and speed, an increase in the working air pressure led to a decrease in the resistance of cultivation, and the resistance of cultivation reached a minimum of 0.8 MPa. When the depth of subsoiling was 30–40 cm, the resistance increased nearly linearly; when the depth was 40–45 cm, the resistance fluctuated irregularly for a short time. The experimental results show that the depth, forward speed and working air pressure significantly affect the tillage resistance of subsoiling, and there was an interaction among them.
Figure 7.
Resistance data at different speeds, depths and working air pressures. (a,b) indicate data from the Liaoning and Hebei test fields.
After the subsoiling operation was completed, the surface disturbance of the subsoiling was measured using a steel ruler and other devices, as shown in Figure 8. In the test field of Hebei province, the depth of deep loosening was 40 cm, the working speed was 1.8 km/h, the working pressure increased from 0 Mpa to 0.8 Mpa, and the area of surface disturbance increased.
Figure 8.
Disturbance profile of subsoiling. (a–e) are disturbance profiles corresponding to 0.8, 0.6, 0.4, 0.2 and 0 Mpa.
3.2. Results and Evaluation of Resistance Predictions
According to the experimental measurement and a literature search, the resistance of pneumatic subsoiling tillage is related to many factors, and the relationships among them are mostly complex, and it is difficult to find out their linear relationships. According to a large number of previous studies and field experiments, the aspects influencing the tillage resistance of pneumatic subsoilers were selected as the input indicators to establish a sample dataset. To acquire reliable predictions, the original 160 groups of sample sets were randomly disordered, the first 80 groups were used as the training set, and the last 20 groups of data were taken as the test sets. Firstly, the model for predicting the resistance of pneumatic subsoiling based on these four models was constructed. During the construction of the prediction model, the data were normalized to eliminate the influence of the different parameters on the model. Then, the training set was applied for learning, and finally, the test set verified the learned model.
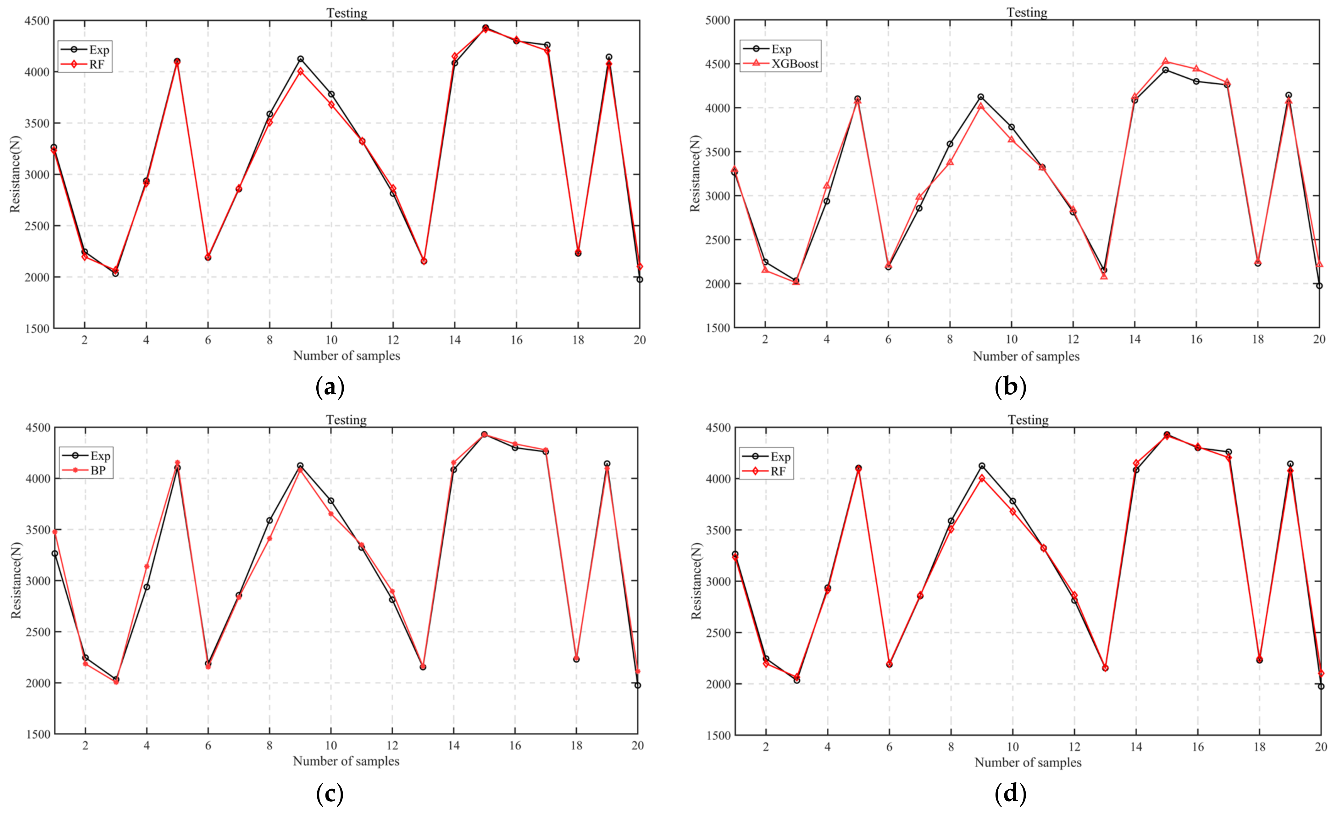
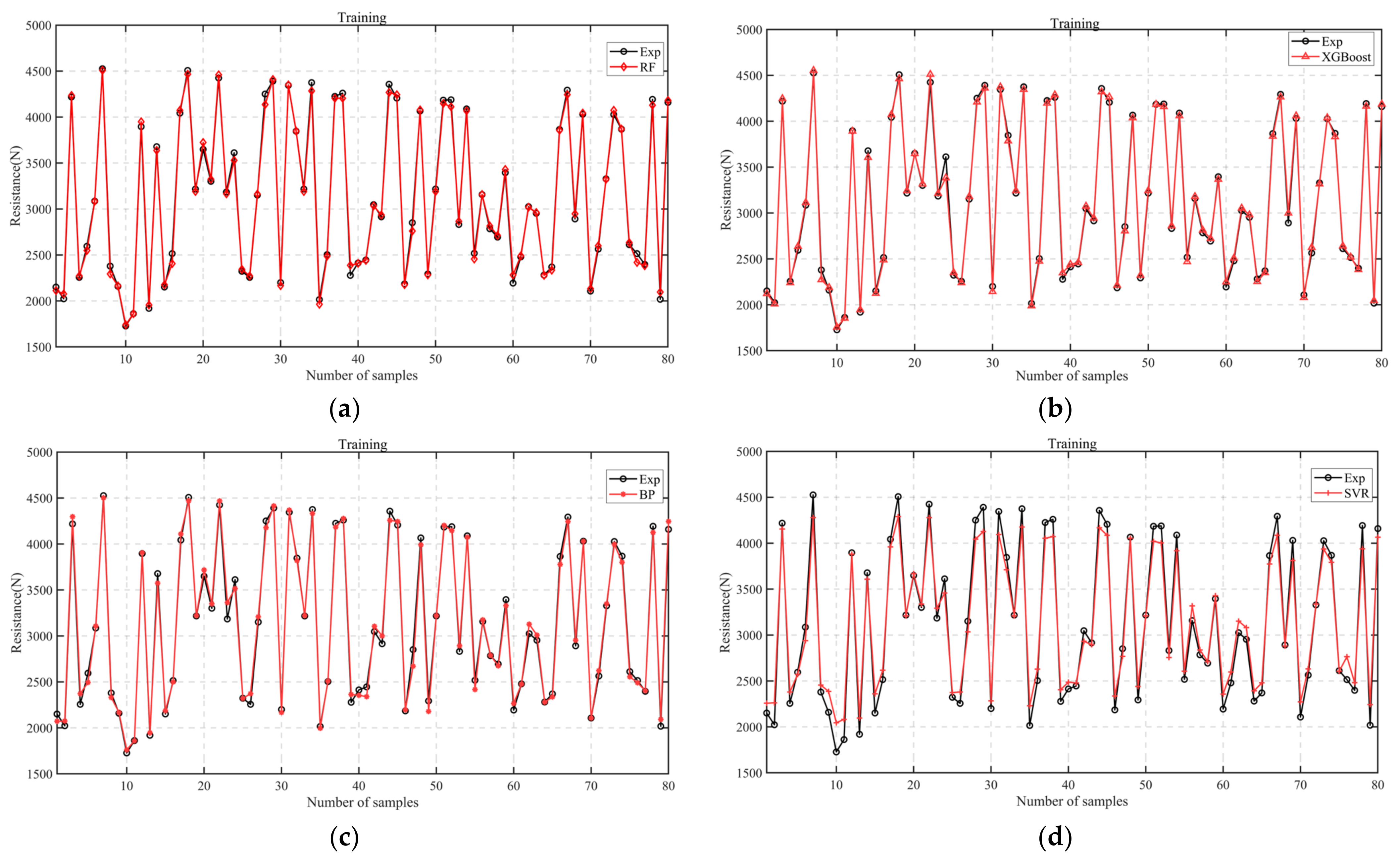
These four models predicted the value of subsoiling resistance. Figure 9a–d illustrate the fitting curves of the predicted resistance values found when training these models and the field measurements. By comparing the fitting curves of the four models, it is not difficult to observe that the predicted values of the RF, BP, XGBoost and SVR models used for training almost matched all the observed trend lines, and the prediction effects of the four models were very good, although SVR showed relatively poor performance. The fitting curve between the expected value of the test input and the actual measured value is shown in Figure 10a–d. By observing the fitting curves of the four models, we found that, compared with the fitting curve of the training set, the prediction effect of the test sets became worse, and the RF and XGBoost models had the best fitting effects.
Figure 9.
Fitting curves of the field measurements and predicted resistance values outputted by the four models when the models had been trained. (a–d) respectively show the fitting curves of RF, XGBoost, BP and SVR.
Figure 10.
Fitted curves of the field measurements and predicted resistance values outputted by the four models when testing the models. (a–d) respectively show the fitting curves of RF, XGBoost, BP and SVR.
The network regression plots of the predicted values when training and testing the model versus the actual measured values are plotted in Figure 11a–d and Figure 12a–d. According to these observations, it can be inferred that, compared with the other three models, the predicted values of RF for training and testing were closer to the true values, the error of these data compared with the true values was small.

Figure 11.
Regression plot of the resistance predicted by the training model against the field measurements. (a–d) represent the RF, XGBoost, BP and SVR network models.
Figure 12.
Regression plot of the resistance predicted by the testing model against the field measurements. (a–d) represent the RF, XGBoost, BP and SVR network models.
After the calculation of the parameters above, the measured results of the performance evaluation coefficients of the four models are shown in Table 3. Through a comparative analysis, it could be seen that the RMSE, R2 and MAPE values of RF, XGBoost and BP in the training set prediction model were equivalent, while the R2 value of the SVR training set prediction model was smaller than that of the first three models; the first three models’ MAPE and RMSE values were not as large. Therefore, the first three models within the training set prediction models were better than the SVR model. For the test set predictions of the RF, XGBoost and BP models, the RF model had the largest R2 value, while the MAPE and RMSE values were the smallest. Each performance evaluation coefficient was drawn and compared in a radar chart, as shown in Figure 13, which clearly showed that the RF model had the highest prediction accuracy. For the training set predictions, the RF, XGBoost and BP models had the same prediction accuracy, the SVR model had the lowest prediction accuracy, while the RF model had the highest accuracy in the test set predictions. This comprehensive analysis showed that the RF model had a good learning ability, the highest prediction accuracy and a small error value.
Table 3.
The average accuracy of the SVR, XGBoost, RF and BP models for training and testing.
Figure 13.
The three performance evaluation coefficients, plotted and compared in radar plots 3. Importance of the key factor indicators and correlation analysis.
In order to explore the crucial aspects that affect the resistance of pneumatic subsoiling, the OBB error rate index of the RF algorithm (out-of-bag data) was used to evaluate the importance of the parameters. The importance scores of each parameter are shown in Figure 14. As the scores become higher, the influence of the parameter on the resistance becomes greater. Pearson’s correlation was used to analyze the correlations among the variables to verify the accuracy of the RF assessment. The range was between −1 and 1, and the values closer to 1 represented a higher degree of correlation. On the contrary, a value closer to −1 indicates a higher degree of negative correlation. The results are shown in Figure 15. The working air pressure and moisture content were negatively correlated with resistance, while the other factors were positively correlated with resistance. The resistance became smaller when the working air pressure rose, and the greater the moisture content, the smaller the resistance; moreover, the greater the forward speed and soil bulk density, the greater the resistance.
Figure 14.
Evaluation of the importance of the parameters by RF, where pressure represents the working air pressure, speed represents the forward speed, DBD represents the soil bulk density, DB represents the soil moisture content, and depth represents the working depth.
Figure 15.
Pearson’s correlation coefficient was used to analyze the correlations among the variables, where pressure represents the working pressure, speed represents the forward speed, DBD represents the soil bulk density, DB represents the soil moisture content, and depth represents the working depth.
By comparing and analyzing Figure 14 and Figure 15, we found that the results of the RF and Pearson correlation analysis were basically the same, and the corresponding importance rankings were also the same, which also confirmed that the RF method is reliable for predicting the resistance of pneumatic subsoiling. Since the correlation coefficients between the input dimensions were all less than 0.6, they were not closely related to each other, proving that RF could exclude other unfavorable factors.
The ranking of the factors affecting the resistance of pneumatic subsoiling tillage according to importance was as follows: soil bulk density, depth, working air pressure, working forward speed and soil moisture content. For optimizing the resistance of pneumatic subsoiling tillage, the influence of soil bulk density, depth and working air pressure should be given priority. This is shown in Figure 14.
The correlation coefficients of working pressure, forward speed and soil moisture content with resistance were less than 0.5, while the correlation coefficients of soil bulk density and depth with resistance were between 0.5 and 0.6, indicating that there was not a simple linear relationship between the first three and resistance, while there were simple linear relationships between both soil bulk density and depth and resistance. At the same time, this demonstrated the feasibility of using RF to forecast complex, nonlinear relationships.
According to the evaluation of the RF model regarding the importance of the subsoiling parameters, the two key factors with the greatest influence on resistance were selected from 160 sets of data in two experimental fields, and the corresponding three-dimensional diagram of resistance is drawn, as shown in Figure 16. As the depth decreased, the resistance fluctuated after a sharp decrease and then decreased again. With an increase in the working air pressure, the resistance gradually decreased and underwent a slight oscillation in the middle. The subsoiling resistance was the least when the depth was 30 cm, and the working air pressure was 0.8 MPa. This indicated that the RF model was reliable for evaluating the importance of the parameters of subsoiling.
Figure 16.
Cloud plot of all data at different working depths and working pressures.
4. Conclusions
This study proposed the use of machine learning algorithms to analyze a pneumatic subsoil tillage machine. The intelligent algorithm based on the mix ratio was used to predict the tillage resistance of the pneumatic subsoiling machine and determine the important factors affecting the resistance. Based on the data obtained from two experimental fields with different levels of bulk density and moisture content, the RF, XGBoost, BP and SVR network models were constructed to predict the resistance of pneumatic subsoiling tillage. The model’s input parameters were moisture content, tractor speed, bulk density and depth, and the output parameter was the resistance of pneumatic subsoiling. After training and testing the models, the predictions of the four models were evaluated. The results showed that the RF algorithm had the greatest prediction accuracy, and the R2, RMSE and MAPE values of the training set were 0.9970, 2.26 N, and 0.012, and those of the test set were 0.9954, 3.61 N, 0.012, respectively. Compared with the other three prediction algorithms, RF was better in terms of all the indicators. Hence, the RF model established in this study had high accuracy for forecasting the tillage resistance of the pneumatic subsoiler and solved the problems of low accuracy and the poor generalizability of the previous models. Secondly, the RF model was used to sort the importance of variables and calculate the correlation indexes among the parameters. The results showed that soil bulk density had the greatest effect on the resistance of subsoiling, the subsoiling depth had the second greatest effect, the effect of the working air pressure ranked third, the effect of the working speed ranked fourth, and the soil moisture content had the least effect. At the same time, the model could predict the nonlinear mapping relationships between the resistance and the operating parameters. Finally, by combining the field measurement data and the contour of the surface disturbance, the comparative analysis showed that with an increase in the working air pressure, the resistance gradually decreased, and the area of disturbance gradually increased. It was verified that the effect of subsoiling was better when the pressure increased under the same conditions. Compared with conducting a large number of field experiments for analyzing the resistance, using the RF model to model and predict the resistance can save working time, labor and material resources.
There are still some shortcomings in this study. It did not take into account the oxidation effect of organic matter due to the injection of a large amount of air during the use of the pneumatic subsoiler, as well as the impact of changes in the soil environment on microbial communities and their effects on crops. Therefore, an experiment was conducted by planting crops in the trial field that was deep-tilled with the pneumatic subsoiling shovel and comparing their growth with those planted in traditionally tilled farmland in order to investigate both the changes in soil environment caused by pneumatic subsoiling and its effects on plant growth. It is known that the RF algorithm has a better effect with more samples; however, the number of samples in this study was relatively small [51,52]. Therefore, in the future, more samples should be considered for building a model with high accuracy and generalizability. In addition, the RF model can only predict resistance from the input parameters and cannot directly predict the best working conditions according to the optimization of the parameters. Therefore, a new goal is to establish an intelligent optimization model for different soil characteristics and subsoiling operation requirements. On the basis of the optimal design and mix ratio, the efficiency of the pneumatic subsoiling machine could be improved.
Author Contributions
Conceptualization, X.L. (Xia Li), Z.J. and S.W.; data curation, Z.J., X.L. (Xinglong Li) and S.W.; formal analysis, X.L. (Xia Li), Z.J. and Y.L.; funding acquisition, X.L. (Xia Li); investigation, X.L. (Xia Li); methodology, Z.J., S.W., X.L. (Xinglong Li) and Y.L.; project administration, X.L. (Xia Li); resources, X.L. (Xia Li); software, Z.J. and Y.L.; supervision, X.L. (Xia Li); validation, Z.J.,X.W. and Y.L.; visualization, Z.J., S.W., X.W. and Y.L.; writing—original draft, Z.J.; writing—review and editing, X.L. (Xia Li) and Z.J. All authors have read and agreed to the published version of the manuscript.
Funding
This research was funded by the National Natural Science Foundation of China (grant nos. 32171902, 32060417).
Data Availability Statement
Not applicable.
Conflicts of Interest
The authors declare no conflict of interest.
References
- Pulido-Moncada, M.; Munkholm, L.J.; Schjønning, P. Wheel load, repeated wheeling, and traction effects on subsoil compaction in northern Europe. Soil Tillage Res. 2019, 186, 300–309. [Google Scholar] [CrossRef]
- Kashirad, A.; Fiskell, J.G.A.; Carlisle, V.W.; Hutton, C.E. Tillage Pan Characterization of Selected Coastal Plain Soils. Soil Sci. Soc. Am. J. 1967, 31, 534–541. [Google Scholar] [CrossRef]
- Ren, L.; Cornelis, W.M.; Ruysschaert, G.; De Pue, J.; Lootens, P.; D’Hose, T. Quantifying the impact of induced topsoil and historical subsoil compaction as well as the persistence of subsoiling. Geoderma 2022, 424, 116024. [Google Scholar] [CrossRef]
- Akinci, I.; Cakir, E.; Topakci, M.; Canakci, M.; Inan, O. The effect of subsoiling on soil resistance and cotton yield. Soil Tillage Res. 2004, 77, 203–210. [Google Scholar] [CrossRef]
- Martínez, I.G.; Prat, C.; Ovalle, C.; del Pozo, A.; Stolpe, N.; Zagal, E. Subsoiling improves conservation tillage in cereal production of severely degraded Alfisols under Mediterranean climate. Geoderma 2012, 189–190, 10–17. [Google Scholar] [CrossRef]
- Qin, H.-l.; Gao, W.-s.; Ma, Y.-c.; Ma, L.; Yin, C.-m.; Chen, Z.; Chen, C. Effects of Subsoiling on Soil Moisture Under No-Tillage for Two Years. Agric. Sci. China 2008, 7, 88–95. [Google Scholar] [CrossRef]
- Zuo, S.; Kong, D.; Liu, C.; Li, Z.; Zhao, Y. Test research on influence rule of subsoiling pressure to subsoiling quality. Int. J. u- e- Serv. Sci. Technol. 2016, 9, 39–50. [Google Scholar] [CrossRef]
- Zuo, S.; Kong, D.; Liu, L.; Dong, X.; Zhao, Y. Experiment on effect of air-pressure subsoiling based on air-pressure cracking theory. Nongye Gongcheng Xuebao/Trans. Chin. Soc. Agric. Eng. 2016, 32, 54–61. [Google Scholar] [CrossRef]
- Wang, X.; Gao, P.; Yue, B.; Shen, H.; Fu, Z.; Zheng, Z.; Zhu, R.; Huang, Y. Optimisation of installation parameters of subsoiler’ wing using the discrete element method. Comput. Electron. Agric. 2019, 162, 523–530. [Google Scholar] [CrossRef]
- Song, W.; Jiang, X.; Li, L.; Ren, L.; Tong, J. Increasing the width of disturbance of plough pan with bionic inspired subsoilers. Soil Tillage Res. 2022, 220, 105356. [Google Scholar] [CrossRef]
- Makange, N.R.; Ji, C.; Torotwa, I. Prediction of cutting forces and soil behavior with discrete element simulation. Comput. Electron. Agric. 2020, 179, 105848. [Google Scholar] [CrossRef]
- Li, X.; Wang, S.C.; Meng, H.W.; Qu, Q.J.; Jia, Y.W. Research on drag reduction mechanism of pneumatic subsoiler and establishment of resistance mathematical model. Can. J. Soil Sci. 2022, 102, 531–548. [Google Scholar] [CrossRef]
- Songyu, L.; Dingwen, Z.; Guangyin, D.; Wenjun, H. A New Combined Vacuum Preloading with Pneumatic Fracturing Method for Soft Ground Improvement. In Proceedings of the 3rd International Conference on Transportation Geotechnics, ICTG 2016, Guimaraes, Portugal, 4–7 September 2016; pp. 454–461. [Google Scholar]
- Araya, K.; Gao, R. A Non-linear Three-Dimensional Finite Element Analysis of Subsoiler Cutting with Pressurized Air Injection. J. Agric. Eng. Res. 1995, 61, 115–128. [Google Scholar] [CrossRef]
- Zhang, H.; Araya, K.; Kudoh, M.; Zhang, C.; Jia, H.; Liu, F.; Sawai, T.; Yang, S. An Explosive Subsoiler for the Improvement of Meadow Soil, Part 1: Thermodynamics. J. Agric. Eng. Res. 2000, 75, 97–105. [Google Scholar] [CrossRef]
- Zhang, H.; Araya, K.; Kudoh, M.; Zhang, C.; Jia, H.; Liu, F.; Sawai, T.; Yang, S. An Explosive Subsoiler for the Improvement of Meadow Soil, Part 2: Soil Bin Experiments. J. Agric. Eng. Res. 2000, 75, 209–219. [Google Scholar] [CrossRef]
- Zhang, H.; Araya, K.; Kudoh, M.; Zhang, C.; Jia, H.; Liu, F.; Sawai, T.; Yang, S. An Explosive Subsoiler for the Improvement of Meadow Soil, Part 3: Field Experiments. J. Agric. Eng. Res. 2000, 75, 327–332. [Google Scholar] [CrossRef]
- Xi, X.; Zhang, R.; Shan, X.; Ye, W.; Shi, Y.; Ma, G.; Tao, D. Optimization of gas explosion subsoiling parameters based on soil fissure trace equation and soil disturbance model. Nongye Gongcheng Xuebao/Trans. Chin. Soc. Agric. Eng. 2018, 34, 15–24. [Google Scholar] [CrossRef]
- Qin, K.; Zhang, Y.Z.; Shen, Z.G.; Cao, C.M.; Wu, Z.M.; Ge, J.; Fang, L.F.; Bi, H.J. Investigating the Coupling Effect of High Pressure and Hot Air on External Friction Angle Based on Resistance Reduction Tests on Subsoiling Tillage Tools for Sandy Clay Loam. Agronomy 2022, 12, 2663. [Google Scholar] [CrossRef]
- Sasaki, C.M.; Goncalves, J.L.D.; da Silva, A.P. Ideal subsoiling moisture content of Latosols used in forest plantations. For. Ecol. Manag. 2007, 243, 75–82. [Google Scholar] [CrossRef]
- Ahmadi, I. Effect of soil, machine, and working state parameters on the required draft force of a subsoiler using a theoretical draft-calculating model. Soil Res. 2017, 55, 389–400. [Google Scholar] [CrossRef]
- Al-Janobi, A.; Al-Suhaibani, S.A. Draft of Primary Tillage Implements in Sandy Loam Soil. Appl. Eng. Agric. 1998, 14, 343–348. [Google Scholar] [CrossRef]
- Abbaspour-Gilandeh, Y.; Fazel-Niari, Z.; Shahgoli, G.; Bavafa, M. Design and construction of a high speed inter-row cultivator. In Proceedings of the 2nd International Conference on Mechanical and Aerospace Engineering, ICMAE 2011, Bangkok, Thailand, 29–31 July 2011; pp. 4914–4918. [Google Scholar]
- Kichler, C.M.; Fulton, J.P.; Raper, R.L.; Zech, W.C.; McDonald, T.P.; Brodbeck, C.J. Spatially monitoring tractor performance to evaluate energy requirements of variable depth tillage and implement selection. In Proceedings of the 2007 ASABE Annual International Meeting, Technical Papers. Minneapolis, MN, USA, 17–20 June 2007; American Society of Agricultural and Biological Engineers, ASABE: St. Joseph, MI, USA, 2007. [Google Scholar]
- Jiang, X.H.; Tong, J.; Ma, Y.H.; Sun, J.Y. Development and verification of a mathematical model for the specific resistance of a curved subsoiler. Biosyst. Eng. 2020, 190, 107–119. [Google Scholar] [CrossRef]
- Sadek, M.A.; Chen, Y.; Zeng, Z. Draft force prediction for a high-speed disc implement using discrete element modelling. Biosyst. Eng. 2021, 202, 133–141. [Google Scholar] [CrossRef]
- Upadhyay, G.; Raheman, H. Specific draft estimation model for offset disc harrows. Soil Tillage Res. 2019, 191, 75–84. [Google Scholar] [CrossRef]
- Manuwa, S.I. Performance evaluation of tillage tines operating under different depths in a sandy clay loam soil. Soil Tillage Res. 2009, 103, 399–405. [Google Scholar] [CrossRef]
- Alimardani, R.; Abbaspour-Gilandeh, Y.; Khalilian, A.; Keyhani, A.; Sadati, S.H. Prediction of draft force and energy of subsoiling operation using ANN model. J. Food Agric. Environ. 2009, 7, 537–542. [Google Scholar]
- Novák, D.; Lehký, D. ANN inverse analysis based on stochastic small-sample training set simulation. Eng. Appl. Artif. Intell. 2006, 19, 731–740. [Google Scholar] [CrossRef]
- Zhang, Z.X.; Kushwaha, R.L. Applications of neural networks to simulate soil-tool interaction and soil behavior. Can. Agric. Eng. 1999, 41, 119–125. [Google Scholar]
- Al-Hamed, S.A.; Wahby, M.F.; Al-Saqer, S.M.; Aboukarima, A.M.; Sayedahmed, A.A. Artificial Neural Network Model for Predicting Draft and Energy Requirements of a Disk Plow. J. Anim. Plant Sci. 2013, 23, 1714–1724. [Google Scholar]
- Gautam, P.V.; Tiwari, P.S.; Agrawal, K.N.; Roul, A.K.; Kumar, M.; Singh, K. Optimisation and modelling of draft and rupture width using response surface methodology and artificial neural network for tillage tools. Soil Res. 2022, 60, 816–838. [Google Scholar] [CrossRef]
- Swetha, R.K.; Dasgupta, S.; Chakraborty, S.; Li, B.; Mancini, M.; Silva, S.; Ribeiro, B.; Curi, N.; Ray, D. Using Nix color sensor and Munsell soil color variables to classify contrasting soil types and predict soil organic carbon in Eastern India. Comput. Electron. Agric. 2022, 199, 107192. [Google Scholar] [CrossRef]
- Spoor, G.; Godwin, R.J. An experimental investigation into the deep loosening of soil by rigid tines. J. Agric. Eng. Res. 1978, 23, 243–258. [Google Scholar] [CrossRef]
- Zou, L.; Liu, G.; Yuan, J.; Xin, Z.; Niu, Z. Design and Test of Active Lubrication and Drag Reduction Curved Subsoiler. Nongye Jixie Xuebao/Trans. Chin. Soc. Agric. Mach. 2022, 53, 34–43. [Google Scholar] [CrossRef]
- De Caigny, A.; Coussement, K.; De Bock, K.W. A new hybrid classification algorithm for customer churn prediction based on logistic regression and decision trees. Eur. J. Oper. Res. 2018, 269, 760–772. [Google Scholar] [CrossRef]
- Li, Y.; Yan, C.; Liu, W.; Li, M. A principle component analysis-based random forest with the potential nearest neighbor method for automobile insurance fraud identification. Appl. Soft Comput. 2018, 70, 1000–1009. [Google Scholar] [CrossRef]
- Bai, J.; Yang, J.; Song, W.; Liu, Y.; Xu, H.; Liu, Y. Intelligent Prediction of Cryptogenic Stroke Using Patent Foramen Ovale from TEE Imaging Data and Machine Learning Methods. Int. J. Comput. Intell. Syst. 2022, 15, 13. [Google Scholar] [CrossRef]
- Wang, F.; Yang, S.; Wei, Y.; Shi, Q.; Ding, J. Characterizing soil salinity at multiple depth using electromagnetic induction and remote sensing data with random forests: A case study in Tarim River Basin of southern Xinjiang, China. Sci. Total Environ. 2021, 754, 142030. [Google Scholar] [CrossRef]
- Xu, S.; Niu, R. Displacement prediction of Baijiabao landslide based on empirical mode decomposition and long short-term memory neural network in Three Gorges area, China. Comput. Geosci. 2018, 111, 87–96. [Google Scholar] [CrossRef]
- Yang, B.; Yin, K.; Lacasse, S.; Liu, Z. Time series analysis and long short-term memory neural network to predict landslide displacement. Landslides 2019, 16, 677–694. [Google Scholar] [CrossRef]
- Tang, Y.; Su, J.; Khan, M.A. Research on Sentiment Analysis of Network Forum Based on BP Neural Network. Mob. Netw. Appl. 2021, 26, 174–183. [Google Scholar] [CrossRef]
- Peng, H.; Wu, H.; Wang, J. Research on the Prediction of the Water Demand of Construction Engineering Based on the BP Neural Network. Adv. Civ. Eng. 2020, 2020, 8868817. [Google Scholar] [CrossRef]
- He, S.; Sang, X.; Yin, J.; Zheng, Y.; Chen, H. Short-term Runoff Prediction Optimization Method Based on BGRU-BP and BLSTM-BP Neural Networks. Water Resour. Manag. 2023, 37, 747–768. [Google Scholar] [CrossRef]
- Chen, T.; Guestrin, C. XGBoost: A Scalable Tree Boosting System. In Proceedings of the 22nd ACM SIGKDD International Conference on Knowledge Discovery and Data Mining, San Francisco, CA, USA, 13–17 August 2016; pp. 785–794. [Google Scholar]
- Wu, K.; Chai, Y.; Zhang, X.; Zhao, X. Research on Power Price Forecasting Based on PSO-XGBoost. Electronics 2022, 11, 3763. [Google Scholar] [CrossRef]
- Shen, S.-L.; Atangana Njock, P.G.; Zhou, A.; Lyu, H.-M. Dynamic prediction of jet grouted column diameter in soft soil using Bi-LSTM deep learning. Acta Geotech. 2021, 16, 303–315. [Google Scholar] [CrossRef]
- Yu, J.; Zhangzhong, L.; Lan, R.; Zhang, X.; Xu, L.; Li, J. Ensemble Learning Simulation Method for Hydraulic Characteristic Parameters of Emitters Driven by Limited Data. Agronomy 2023, 13, 986. [Google Scholar] [CrossRef]
- Makridakis, S.; Hibon, M.; Moser, C. Accuracy of Forecasting: An Empirical Investigation. J. R. Stat. Society. Ser. A (General) 1979, 142, 97–145. [Google Scholar] [CrossRef]
- Xue, L.; Liu, Y.; Xiong, Y.; Liu, Y.; Cui, X.; Lei, G. A data-driven shale gas production forecasting method based on the multi-objective random forest regression. J. Pet. Sci. Eng. 2021, 196, 107801. [Google Scholar] [CrossRef]
- Yang, P.; Wang, D.; Zhao, W.-B.; Fu, L.-H.; Du, J.-L.; Su, H. Ensemble of kernel extreme learning machine based random forest classifiers for automatic heartbeat classification. Biomed. Signal Process. Control 2021, 63, 102138. [Google Scholar] [CrossRef]
Disclaimer/Publisher’s Note: The statements, opinions and data contained in all publications are solely those of the individual author(s) and contributor(s) and not of MDPI and/or the editor(s). MDPI and/or the editor(s) disclaim responsibility for any injury to people or property resulting from any ideas, methods, instructions or products referred to in the content. |
© 2023 by the authors. Licensee MDPI, Basel, Switzerland. This article is an open access article distributed under the terms and conditions of the Creative Commons Attribution (CC BY) license (https://creativecommons.org/licenses/by/4.0/).