Soil Moisture Contribution to Winter Wheat Water Consumption from Different Soil Layers under Straw Returning
Abstract
:1. Introduction
2. Materials and Methods
2.1. Overview of the Study Area
2.2. Experimental Design
2.3. Determination Items and Methods
2.3.1. Soil Sample Collection
2.3.2. Water Sample Collection from the Wheat Stem
2.3.3. Precipitation Sample Collection
2.3.4. Determination of Hydrogen and Oxygen Stable Isotopes
2.4. Data Processing and Analysis
3. Results
3.1. Characteristics of the Hydrogen and Oxygen Stable Isotope Composition in Precipitation
3.2. Effects of Different Straw Returning and Irrigation Amounts on Soil Water Content
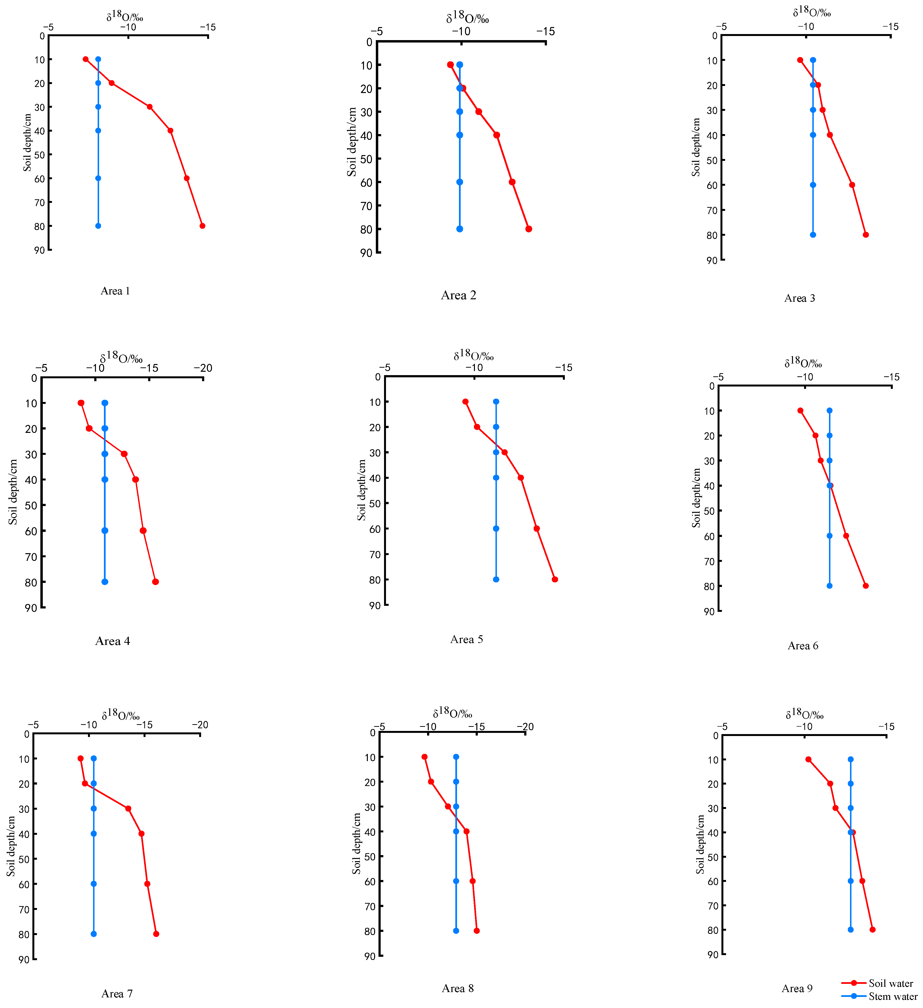
3.3. Effects of Different Straw Returning and Irrigation Amounts on δ18O
3.4. Contribution of Soil Moisture from Different Soil Layers to the Water Consumption of Winter Wheat
3.4.1. Direct Comparison Method
3.4.2. Multiple Linear Mixed Model
4. Discussion
5. Conclusions
Author Contributions
Funding
Data Availability Statement
Conflicts of Interest
References
- Pei, H.W.; Shen, Y.J.; Liu, C.M. Nitrogen and water cycling of typical cropland in the North China Plain. Chin. J. Appl. Ecol. 2015, 26, 283–296. [Google Scholar]
- Liu, D.; Hu, Z.T.; Jin, L.S. Satisfaction of rural households on the fallow program and its influencing factors in groundwater over-exploited areas in North China Plain. J. Arid. Land Resour. Environ. 2018, 32, 22–27. [Google Scholar]
- Liu, M.; Nie, Z.L.; Wang, J.Z.; Tian, Y.L.; Wang, L.F.; Liu, S.Y. Evaluation of groundwater resources carrying capacity in North China Plain. South-North Water Transf. Water Sci. Technol. 2017, 15, 13–18+33. [Google Scholar]
- Zhao, L.; Lei, B.; Su, T.; Zhou, L. Estimation of Water Saving Potential for Agricultural Irrigation in Major Grain Production Areas in China. Water Sav. Irrig. 2019, 8, 130–133. [Google Scholar]
- Ministry of Water Resources of the People’s Republic of China. China Water Resources Bulletin; Ministry of Water Resources of the People’s Republic of China: Beijing, China, 2022; Volume 6.
- Chen, Q.J.; Zhang, R.G.; Duan, Y.G. Prediction of effective utilization coefficient of farmland irrigation water based on improved grey system theory. Water-Sav. Irrig. 2020, 6, 105–107. [Google Scholar]
- Satchithanantham, S.; Krahn, V.; Ranjan, R.S.; Sager, S. Shallow groundwater uptake and irrigation water redistribution within the potato root zone. Agric. Water Manag. 2014, 132, 101–110. [Google Scholar] [CrossRef]
- Gui, H.R.; Wang, J.; Dong, X.D.; Chen, L.; Huang, Y.Q.; Chen, Z.J.; Han, S.J. Effects of different straw return measures on segetal weed diversity in the winter fallow period. J. Agro-Environ. Sci. 2022, 41, 746–754. [Google Scholar]
- Yu, K.; Feng, H.; Li, Z.P.; Wang, Z.L. Effects of Different Pretreated Straw on Soil Water Content and Water Consumption Characteristics of Winter Wheat. Trans. Chin. Soc. Agric. Mach. 2014, 45, 116–123. [Google Scholar]
- Tian, J.Y.; Xing, Z.P.; Li, S.P.; Cheng, S.; Guo, B.W.; Hu, Y.J.; Wei, H.Y.; Gao, H.; Zhang, Z.Z.; Fan, P.; et al. Influence of Wheat Straw Return on Yield and Grain Quality in Different Direct-Seeding Rice Production Systems. Agronomy 2022, 12, 3180. [Google Scholar] [CrossRef]
- Wang, Y.; Liang, B.Q.; Bao, H.; Chen, Q.; Cao, Y.L.; He, Y.Q.; Li, L.Z. Potential of crop straw incorporation for replacing chemical fertilizer and reducing nutrient loss in Sichuan Province, China. Environ. Pollut. 2023, 320, 121034. [Google Scholar] [CrossRef]
- Heinen, M. Compensation in root water uptake models combined with three-dimensional root length density distribution. Vadose Zone J. 2014, 13, 1–9. [Google Scholar] [CrossRef]
- Penna, D.; Geris, J.; Hopp, L.; Scandellari, F. Water sources for root water uptake: Using stable isotopes ofhydrogen and oxygen as a research tool in agricultural and agroforestry systems. Agric. Ecosyst. Environ. 2020, 291, 106790. [Google Scholar] [CrossRef]
- Hou, C.L.; Tian, D.L.; Xu, B.; Ren, J.; Hao, L.; Chen, N.; Li, X.Y. Use of the stable oxygen isotope method to evaluate the difference in water consumption and utilization strategy between alfalfa and maize fields in an arid shallow groundwater area. Agric. Water Manag. 2021, 256, 107065. [Google Scholar] [CrossRef]
- Yang, B.; Wen, X.F.; Sun, X.M. Seasonal variations in depth of water uptake for a subtropical coniferous plantation subjected to drought in an East Asian monsoon region. Agric. For. Meteorol. 2015, 201, 218–228. [Google Scholar] [CrossRef]
- Gulhanat, B.; Chang, S.L.; Bahjaynar, T.; Zhang, Y.T. Water sources of Picea schrenkiana and Berberis heteropoda in the Tianshan Mountains in summer. Chin. J. Appl. Ecol. 2022, 33, 1893–1900. [Google Scholar]
- Li, H.; Liang, X.; Liu, Y.F.; Liu, Y.L.; Xian, Y. Application of hydrogen and oxygen stable isotopes for determining water sources used by cotton in xinjiang arid region. Earth Sci. 2017, 42, 844–852. [Google Scholar]
- Han, L.; Han, Y.G.; Huang, X.Y.; Gao, Y.; Sun, Z.J. Hydrogen and oxygen stable isotope tracer plant water source and water use strategy in arid region. J. Anhui Agric. Univ. 2020, 47, 435–441. [Google Scholar]
- Liu, J.M.; Si, Z.Y.; Wu, L.F.; Chen, J.S.; Gao, Y.; Duan, A.W. Using stable isotopes to quantify root water uptake under a new planting pattern of high-low seed beds cultivation in winter wheat. Soil Tillage Res. 2021, 205, 104816. [Google Scholar] [CrossRef]
- Yu, J.J.; Li, Y.F. Uncertainty Analysis of Stable Hydrogen and Oxygen Isotope Quantitative Plant Water Source. Chin. J. Ecol. 2018, 38, 7942–7949. [Google Scholar]
- Du, J.S.; Ma, Y.; Hu, X.N.; Tong, J.X.; Zhang, B.Z.; Sun, N.X.; Gao, G.Y. Applying dual stable isotopes and a MixSIAR model to determine root water uptake of winter wheat. Acta. Ecol. Sinica. 2018, 38, 6611–6622. [Google Scholar]
- Nidia, B.S.; Juan, P.F.; Abdelhalim, E.; Massiel, O.; Alejandro, D.P. Root architecture and functional traits of spring wheat under contrasting water regimes. Front. Plant Sci. 2020, 11, 581140. [Google Scholar]
- Kale Celik, S.; Madenoglu, S.; Turker, U. Partitioning evapotranspiration of winter wheat based on oxygen isotope approach under different irrigation regimes. Irrig. Drain. 2022, 71, 882–896. [Google Scholar] [CrossRef]
- Xing, W.Q.; Cai, Y.; Wang, W.G.; Yang, L.L.; Fu, Q.N.; Leng, X. Stable hydrogen and oxygen isotope composition characteristics of typical plants in the Xin’an River source area. Chin. J. Ecol. 2023, 42, 1–13. [Google Scholar]
- Cheng, L.P.; Qi, G.; Li, Y.J.; Liu, W.Z. Stable isotope analysis of soil water utilization by winter wheat in Dryland of Loess Tableland. Res. Soil Water Conserv. 2021, 28, 170–176. [Google Scholar]
- Wang, S.; Huang, Y.Q.; Ding, Y.L.; Zhao, Y.J. Characteristics of stable hydrogen and oxygen isotopes in rainfall and water sources of mango trees in the Baise dry hot valley region. J. Trop. Crops 2023, 44, 122–132. [Google Scholar]
- Yue, L.L.; Xia, X.; Hu, D.Y.; Xiao, W.H.; Zhang, W.P.; Xu, Y.J. Quantifying the water sources of Camellia oleifera during fruit growth peak period using hydrogen and oxygen isotopes. Trans. Chin. Soc. Agric. Eng. 2021, 37, 154–161. [Google Scholar]
- Dawson, T.E.; Pate, J.S. Seasonal water uptake and movement in root systems of Australian phraeatophytic plants of dimorphic root morphology: A stable isotope investigation. Oecologia 1996, 107, 13–20. [Google Scholar] [CrossRef] [PubMed]
- Wang, J.; Lu, N.; Fu, B.J. Inter-comparison of stable isotope mixing models for determining plant water source partitioning. Sci. Total Environ. 2019, 666, 685–693. [Google Scholar] [CrossRef]
- Zhang, J.; Li, G.F.; He, Y.L.; Mu, Y.D.; Zhuang, L.; Liu, H.L. Water use sources of Populus euphratica at different ages in the lower reaches of the Tarim River based on stable isotope technology. Biodiversity 2018, 26, 564–571. [Google Scholar]
- Wang, X.; Jia, G.D.; Deng, W.P.; Liu, Z.Q.; Liu, Z.H.; Qiu, G.F.; Li, W.L. Long-term water use characteristics and patterns of typical tree species in seasonal drought regions. Chin. J. Appl. Ecol. 2021, 32, 1943–1950. [Google Scholar]
- Zhang, Y.Y.; Wu, S.X.; Kang, W.R.; Tian, Z.H. Multiple sources characteristics of root water uptake of crop under oasis farmlands in hyper-arid regions. Agric. Water Manag. 2022, 271, 107814. [Google Scholar] [CrossRef]
- Xie, J.Y.; Sun, F.Q.; Zou, L.R.; Qi, J.H. Hydrogen and oxygen isotope signatures of soil water in the thick unsaturated zone and the source identification. Earth Environ. 2020, 48, 728–735. [Google Scholar]
- An, J.L.; Ma, J.J.; Zhang, Y.X.; Li, R.; Sun, X.H.; Guo, X.H. Comparative Study of Two Models for Estimating Spatio-temporal Distribution of Water Uptake by Winter Wheat Roots. J. Irrig. Drain. 2017, 36, 25–28. [Google Scholar]
- Cheng, L.P.; Liu, W.Z. Contribution of soil water at various depths to water consumption of rainfed winter wheat in the Loess tableland, China. Chin. J. Appl. Ecol. 2017, 28, 2285–2291. [Google Scholar]
- Zhang, Y.; Zhang, M.J.; Wang, S.J.; Guo, R.; Che, C.W.; Du, Q.Q.; Ma, Z.Z.; Su, P.Y. Comparison of different methods for determining plant water sources based on stable oxygen isotope. Chin. J. Ecol. 2020, 39, 1356–1368. [Google Scholar]
- Chen, Y.Z.; Chai, S.X.; Cheng, H.B.; Chai, Y.W.; Yang, C.G.; Tan, K.M.; Chang, L. Effects of straw-incorporation combined with autumn plastic mulching on soil water consumption characteristics and winter wheat yield in arid farming areas. Acta Agron. Sin. 2019, 45, 256–266. [Google Scholar] [CrossRef]
- Liu, Z.; Ma, F.Y.; Hu, T.X.; Zhao, K.G.; Gao, T.P.; Zhao, H.X.; Ning, T.Y. Using stable isotopes to quantify water uptake from different soil layers and water use efficiency of wheat under long-term tillage and straw return practices. Agric. Water Manag. 2020, 229, 105933. [Google Scholar] [CrossRef]
- Yang, M.D.; Zhang, S.Y.; Yang, S.J.; Guan, X.K.; Li, S.; Chen, J.P.; Wang, T.C. The effect of underground drip irrigation on the water absorption characteristics of winter wheat summer corn roots. Chin. J. Ecol. 2023, 1–13. Available online: http://kns.cnki.net/kcms/detail/21.1148.Q.20230406.1653.012.html (accessed on 16 November 2023).
- Liang, S.S.; Guan, J.X.; Li, L.; Shao, L.W. Impact of Irrigation Schedules on Yield, Water Consumption and Water Use Efficiency of Winter Wheat. J. Irrig. Drain. 2019, 38, 52–59. [Google Scholar]
- Sushil, T.; Xue, Q.W.; Kirk, E.J.; Jackie, C.R.; Liu, S.Y.; Ravindra, N.D.; Jason, A.B. Soil water extraction and use by winter wheat cultivars under limited irrigation in a semi-arid environment. J. Arid. Environ. 2020, 174, 104046. [Google Scholar]
- Chen, L.; Yang, X.G.; Zhai, D.P.; Song, N. The effects of caragana straw and plastic film coverage on soil moisture and corn yield. J. Agric. Eng. 2015, 31, 108–116. [Google Scholar]
- Yang, S.; Zhang, X.Q.; Xu, J.R.; Lin, W.; Yang, Z.P.; Gao, Z.Q. Effects of Irrigation Period on Growth and Water Consumption Characteristics of Winter Wheat. J. Irrig. Drain. 2021, 40, 36–44. [Google Scholar]
- Lin, W.Q.; Jia, G.D. Research progress on water conversion in SPAC systems based on stable isotopes. J. Nanjing For. Univ. (Nat. Sci. Ed.) 2023, 47, 234–242. [Google Scholar]
- Lie, Z.R.; Jia, G.D.; Yu, X.X.; Liu, Z.H. A review of stable hydrogen and oxygen isotopic offset in plant water source research. Chin. J. Plant Ecol. 2023, 47, 25–40. [Google Scholar]
- Zhang, C.; Ren, Y.Y.; Yan, M.F.; Sang, T.; Li, H.B.; Chen, Y.L.; Zhang, S.Q. Stable isotopes δ18O and δ2H reveal differential water uptake from intercropped maize and soybean soil profiles. Field Crops Res. 2022, 288, 108695. [Google Scholar] [CrossRef]
- Zhang, C.Z.; Zhang, J.B.; Zhang, H. The contribution of soil moisture at different depths to wheat in the Huanghuaihai Fengqiu area. J. Soil Sci. 2012, 49, 655–664. [Google Scholar]










| Irrigation Volume | Straw Returning | ||
|---|---|---|---|
| 0% (S0) | 1.00% (S1) | 2.00% (S2) | |
| 75 mm (V3) | Area 3 (S0V3) | Area 2 (S1V3) | Area 1 (S2V3) |
| 60 mm (V2) | Area 6 (S0V2) | Area 5 (S1V2) | Area 4 (S2V2) |
| 45 mm (V1) | Area 9 (S0V1) | Area 8 (S1V1) | Area 7 (S2V1) |
| Soil Depth/cm | Area 1/‰ | Area 2/‰ | Area 3/‰ | Area 4/‰ | Area 7/‰ |
|---|---|---|---|---|---|
| 10 | −8.17a (a) | −8.87b | −9.22c | −9.18 (b) | −9.48 (c) |
| 20 | −9.42a (a) | −10.61b | −11.68c | −9.81 (b) | −9.85 (b) |
| 30 | −11.78c (a) | −11.51b | −11.34a | −14.67 (b) | −14.77 (c) |
| 40 | −13.54c (a) | −12.80b | −11.77a | −14.71 (b) | −15.30 (c) |
| 60 | −14.05c (a) | −13.05b | −12.68a | −15.84 (b) | −16.90 (c) |
| 80 | −15.77c (a) | −14.59b | −13.43a | −17.05 (b) | −17.97 (c) |
| Period | 14 April | 26 April | 3 May | 15 May |
|---|---|---|---|---|
| Handle | ||||
| Area 1 | −10.09 | −9.74 | −8.12 | −8.85 |
| Area 2 | −12.46 | −10.79 | −9.91 | −10.70 |
| Area 3 | −13.90 | −12.33 | −10.41 | −12.79 |
| Area 4 | −12.70 | −11.94 | −10.87 | −11.09 |
| Area 5 | −13.64 | −12.82 | −11.21 | −12.44 |
| Area 6 | −14.02 | −11.01 | −11.41 | −13.40 |
| Area 7 | −10.13 | −9.61 | −10.43 | −12.06 |
| Area 8 | −12.98 | −12.02 | −12.88 | −13.69 |
| Area 9 | −15.67 | −12.06 | −12.81 | −13.72 |
| Water Source | Area 1 | Area 2 | Area 3 | Area 4 | Area 5 | Area 6 | Area 7 | Area 8 | Area 9 |
|---|---|---|---|---|---|---|---|---|---|
| 0~10 | 82 | 56.6 | 20.3 | 24.4 | 11.7 | 30.3 | 79.7 | 16.8 | 7.1 |
| 10~20 | 16.8 | 32.2 | 21.9 | 24.5 | 12.7 | 27.6 | 19.7 | 17.2 | 8.5 |
| 20~30 | 0.7 | 4.1 | 21.7 | 15.8 | 18.4 | 15.6 | 7 | 19.6 | 9.9 |
Disclaimer/Publisher’s Note: The statements, opinions and data contained in all publications are solely those of the individual author(s) and contributor(s) and not of MDPI and/or the editor(s). MDPI and/or the editor(s) disclaim responsibility for any injury to people or property resulting from any ideas, methods, instructions or products referred to in the content. |
© 2023 by the authors. Licensee MDPI, Basel, Switzerland. This article is an open access article distributed under the terms and conditions of the Creative Commons Attribution (CC BY) license (https://creativecommons.org/licenses/by/4.0/).
Share and Cite
Wang, L.; Zhou, X.; Cui, Y.; Zhou, K.; Zhu, C.; Luan, Q. Soil Moisture Contribution to Winter Wheat Water Consumption from Different Soil Layers under Straw Returning. Agronomy 2023, 13, 2851. https://doi.org/10.3390/agronomy13112851
Wang L, Zhou X, Cui Y, Zhou K, Zhu C, Luan Q. Soil Moisture Contribution to Winter Wheat Water Consumption from Different Soil Layers under Straw Returning. Agronomy. 2023; 13(11):2851. https://doi.org/10.3390/agronomy13112851
Chicago/Turabian StyleWang, Lishu, Xiaoxiang Zhou, Yumiao Cui, Ke Zhou, Changjun Zhu, and Qinghua Luan. 2023. "Soil Moisture Contribution to Winter Wheat Water Consumption from Different Soil Layers under Straw Returning" Agronomy 13, no. 11: 2851. https://doi.org/10.3390/agronomy13112851
APA StyleWang, L., Zhou, X., Cui, Y., Zhou, K., Zhu, C., & Luan, Q. (2023). Soil Moisture Contribution to Winter Wheat Water Consumption from Different Soil Layers under Straw Returning. Agronomy, 13(11), 2851. https://doi.org/10.3390/agronomy13112851
