Next Article in Journal
Response of Strawberry to the Substitution of Blue Light by Green Light in an Indoor Vertical Farming System
Next Article in Special Issue
Composting Sugarcane Filter Mud with Different Sources Differently Benefits Sweet Maize
Previous Article in Journal
Advanced Hybrid Metaheuristic Machine Learning Models Application for Reference Crop Evapotranspiration Prediction
Previous Article in Special Issue
The Effects of Agricultural Plastic Waste on the Vermicompost Process and Health Status of Eisenia fetida
 
 
Font Type:
Arial Georgia Verdana
Font Size:
Aa Aa Aa
Line Spacing:
Column Width:
Background:
Article

Evaluating Non-Composted Red Cotton Tree (Bombax ceiba) Sawdust Mixtures for Raising Okra (Abelmoschus esculentus (L.) Moench) in Pots

1
Department of Agronomy, College of Agriculture, University of Sargodha, Sargodha 40100, Pakistan
2
Department of Agricultural Sciences, Faculty of Science, Allama Iqbal Open University, Islamabad 44000, Pakistan
3
Department of Agronomy, University of Agriculture, Faisalabad 38040, Pakistan
4
Department of Plant Sciences, Quaid-i-Azam University, Islamabad 45320, Pakistan
5
Department of Biology, College of Science, Princess Nourah bint Abdulrahman University, P.O.Box 84428, Riyadh 11671, Saudi Arabia
6
Faculty of Science, Zarqa University, Zarqa 13110, Jordan
7
Department of Medical Laboratory Sciences, Faculty of Allied Medical Sciences, Zarqa University, Zarqa 13110, Jordan
*
Authors to whom correspondence should be addressed.
Agronomy 2023, 13(1), 97; https://doi.org/10.3390/agronomy13010097
Submission received: 6 November 2022 / Revised: 9 December 2022 / Accepted: 19 December 2022 / Published: 28 December 2022

Abstract

In modern agriculture, the substrate industry prefers porous materials for plants to provide water and nutrients in soilless cultivation. Composted sawdust is such a substrate. The sawdust industry is interested in avoiding composting sawdust because it is time and labor-consuming. The study objective was to evaluate whether non-composted (fresh) Bombax ceiba (red cotton tree) sawdust with added nutrients could be an alternative to composted sawdust for okra production. The sawdust was mixed with nutrients in the form of banana peels (a potassium source), eggshells (a calcium source), and urea (a nitrogen source). We conducted two independent pot experiments. Treatments were viz.: T1: non-fertilized 100% sandy clay loam soil (control) (vol/vol); T2: non-composted 100% B. ceiba sawdust (vol/vol); T3: non-composted 80% B. ceiba sawdust + 20% banana peels (vol/vol); T4: non-composted 60% B. ceiba sawdust + 20% banana peels + 20% eggshells (vol/vol); T5: non-composted 60% B. ceiba sawdust + 20% banana peels + 20% eggshells (vol/vol) + urea (@ 91 kg N ha−1). In both experiments, the germination of okra seeds was unaffected by the sawdust mixtures. The phenological development of okra was significantly greater in non-fertilized clay loam soil than in any non-composted sawdust mixtures. Plant height, leaf relative water content, stability index of the membrane, root length, chlorophyll content index, root and shoot dry and fresh weight, stem diameter, and single leaf area of okra were lower in all non-composted B. ceiba sawdust mixtures compared to the control. In contrast to T2, T5 resulted in fewer days before the first flower developed, an increase in the number of pods plant−1, length of pod plant−1, the diameter of the pod, fresh and dry weight of pod plant−1, and the seed numbers pod−1. It is concluded that amending non-composted B. ceiba sawdust with banana peels, eggshells, and urea (T5) enhanced its perspective as a growth medium for okra. Nonetheless, the amendments were unlikely to establish an adequate yield of okra, as was the case with non-fertilized sandy clay loam soil.

1. Introduction

The growing of plants in soilless culture is gaining popularity over time in many parts of the world. It contributes to a realistic solution for growers to problems such as low soil fertility, low water retention, and soil pollution [1]. A substitute for conventional crop production is soilless cultivation which can replace the method of traditional cultivation of soil [2]. The constraint of limited water resources also increases the importance of soilless culture. Numerous materials may be utilized as growing media because they have desirable features, such as high nutrient content, high water retention capacity, enough aeration, flexible portability, and low cost to ensure optimal seedling growth and enhanced plant output. Among these, pumice, cocopeat, perlite, and vermiculite are substrates used for seedling production [3]. Choosing a medium depends on how easily the material can be recycled into basic organic components, accessibility, and price [4]. Soilless media are preferred over soil due to their lightweight, which makes them easy to handle during transportation. They should provide a suitable environment for plant growth and development, as they are often sterilized and free from soil-borne diseases and weed seeds [5,6].
Soil alone as a growing medium does not always provide all supplies for maximum plant growth, quality attributes, and yield. Therefore, the introduction of soilless media has been a fundamental change in safe cultivation and is obtaining popularity in the present scenario. For soilless growing media, different types of inorganic and organic materials can be used [7]. The organic media include, for example, peat moss, sawdust, compost, and agro-based waste material, while inorganic substrates include vermiculite and perlite [8]. The agro-waste material, based on alfalfa amendment in a peat-compost medium, was used as a substrate for organic tomato production to gain maximum yield by exploiting the improved water-holding capacity of the medium [9]. Crops are grown in soilless culture in many countries of the world. Capsicum (Capsicum annuum L.) was grown in a soilless medium containing vermicompost, compost, cattle manure, and poultry manure. It was compared with inorganic fertilizers. The results showed that the capsicum fruit’s fresh and dry weight and total yield were larger, as well as the nutritional values of the fruits. The capsicum plants performed better when poultry manure was applied compared to cattle manure [10].
It is well known that soilless culture is a good way to grow plants when there are problems with the soil and water, such as soil-borne pests, soil salinity, water salinity, drought, heavy metals toxicity, lack of rich soil, the extent of chemical contaminants in the soil, and shortage of water. A major advantage of growing plants without soil is the ability to precisely regulate the number of nutrients, amount of water, and temperature of the root zone. Companies dealing in the substrates business are making progress in the use of soilless culture methods via technology transfer. It is expected that soilless culture is being adopted on a commercial basis at a large scale [11].
Compared to imported growth materials such as peat moss and cocopeat, sawdust is frequently a more affordable source. It is suitable for use as a medium for gardening and raising plants. Sawdust is increasingly used as a plant growth medium in the substrate manufacturing industry due to its favorable physical properties, which include satisfactory biodegradability, high porosity, low superficial definite gravity, high water retention capacity, high bacterial tolerance, and moderate drainage [12]. Therefore, sawdust in many forms and mixtures has been used as a growth medium for glasshouse plant cultivation. For example, garlic was raised and cloves’ emergence and bulb yield were found on par with garlic cultivated in soil and Bombax ceiba sawdust substrate. Sawdust substrates of six different types, including Eucalyptus albens, Morus alba, Bombax ceiba, Azadirachta indica, Acacia nilotica, and Mangifera indica were used as a medium of growth for garlic [13].
Eggshells are assumed waste material, and their reckless disposal may cause environmental pollution. Eggshells may be processed into saleable products such as organic fertilizer and artwork. It is a good source of soil amendment and contain 98.2% calcium carbonate [14]. The availability of calcium enables plant roots to absorb essential minerals such as phosphorus, potassium, and nitrogen. It also increases the size of the plant and improves the quality of fruits and vegetables such as tomatoes and sugar beet [15]. Eggshells are a waste resource that may be utilized as a substitute for lime and other soil preservatives due to their similar chemical composition [14]. Therefore, an eggshell powder may be used as an organic fertilizer amendment to supply calcium to plants.
Banana peels constitute about 18–33% of the entire mass of the fruit and are thought of as discarded products [16]. Banana peels are good sources of potassium. The application of banana peels may develop immunity in plants to resist different types of diseases [17]. The recycling of banana peels as organic fertilizer provides an option to better utilize and dispose of the waste material for economic development and sustainable agriculture [18]. Therefore, the use of banana peels as organic fertilizers is safe for the environment, humans, and animals. Their use also reduces the cost of chemical fertilizer [19].
Okra is a well-known commercially grown vegetable with high nutritive values such as vitamins, carbohydrates, and proteins [20]. Okra cultivation is uncertain due to the variety of soil types and climatic conditions. While growing plants such as okra, we also encounter challenges such as temperature changes, soil water retention capacity, cation exchange capacity, heavy metal pollution, adequate nutrient disorder, and disease and pest pathogenicity in the soil [21]. These challenges are mitigated with the soilless medium that allows for more precise regulation of plant development. In our studies, we used okra as a container plant and non-composted (fresh) Bombax ceiba (red cotton tree) sawdust as a growing medium to demonstrate to urban residents the viability of growing okra in containers on rooftops. Bombax ceiba is a deciduous tree mostly used for wood.
Plant-based organic waste can be recycled and used as soilless growth media. Therefore, composted sawdust can be used as a soilless medium to grow plants. However, the sawdust substrate manufacturing industry desires to eliminate 22−25 weeks of sawdust composting time before it becomes ready to be packed and marketed. We anticipated that, with the addition of the appropriate quantity of organic waste and nutrients, non-composted (fresh) B. ceiba sawdust may be utilized as a soilless substrate for okra cultivation.
The study objective was to assess whether non-composted B. ceiba sawdust could be combined with banana peels (a potassium source), eggshells (a calcium source), and urea (a nitrogen source) to serve as a suitable non-composted soilless substrate for the growth of okra.

2. Materials and Methods

2.1. Location

In mid-2019, two field trials were conducted at the Faculty of Agriculture, Sargodha University, Pakistan, at two different locations with different light and environmental conditions.

2.2. Experimental Material

Untreated (fresh) B. ceiba sawdust, banana peel powder, eggshell powder, plastic pots, urea, and okra seeds were used in two independent experiments. The B. ceiba sawdust was derived from a young and healthy tree trunk about 7 years old. The particle size of the B. ceiba sawdust was 8–16 μm and was acquired by using a grinding machine (Zhengzhou Yuxi Grinding Machine, Zhengzhou Yuxi Machinery Equipment Co., Ltd., Zhengzhou, China). The banana peels and eggshells were shade-dried and powdered before being utilized as a natural fertilizer. Banana strips were arranged as waste material from household kitchens and juice shops. Eggshells were gathered from a local egg hatchery. As a test plant, the okra variety ‘Punjab Selection’ was selected. The substrate parts were mixed manually.

2.3. Experimental Treatments

T1:unfertilized 100% sandy clay loam soil (control) (vol/vol; hereafter called v/v)
T2: non-composted 100% B. ceiba sawdust (v/v)
T3: non-composted 80% B. ceiba sawdust + 20% banana peels (v/v)
T4: non-composted 60% B. ceiba sawdust + 20% banana peels + 20% eggshells (v/v)
T5: non-composted 60% B. ceiba sawdust + 20% banana peels + 20% eggshells (v/v) + urea (@ 91 kg N ha−1)
Table 1 lists the physiochemical characteristics of the non-fertilized B. ceiba sawdust combinations and unfertilized soil samples that were used in the experiments.

2.4. Pot Filling

Plastic containers (21 × 20 cm) with a diameter of 12 inches were utilized. Pots were filled with non-composted B. ceiba sawdust mixtures and soil, based on volume by volume (v/v) ratio. Each pot’s base was pierced with two tiny drainage holes to assist excess water drainage. Then, 5.6 L of growth substrate was poured into each pot. The difference in the density and weight of different non-composted B. ceiba sawdust treatment mixtures enabled us to follow the v/v ratio. The nitrogen fertilizer was applied only in the T5 treatment (@ 91 kg N ha−1) [22]. The source of nitrogen was a urea fertilizer (Sona Urea, 50 kg bag−1 containing 46% nitrogen, manufactured by Fauji Fertilizer Company Private Limited, Pakistan). The fertilizer and organic amendments (Table 2) were mixed manually.

2.5. Experimental Design and Practices

Experiments 1 (exp-1) and 2 (exp-2) were carried out using a fully randomized design (CRD) with five treatments and four replicates per experiment. Seeds were planted at two individual sites on 18 April 2019 for both trials. Four seeds were planted 1–2 cm deep in each pot. After 15 days of sowing (DAS), pots were thinned to two seedlings per pot. From the two remaining seedlings, one more seedling was uprooted at 30 DAS (seedling stage: S1), and parameters were taken from it. The last seedling in each pot was grown and harvested at 110 DAS (harvest stage: S2). In the other pots, no weeds appeared. For each treatment, 16 plants (4 replications × 2 growth stages × 2 locations) were evaluated. A total of 80 plants (16 × 5 treatments) were examined during the experimental period. Only the initial irrigation was performed with water in trays. Each container was set on a water-filled plastic plate until all of the substrate mixtures and soil in the pots were thoroughly moistened through the holes present at the base of each plastic pot. To prevent water from becoming a limiting factor for the length of the experiment, frequent irrigations were administered to the surface of the substrate mixtures in each container.

2.6. Plant Trait Measurement

Plant height was measured at 30 DAS (S1) and 110 DAS at the final harvest (S2). In S1 and S2, an electronic digital vernier caliper was used to measure okra stem diameter (digital Vernier caliper, manufactured by Mitutoyo Corporation; 20–1, Sakado 1-Chome, Takatsu-Ku, Kawasaki-shi, Kanagawa 213–8533, Japan). A digital weight scale (Sartorius Model No. BSA2235, Sartorius Scientific Instruments (Beijing) Co., Ltd. 33 Yu An Road, Airport Industrial Park Zone B, Shunyi District, Beijing 101,300, China) was used to measure the above-ground and root fresh weights of okra plants at S1 and S2.
After drying the above-ground and root biomass at 80 °C for 48 h in an oven (drying oven, Model DGH-9240 A, Address: 540 S Brea Blvd., Brea, CA 9282, USA), the dry weight of the samples was determined. The length of the roots was measured at S1 and S2. The average time it took each plant to have its first blossom was recorded. The average amount of pods per plant was counted during harvest. Individual pods were selected, weighed, and the average weight was taken. The average pod dry weight plant−1 was determined after drying the pods at 80 °C for 48 h. The length and average diameter of each okra pod plant−1 was determined. The seeds were extracted from the pods and counted.
Using a CCI meter, the chlorophyll content index of okra was determined at S1 and S2 (CCI meter, manufactured by Beijing Yaxinliyi Science and Technology Co., Ltd.; Beijing, China). The leaf area was also recorded at S1 and S2 using a leaf area meter (Yaxin-1241 Leaf Meter, manufactured by Beijing Yaxinliyi Science and Technology Co., Ltd.; Beijing, China). The method described by [23] was used to determine the leaf relative water content. Each replication had one leaf from the center of the canopy randomly selected and cut off the plant using scissors. Leaves were dried using tissue paper, and their fresh weight was calculated (FW). To obtain a turgid consistency, the leaves were then immersed in distilled water for four hours under low light (TW). Following this, the leaves were weighed after being dried for 24 h at 85 °C in a drying oven (drying oven, Model DGH-9240A; 540 S Brea Blvd. Brea, CA 92821, USA). The following formula was used to calculate leaf relative water content:
Leaf relative water content ( RWC ) = FW DW TW DW × 100
The methodology described by [24] was used to calculate the membrane stability index (MSI). Each replicate’s 100 mg leaf discs were extracted and properly cleaned with distilled water. Then, leaf discs were cooked at 40 °C for 30 min in 10 mL of distilled water. Using an EC meter, the electrical conductivity (C1) was measured (conductivity meter, Model DDS-307, Ningbo Hinotek Technology Co., Ltd., Zhejiang, China). Using the EC meter, the samples’ electrical conductivity (C2) was assessed after 10 min in a boiling water bath. The following equation was used to compute MSI:
Membrane stability index ( MSI ) = 1 C 1 C 2 × 100

2.7. Analysis of Statistics

Separate analyses were conducted in two experiments. Using Statix 8.1 software, the data were analyzed using a one-way analysis of variance (ANOVA) and presented as the mean of four replicates and standard error (SE). The p ≤ 0.05 was used to test for significance between treatments. All pairwise comparisons were carried out in a post hoc test, and the least significant difference (LSD) test was used to assess significance levels with a probability threshold of 5%. The graphs were created with the SigmaPlot 12.5 program.

3. Results

In general, okra plants performed differently in all treatments. Plant morphology and plasticity of okra were significantly affected by all treatments. Non-composted (fresh) B. ceiba sawdust mixtures affected the above-ground growth and root biomass of okra plants negatively.
The tallest okra plant was recorded in T5 (mean height: 12.27 cm), followed by T1 (mean height: 6.15 cm) in exp-1 at S1 (Figure 1A,B). The shortest okra plant was found in T4 (mean height: 4.4 cm) in exp-1, and in T2 (mean height: 2.32 cm) in exp-2 at S1. However, at S1, the treatment T5 was more effective than all other sawdust mixture treatments, including the unfertilized sandy clay loam soil (control) (Figure 1A,B).
The maximum chlorophyll content index (CCI) at S1 was recorded in T5 (mean value: 28.17) in exp-1 and (mean value: 30.62) in exp-2. The lowest CCI at S1 was recorded in T3 (mean value: 6.4) in exp-1 and (mean value: 6.5) in exp-2 (Figure 1C,D). At S1, significant differences were seen among sawdust treatments compared to the control (unfertilized soil) (Figure 1C,D). Similarly, CCI was taken at S2. The maximum CCI was recorded in T1 in both exp-1 and exp-2. The minimum CCI was recorded in T2 at 19.82 in exp-1 and 17.7 in exp-2 at S2 (Figure 1C,D).
The maximum stem diameter was recorded in T5 (mean value: 3.38 mm) followed by control T1 (mean value: 3.15 mm) at S1 in exp-1, whereas, at S1, the minimum stem diameter was obtained in T3 (mean value: 1.54 mm) in exp-1, and T2 (mean value: 1.88 mm) in exp-2 (Figure 1E,F). Similarly, at S2, the maximum stem diameter in exp-1 and exp-2 was recorded in T1 with mean values of 8.86 mm and 8.51 mm, respectively (Figure 1E,F).
The maximum single leaf area (SLA) was recorded in T5 followed by control T1 at S1 in both exp-1 and exp-2 (Figure 1G,H). The lowest SLA was found in T3 at S1, in both experiments (Figure 1G,H). At S2, the maximum SLA was recorded in T1 in both experiments. The lowest SLA was obtained in T2 at S2 for both experiments (Figure 1G,H).
The minimum root length both at S1 and S2 was recorded in T2 in both experiments (Figure 2A,B). The maximum root length at S1 was recorded in T1 (mean value: 5.5 cm) in exp-1, and in T5 (mean value: 7.17 cm) in exp-2. The maximum root length at S2 was recorded in T5 in both experiments (Figure 2A,B). Similarly, the maximum root fresh weight (Figure 2C,D) and shoot fresh weight (Figure 2E,F) of okra at both S1 and S2 was recorded in T1 and T5 in the two experiments.
Likewise, the maximum shoot dry weight (Figure 3A,B) and root dry weight (Figure 3C,D) of okra in both exp-1 and exp-2 at S1 were recorded in T5, whereas the maximum shoot dry weight (Figure 3A,B) and root dry weight (Figure 3C,D) at S2 was obtained in T1 in both exp-1 and exp-2.
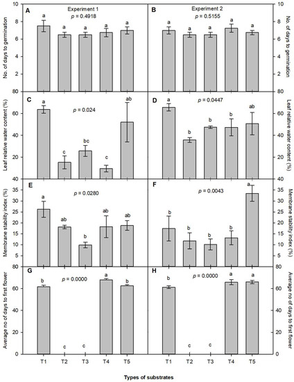
The germination percentage of okra seeds did not differ significantly between any of the treatments in exp-1 and exp-2 (Figure 4A,B). The relative water content of the leaf (LRWC) was not significantly different between T5 and T1 in both exp-1 and exp-2. The lowest LRWC was noted in T4 both in exp-1 and exp-2 (Figure 4C,D). The membrane stability index (MSI) was affected significantly in both soil-based and soilless treatments (Figure 4E,F). Electrolyte leakage was measured to assess the permeability of the membranes. The quantity of electrolyte leakage was largest in T1 (MSI mean value: 26.18%) in exp-1. The minimum MSI was recorded in both experiments in T3 (MSI mean value: 9.85% in exp-1 and mean value: 10.15% in exp-2) (Figure 4E,F). The statistical analysis showed a significant response of okra for the average number of days taken to produce the first flower (Figure 4G,H). The minimum number of days counted before the first flower appeared was recorded in T1 in both experiments (mean value: 61.75 and 61.33 days, respectively) (Figure 4G,H). The maximum average days before the first flower bloomed was recorded in T4 in both exp-1 and exp-2 (Figure 4G,H).
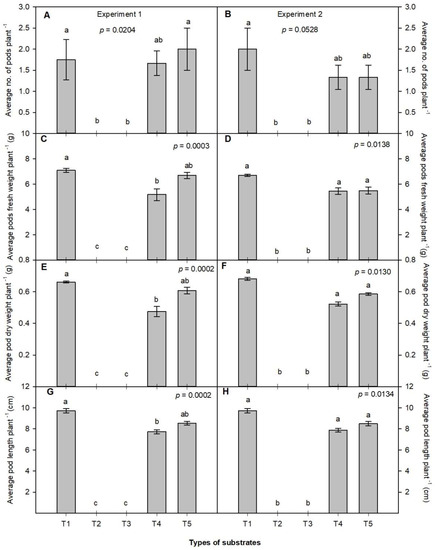
The average number of pods plant−1 varied significantly between the treatments (Figure 5A,B). The maximum average number of pods plant−1 was noted in T1 and T5 in both experiments. In T2 and T3, okra plants were unable to develop pods (Figure 5A,B). Similarly, the maximum average fresh weight of the pod (Figure 5C,D), average dry weight of the pod (Figure 5E,F), and average pod length (Figure 5G,H) were observed in T1 and the lowest was in T4 in both experiments. In T2 and T3, okra plants did not develop pods. Hence, data for the average number of pods plant−1, average pod fresh weight, average pod length, and average pod dry weight in T2 and T3 were not taken (Figure 5A–H).
The maximum average pod diameter (Figure 6A,B) and the seed number pod−1 (Figure 6C,D) were recorded in T1 in both experiments, whereas the minimum was recorded in T4. Okra plants did not produce pods in T2 and T3 (Figure 6A–D).

4. Discussion

In general, the growth of okra was stunted, and yield was reduced when grown in non-composted (fresh) Bombax ceiba sawdust mixtures. Non-composted Bombax ceiba sawdust was chosen because it has proven its potential to be recycled as a viable container substrate to grow garlic [13]. The banana peel powder was added to non-composted B. ceiba sawdust as organic fertilizer [17], whereas eggshell powder was mixed in non-composted (fresh) B. ceiba sawdust with the reasoning that it contains 98.2% calcium carbonate, and the availability of calcium may aid plant roots in the absorption of essential minerals such as phosphorus, potassium, and nitrogen in the containers [14]. In T5, urea was incorporated as a source of nitrogen to balance the C:N level to attain equilibrium in non-composted B. ceiba sawdust, which was otherwise rich in carbon by default.
There was no difference in germination between any of the treatments. Germination started simultaneously in all pots. This indicated that B. ceiba sawdust might have the potential to be used as a medium for raising seedlings in nurseries, being porous and lightweight, creating good drainage, being cheap, and ensuring protection against soil-borne pathogens. Our outcomes were consistent with [13], who revealed that the emergence of garlic cloves was not influenced by being grown in B. ceiba sawdust mixtures and soil.
Plant height was significantly negatively affected when okra was grown in non-composted B. ceiba sawdust mixtures. At S1, the maximum porosity of the sawdust mixtures allowed the frequent release of nutrients to the okra plants, whereas, in soil, nutrients were released slowly to the okra plants. This resulted in the rapid early growth of the okra plants at S1 in the T5 sawdust mixture. However, as time progressed, the plant became taller in T1 in both experiments. Our results were parallel to the results of [25], who stated that seedlings of Scotch pine (Pinus sylvestris) were smaller when grown in peat, pumice, and rice hull substrates. Okra height and overall growth in T2 and T3 were stunted both at S1 and S2 in both experiments. This might be because the non-composted (fresh) B. ceiba sawdust contained abundant carbon which turned it into “brown carbon-rich material”. Too much carbon tied up all the available nitrogen and may have imbalanced the C:N level of the developed mixtures, resulting in too much carbon for bacteria to break down the sawdust into mineral nutrition of plant available form in such a short experimental period. Our findings matched with [26], who described that mixtures of non-composted Chinaberry (Melia azedarach L.) sawdust negatively affected the plant height and growth of okra.
The maximum CCI was recorded at S1 in T5 in both experiments. The added N fertilizer (urea) was likely the reason. This additionally incorporated urea balanced the C:N ratio for the bacteria, which might have resulted in faster decomposition of sawdust and release of nutrients in this treatment. The amendment of urea resulted in higher chlorophyll content in leaves and hence more growth at S1. Our result is supported by [27], who stated that the highest yield of okra (3 t ha−1) was obtained when urea was given at a rate of 60 kg ha−1 in a mixture of maize cob-ash sawdust. Similarly, [28] found that the chlorophyll content in okra leaves significantly increased when organic fertilizer was applied (farmyard manure, vermicompost, and poultry manure). At S2, the chlorophyll content did not significantly differ between treatments. This may be because all the fertilizer had been taken up by the okra plants or leached out of the pots.
The maximum single leaf area (SLA) measured in T5 at S1 may also be caused by the higher level of urea fertilizer. In [29], it was found that nitrogen application increased the leaf area of wheat. At S2, the maximum SLA was recorded in T1. The high porosity and low water-holding capacity of non-composted B. ceiba sawdust at T5 may have drained the N content fast at S2.
Leaf relative water content (LRWC) was the indicator of the okra plants’ water status, which helped schedule the irrigation during the course of the experiments. The treatments T1 and T5 were statistically on par with LRWC, showing that the T5 mixture had a good water-holding capacity. Our results supported the outcome of [13], who conveyed that the LRWC of garlic leaves did not decline when garlic was grown in Azadirachta indica (neem) sawdust soilless substrate and soil (control). The membrane stability index (MSI) showed the level of damage and the capability of the membrane to survive under stress. In both experiments, the quantity of electrolyte leakage increased in T1. Okra grown in the soil had less stable membranes.
Stem diameter was not significantly different between T1 and T5 treatments. At harvest, okra plants grown in the soil had the largest stem diameter in both experiments. Our results supported the findings of [13], who detected that the thickest stem of garlic was noted in A. indica sawdust mixture, and on par with the soil. However, our findings contradicted the outcomes of [30], who grew okra in sawdust and poultry manure. Treatments were 0, 2, and 5-ton ha−1 sawdust and 0, 5, and 10-ton ha−1 broiler litter (poultry manure). The 10-ton ha−1 poultry manure increased the plant height, the diameter of the stem, the leaf count, and the okra yield, whereas the mutual effect of sawdust and poultry manure did not enlarge the stem diameter and yield.
The average number of days before the first blossom bloomed in the two experiments differed by treatment. Okra plants flowered earlier in soil than in non-composted B. ceiba sawdust mixtures. This might be due to the okra cultivar “Punjab Selection” being deprived of adaptability into non-composted B. ceiba sawdust mixtures for completion of its juvenile growth stage. The maximum number of okra pods (yield) was obtained from treatments T1 and T5. This may be due to the better availability and uptake of nutrients by okra in these two media, whereas the maximum average pod length, fresh weight, and dry weight were attained in T1 in both experiments. The shoot fresh weight of okra was at its maximum at S1 in T1 and T5 in exp-2. Similarly, the shoot dry weight of okra in both experiments at S1 was higher in T5. Additionally, this might be caused by adding nitrogen fertilizer to T5. Our findings were in favor of [27], who noticed that when urea fertilizer (60 kg ha−1) was applied to maize cob-ash sawdust (3 t ha−1), it produced the maximum yield of okra.
In our study, deviation in the root fresh and dry weight of okra may be due to the difference in water-holding capacity, insufficient nutrition, inappropriate density, and excessive porosity of non-composted B. ceiba sawdust mixtures (T2, T3, T4). Therefore, the increase in dry weight, fresh weight, height, and biomass production of the okra was larger when okra was grown in soil compared to the different non-composted B. ceiba sawdust mixtures. Our findings support [31], who concluded that sawdust alone did not improve the yield components. However, when compost made of sawdust and cattle manure (1:2 ratios (w/w)) was mixed with the soil, it promoted plant growth and increased the yield of okra.
The maximum root length in both experiments was found in T5 at S2. This might be due to high permeability, low compactness, no soil-borne pathogens, and better particle size and structure of non-composted B. ceiba sawdust mixtures with added nutrition, which enabled okra roots to increase in length. Our result supported the outcomes of [26], who also reported longer okra roots when grown in non-composted sawdust mixtures of M. azedarach. The nutrient in the media was organic waste, which can only be a source of plant nutrients after mineralization. Therefore, from the start, okra may have little chance of lush growth in sawdust with banana peels and eggshells in T2, T3, and T4 compared to T5, where there was mineral nitrogen added in the form of urea.

5. Conclusions

This study indicated that non-composted (fresh) Bombax ceiba (red cotton tree) sawdust may be an appropriate growing medium for okra. Nonetheless, the nutrient amendments such as the banana peels, eggshells, and urea (@ 90 kg N ha−1) were unlikely to establish an adequate yield of okra, as was the case with unfertilized sandy clay loam soil. Therefore, if the sawdust substrate manufacturing industry desires to eliminate the 22−25 weeks it takes to compost the sawdust, there is a need for further studies about how amendments of plant nutrients can significantly improve the B. ceiba sawdust as a growth substrate. Short composting of B. ceiba sawdust with the addition of nitrogen-rich waste from green vegetable and fruit sources can be a solution, but it needs further investigation with experimentation.

Author Contributions

Conceptualization, M.Y.; data curation, F.A. and T.J.; formal analysis, F.A., H.N., B.A. and I.A.S.; funding acquisition, T.J., K.A., I.A.S. and H.A.A.-H.; investigation, M.Y.; methodology, M.Y., F.A., and H.N.; software, T.J., B.A., K.A. and H.A.A.-H.; supervision, A.M.; validation, S.M. and A.M.; writing—original draft, M.Y. and S.M.; writing—review and editing, H.N., S.M., A.M., B.A., K.A., I.A.S. and H.A.A.-H. All authors have read and agreed to the published version of the manuscript.

Funding

This research was funded by Princess Nourah bint Abdulrahman University, Researchers Supporting Project number (PNURSP2023R188) Riyadh, Saudi Arabia.

Data Availability Statement

Not applicable.

Acknowledgments

The College of Agriculture at the University of Sargodha in Pakistan generously offered research facilities, for which the authors are grateful.

Conflicts of Interest

The authors claim that they have no competing financial or personal interests that would appear to have impacted the research shown in this study.

References

  1. Gianquinto, G.; Tei, F. Orticoltura Urbana Nei Paesi In Via Di Sviluppo: Ruolo Multifunzionale, Sistemi Colturali e Prospettive Future. Italus Hortus 2010, 17, 71–97. [Google Scholar]
  2. Olympios, C.M. Overview of Soilless Culture: Advantages, Constraints, And Perspectives. In Protected Cultivation in the Mediterranean Region; Choukr-Allah, R., Ed.; CIHEAM/IAV Hassan II: Paris, France, 1999; pp. 307–324, (Cahiers Options Méditer-ranéennes; n. 31). [Google Scholar]
  3. Kilic, A.M.; Kilic, O. Evaluation of Gordes Zeolite Deposit of Turkey for Industrial Uses. Asian J. Chem. 2006, 18, 1405–1412. [Google Scholar]
  4. Shaw, N.L.; Cantliffe, D.J.; Funes, J.; Shine, C. Successful Beit Alpha Cucumber Production in the Greenhouse Using Pine Bark as An Alternative Soilless Media. Hort Technol. 2004, 14, 289–294. [Google Scholar] [CrossRef]
  5. Bilderback, T.E.; Warren, S.L.; Owen, J.S.; Albano, J.P. Healthy Substrates Need Physicals Too. Hort Technol. 2005, 15, 747–751. [Google Scholar] [CrossRef]
  6. Mastouri, F.; Hassandokht, M.R.; Dehkaei, M.N.P. The Effect of Application of Agricultural Waste Compost on Growing Media And Greenhouse Lettuce Yield. Acta Hortic. 2005, 697, 153–158. [Google Scholar] [CrossRef]
  7. Olle, M.; Ngouajio, M.; Siomos, A. Vegetable Quality And Productivity as Influenced by Growing Medium: A Review. Agriculture 2012, 99, 399–408. [Google Scholar]
  8. Grunert, O.; Perneel, M.; Vandaele, S. Peat-based Organic Growbags As A Solution to the Mineral Wool Waste Problem. Mires Peat 2008, 3, 1–5. [Google Scholar]
  9. Nair, A.; Ngouajio, M.; Biernbaum, J. Alfalfa-based Organic Amendment in Peat Compost Growing Medium for Organic Tomato Transplant Production. Hort Sci. 2011, 46, 253–259. [Google Scholar] [CrossRef]
  10. Salas, S.; Ramirez, C. A Microbial Bioassay To Estimate Nutrient Availability of Organic Fertilizers: Field Calibration. Agron. Costarric. 2001, 25, 11–23. [Google Scholar]
  11. Engindeniz, S.; Gül, A. Economic Analysis of Soilless And Soil-based Greenhouse Cucumber Production in Turkey. Sci. Agric. 2009, 66, 606–614. [Google Scholar] [CrossRef]
  12. Maharani, R.; Yutaka, T.; Yajima, T.; Minoru, T. Scrutiny on Physical Properties of Sawdust From Tropical Commercial Wood Species: Effects of Different Mills And Sawdust’s Particle Size. J. For. Res. 2010, 7, 20–32. [Google Scholar] [CrossRef][Green Version]
  13. Yasin, M.; Jabran, K.; Afzal, I.; Iqbal, S.; Nawaz, M.A.; Mahmood, A.; Asif, M.; Nadeem, M.A.; Rahman, Z.U.; Adnan, M.; et al. Industrial Sawdust Waste: An Alternative To Soilless Substrate For Garlic (Allium sativum L.). J. Appl. Res. Med. Aromat. Plants 2020, 18, 100252. [Google Scholar] [CrossRef]
  14. Amu, O.O.; Fajobi, A.B.; Oke, B.O. Effect of Eggshell Powder on The Stabilizing Potential of Lime on An Expansive Clay Soil. Res. J. Agric. Biol. Sci. 2005, 1, 80–84. [Google Scholar] [CrossRef]
  15. Fenn, L.B.; Taylor, R.M. Calcium Stimulation of Ammonium Absorption in Radish. Agron. J. 1990, 82, 81–84. [Google Scholar] [CrossRef]
  16. Wolfe, K.; Wu, X.; Liu, R.H. Antioxidant Activity of Apple Peels. J. Agric. Food Chem. 2003, 51, 609–614. [Google Scholar] [CrossRef]
  17. Kumar, K.P.S.; Bhowmik, D.; Duraivel, S.; Umadevi, M. Traditional And Medicinal Uses of Banana. J. Pharmacogn. Phytochem. 2012, 1, 51–63. [Google Scholar]
  18. Memon, M.; Memon, K.S.; Mirani, S.; Jamro, G.M. Comparative Evaluation of Organic Wastes For Improving Maize Growth And NPK Content. Afr. J. Biotechnol. 2012, 11, 9343–9349. [Google Scholar] [CrossRef]
  19. ElNour, M.E.M.; Elfadil, A.G.; Manal, F.A.; Saeed, B.A.E. Effects of Banana Compost on Growth, Development And Productivity of Sorghum bicolor Cultivar (Tabat). J. Adv. Biol. 2015, 8, 28–36. [Google Scholar]
  20. Dilruba, S.; Hasanuzzaman, M.; Karim, R.; Nahar, K. Yield Response of Okra to Different Sowing Time And Application of Growth Hormones. J. Hort. Sci. Ornament. Plants 2009, 1, 10–14. [Google Scholar]
  21. Du Plooy, C.P.; Maboko, M.M.; Van den Heever, E.; Chiloane, S. Research And Technology Transfer by The Agricultural Research Council to Sustain the South African Hydroponic Industry. Acta Hort. 2012, 947, 147–152. [Google Scholar] [CrossRef]
  22. Gemechu, E.M. Effect of Inter-row Spacing And Nitrogen Rates on Growth, Yield Components, And Yield of Okra Abelmoschus esculentus (L.) at Assosa, Western Ethiopia. Life Sci. J. 2018, 15, 1–16. [Google Scholar]
  23. Smart, R.E.; Bingham, G.E. Rapid Estimates of Relative Water Content. Plant Physiol. 1974, 53, 258–260. [Google Scholar] [CrossRef] [PubMed]
  24. Sairam, R.K. Effect of Moisture-stress on Physiological Activities of Two Contrasting Wheat Genotypes. Indian J. Exp. Biol. 1994, 32, 594–597. [Google Scholar]
  25. Aklibasinda, M.; Tunc, T.; Bulut, Y.; Sahin, U. Effects of Different Growing Media on Scotch Pine (Pinus sylvestris) Production. J. Anim. Plant Sci. 2011, 21, 535–541. [Google Scholar]
  26. Yasin, M.; Noorani, H.; Anwar, F.; Siddiqui, M.; Safdar, M.E.; Andreasen, C. Non-composted Chinaberry (Melia azedarach L.) Sawdust Mixtures As a Growth Medium for Okra (Abelmoschus esculentus (L.) Moench). Agriculture 2022, 12, 354. [Google Scholar] [CrossRef]
  27. Adekiya, A.O.; Aboyeji, C.M.; Dunsin, O.; Adebiyi, O.V.; Oyinlola, O.T. Effect of Urea Fertilizer And Maize Cob Ash on Soil Chemical Properties, Growth, Yield, Aand Mineral Composition of Okra, Abelmoschus esculentus (L.) Moench. J. Hort. Res. 2018, 26, 67–76. [Google Scholar] [CrossRef]
  28. Premsekhar, M.; Rajashree, V. Influence of Organic Manures on Growth, Yield And Quality of Okra. Am. Eurasian J. Sustain. Agric. 2009, 3, 6–8. [Google Scholar]
  29. Bojovic, B.; Markovic, A. Correlation Between Nitrogen And Chlorophyll Content in Wheat (Triticum aestivum L.). Kragujev. J. Sci. 2009, 31, 69–74. [Google Scholar]
  30. Adekunle, O.O. The Effect of Combined Application of Poultry Manure And Sawdust on The Growth And Yield of Okra. J. Agric. Sci. 2013, 5, 169–175. [Google Scholar] [CrossRef][Green Version]
  31. Khatun, A.; Sikder, S.; Joardar, J.C. Effect of Co-compost Made From Cattle Manure And Sawdust on The Growth And Yield of Okra (Abelmoschus Esculentus L.). Malays. J. Sustain. Agric. 2020, 4, 36–39. [Google Scholar] [CrossRef]
Figure 1. Effects of non-composted Bombax ceiba (red cotton tree) sawdust mixtures on Abelmoschus esculentus L. (okra). Height of plant (cm) (A,B), chlorophyll content index (C,D), the diameter of the stem (mm) (E,F), and single leaf area (mm2) (G,H) in two independent experiments. T1: unfertilized 100% sandy clay loam soil (control) (v/v); T2: non-composted 100% B. ceiba sawdust (v/v); T3: non-composted 80% B. ceiba sawdust + 20% banana peels (v/v); T4: non-composted 60% B. ceiba sawdust + 20% banana peels + 20% eggshells (v/v); T5: non-composted 60% B. ceiba sawdust + 20% banana peels + 20% eggshells (v/v) + urea (@ 91 kg N ha−1). Different letters display significant differences between treatment mean values at the top of the vertical bars, as determined by the least significant difference test (LSD) at p < 0.05. Differences between treatments were very significant, as evidenced by the p < 0.001. The error bars show the standard error (n = 4).
Figure 1. Effects of non-composted Bombax ceiba (red cotton tree) sawdust mixtures on Abelmoschus esculentus L. (okra). Height of plant (cm) (A,B), chlorophyll content index (C,D), the diameter of the stem (mm) (E,F), and single leaf area (mm2) (G,H) in two independent experiments. T1: unfertilized 100% sandy clay loam soil (control) (v/v); T2: non-composted 100% B. ceiba sawdust (v/v); T3: non-composted 80% B. ceiba sawdust + 20% banana peels (v/v); T4: non-composted 60% B. ceiba sawdust + 20% banana peels + 20% eggshells (v/v); T5: non-composted 60% B. ceiba sawdust + 20% banana peels + 20% eggshells (v/v) + urea (@ 91 kg N ha−1). Different letters display significant differences between treatment mean values at the top of the vertical bars, as determined by the least significant difference test (LSD) at p < 0.05. Differences between treatments were very significant, as evidenced by the p < 0.001. The error bars show the standard error (n = 4).
Agronomy 13 00097 g001
Figure 2. Effect of non-composted Bombax ceiba (red cotton tree) sawdust substrates on Abelmoschus esculentus L. (okra). Length of root (cm) (A,B), fresh weight of root (g) (C,D), and fresh weight of shoot (g) (E,F), at two plant growth stages; S1 (30 days after sowing) and S2 (110 days after sowing) in two independent experiments. All treatments (T1, T2, T3, T4, T5) were the same as described in Figure 1. Different letters display significant differences between treatment mean values at the top of the vertical bars, as determined by the least significant difference test (LSD) at p < 0.05. Differences between treatments were very significant, as evidenced by the p < 0.001. The error bars show the standard error (n = 4).
Figure 2. Effect of non-composted Bombax ceiba (red cotton tree) sawdust substrates on Abelmoschus esculentus L. (okra). Length of root (cm) (A,B), fresh weight of root (g) (C,D), and fresh weight of shoot (g) (E,F), at two plant growth stages; S1 (30 days after sowing) and S2 (110 days after sowing) in two independent experiments. All treatments (T1, T2, T3, T4, T5) were the same as described in Figure 1. Different letters display significant differences between treatment mean values at the top of the vertical bars, as determined by the least significant difference test (LSD) at p < 0.05. Differences between treatments were very significant, as evidenced by the p < 0.001. The error bars show the standard error (n = 4).
Agronomy 13 00097 g002
Figure 3. Effect of non-composted Bombax ceiba (red cotton tree) sawdust mixtures on Abelmoschus esculentus L. (okra). The dry weight of shoot (g) (A,B), and dry weight of root (g) (C,D), at two plant growth stages S1 (30 days after sowing) and S2 (110 days after sowing) in two independent experiments. All treatments (T1, T2, T3, T4, T5) were the same as described in Figure 1. Different letters display significant differences between treatment mean values at the top of the vertical bars, as determined by the least significant difference test (LSD) at p < 0.05. Differences between treatments were very significant, as evidenced by the p < 0.001. The error bars show the standard error (n = 4).
Figure 3. Effect of non-composted Bombax ceiba (red cotton tree) sawdust mixtures on Abelmoschus esculentus L. (okra). The dry weight of shoot (g) (A,B), and dry weight of root (g) (C,D), at two plant growth stages S1 (30 days after sowing) and S2 (110 days after sowing) in two independent experiments. All treatments (T1, T2, T3, T4, T5) were the same as described in Figure 1. Different letters display significant differences between treatment mean values at the top of the vertical bars, as determined by the least significant difference test (LSD) at p < 0.05. Differences between treatments were very significant, as evidenced by the p < 0.001. The error bars show the standard error (n = 4).
Agronomy 13 00097 g003
Figure 4. Effect of non-composted Bombax ceiba (Red cotton tree) sawdust mixtures on Abelmoschus esculentus L. (okra). Seed germination (A,B), leaf relative water content (C,D), membrane stability index (E,F), and an average number of days taken to first flowering (G,H) in two independent experiments. All treatments (T1, T2, T3, T4, T5) were the same as described in Figure 1. Different letters display significant differences between treatment mean values at the top of the vertical bars, as determined by the least significant difference test (LSD) at p < 0.05. Differences between treatments were very significant, as evidenced by the p = 0.0000. The error bars show the standard error (n = 4). There was no flowering in T2 and T3 before harvest.
Figure 4. Effect of non-composted Bombax ceiba (Red cotton tree) sawdust mixtures on Abelmoschus esculentus L. (okra). Seed germination (A,B), leaf relative water content (C,D), membrane stability index (E,F), and an average number of days taken to first flowering (G,H) in two independent experiments. All treatments (T1, T2, T3, T4, T5) were the same as described in Figure 1. Different letters display significant differences between treatment mean values at the top of the vertical bars, as determined by the least significant difference test (LSD) at p < 0.05. Differences between treatments were very significant, as evidenced by the p = 0.0000. The error bars show the standard error (n = 4). There was no flowering in T2 and T3 before harvest.
Agronomy 13 00097 g004
Figure 5. Effect of non-composted Bombax ceiba (Red cotton tree) sawdust mixtures on Abelmoschus esculentus L. (okra). The average number of pods plant−1 (A,B), average pods fresh weight plant−1 (C,D), average pods dry weight plant−1 (E,F), and average pods length plant−1 (G,H) in two independent experiments. All treatments (T1, T2, T3, T4, T5) were the same as described in Figure 1. Different letters display significant differences between treatment mean values at the top of the vertical bars, as determined by the least significant difference test (LSD) at p < 0.05. Differences between treatments were very significant, as evidenced by the p = 0.0000. The error bars show the standard error (n = 4). There was no pod development in T2 and T3 before harvest.
Figure 5. Effect of non-composted Bombax ceiba (Red cotton tree) sawdust mixtures on Abelmoschus esculentus L. (okra). The average number of pods plant−1 (A,B), average pods fresh weight plant−1 (C,D), average pods dry weight plant−1 (E,F), and average pods length plant−1 (G,H) in two independent experiments. All treatments (T1, T2, T3, T4, T5) were the same as described in Figure 1. Different letters display significant differences between treatment mean values at the top of the vertical bars, as determined by the least significant difference test (LSD) at p < 0.05. Differences between treatments were very significant, as evidenced by the p = 0.0000. The error bars show the standard error (n = 4). There was no pod development in T2 and T3 before harvest.
Agronomy 13 00097 g005
Figure 6. Effect of non-composted Bombax ceiba (Red cotton tree) sawdust mixtures on Abelmoschus esculentus L. (okra). Average diameter of pods (mm) (A,B) and average number of seeds pods−1 (C,D) in two independent experiments. All treatments (T1, T2, T3, T4, T5) were the same as described in Figure 1. Different letters display significant differences between treatment mean values at the top of the vertical bars, as determined by the least significant difference test (LSD) at p < 0.05. Differences between treatments were very significant, as evidenced by the p = 0.0000. The error bars show the standard error (n = 4). There was no pod development in T2 and T3 before harvest.
Figure 6. Effect of non-composted Bombax ceiba (Red cotton tree) sawdust mixtures on Abelmoschus esculentus L. (okra). Average diameter of pods (mm) (A,B) and average number of seeds pods−1 (C,D) in two independent experiments. All treatments (T1, T2, T3, T4, T5) were the same as described in Figure 1. Different letters display significant differences between treatment mean values at the top of the vertical bars, as determined by the least significant difference test (LSD) at p < 0.05. Differences between treatments were very significant, as evidenced by the p = 0.0000. The error bars show the standard error (n = 4). There was no pod development in T2 and T3 before harvest.
Agronomy 13 00097 g006
Table 1. Experiments utilized the fundamental physiochemical features of the soil and non-composted B. ceiba sawdust combinations. T1: non-fertilized 100% sandy clay loam soil (control) (v/v), T2: non-composted 100% B. ceiba sawdust (v/v), T3: non-composted 80% B. ceiba sawdust + 20% banana peels (v/v), T4: non-composted 60% B. ceiba sawdust + 20% banana peels + 20% eggshells (v/v), and T5: non-composted 60% B. ceiba sawdust + 20% banana peels + 20% eggshells (v/v) + urea (@ 91 kg N ha−1).
Table 1. Experiments utilized the fundamental physiochemical features of the soil and non-composted B. ceiba sawdust combinations. T1: non-fertilized 100% sandy clay loam soil (control) (v/v), T2: non-composted 100% B. ceiba sawdust (v/v), T3: non-composted 80% B. ceiba sawdust + 20% banana peels (v/v), T4: non-composted 60% B. ceiba sawdust + 20% banana peels + 20% eggshells (v/v), and T5: non-composted 60% B. ceiba sawdust + 20% banana peels + 20% eggshells (v/v) + urea (@ 91 kg N ha−1).
AttributesT1T2T3T4T5
Soil textural classSandy clay loamSoillessSoillessSoillessSoilless
Sand (g kg−1 of soil)609.0----
Silt (g kg−1 of soil)173.0----
Clay (g kg−1 of soil)218.0----
pH7.81 ± 0.058.39 ± 0.038.19 ± 0.088.03 ± 0.057.94 ± 0.09
EC (µS cm−1)1186 ± 6.811005 ± 4.851046 ± 3.711063 ± 4.181112 ± 5.51
Water-holding capacity (g g−1)0.42 ± 0.310.27 ± 0.280.33 ± 0.230.36 ± 0.360.38 ± 0.39
C: N ratio35.78 ± 0.1861.52 ± 0.2162.27 ± 0.2558.53 ± 0.1748.09 ± 0.15
Dissolved organic C (mg kg−1)45.71 ± 2.6232.92 ± 2.9333.55 ± 3.3334.28 ± 2.4136.06 ± 2.18
Available N (mg kg−1)48 ± 0.8631 ± 0.7234 ± 0.5536 ± 0.4642 ± 0.52
Available P (mg kg−1)7.21 ± 0.494.63 ± 0.574.72 ± 0.614.98 ± 0.425.11 ± 0.93
Available K (mg kg−1)191.11 ± 7.25165.51 ± 7.71175.84 ± 6.83176.66 ± 8.28178.99 ± 6.19
Table 2. Total quantity and composition of non-composted Bombax ceiba (Cotton tree) sawdust substrate mixtures utilized in each pot for the two trials. All treatments (T1, T2, T3, T4, T5) were the same as described in Table 1.
Table 2. Total quantity and composition of non-composted Bombax ceiba (Cotton tree) sawdust substrate mixtures utilized in each pot for the two trials. All treatments (T1, T2, T3, T4, T5) were the same as described in Table 1.
TreatmentsSubstrateVolume (%)Volume (Liter Pot−1)Weight (kg)
T1Soil1005.66
T2Sawdust1005.61
T3Sawdust804.480.8
Banana peels200.1120.35
Total1005.61.15
T4Sawdust603.360.6
Banana peels200.1120.35
Eggshells200.1120.85
Total1005.61.80
T5Sawdust603.360.6
Banana peels200.1120.35
Eggshells200.1120.85
Urea 0.0017
Total1005.61.8017
Disclaimer/Publisher’s Note: The statements, opinions and data contained in all publications are solely those of the individual author(s) and contributor(s) and not of MDPI and/or the editor(s). MDPI and/or the editor(s) disclaim responsibility for any injury to people or property resulting from any ideas, methods, instructions or products referred to in the content.

Share and Cite

MDPI and ACS Style

Yasin, M.; Anwar, F.; Noorani, H.; Muhammad, S.; Mahmood, A.; Javed, T.; Ali, B.; Alharbi, K.; Saleh, I.A.; Abu-Harirah, H.A. Evaluating Non-Composted Red Cotton Tree (Bombax ceiba) Sawdust Mixtures for Raising Okra (Abelmoschus esculentus (L.) Moench) in Pots. Agronomy 2023, 13, 97. https://doi.org/10.3390/agronomy13010097

AMA Style

Yasin M, Anwar F, Noorani H, Muhammad S, Mahmood A, Javed T, Ali B, Alharbi K, Saleh IA, Abu-Harirah HA. Evaluating Non-Composted Red Cotton Tree (Bombax ceiba) Sawdust Mixtures for Raising Okra (Abelmoschus esculentus (L.) Moench) in Pots. Agronomy. 2023; 13(1):97. https://doi.org/10.3390/agronomy13010097

Chicago/Turabian Style

Yasin, Muhammad, Farhan Anwar, Hassan Noorani, Sher Muhammad, Athar Mahmood, Talha Javed, Baber Ali, Khadiga Alharbi, Ibrahim A. Saleh, and Hashem A. Abu-Harirah. 2023. "Evaluating Non-Composted Red Cotton Tree (Bombax ceiba) Sawdust Mixtures for Raising Okra (Abelmoschus esculentus (L.) Moench) in Pots" Agronomy 13, no. 1: 97. https://doi.org/10.3390/agronomy13010097

APA Style

Yasin, M., Anwar, F., Noorani, H., Muhammad, S., Mahmood, A., Javed, T., Ali, B., Alharbi, K., Saleh, I. A., & Abu-Harirah, H. A. (2023). Evaluating Non-Composted Red Cotton Tree (Bombax ceiba) Sawdust Mixtures for Raising Okra (Abelmoschus esculentus (L.) Moench) in Pots. Agronomy, 13(1), 97. https://doi.org/10.3390/agronomy13010097

Note that from the first issue of 2016, this journal uses article numbers instead of page numbers. See further details here.

Article Metrics

Back to TopTop