Hydrogen Peroxide Ameliorates the Adversities of Drought Stress during Germination and Seedling Growth in Sorghum (Sorghum bicolor L.)
Abstract
1. Introduction
2. Materials and Methods
2.1. Experimental Materials and Germination Conditions
2.2. Antioxidant Capacity (ORAC) Assay
2.3. Protein Extraction and Two-Dimensional Electrophoresis
2.4. Protein Identification Using Mass Spectrometry (MALDI-TOF/TOF Mass Spectrometry)
2.5. Statistical Analysis
3. Results
3.1. Hydrogen Peroxide Effects on Seed Germination under Drought Stress
3.2. Hydrogen Peroxide Effects on Seed Imbibition
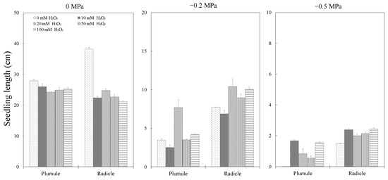
3.3. Hydrogen Peroxide-Induced Seedling Growth Response under Drought Stress
3.4. Antioxidant Activity under Drought Stress
3.5. Identification of Differentially Abundant Proteins and Their Functional Classification
4. Discussion
5. Conclusions
Author Contributions
Funding
Data Availability Statement
Conflicts of Interest
References
- Bayu, W.; Rethman, N.; Hammes, P.; Pieterse, P.; Grimbeek, J.; Van Der Linde, M. Water stress affects the germination, emergence, and growth of different sorghum cultivars. Ethiop J. Sci. 2005, 28, 119–128. [Google Scholar] [CrossRef]
 - Oliveira, A.B.D.; Gomes-Filho, E. Germination and vigor of sorghum seeds under water and salt stress. Rev. Bras. Sementes 2009, 31, 48–56. [Google Scholar] [CrossRef]
 - Queiroz, M.S.; Oliveira, C.E.; Steiner, F.; Zufo, A.M.; Zoz, T.; Vendruscolo, E.P.; Silva, M.V.; Mello, B.; Cabra, R.; Menis, F.T. Drought stresses on seed germination and early growth of maize and sorghum. J. Agric. Sci. 2019, 11, 310–318. [Google Scholar] [CrossRef]
 - Krupa, K.N.; Dalawai, N.; Hashidhar, H.E.; Harinikumar, K.M. Mechanisms of drought tolerance in Sorghum: A Review. Int. J. Pure Appl. Biosci. 2017, 5, 221–237. [Google Scholar]
 - O’Brien, D. Domestic and international sorghum marketing. In Sorghum: A State of the Art and Future Perspectives; Ciampitti, I., Prasad, V., Eds.; Agronomy Monographs 58 ASA and CSSA: Madison, WI, USA, 2019; pp. 477–502. [Google Scholar]
 - Yu, Y.; Zhu, D.; Ma, C.; Cao, H.; Wang, Y.; Xu, Y.; Zhang, W.; Yan, Y. Transcriptome analysis reveals key differentially expressed genes involved in wheat grain development. J. Crop Prod. 2016, 4, 92–106. [Google Scholar] [CrossRef]
 - Evers, T.; Millar, S. Cereal grain structure and development: Some implications for quality. J. Cereal Sci. 2002, 36, 261–284. [Google Scholar] [CrossRef]
 - Mayer, U.; Ruiz, R.A.T.; Berleth, T.; Miséra, S.; Jürgens, G. Mutations affecting body organization in the Arabidopsis embryo. Nature 1991, 353, 402. [Google Scholar] [CrossRef]
 - Rajjou, L.; Duval, M.; Gallardo, K.; Catusse, J.; Bally, J.; Job, D.; Job, D. Seed germination and vigor. Annu. Rev. Plant Biol. 2012, 63, 507–533. [Google Scholar] [CrossRef]
 - Okçu, G.; Kaya, M.D.; Atak, M. Effects of salt and drought stresses on germination and seedling growth of pea (Pisum sativum L.). Turk. J. Agric. For. 2005, 29, 237–242. [Google Scholar]
 - Muscolo, A.; Sidari, M.; Anastasi, U.; Santonoceto, C.; Maggio, A. Effect of PEG-induced drought stress on seed germination of four lentil genotypes. J. Plant Interact. 2014, 9, 354–363. [Google Scholar] [CrossRef]
 - Morohashi, Y. Peroxidase activity develops in the micropylar endosperm of tomato seeds prior to radicle protrusion. J. Exp. Bot. 2002, 53, 1643–1650. [Google Scholar] [CrossRef]
 - Bailly, C.; El-Maarouf-Bouteau, H.; Corbineau, F. From intracellular signaling networks to cell death: The dual role of reactive oxygen species in seed physiology. C. R. Biol. 2008, 331, 806–814. [Google Scholar] [CrossRef]
 - Müller, K.; Linkies, A.; Vreeburg, R.A.; Fry, S.C.; Krieger-Liszkay, A.; Leubner-Metzger, G. In vivo cell wall loosening by hydroxyl radicals during cress seed germination and elongation growth. Plant Physiol. 2009, 150, 1855–1865. [Google Scholar] [CrossRef]
 - Kranner, I.; Roach, T.; Beckett, R.P.; Whitaker, C.; Minibayeva, F.V. Extracellular production of reactive oxygen species during seed germination and early seedling growth in Pisum sativum. J. Plant Physiol. 2010, 167, 805–811. [Google Scholar] [CrossRef]
 - Zeinalabedini, M.; Majourhat, K.; Khayam-Nekoui, M.; Hernández, J.A.; Martínez-Gómez, P. Breaking seed dormancy in long-term stored seeds from Iranian wild almond species. Seed Sci. Technol. 2009, 37, 267–275. [Google Scholar] [CrossRef]
 - Barba-Espín, G.; Diaz-Vivancos, P.; Clemente-Moreno, M.J.; Albacete, A.; Faize, L.; Faize, M.; Pérez-Alfocea, F.; Hernández, J.A. Interaction between hydrogen peroxide and plant hormones during germination and the early growth of pea seedlings. Plant Cell Environ. 2010, 33, 981–994. [Google Scholar] [CrossRef]
 - Bahin, E.; Bailly, C.; Sotta, B.; Kranner, I.; Corbineau, F.; Leymarie, J. Crosstalk between reactive oxygen species and hormonal signalling pathway regulates grain dormancy in barley. Plant Cell Environ. 2011, 34, 980–993. [Google Scholar] [CrossRef] [PubMed]
 - Wojtyla, Ł.; Lechowska, K.; Kubala, S.; Garnczarska, M. Different modes of hydrogen peroxide action during seed germination. Front. Plant Sci. 2016, 7, 66. [Google Scholar] [CrossRef]
 - Silva, P.C.C.; Azevedo Neto, A.D.D.; Gheyi, H.R. Mobilization of seed reserves pretreated with H2O2 during germination and establishment of sunflower seedlings under salinity. J. Plant Nutr. 2019, 42, 2388–2394. [Google Scholar] [CrossRef]
 - Çavusoglu, K.; Kabar, K. Effects of hydrogen peroxide on the germination and early seedling growth of barley under NaCl and high temperature stresses. EurAsian J. BioSci. 2010, 4, 70–79. [Google Scholar] [CrossRef]
 - Gondim, F.A.; Gomes-Filho, E.; Lacerda, C.F.; Prisco, J.T.; Azevedo Neto, A.D.; Marques, E.C. Pretreatment with H2O2 in maize seeds: Effects on germination and seedling acclimation to salt stress. Braz. J. Plant Physiol. 2010, 22, 103–112. [Google Scholar] [CrossRef]
 - Job, C.; Rajjou, L.; Lovigny, Y.; Belghazi, M.; Job, D. Patterns of protein oxidation in Arabidopsis seeds and during germination. Plant Physiol. 2005, 138, 790–802. [Google Scholar] [CrossRef]
 - Rajjou, L.; Lovigny, Y.; Groot, S.P.C.; Belghazi, M.; Job, C.; Job, D. Proteome-wide characterization of seed aging in Arabidopsis: A comparison between artificial and natural aging protocols. Plant Physiol. 2008, 148, 620–641. [Google Scholar] [CrossRef]
 - Miernyk, J.; Hajduch, M. Seed proteomics. J. Proteom. 2011, 74, 389–400. [Google Scholar] [CrossRef] [PubMed]
 - Gallardo, K.; Job, C.; Groot, S.P.C.; Puype, M.; Demol, H.; Vandekerckhove, J.; Job, D. Proteomics of Arabidopsis seed germination. A comparative study of wild-type and gibberellin-deficient seeds. Plant Physiol. 2002, 129, 823–837. [Google Scholar] [CrossRef] [PubMed]
 - Yang, P.; Li, X.; Wang, X.; Chen, H.; Chen, F.; Shen, S. Proteomic analysis of rice (Oryza sativa) seeds during germination. Proteomics 2007, 7, 3358–3368. [Google Scholar] [CrossRef] [PubMed]
 - He, D.; Yang, P. Proteomics of rice seed germination. Front. Plant Sci. 2013, 4, 246. [Google Scholar] [CrossRef] [PubMed]
 - Sheoran, I.S.; Olson, D.J.; Ross, A.R.; Sawhney, V.K. Proteome analysis of embryo and endosperm from germinating tomato seeds. Proteomics 2005, 5, 3752–3764. [Google Scholar] [CrossRef]
 - Hajduch, M.; Ganapathy, A.; Stein, J.W.; Thelen, J.J. A systematic proteomic study of seed filling in soybean: Establishment of high-resolution two-dimensional reference maps, expression profiles, and an interactive proteome database. Plant Physiol. 2005, 137, 1397–1419. [Google Scholar] [CrossRef] [PubMed]
 - Cheng, L.; Gao, X.; Li, S.; Shi, M.; Javeed, H.; Jing, X.; Yang, G.; He, G. Proteomic analysis of soybean [Glycine max (L.) Meer.] seeds during imbibition at chilling temperature. Mol. Breed. 2010, 26, 1–17. [Google Scholar] [CrossRef]
 - Alvarez, S.; Roy Choudhury, S.; Pandey, S. Comparative quantitative proteomics analysis of the ABA response of roots of drought-sensitive and drought-tolerant wheat varieties identifies proteomic signatures of drought adaptability. J. Proteome Res. 2014, 13, 1688–1701. [Google Scholar] [CrossRef]
 - Sharma, M.; Gupta, S.K.; Majumder, B.; Maurya, V.K.; Deeba, F.; Alam, A.; Pandey, V. Salicylic acid mediated growth, physiological and proteomic responses in two wheat varieties under drought stress. J. Proteom. 2017, 163, 28–51. [Google Scholar] [CrossRef]
 - Michel, B.E.; Kaufmann, M.R. The osmotic potential of polyethylene glycol 6000. Plant Physiol. 1973, 51, 914–916. [Google Scholar] [CrossRef]
 - Govender, V.; Aveling, T.A.S.; Kritzinger, Q. The effect of traditional storage methods on germination and vigour of maize (Zea mays L.) from northern KwaZulu-Natal and southern Mozambique. S. Afr. J. Bot. 2008, 74, 190–196. [Google Scholar] [CrossRef]
 - Gillespie, K.M.; Chae, J.M.; Ainsworth, E.A. Rapid measurement of total antioxidant capacity in plants. Nat. Protoc. 2007, 2, 867–870. [Google Scholar] [CrossRef]
 - Wang, W.; Tai, F.; Chen, S. Optimizing protein extraction from plant tissues for enhanced proteomics analysis. J. Sep. Sci. 2008, 31, 2032–3029. [Google Scholar] [CrossRef] [PubMed]
 - Bradford, M.M. A rapid and sensitive method for the quantitation of microgram quantities of protein utilizing the principle of protein-dye binding. Anal. Biochem. 1976, 72, 248–254. [Google Scholar] [CrossRef]
 - Kim, S.T.; Wang, Y.; Kang, S.Y.; Kim, S.G.; Rakwal, R.; Kim, Y.C.; Kang, K.Y. Developing rice embryo proteomics reveals essential role for embryonic proteins in regulation of seed germination. J. Proteome Res. 2009, 8, 3598–3605. [Google Scholar] [CrossRef]
 - Liu, S.J.; Xu, H.H.; Wang, W.Q.; Li, N.; Wang, W.P.; Møller, I.M.; Song, S.Q. A proteomic analysis of rice seed germination as affected by high temperature and ABA treatment. Physiol. Plant. 2015, 154, 142–161. [Google Scholar] [CrossRef] [PubMed]
 - Shevchenko, A.; Wilm, M.; Vorm, O.; Mann, M. Mass spectrometric sequencing of proteins from silver-stained polyacrylamide gels. Anal. Chem. 1996, 68, 850–858. [Google Scholar] [CrossRef] [PubMed]
 - Guler, N.S.; Pehlivan, N. Exogenous low-dose hydrogen peroxide enhances drought tolerance of soybean (Glycine max L.) through inducing antioxidant system. Acta Biol. Hung. 2016, 67, 169–183. [Google Scholar] [CrossRef] [PubMed]
 - Andrade, C.A.; de Souza, K.R.D.; de Oliveira Santos, M.; da Silva, D.M.; Alves, J.D. Hydrogen peroxide promotes the tolerance of soybeans to waterlogging. Sci. Hort. 2018, 232, 40–45. [Google Scholar] [CrossRef]
 - Masondo, N.A.; Kulkarni, M.G.; Finnie, J.F.; Van Staden, J. Influence of biostimulants-seed-priming on Ceratotheca triloba germination and seedling growth under low temperatures, low osmotic potential and salinity stress. Ecotoxicol. Environ. Saf. 2018, 147, 43–48. [Google Scholar] [CrossRef] [PubMed]
 - Verma, G.; Mishra, S.; Sangwan, N.; Sharma, S. Reactive oxygen species mediate axis-cotyledon signaling to induce reserve mobilization during germination and seedling establishment in Vigna radiata. J. Plant Physiol. 2015, 184, 79–88. [Google Scholar] [CrossRef] [PubMed]
 - Ishibashi, Y.; Yamaguchi, H.; Yuasa, T.; Iwaya-Inoue, M.; Arima, S.; Zheng, S.H. Hydrogen peroxide spraying alleviates drought stress in soybean plants. J. Plant Physiol. 2011, 168, 1562–1567. [Google Scholar] [CrossRef] [PubMed]
 - Hossain, M.A.; Bhattacharjee, S.; Armin, S.M.; Qian, P.; Xin, W.; Li, H.Y.; Burritt, D.J.; Fujita, M.; Tran, L.S.P. Hydrogen peroxide priming modulates abiotic oxidative stress tolerance: Insights from ROS detoxification and scavenging. Front. Plant Sci. 2015, 6, 420. [Google Scholar] [CrossRef]
 - Ashraf, M.A.; Rasheed, R.; Hussain, I.; Iqbal, M.; Haider, M.Z.; Parveen, S.; Sajid, M.A. Hydrogen peroxide modulates antioxidant system and nutrient relation in maize (Zea mays L.) under water-deficit conditions. Arch. Agron. Soil Sci. 2015, 61, 507–523. [Google Scholar] [CrossRef]
 - He, L.; Gao, Z. Pretreatment of seed with H2O2 enhances drought tolerance of wheat (Triticum aestivum L.) seedlings. Afr. J. Biotechnol. 2009, 8, 6151–6157. [Google Scholar]
 - Santhy, V.; Meshram, M.; Wakd, R.; Kumari, P.V. Hydrogen peroxide pre-treatment for seed enhancement in cotton (Gossypim hirsutum L.). Afr. J. Agric. Res. 2014, 9, 1982–1989. [Google Scholar]
 - Farooq, M.; Basra, S.M.A.; Ahmad, N.; Hafeez, K. Thermal hardening: A new seed vigor enhancement tool in rice. J. Integr. Plant Biol. 2005, 47, 187–193. [Google Scholar] [CrossRef]
 - Monerri, C.; Garcia-Luis, A.; Guardiola, J.L. Sugar and starch changes in pea cotyledons during germination. Physiol. Plant. 1986, 67, 49–54. [Google Scholar] [CrossRef]
 - Gupta, A.K.; Singh, J.; Kaur, N.; Singh, R. Effect of polyethylene glycol-induced water stress on germination and reserve carbohydrate metabolism in chickpea cultivars differing in tolerance to water deficit. Plant Physiol. Biochem. 1993, 31, 369–378. [Google Scholar]
 - Nkang, A.; Chandler, G. Changes during germination in rainforest seeds with orthodox and recalcitrant viability characteristics. J. Plant Physiol. 1989, 134, 9–16. [Google Scholar] [CrossRef]
 - Logan, D.C.; Millar, A.H.; Sweetlove, L.J.; Hill, S.A.; Leaver, C.J. Mitochondrial biogenesis during germination in maize embryos. Plant Physiol. 2001, 125, 662–672. [Google Scholar] [CrossRef] [PubMed]
 - Mano, J.I. Reactive carbonyl species: Their production from lipid peroxides, action in environmental stress, and the detoxification mechanism. Plant Physiol. Biochem. 2012, 59, 90–97. [Google Scholar] [CrossRef] [PubMed]
 - Chakrabortee, S.; Boschetti, C.; Walton, L.J.; Sarkar, S.; Rubinsztein, D.C.; Tunnacliffe, A. Hydrophilic protein associated with desiccation tolerance exhibits broad protein stabilization function. Proc. Natl. Acad. Sci. USA 2007, 104, 18073–18078. [Google Scholar] [CrossRef]
 - Candat, A.; Paszkiewicz, G.; Neveu, M.; Gautier, R.; Logan, D.C.; Avelange-Macherel, M.H.; Macherel, D. The ubiquitous distribution of late embryogenesis abundant proteins across cell compartments in Arabidopsis offers tailored protection against abiotic stress. Plant Cell 2014, 26, 3148–3166. [Google Scholar] [CrossRef]
 - Mayer, U.; Jürgens, G. Microtubule cytoskeleton: A track record. Curr. Opin. Plant Biol. 2002, 5, 494–501. [Google Scholar] [CrossRef]
 - Wasteneys, G.O. Microtubule organization in the green kingdom: Chaos or self-order? J. Cell Sci. 2002, 115, 1345–1354. [Google Scholar] [CrossRef]
 - Yano, A.; Umeda, M.; Uchimiya, H. Expression of functional proteins of cDNA encoding rice nucleoside diphosphate kinase (NDK) in Escherichia coli and organ-related alteration of NDK activities during rice seed germination (Oryza sativa L.). Plant Mol. Biol. 1995, 27, 1053–1058. [Google Scholar] [CrossRef]
 - Pan, L.; Kawai, M.; Yano, A.; Uchimiya, H. Nucleoside diphosphate kinase required for coleoptile elongation in rice. Plant Physiol. 2000, 122, 447–452. [Google Scholar] [CrossRef] [PubMed]
 






| Spot No. | Accession  No.  | Protein Name | Score a | Mr b (kD)  | pI c | SC d | Category | Fold change  (−0.5 MPa + 0 mM H2O2)e  | Fold change (−0.5 MPa + 100 mM H2O2)f  | 
|---|---|---|---|---|---|---|---|---|---|
| 2 | C5WPE0 | VOC domain-containing protein | 107 | 15,336 | 5.00 | 66 | Stress defense | +1.58 | +1.69 | 
| 5 | XP_002439542 | Superoxide dismutase [Mn] 3.4, mitochondrial | 189 | 25,341 | 6.71 | 27 | Stress defense | +2.04 | +5.56 | 
| 6 | AAA33469 | Glutathione S-transferase I | 172 | 24,003 | 5.44 | 34 | Stress defense | −1.24 | +1.42 | 
| 9 | XP_002461098 | 1-Cys peroxiredoxin PER 1 | 133 | 24,283 | 6.17 | 46 | Stress defense | +1.74 | +1.72 | 
| 10 | XP_002463881 | Late embryogenesis abundant protein D-34 | 296 | 27,709 | 5.87 | 48 | Stress defense | +1.12 | +1.35 | 
| 14 | XP_002465829 | Late embryogenesis abundant protein D-34 | 123 | 27,937 | 4.77 | 32 | Stress defense | +2.29 | +2.32 | 
| 17 | B6T887 | Salt tolerance protein | 219 | 35,239 | 4.90 | 37 | Stress defense | +1.33 | +1.87 | 
| 26 | ABP88739 | Protein disulfide isomerase | 182 | 56,921 | 5.01 | 20 | Stress defense | −1.68 | +2.27 | 
| 27 | G7KWU8 | Heat-shock cognate 70 kDa protein | 96 | 71,260 | 5.07 | 23 | Stress defense | −1.83 | −1.61 | 
| 28 | XP_002465468 | Heat-shock cognate 70 kDa protein | 459 | 71,756 | 5.19 | 54 | Stress defense | −2.77 | −1.69 | 
| 29 | AAA33450 | Chaperonin CPN60-1, mitochondrial | 161 | 61,484 | 5.68 | 41 | Stress defense | +1.06 | +1.41 | 
| 41 | C5Z1B4 | Uncharacterized protein | 321 | 101,354 | 5.75 | 34 | Stress defense | −2.16 | +1.14 | 
| 16 | Q6XZ79 | Fructokinase-1 | 569 | 34,840 | 4.87 | 64 | Energy metabolism | +2.20 | +1.94 | 
| 18 | Q9XGC6 | Adenosine kinase | 204 | 36,465 | 5.23 | 45 | Energy metabolism | −1.65 | +1.02 | 
| 21 | A0A1Z5RCS5 | Uncharacterized protein | 126 | 33,525 | 5.43 | 53 | Energy metabolism | −1.68 | +1.15 | 
| 24 | NP_001142404 | Phosphoglycerate kinase | 207 | 42,470 | 5.64 | 16 | Energy metabolism | −1.24 | +1.06 | 
| 31 | C5 × 1M7 | Lactamase_B domain-containing protein | 123 | 29,012 | 5.80 | 59 | Energy metabolism | −1.64 | −1.26 | 
| 34 | P93805 | Phosphoglucomutase, cytoplasmic 2 | 205 | 63,230 | 5.47 | 41 | Energy metabolism | −1.44 | +1.29 | 
| 35 | NP_001167944 | 2,3-Bisphosphoglycerate-independent phosphoglycerate mutase 1 | 312 | 60,423 | 5.47 | 35 | Energy metabolism | −1.14 | +1.02 | 
| 36 | XP_002465414 | Pyruvate decarboxylase 2 | 473 | 66,424 | 5.67 | 41 | Energy metabolism | −1.73 | −1.19 | 
| 38 | Q09EM2 | ATP synthase subunit alpha | 337 | 55,933 | 5.71 | 43 | Energy metabolism | −1.90 | −1.13 | 
| 40 | XP_002467922 | 2,3-Bisphosphoglycerate-independent phosphoglycerate mutase | 520 | 61,995 | 5.83 | 44 | Energy metabolism | −1.56 | −1.24 | 
| 15 | AAG23220 | Glycine-rich RNA-binding protein | 166 | 16,729 | 6.59 | 90 | Amino acid metabolism | −1.47 | −1.03 | 
| 30 | C0PC62 | Uncharacterized protein | 437 | 57,479 | 5.46 | 50 | Amino acid metabolism | −1.31 | +1.32 | 
| 33 | C5YW13 | Ketol–acid reductoisomerase | 338 | 63,644 | 5.88 | 45 | Amino acid metabolism | −1.12 | +1.02 | 
| 39 | C0PHR4 | Adenosylhomocysteinase | 212 | 53,898 | 5.63 | 37 | Amino acid metabolism | −1.78 | −1.33 | 
| 42 | AAL33589 | Methionine synthase, partial | 452 | 84,742 | 5.73 | 36 | Amino acid metabolism | −1.74 | −1.12 | 
| 43 | B6TCM9 | Spermidine synthase 1 | 258 | 39,860 | 5.66 | 23 | Amino acid metabolism | −1.44 | +1.15 | 
| 7 | C5WUN6 | Uncharacterized protein | 548 | 75,423 | 6.24 | 20 | Storage protein | −1.15 | +1.54 | 
| 8 | C5WUN6 | Uncharacterized protein | 280 | 75,423 | 6.24 | 23 | Storage protein | −1.37 | +1.22 | 
| 11 | A0A1Z5S5M9 | Uncharacterized protein | 170 | 69,817 | 7.41 | 15 | Storage protein | +1.26 | +1.43 | 
| 12 | A0A1Z5S5M9 | Uncharacterized protein | 264 | 69,817 | 7.41 | 18 | Storage protein | +1.04 | +1.32 | 
| 32 | C5 × 0T3 | Uncharacterized protein | 284 | 58,174 | 5.94 | 27 | Storage protein | −1.54 | +1.30 | 
| 19 | NP_001130463 | Putative actin family protein isoform 1 | 257 | 41,927 | 5.24 | 51 | Cytoskelecton | −1.08 | +1.21 | 
| 20 | EOY34051 | Actin-11 isoform 1 | 362 | 41,870 | 5.31 | 63 | Cytoskelecton | −1.08 | −1.21 | 
| 22 | C5WT90 | Uncharacterized protein | 307 | 41,964 | 5.6 | 51 | Cell wall | −1.17 | +1.13 | 
| 23 | P80607 | Probable UDP-arabinopyranose mutase 1 | 225 | 41,691 | 5.75 | 43 | Cell wall | −1.82 | +1.48 | 
| 4 | C5 × 972 | Nucleoside diphosphate kinase 1 | 126 | 16,908 | 6.30 | 48 | Other protein | +1.18 | +1.40 | 
| 13 | C5YTT7 | PKS_ER domain-containing protein | 509 | 38,996 | 5.8 | 78 | Other protein | −1.43 | +1.09 | 
| 25 | XP_002438954 | Eukaryotic initiation factor 4A-3 | 464 | 47,222 | 5.30 | 66 | Other protein | −1.20 | +1.12 | 
Disclaimer/Publisher’s Note: The statements, opinions and data contained in all publications are solely those of the individual author(s) and contributor(s) and not of MDPI and/or the editor(s). MDPI and/or the editor(s) disclaim responsibility for any injury to people or property resulting from any ideas, methods, instructions or products referred to in the content.  | 
© 2023 by the authors. Licensee MDPI, Basel, Switzerland. This article is an open access article distributed under the terms and conditions of the Creative Commons Attribution (CC BY) license (https://creativecommons.org/licenses/by/4.0/).
Share and Cite
Song, K.E.; Hwang, H.R.; Hong, e.S.H.; Konvalina, P.; Jun, W.J.; Jung, J.W.; Shim, S. Hydrogen Peroxide Ameliorates the Adversities of Drought Stress during Germination and Seedling Growth in Sorghum (Sorghum bicolor L.). Agronomy 2023, 13, 330. https://doi.org/10.3390/agronomy13020330
Song KE, Hwang HR, Hong eSH, Konvalina P, Jun WJ, Jung JW, Shim S. Hydrogen Peroxide Ameliorates the Adversities of Drought Stress during Germination and Seedling Growth in Sorghum (Sorghum bicolor L.). Agronomy. 2023; 13(2):330. https://doi.org/10.3390/agronomy13020330
Chicago/Turabian StyleSong, Ki Eun, He Rin Hwang, e Sun Hee Hong, Petr Konvalina, Woo Jin Jun, Jin Woong Jung, and Sangin Shim. 2023. "Hydrogen Peroxide Ameliorates the Adversities of Drought Stress during Germination and Seedling Growth in Sorghum (Sorghum bicolor L.)" Agronomy 13, no. 2: 330. https://doi.org/10.3390/agronomy13020330
APA StyleSong, K. E., Hwang, H. R., Hong, e. S. H., Konvalina, P., Jun, W. J., Jung, J. W., & Shim, S. (2023). Hydrogen Peroxide Ameliorates the Adversities of Drought Stress during Germination and Seedling Growth in Sorghum (Sorghum bicolor L.). Agronomy, 13(2), 330. https://doi.org/10.3390/agronomy13020330
        
