Abstract
Plant biostimulants are substances or microorganisms aimed at promoting plant growth by increasing the mineral nutrition efficiency, tolerance to environmental stress, and crop quality traits. This new category of crop inputs has been capturing the interest of both researchers and agriculture takeholders in light of the promising effects they could have on crop productivity and sustainability. This study investigated a variety of biostimulants for their effect on germination rates, plant health, chlorophyll fluorescence parameters, SPAD index, and growth of baby leaf lettuce and Batavia lettuce submitted to biotic (absence/presence of Pythium ultimum in the growing medium) or abiotic (0, 40, 80, and 120 mM NaCl L−1 concentrations and −0.5, −2, −4, and −6 kPa water potentials) stresses when grown in a greenhouse under conventional and organic cultivation. The results obtained show that lettuce response to biostimulants was influenced by the type or level of stress applied and the growing system used. The effects of the tested biostimulants varied from strongly detrimental to strongly beneficial.
1. Introduction
Plant biostimulants are substances or microorganisms that aim to promote plant growth by increasing nutrition efficiency, tolerance to environmental stress, and crop quality traits [1,2,3]. Biostimulants support plant growth by different mechanisms of action regardless of their specific content in nutrients and irrespective of their direct action against pests [4]. In that regard, “biostimulants offer a potentially novel approach for the regulation/modification of physiological processes in plants to stimulate growth, to mitigate stress-induced limitations, and to increase yield” and may contribute to reducing the use of chemical fertilizers and pesticides [5]. For several years now, this new category of crop inputs has been capturing the interest of both researchers and agriculture stakeholders in light of the promising effects they could have on crops.
Biostimulant classification is currently based on the composition of the product. The main classes of plant biostimulants are humic substances, protein hydrolysates, seaweed extracts, plant extracts, chitosan, inorganic compounds, and beneficial microorganisms [4,5]. Humic substances, which comprise humic and fulvic acids, stimulate plant cells and induce plasma membrane H+-ATPase activity, which then cascades into root growth promotion, secondary ion transport, and many other metabolic changes [6]. Protein hydrolysates usually contain a mixture of peptides and amino acids that elicit auxin- and gibberellin-like activities in plants [7], while hydrolysate enriched in glycine was shown to increase the expression levels of PR1 and PR8, two defense-related genes [8]. The use of seaweed extracts in agriculture, particularly extracts from the intertidal brown algae Ascophyllum nodosum, has been extensively studied in the last decades. A. nodosum extracts were shown to improve growth in a wide variety of crops grown under stressful and non-stressful conditions [9,10,11]. Plant extracts are based on naturally occurring plant compounds that can modulate physiological, biochemical, and molecular processes on other plants when applied exogenously. Plant extracts such as moringa (Moringa oleifera) leaf extract; garlic (Allium sativum) extract; and molecules such as triacontanol, melatonin, and salicylic acid are particularly gaining attention as biostimulants derived from plants [12,13,14]. Chitosan is a deacetylated form of chitin, a natural polymer found in insect exoskeletons, fungal cell walls, and crustacean shells. Although chitosan has been primarily used for its antimicrobial properties, evidence of its action as a plant-elicitor and plant growth-promoter has been growing [15,16,17]. Inorganic compounds, particularly phosphite and silicon, were shown to improve plant response to abiotic stress [18,19,20]. Moreover, silicon has long been recognized as an effective biotic stress alleviator by increasing plant resistance to diseases caused by the oomycete Pythium ultimum and several fungal species [21,22]. Finally, numerous microorganisms have been proven to be beneficial for plants in many regards. The use of plant growth-promoting rhizobacteria (Bacillus spp., Pseudomonas spp., Azospirillum spp., etc.) and fungi (Trichoderma spp.) as biostimulants has repeatedly shown beneficial effects on plant nutrition, growth, abiotic stress tolerance, and induction of systemic resistance [23,24,25,26]. Although most of the biostimulants currently on the market fall into one of these previous classes, other emerging products are also gaining momentum (e.g., pyroligneous acid or wood vinegar) [27].
Plants are subjected to a wide range of environmental stresses that limit the productivity of agricultural crops. Environmental stresses can be categorized into two types: biotic and abiotic stresses [28]. Biotic stresses are caused by living organisms such as insects, fungi, oomycetes, and bacteria. The oomycete P. ultimum causes pre- and post-emergence damping-off of seedlings and Pythium root rot in a variety of crops, including lettuce and other leafy vegetables [29,30]. Baby leaf vegetables are particularly vulnerable to P. ultimum, because they are grown under very high crop density [31]. Abiotic stresses are caused by non-living factors such as drought and salinity, which pose important threats to vegetable production because of their dramatic effects on plant growth, yield, and quality [32,33].
Several studies document the positive impacts of biostimulants on plants subjected to abiotic or biotic stress [7,10,11,12,14,16,20,24,34,35]. While studies dealing with biostimulants have generally focused on the effects of the latter on plants exposed to different levels of a specific stress in one particular growing system, the present study tested ten biostimulants under two different growing systems (conventional and organic growing systems) for their effect on two lettuce (Lactuca sativa) cultivars (baby leaf and Batavia lettuce) submitted to varying levels of abiotic or biotic stress.
2. Materials and Methods
2.1. Pythium ultimum
P. ultimum was isolated from chard microgreen in a growth chamber (Conviron, Winnipeg, MB, Canada) at Université Laval (Québec, QC, Canada) and was identified by partial genome sequencing (PCR) at the Laboratoire d’expertise et de diagnostic en phytoprotection (MAPAQ; Québec, QC, Canada). The organism was preserved on potato dextrose agar (PDA; Becton, Dickinson and Company, Franklin Lakes, NJ, USA) at 4 °C. P. ultimum was grown at 24 °C on PDA in petri dishes for six days. PDA plates covered with actively growing P. ultimum were then rinsed with 32 mL of sterile physiological water (0.5% NaCl L−1) to collect mycelium. The mycelium suspension obtained was placed at 4 °C for 45 min to induce zoospore production [36]. The concentration of zoospores in the suspension was determined using a hemacytometer and adjusted to 5 × 107 zoospores mL−1.
2.2. Plant Material and Growth Conditions
Baby leaf lettuce (cv. Garrison) and Batavia lettuce (cv. Salanova® Red Batavia) organic seeds were obtained from Johnny’s Selected Seeds (Winslow, ME, USA). Plants were grown either in an organic or a conventional growing system. In the organic growing system, seeds were sown in sphagnum peat moss organic growing substrate (PRO-MIX PG Organik; Premier Tech, Rivière-du-Loup, QC, Canada) supplemented with 10% (w/w) compost (peat and shrimp compost 1.1-0.6-0.5; Fafard et Frères Ltée, Saint-Bonaventure, QC, Canada). Solid organic fertilizers (Table 1) were added to the growing substrate before sowing (baby leaf and Batavia lettuce) and 23 days after sowing (mid-growth; Batavia lettuce). In the conventional growing system, seeds were sown in conventional growing substrate (PRO-MIX BX, Premier Tech, QC, Canada), and synthetic fertilization was provided through irrigation (fertigation solution adjusted to pH 5.8). Nutrient concentrations are presented in Table 2.
Table 1.
Organic fertilizers used for the organic growing system trials.
Table 2.
Nutrient concentrations of the fertigation solution used for the conventional growing system trials.
All experiments were carried out in a greenhouse located at Université Laval (Lat. 46°78′ N; Long. 71°28′ W). The day and night temperatures of the greenhouse were set at 21 °C and 18 °C with a relative humidity of 50% and 60%, respectively. Plants were grown under natural light with supplemental lighting of 180 µmol m−2 s−1 provided by 600 W HPS lamps during 16 h.
2.3. Biostimulants
Biostimulants tested along with the concentrations used are listed in Table 3. Concentrations used for each mode of application (drench or seed priming) were based on the manufacturer recommendations or on previous work for Bacillus subtilis PTB185, Bacillus pumilus PTB180 [37], and wollastonite [38].
Table 3.
Compounds/microorganisms tested for biostimulating activity, and concentrations tested for drench application and seed priming.
2.4. Effect of Biostimulants on Baby Leaf Lettuce Grown in a Substrate Colonized with P. ultimum
The growing substrate was placed in plastic nursery pots (6 cm × 8 cm). The substrate was then drenched with the zoospore suspension at a rate of 40 mL L−1 of substrate, homogenized, covered with opaque humidity domes and watered as necessary for 7 days at room temperature in the greenhouse to promote P. ultimum colonization. The non-inoculated control was drenched with sterile water. Biostimulants were applied to the substrate by drenching (10 mL/pot) at the concentrations for drench application listed in Table 3, and baby leaf lettuce seeds were sown directly at the surface of the substrate. Control seeds were sown in a substrate that was drenched with sterile water instead of a biostimulant (non-inoculated and inoculated control). After sowing, seeds were covered with vermiculite and grown (under plastic domes until germination) for 21 days in a greenhouse under organic or conventional management. This trial was a factorial experiment conducted in a split-plot design with 8 replicates. The main plots consisted of the growing systems (organic or conventional), and the subplots consisted of the biostimulant treatments. The experimental unit consisted of 30 baby leaf lettuce seeds sown in a plastic nursery pot.
2.4.1. Germination Rate and Percentage of Healthy Plants
The germination rate was measured 7 days after sowing to determine the impact of pre-emergence damping-off. For each experimental unit, the germination rate was determined as follows: [number of germinated seeds/total number of seeds sown (30)] × 100. Seeds were considered germinated when the radicle protruded more than 2 mm. At harvest, the number of plants showing no visual symptoms of Pythium root rot such as wilt, shriveled, brown, or dead tissues was counted and divided by the total number of plants (germinated seeds) to determine the percentage of healthy plants for each experimental unit.
2.4.2. Chlorophyll Content (SPAD Index)
One day before harvest (20 days after sowing), three plantlets (germinated seeds) per experimental unit were randomly selected to measure the chlorophyll content. The chlorophyll content was evaluated using a chlorophyll meter (SPAD-502Plus Chlorophyll Meter, Konica Minolta Co., Ltd., Tokyo, Japan) by taking three measurements on the leaves of each plantlet. The mean plant chlorophyll content per experimental unit was then determined.
2.4.3. Shoot Dry Biomass
Eight randomly selected plantlets per experimental unit were cut aboveground with a utility knife 21 days after sowing. The plantlets were then placed in paper bags and dried at 60 °C until constant weight was reached. Mean plant dry biomass per experimental unit was then determined.
2.5. Effect of Biostimulants on Baby Leaf Lettuce Grown under Salinity Stress
Biostimulants were applied to baby leaf lettuce seeds by seed priming. Seeds (20 g) were placed in the solution/suspension (1 L) of biostimulants at concentrations indicated in Table 3 and incubated for 1 h under agitation at room temperature. Control seeds were placed in sterile water. Seeds were then sown in the substrate as previously described. Drench applications of triacontanol (0.004 mL L−1) and wollastonite (4 g L−1) were also tested; the substrate was drenched 5 min prior to sowing. After sowing, seeds were covered with vermiculite and grown (under plastic domes until germination) for 21 days in a greenhouse under organic or conventional management. NaCl was added to irrigation water (0, 40, 80, or 120 mM NaCl L−1) before each irrigation to induce salinity stress. Plants were watered with the same level of salinity for the entire experiment. This trial was a factorial experiment conducted in a split-split-plot design with 4 replicates. The main plots consisted of the growing systems (organic or conventional), the subplots consisted of the salinity levels, and the sub-subplots consisted of the biostimulant treatments. The experimental unit consisted of 30 baby leaf lettuce seeds sown in a plastic nursery pot.
The germination rate was determined as previously described. One day before harvest, chlorophyll fluorescence was measured using a chlorophyll fluorimeter (Handy PEA+, Hansatech Instruments LTD, King’s Lynn, UK). Light-exclusion leaf clips were attached on the leaves of three randomly selected plantlets per experimental unit, avoiding the central vein of the leaves. The leaf clips were left on the leaves for 20 min to allow for dark adaptation of plant tissue. The maximum Fv/Fm ratio (variable fluorescence/maximum fluorescence; maximum quantum efficiency of photosystem II) and the performance index (PI; indicator of sample vitality) were measured for one second with 3000 umol m−2 s−1 PPFD (photosynthetic photon flux density). Fluorescence parameters were calculated according to the equations described by Strasser et al. [39]. At harvest, four randomly selected plantlets per experimental unit were cut aboveground with a utility knife, placed in paper bags, and dried at 60 °C until constant weight was reached. The mean plant dry biomass per experimental unit was then determined.
2.6. Effect of Biostimulants on Lettuce Grown under Water Stress
Batavia lettuce seeds were sown directly in 15 cm pots and were fully irrigated for the first 14 days under organic or conventional management in a greenhouse, as previously described. Fourteen days after sowing, water stress started to be applied to the plants. The targeted water content of the substrate corresponding to each water potential (−0.5, −2, −4, and −6 kPa) was determined by using the water retention curve of each growing substrate (data provided by Premier Tech adjusted to fit the van Genuchten model). Tensiometers were placed in pots of control plants (no biostimulant application) of each growing system and each water potential. Before each irrigation, the water potential was measured using the tensiometers to determine the current water content of the substrate using the water retention curve, and water was added to reach the targeted water potential. Each plant received three applications of biostimulant (at concentrations indicated in Table 3) by drenching (10 mL/pot) at 14-day intervals throughout the experiment: (1) 7 days after sowing (before water stress), (2) 21 days after sowing, and (3) 35 days after sowing. Control plants received a sterile water application. This trial was a factorial experiment conducted in a split-split-plot design with 4 replicates. The main plots consisted of the growing systems (organic or conventional), the subplots consisted of the water stress levels and the sub-subplots consisted of the biostimulant treatments. The experimental unit consisted of one lettuce plant. One day before harvest, the mean chlorophyll content (SPAD index) of each experimental unit was determined as previously described (three measurements/plant). Plants were harvested after 49 days. Dry biomass of the plants was determined as previously described.
2.7. Statistical Analysis
All data were analyzed using a two- or three-way model of the analysis of variance (ANOVA) with the MIXED procedure in SAS software (version 9.4, SAS Institute Inc., Cary, NC, USA) at a significance level of p ≤ 0.05. Data normality was verified using the Shapiro–Wilk statistic, and homogeneity of the variance was assessed visually by examining the graphic distribution of residuals. The GROUP statement was used when necessary to achieve data homogeneity. Pairwise comparisons were made using protected Fisher’s protected LSD test.
3. Results
3.1. Effect of Biostimulants on Baby Leaf Lettuce Grown in a Substrate Colonized with P. ultimum
The presence of P. ultimum in the substrate caused a significant decrease in the germination rate of seeds under both organic and conventional management systems (Figure 1). The germination rate in the substrate inoculated with P. ultimum (Control+) was 25% and 21% lower compared to the germination rate in the non-inoculated substrate (Control−) in the organic (Figure 1a) and the conventional (Figure 1b) system, respectively. None of the biostimulants tested significantly improved the germination rate of seeds sown in the substrate inoculated with P. ultimum compared to the inoculated control in either growing system.
Figure 1.
Effect of biostimulants on the germination rate of baby leaf lettuce seeds sown in a substrate inoculated with Pythium ultimum under organic (a) and conventional (b) management. Substrate was drenched with Ascophyllum nodosum extract (ACTIV), fulvic acid (FA), humic acid (HA), bamboo vinegar (BBOO), chitosan (CHITO), Bacillus pumilus PTB180 (PTB180), Bacillus subtilis PTB185 (PTB185), Trichoderma harzianum T-22 (ROOT), triacontanol (TRIA), or wollastonite (WOL). Control seeds were sown in a substrate that was drenched with water (no biostimulants) and inoculated with P. ultimum (CONTROL+) or non-inoculated with P. ultimum (CONTROL−). Each value represents the mean of 8 replicates ± standard error. Means sharing a same letter are not significantly different according to Fisher’s protected LSD test (p ≤ 0.05).
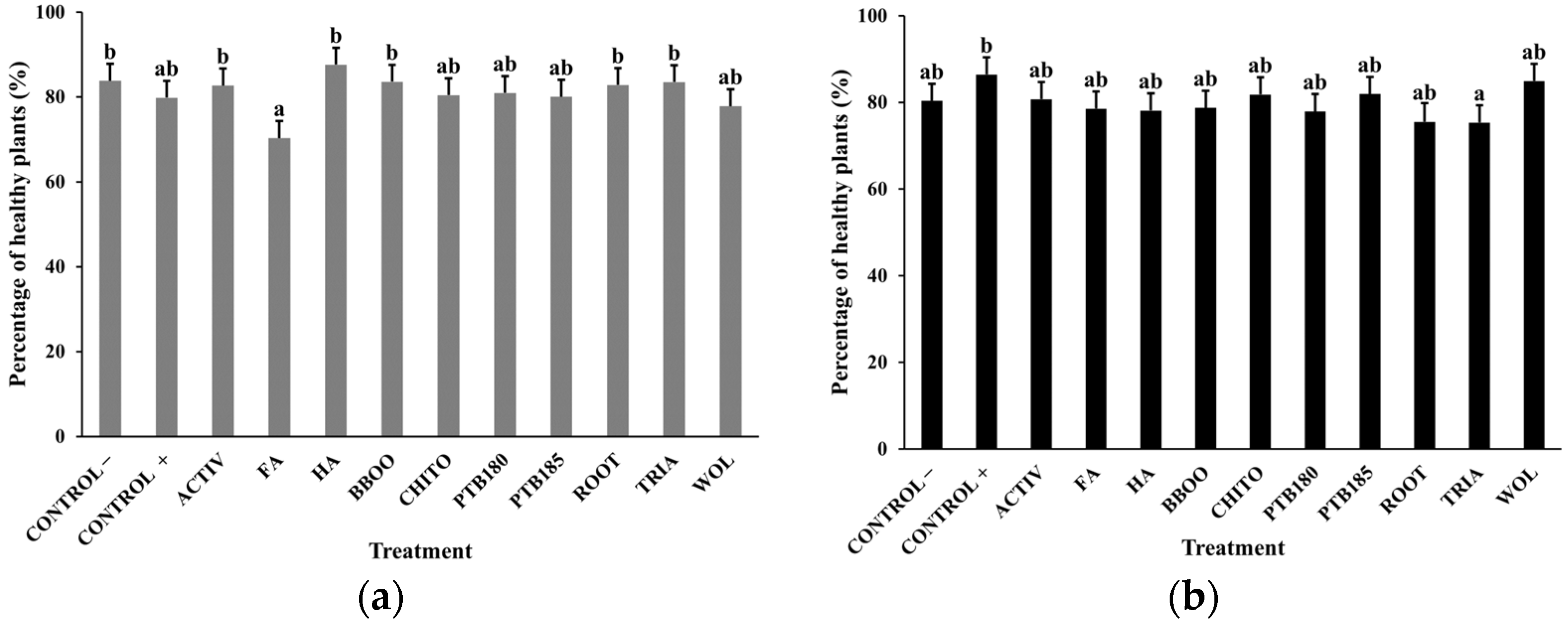
The percentage of healthy plants at harvest was not significantly different between the non-inoculated control and the inoculated control in both growing systems (Figure 2). No significant beneficial effect of biostimulants was observed on the percentage of healthy baby leaf lettuce plants grown in P. ultimum inoculated substrate in either growing system. On the other hand, the chlorophyll content (SPAD index) was significantly impacted by the presence of P. ultimum in the substrate. The SPAD index was decreased by 22% and 15% in the inoculated control compared to the non-inoculated control in the organic (Figure 3a) and the conventional (Figure 3b) system, respectively. In both growing systems, humic acid allowed to significantly increase the SPAD index of baby leaf lettuce grown in P. ultimum-inoculated substrate. Plants grown in a substrate drenched with humic acid showed a 13% and 10% higher SPAD index compared to the inoculated control in the organic (Figure 3a) and the conventional (Figure 3b) systems, respectively. Under organic management, none of the biostimulants significantly increased the shoot dry biomass of baby leaf lettuce plants compared to the controls (Figure 4a), while plants grown in a substrate drenched with humic acid under conventional management showed a significant increase (+19.5%) in shoot dry biomass compared to the inoculated control (Figure 4b).
Figure 2.
Effect of biostimulants on the percentage of healthy baby leaf lettuce plants grown in a substrate inoculated with Pythium ultimum under organic (a) and conventional (b) management. Substrate was drenched with Ascophyllum nodosum extract (ACTIV), fulvic acid (FA), humic acid (HA), bamboo vinegar (BBOO), chitosan (CHITO), Bacillus pumilus PTB180 (PTB180), Bacillus subtilis PTB185 (PTB185), Trichoderma harzianum T-22 (ROOT), triacontanol (TRIA), or wollastonite (WOL). Control seeds were sown in a substrate that was drenched with water (no biostimulants) and inoculated with P. ultimum (CONTROL+) or non-inoculated with P. ultimum (CONTROL−). Each value represents the mean of 8 replicates ± standard error. The means sharing a same letter are not significantly different according to Fisher’s protected LSD test (p ≤ 0.05).
Figure 3.
Effect of biostimulants on the chlorophyll content (SPAD index) of baby leaf lettuce grown in a substrate inoculated with Pythium ultimum under organic (a) and conventional (b) management. The substrate was drenched with Ascophyllum nodosum extract (ACTIV), fulvic acid (FA), humic acid (HA), bamboo vinegar (BBOO), chitosan (CHITO), Bacillus pumilus PTB180 (PTB180), Bacillus subtilis PTB185 (PTB185), Trichoderma harzianum T-22 (ROOT), triacontanol (TRIA), or wollastonite (WOL). Control seeds were sown in a substrate that was drenched with water (no biostimulants) and inoculated with P. ultimum (CONTROL+) or non-inoculated with P. ultimum (CONTROL−). Each value represents the mean of 8 replicates ± standard error. The means sharing a same letter are not significantly different according to Fisher’s protected LSD test (p ≤ 0.05).
Figure 4.
Effect of biostimulants on the shoot dry biomass of baby leaf lettuce plants grown in a substrate inoculated with Pythium ultimum under organic (a) and conventional (b) management. The substrate was drenched with Ascophyllum nodosum extract (ACTIV), fulvic acid (FA), humic acid (HA), bamboo vinegar (BBOO), chitosan (CHITO), Bacillus pumilus PTB180 (PTB180), Bacillus subtilis PTB185 (PTB185), Trichoderma harzianum T-22 (ROOT), triacontanol (TRIA), or wollastonite (WOL). Control seeds were sown in a substrate that was drenched with water (no biostimulants) and inoculated with P. ultimum (CONTROL+) or non-inoculated with P. ultimum (CONTROL−). Each value represents the mean of 8 replicates ± standard error. The means sharing a same letter are not significantly different according to Fisher’s protected LSD test (p ≤ 0.05).
3.2. Effect of Biostimulants on Baby Leaf Lettuce Grown under Salinity Stress
Under organic management, Trichoderma harzianum T-22 seed treatment (+1.41 to 2.59 times), triacontanol (+1.37 to 4.40 times), and wollastonite (+1.41 to 4.17 times) drench treatments significantly increased the germination rate of baby leaf lettuce seeds compared with the control at 80 and 120 mM NaCl L−1, while humic acid seed treatment significantly increased the germination rate at 120 mM NaCl L−1 by 2.93 times (Table 4). Under conventional management, a significant germination rate increase was observed at all four salinity levels with the triacontanol (+1.55 to 40.6 times) and the wollastonite (+1.68 to 53.1 times) drench treatments and at 40 mM NaCl L−1 with the T. harzianum T-22 seed treatment (+2.44 times) (Table 5).
Table 4.
Effect of biostimulants and salinity levels on the germination rate of baby leaf lettuce seeds under organic management.
Table 5.
Effect of biostimulants and salinity levels on the germination rate of baby leaf lettuce seeds under conventional management.
Under organic management, seeds treated with T. harzianum T-22 or A. nodosum extract resulted in plants with a significantly higher shoot dry biomass of 39.5 mg (+36%) and 42.1 mg (+45%), respectively, compared with the control (29.0 mg) when subjected to a salinity level of 40 mM NaCl L−1. None of the biostimulants significantly increased the plant dry biomass when seeds were subjected to a salinity level of 0 or 80 mM NaCl L−1 (Table 6). Under conventional management, neither of the biostimulants allowed to significantly increase the shoot dry biomass of baby leaf lettuce plants regardless of the salinity level (Table 7). Under both growing systems and for all stress levels (0, 40, and 80 mM NaCl L−1), none of the tested biostimulants significantly affected Fv/Fm or PI as compared to the controls (Table 8 and Table 9). The salinity stress at 120 mM NaCl L−1 was particularly detrimental in both systems, causing the death of most baby leaf lettuce plants before the end of the growing period (data not shown).
Table 6.
Effect of biostimulants and salinity levels on the shoot dry biomass of baby leaf lettuce plants under organic management.
Table 7.
Effect of biostimulants and salinity levels on the shoot dry biomass of baby leaf lettuce plants under conventional management.
Table 8.
Effect of biostimulants and salinity levels on the chlorophyll fluorescence parameters (variable fluorescence/maximum fluorescence (Fv/Fm) and performance index (PI)) of baby leaf lettuce plants under organic management.
Table 9.
Effect of biostimulants and salinity levels on the chlorophyll fluorescence parameters (variable fluorescence/maximum fluorescence (Fv/Fm) and performance index (PI)) of baby leaf lettuce plants under conventional management.
3.3. Effect of Biostimulants on Batavia Lettuce Grown under Water Stress
At a water stress level of −2 kPa, A. nodosum extract, fulvic acid, humic acid, B. pumilus PTB180, B. subtilis PTB185, and T. harzianum T-22 allowed, under organic management, to significantly increase the shoot dry biomass compared with the control plants (Table 10). Under conventional management, none of the biostimulants allowed to significantly increase the shoot dry biomass at −0.5 kPa, −2 kPa, and −4 kPa, while humic acid significantly increased the dry biomass of the plants grown at a water stress level of −6 kPa compared with the control (Table 11). The effect of biostimulants on the relative chlorophyll content (SPAD index) of the plants was not significantly impacted by the growing system or the water stress level. Under both growing systems (organic and conventional) and at all stress levels (−0.5 kPa, −2 kPa, −4 kPa, and −6 kPa), biostimulants did not significantly affect the SPAD index. Considering the absence of a significant interaction between factors, the main effect of each biostimulant on the SPAD index of Batavia lettuce is presented in Figure 5.
Table 10.
Effect of biostimulants and substrate water potentials on the shoot dry biomass of Batavia lettuce under organic management.
Table 11.
Effect of biostimulants and substrate water potentials on the shoot dry biomass of Batavia lettuce under conventional management.
Figure 5.
Effect of biostimulants on the chlorophyll content (SPAD index) of Batavia lettuce. Substrate was drenched (7 days after sowing (before water stress), 21 days after sowing, and 35 days after sowing) with Ascophyllum nodosum extract (ACTIV), fulvic acid (FA), humic acid (HA), chitosan (CHITO), Bacillus pumilus PTB180 (PTB180), Bacillus subtilis PTB185 (PTB185), Trichoderma harzianum T-22 (ROOT), triacontanol (TRIA), wollastonite (WOL), or water (CONTROL). The means (n = 32; ±standard error) are not significantly different (p ≤ 0.05).
4. Discussion
This study investigated a variety of biostimulants for their effect on baby leaf (cv. Garrison) and Batavia (cv. Salanova® Red Batavia) lettuce submitted to abiotic or biotic stress conditions when grown in an organic or conventional management system.
Biostimulants were first tested for their effect on the germination rate of baby leaf lettuce seeds sown in a substrate inoculated with P. ultimum. The presence of P. ultimum in the substrate was shown to cause a significant reduction (in the range of 20–25%) of the germination rate of baby leaf lettuce seeds. Biostimulants formulated with beneficial organisms known for biocontrol activity (T. harzianum T-22, B. pumilus PTB180, and B. subtilis PTB185), as well as the other biostimulants tested, did not significantly increase the germination rate of baby leaf lettuce seeds in both organic and conventional management systems. No significant effect of biostimulants was observed either on the percentage of healthy baby leaf lettuce plants. It is interesting to note, however, that soil drench application of humic acid allowed a slight increase in the nitrogen and chlorophyll content expressed by the SPAD index (in both growing systems) and in shoot dry biomass (in conventional growing system only) of baby leaf lettuce grown in the substrate colonized with P. ultimum. A recent work reported the beneficial effects of a compost extract (mixture of humic substances) in the nutrient solution on fresh biomass and root length of hydroponic baby leaf lettuce inoculated with Pythium irregulare [40]. Seed treatment with humic acid increased the germination rate of baby leaf lettuce seeds at a salinity level of 120 mM NaCl L−1 under an organic growing system. Humic acid or fulvic acid were beneficial for Batavia lettuce plants submitted to a mild (−2 kPa) or severe (−6 kPa) water stress in organic and conventional management, respectively. Forotaghe et al. [41] recently reported the beneficial effects of humic acid soil application on the growth and quality traits of onions (Allium cepa) cultivated under water-deficit conditions. Beneficial effects of seed priming with humic acid on coriander (Coriandrum sativum) growth under salinized (150 mM NaCl L−1) and non-salinized conditions were also recently reported [42]. Foliar application of humic acid- and fulvic acid-based biostimulants have previously been shown to produce significant increases in root dry weight, shoot dry weight, and SPAD index of spinach (Spinacia oleracea) [43]. When applied directly to a half-strength nutrient solution for hydroponic lettuce, fulvic acid was shown to be beneficial for root and shoot development of two different cultivars [44].
Triacontanol, a naturally occurring plant growth regulator particularly abundant in Fabaceae plants such as alfalfa (Medicago sativa), was shown to be particularly useful at mitigating the negative effect of salt stress in plants through the elicitation of a secondary messenger (TRIM), which triggers the opening of ion channels in the plasma membrane and the regulation of stress mitigating genes [14]. Triacontanol applied by drenching was shown herein to increase the germination rate of baby leaf lettuce seeds for all salinity levels tested under conventional growing system or for higher salinity levels (80 and 120 mM NaCl L−1) under organic management.
Silica is a beneficial element for plants that has been used for a long time as a disease management tool against biotic and abiotic stresses [22,45]. Wollastonite, a mineral containing mostly calcium silicate, was shown to alleviate the negative impacts of water stress on sugarcane (Saccharum officinarum) by promoting root and shoot development [46]. Hassanein et al. recently reported beneficial effects of potassium silicate (K2SiO3) on coriander growth under salinized (150 mM NaCl L−1) and non-salinized conditions [42]. In the present study, wollastonite applied by drenching increased the germination rate of baby leaf lettuce seeds for all the salinity levels tested (conventional growing system) or for higher salinity levels (organic growing system) but showed no beneficial effect on the shoot growth of both baby leaf and Batavia lettuce plants. Chaski and Petropoulos tested the effect of calcium silicate on two lettuce cultivars (Romaine and Batavia) submitted to three irrigation regimes [47]. Under severe deficit irrigation, they observed an increase in plant biomass of Romaine lettuce from calcium silicate application but no such effect on Batavia lettuce, which was more severely impacted by the water deficit.
Fungi of the genus Trichoderma are commonly used in horticulture, originally as biocontrol agents but more recently as microbial biostimulants [25,48,49]. Bacillus spp. are among the most widely used plant growth-promoting rhizobacteria, with B. subtilis and B. pumilus being among the ten most common species of bacteria registered as microbial plant biostimulants in several countries, including Canada [49]. In the present study, T. harzianum T-22 seed treatment increased the germination rate of baby leaf lettuce seeds at salinity levels of 40, 80, and 120 mM NaCl L−1 under organic or conventional growing systems and improved the shoot growth of baby leaf lettuce plants submitted to a salinity stress of 40 mM NaCl L−1 under organic management. In addition, T. harzianum T-22, B. pumilus PTB180, and B. subtilis PTB185 improved the shoot growth of Batavia lettuce plants submitted to a mild water stress under organic management.
In the present study, A. nodosum extract seed treatment/drench application was shown to improve the growth of baby leaf lettuce plants exposed to a salinity stress of 40 mM NaCl L−1 and the growth of Batavia lettuce plants exposed to a mild water stress under organic management. In line with our results, Xu and Leskovar observed a significant increase in dry biomass of spinach treated with A. nodosum extract when grown under drought stress [50].
For both organic and conventional growing systems, beneficial effects of A. nodosum extract, fulvic acid, and humic acid were observed on lettuce submitted to abiotic or biotic stress, while no effect was observed on lettuce under non-stressful conditions. Similarly, A. nodosum-based biostimulants were shown to increase yields of lettuce plants and dry biomass of spinach plants when plants were grown under stressful conditions, while no yield or dry biomass increases were observed when plants were grown under non-stressful conditions [50,51]. A meta-analysis of the plant growth response to humic substances conducted by Rose et al. revealed that plants are more likely to respond positively to applications of humic substances when they are submitted to high or moderate stressful conditions [52]. Moreover, for nine biostimulants derived from humic substances, amino acids, hydrolyzed proteins, or seaweed extracts, Gómez and Gómez reported no beneficial effect on the growth, yield, or quality of treated lettuce plants grown hydroponically where stressors were minimal or non-existent, and one biostimulant even generated a slightly negative effect on growth [53]. In the present study, detrimental effects of biostimulants were also observed. The drench application of triacontanol or wollastonite and A. nodosum extract seed treatment caused a strong reduction in the shoot biomass of baby leaf lettuce grown at salinity levels of 0, 40, or 80 mM NaCl L−1 under the organic growing system, while seed treatments with fulvic acid, humic acid, chitosan, T. harzianum T-22, and triacontanol caused a strong reduction in the shoot biomass of baby leaf lettuce at 80 mM NaCl L−1 under conventional management.
5. Conclusions
In this study, ten products commercially available as biostimulants or reported in the literature for their biostimulating properties were tested for their effects on baby leaf lettuce and Batavia lettuce. The effects of the biostimulants varied from strongly detrimental to strongly beneficial. Beneficial effects were observed on lettuce submitted to abiotic or biotic stress with the exception of drench applications of triacontanol/wollastonite, which increased the germination rate of baby leaf lettuce seeds under non-saline conditions in the conventional growing system. It is interesting to note that not only the stress and the level of stress influenced the lettuce plant response to biostimulants but also the growing system used, plants grown under organic and conventional growing systems having different responses to biostimulants. While this study focused mainly on growth parameters, it would be interesting in future works to evaluate the effect of biostimulants, under organic and conventional growing systems, on other parameters, such as the contents in chlorophyll a, chlorophyll b, carotenoids, anthocyanins, bioactive secondary metabolites, minerals, and antioxidants.
Author Contributions
Conceptualization, J.C. and R.J.T.; methodology, J.C., M.D.-H. and T.T.A.N.; validation, M.D.; formal analysis, J.C.; writing—original draft preparation, J.C. and R.J.T.; writing—review and editing, M.D.-H. and M.D.; supervision, R.J.T. and M.D.; project administration, M.D.; and funding acquisition, M.D. All authors have read and agreed to the published version of the manuscript.
Funding
This research was funded by the Organic Science Cluster 3 on organic farming from Agriculture and Agri-Food Canada in partnership with L’Abri végétal, PremierTech and Inno-3B; grant OSC3-Activity 13.
Data Availability Statement
The data presented in this study are available on request from the corresponding author.
Acknowledgments
The authors sincerely thank the Organic Science Cluster 3 on organic farming and the partners L’Abri végétal, PremierTech and Inno-3B for their financial support. The authors would also like to thank the other members of the research team for their advice and comments, as well as the greenhouse support staff for their technical assistance.
Conflicts of Interest
The authors declare no conflict of interest.
References
- Calvo, P.; Nelson, L.; Kloepper, J.W. Agricultural Uses of Plant Biostimulants. Plant Soil 2014, 383, 3–41. [Google Scholar] [CrossRef]
- Van Oosten, M.J.; Pepe, O.; De Pascale, S.; Silletti, S.; Maggio, A. The Role of Biostimulants and Bioeffectors as Alleviators of Abiotic Stress in Crop Plants. Chem. Biol. Technol. Agric. 2017, 4, 5. [Google Scholar] [CrossRef]
- Del Buono, D. Can Biostimulants Be Used to Mitigate the Effect of Anthropogenic Climate Change on Agriculture? It Is Time to Respond. Sci. Total Environ. 2021, 751, 141763. [Google Scholar] [CrossRef] [PubMed]
- du Jardin, P. Plant Biostimulants: Definition, Concept, Main Categories and Regulation. Sci. Hortic. 2015, 196, 3–14. [Google Scholar] [CrossRef]
- Yakhin, O.I.; Lubyanov, A.A.; Yakhin, I.A.; Brown, P.H. Biostimulants in Plant Science: A Global Perspective. Front. Plant Sci. 2017, 7, 2049. [Google Scholar] [CrossRef] [PubMed]
- Canellas, L.P.; Olivares, F.L.; Aguiar, N.O.; Jones, D.L.; Nebbioso, A.; Mazzei, P.; Piccolo, A. Humic and Fulvic Acids as Biostimulants in Horticulture. Sci. Hortic. 2015, 196, 15–27. [Google Scholar] [CrossRef]
- Colla, G.; Nardi, S.; Cardarelli, M.; Ertani, A.; Lucini, L.; Canaguier, R.; Rouphael, Y. Protein Hydrolysates as Biostimulants in Horticulture. Sci. Hortic. 2015, 196, 28–38. [Google Scholar] [CrossRef]
- Barrada, A.; Delisle-Houde, M.; Nguyen, T.T.A.; Tweddell, R.J.; Dorais, M. Drench Application of Soy Protein Hydrolysates Increases Tomato Plant Fitness, Fruit Yield, and Resistance to a Hemibiotrophic Pathogen. Agronomy 2022, 12, 1761. [Google Scholar] [CrossRef]
- Sharma, H.S.S.; Fleming, C.; Selby, C.; Rao, J.R.; Martin, T. Plant Biostimulants: A Review on the Processing of Macroalgae and Use of Extracts for Crop Management to Reduce Abiotic and Biotic Stresses. J. Appl. Phycol. 2014, 26, 465–490. [Google Scholar] [CrossRef]
- Battacharyya, D.; Babgohari, M.Z.; Rathor, P.; Prithiviraj, B. Seaweed Extracts as Biostimulants in Horticulture. Sci. Hortic. 2015, 196, 39–48. [Google Scholar] [CrossRef]
- Shukla, P.S.; Mantin, E.G.; Adil, M.; Bajpai, S.; Critchley, A.T.; Prithiviraj, B. Ascophyllum nodosum-Based Biostimulants: Sustainable Applications in Agriculture for the Stimulation of Plant Growth, Stress Tolerance, and Disease Management. Front. Plant Sci. 2019, 10, 655. [Google Scholar] [CrossRef] [PubMed]
- Hernández-Ruiz, J.; Arnao, M.B. Relationship of Melatonin and Salicylic Acid in Biotic/Abiotic Plant Stress Responses. Agronomy 2018, 8, 33. [Google Scholar] [CrossRef]
- Zulfiqar, F.; Casadesús, A.; Brockman, H.; Munné-Bosch, S. An Overview of Plant-Based Natural Biostimulants for Sustainable Horticulture with a Particular Focus on Moringa Leaf Extracts. Plant Sci. 2020, 295, 110194. [Google Scholar] [CrossRef]
- Islam, S.; Zaid, A.; Mohammad, F. Role of Triacontanol in Counteracting the Ill Effects of Salinity in Plants: A Review. J. Plant Growth Regul. 2021, 40, 1–10. [Google Scholar] [CrossRef]
- El Hadrami, A.; Adam, L.R.; El Hadrami, I.; Daayf, F. Chitosan in Plant Protection. Mar. Drugs 2010, 8, 968–987. [Google Scholar] [CrossRef]
- Pichyangkura, R.; Chadchawan, S. Biostimulant Activity of Chitosan in Horticulture. Sci. Hortic. 2015, 196, 49–65. [Google Scholar] [CrossRef]
- Malerba, M.; Cerana, R. Chitosan Effects on Plant Systems. IJMS 2016, 17, 996. [Google Scholar] [CrossRef] [PubMed]
- Liang, Y.; Sun, W.; Zhu, Y.-G.; Christie, P. Mechanisms of Silicon-Mediated Alleviation of Abiotic Stresses in Higher Plants: A Review. Environ. Pollut. 2007, 147, 422–428. [Google Scholar] [CrossRef]
- Gómez-Merino, F.C.; Trejo-Téllez, L.I. Biostimulant Activity of Phosphite in Horticulture. Sci. Hortic. 2015, 196, 82–90. [Google Scholar] [CrossRef]
- Franzoni, G.; Cocetta, G.; Prinsi, B.; Ferrante, A.; Espen, L. Biostimulants on Crops: Their Impact under Abiotic Stress Conditions. Horticulturae 2022, 8, 189. [Google Scholar] [CrossRef]
- Chérif, M.; Menzies, J.G.; Benhamou, N.; Bélanger, R.R. Studies of Silicon Distribution in Wounded and Pythium Ultimum Infected Cucumber Plants. Physiol. Mol. Plant Pathol. 1992, 41, 371–385. [Google Scholar] [CrossRef]
- Ma, J.F. Role of Silicon in Enhancing the Resistance of Plants to Biotic and Abiotic Stresses. Soil Sci. Plant Nutr. 2004, 50, 11–18. [Google Scholar] [CrossRef]
- Choudhary, D.K.; Johri, B.N. Interactions of Bacillus spp. and Plants—With Special Reference to Induced Systemic Resistance (ISR). Microbiol. Res. 2009, 164, 493–513. [Google Scholar] [CrossRef]
- Sofo, A.; Nuzzaci, M.; Vitti, A.; Tataranni, G.; Scopa, A. Control of Biotic and Abiotic Stresses in Cultivated Plants by the Use of Biostimulant Microorganisms. In Improvement of Crops in the Era of Climatic Changes; Ahmad, P., Wani, M.R., Azooz, M.M., Tran, L.-S.P., Eds.; Springer: New York, NY, USA, 2014; pp. 107–117. ISBN 978-1-4614-8829-3. [Google Scholar]
- López-Bucio, J.; Pelagio-Flores, R.; Herrera-Estrella, A. Trichoderma as Biostimulant: Exploiting the Multilevel Properties of a Plant Beneficial Fungus. Sci. Hortic. 2015, 196, 109–123. [Google Scholar] [CrossRef]
- Ruzzi, M.; Aroca, R. Plant Growth-Promoting Rhizobacteria Act as Biostimulants in Horticulture. Sci. Hortic. 2015, 196, 124–134. [Google Scholar] [CrossRef]
- Grewal, A.; Abbey, L.; Gunupuru, L.R. Production, Prospects and Potential Application of Pyroligneous Acid in Agriculture. J. Anal. Appl. Pyrolysis 2018, 135, 152–159. [Google Scholar] [CrossRef]
- Gull, A.; Lone, A.A.; Wani, N.U.I. Biotic and Abiotic Stresses in Plants. In Abiotic and Biotic Stress in Plants; Bosco de Oliveira, A., Ed.; IntechOpen: London, UK, 2019; pp. 3–8. ISBN 978-1-78932-811-2. [Google Scholar]
- Subbarao, K.V.; Davis, R.M.; Gilbertson, R.L.; Raid, R.N. Compendium of Lettuce Diseases and Pests, 2nd ed.; The American Phytopathological Society: Saint Paul, MN, USA, 2017; pp. 31–45. ISBN 978-0-89054-578-2. [Google Scholar]
- Tziros, G.T.; Karaoglanidis, G.S. Molecular Identification and Pathogenicity of Rhizoctonia Solani and Pythium Spp. Associated with Damping-off Disease on Baby Leafy Vegetables in Greece. Plant Pathol. 2022, 71, 1381–1391. [Google Scholar] [CrossRef]
- Gullino, M.L.; Gilardi, G.; Garibaldi, A. Ready-to-Eat Salad Crops: A Plant Pathogen’s Heaven. Plant Dis. 2019, 103, 2153–2170. [Google Scholar] [CrossRef]
- Machado, R.M.A.; Serralheiro, R.P. Soil Salinity: Effect of Vegetable Crop Growth. Management Practices to Prevent and Mitigate Soil Salinization. Horticulturae 2017, 3, 30. [Google Scholar] [CrossRef]
- Khalid, M.F.; Huda, S.; Yong, M.; Li, L.; Li, L.; Chen, Z.-H.; Ahmed, T. Alleviation of Drought and Salt Stress in Vegetables: Crop Responses and Mitigation Strategies. Plant Growth Regul. 2023, 99, 177–194. [Google Scholar] [CrossRef]
- Bulgari, R.; Franzoni, G.; Ferrante, A. Biostimulants Application in Horticultural Crops under Abiotic Stress Conditions. Agronomy 2019, 9, 306. [Google Scholar] [CrossRef]
- Wozniak, E.; Blaszczak, A.; Wiatrak, P.; Canady, M. Biostimulant Mode of Action. In The Chemical Biology of Plant Biostimulants; Geelen, D., Xu, L., Eds.; John Wiley & Sons, Ltd.: Hoboken, NJ, USA, 2020; pp. 205–227. ISBN 978-1-119-35725-4. [Google Scholar]
- van der Plaats-Niterink, A.J. Monograph of the Genus. Pythium. Stud. Mycol. 1981, 21, 1–244. [Google Scholar]
- Bouchard-Rochette, M.; Machrafi, Y.; Cossus, L.; Nguyen, T.T.A.; Antoun, H.; Droit, A.; Tweddell, R.J. Bacillus pumilus PTB180 and Bacillus subtilis PTB185: Production of Lipopeptides, Antifungal Activity, and Biocontrol Ability against Botrytis cinerea. Biol. Control. 2022, 170, 104925. [Google Scholar] [CrossRef]
- Dembélé, D.M. Production de Verdurettes Biologiques: Niveaux de Fertilisation et Biostimulants. Master’s Thesis, Université Laval, Québec, QC, Canada, 2021. [Google Scholar]
- Strasser, R.J.; Tsimilli-Michael, M.; Srivastava, A. Analysis of the Chlorophyll a Fluorescence Transient. In Chlorophyll a Fluorescence: A Signature of Photosynthesis; Papageorgiou, G.C., Govindjee, Eds.; Springer: Dordrecht, The Netherlands, 2004; pp. 321–362. [Google Scholar] [CrossRef]
- Giménez, A.; Fernández, J.A.; Pascual, J.A.; Ros, M.; Egea-Gilabert, C. Application of Directly Brewed Compost Extract Improves Yield and Quality in Baby Leaf Lettuce Grown Hydroponically. Agronomy 2020, 10, 370. [Google Scholar] [CrossRef]
- Forotaghe, Z.A.; Souri, M.K.; Jahromi, M.G.; Torkashvand, A.M. Influence of Humic Acid Application on Onion Growth Characteristics under Water Deficit Conditions. J. Plant Nutr. 2022, 45, 1030–1040. [Google Scholar] [CrossRef]
- Hassanein, R.A.; Hussein, O.S.; Farag, I.A.; Hassan, Y.E.; Abdelkader, A.F.; Ibrahim, M. Salt-Stressed Coriander (Coriandrum sativum L.) Responses to Potassium Silicate, Humic Acid and Gamma Irradiation Pretreatments. Agronomy 2022, 12, 2268. [Google Scholar] [CrossRef]
- Turan, M.; Ekinci, M.; Kul, R.; Kocaman, A.; Argin, S.; Zhirkova, A.M.; Perminova, I.V.; Yildirim, E. Foliar Applications of Humic Substances Together with Fe/Nano Fe to Increase the Iron Content and Growth Parameters of Spinach (Spinacia oleracea L.). Agronomy 2022, 12, 2044. [Google Scholar] [CrossRef]
- Wang, Z.; Yang, R.; Liang, Y.; Zhang, S.; Zhang, Z.; Sun, C.; Li, J.; Qi, Z.; Yang, Q. Comparing Efficacy of Different Biostimulants for Hydroponically Grown Lettuce (Lactuca sativa L.). Agronomy 2022, 12, 786. [Google Scholar] [CrossRef]
- Tripathi, D.K.; Singh, V.P.; Gangwar, S.; Prasad, S.M.; Maurya, J.N.; Chauhan, D.K. Role of Silicon in Enrichment of Plant Nutrients and Protection from Biotic and Abiotic Stresses. In Improvement of Crops in the Era of Climatic Changes; Ahmad, P., Wani, M.R., Azooz, M.M., Tran, L.-S.P., Eds.; Springer: New York, NY, USA, 2014; pp. 39–56. ISBN 978-1-4614-8829-3. [Google Scholar]
- Verma, K.K.; Song, X.-P.; Zeng, Y.; Guo, D.-J.; Singh, M.; Rajput, V.D.; Malviya, M.K.; Wei, K.-J.; Sharma, A.; Li, D.-P.; et al. Foliar Application of Silicon Boosts Growth, Photosynthetic Leaf Gas Exchange, Antioxidative Response and Resistance to Limited Water Irrigation in Sugarcane (Saccharum officinarum L.). Plant Physiol. Biochem. 2021, 166, 582–592. [Google Scholar] [CrossRef]
- Chaski, C.; Petropoulos, S.A. The Alleviation Effects of Biostimulants Application on Lettuce Plants Grown under Deficit Irrigation. Horticulturae 2022, 8, 1089. [Google Scholar] [CrossRef]
- Avis, T.J.; Gravel, V.; Antoun, H.; Tweddell, R.J. Multifaceted Beneficial Effects of Rhizosphere Microorganisms on Plant Health and Productivity. Soil Biol. Biochem. 2008, 40, 1733–1740. [Google Scholar] [CrossRef]
- Tarigan, S.I.; Toth, S.; Szalai, M.; Kiss, J.; Turoczi, G.; Toepfer, S. Biological Control Properties of Microbial Plant Biostimulants. A Review. Biocontrol Sci. Technol. 2022, 32, 1351–1371. [Google Scholar] [CrossRef]
- Xu, C.; Leskovar, D.I. Effects of A. nodosum Seaweed Extracts on Spinach Growth, Physiology and Nutrition Value under Drought Stress. Sci. Hortic. 2015, 183, 39–47. [Google Scholar] [CrossRef]
- Guinan, K.J.; Sujeeth, N.; Copeland, R.B.; Jones, P.W.; O’Brien, N.M.; Sharma, H.S.S.; Prouteau, P.F.J.; O’Sullivan, J.T. Discrete Roles for Extracts of Ascophyllum nodosum in Enhancing Plant Growth and Tolerance to Abiotic and Biotic Stresses. Acta Hortic. 2013, 127–135. [Google Scholar] [CrossRef]
- Rose, M.T.; Patti, A.F.; Little, K.R.; Brown, A.L.; Jackson, W.R.; Cavagnaro, T.R. A Meta-Analysis and Review of Plant-Growth Response to Humic Substances: Practical Implications for Agriculture. In Advances in Agronomy; Elsevier: Amsterdam, The Netherlands, 2014; Volume 124, pp. 37–89. ISBN 978-0-12-800138-7. [Google Scholar]
- Gómez, S.; Gómez, C. Evaluating the Use of Biostimulants for Indoor Hydroponic Lettuce Production. HortTechnology 2022, 32, 348–355. [Google Scholar] [CrossRef]
Disclaimer/Publisher’s Note: The statements, opinions and data contained in all publications are solely those of the individual author(s) and contributor(s) and not of MDPI and/or the editor(s). MDPI and/or the editor(s) disclaim responsibility for any injury to people or property resulting from any ideas, methods, instructions or products referred to in the content. |
© 2023 by the authors. Licensee MDPI, Basel, Switzerland. This article is an open access article distributed under the terms and conditions of the Creative Commons Attribution (CC BY) license (https://creativecommons.org/licenses/by/4.0/).




