Soil Strength and Structural Stability Are Mediated by Soil Organic Matter Composition in Agricultural Expansion Areas of the Brazilian Cerrado Biome
Abstract
1. Introduction
2. Materials and Methods
2.1. Study Site Characteristics
2.2. Soil Sampling and Laboratory Analyses
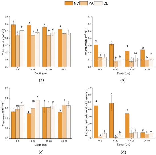
3. Results and Discussion
4. Conclusions
Supplementary Materials
Author Contributions
Funding
Data Availability Statement
Acknowledgments
Conflicts of Interest
References
- Dias, L.C.P.; Pimenta, F.M.; Santos, A.B.; Costa, M.H.; Ladle, R.J. Patterns of Land Use, Extensification, and Intensification of Brazilian Agriculture. Glob. Chang. Biol. 2016, 22, 2887–2903. [Google Scholar] [CrossRef] [PubMed]
- Foley, J.A.; DeFries, R.; Asner, G.P.; Barford, C.; Bonan, G.; Carpenter, S.R.; Stuart Chapin, F.; Coe, M.T.; Daily, G.C.; Gibbs, H.K.; et al. Global Consequences of Land Use. Science 2005, 309, 570–574. [Google Scholar] [CrossRef] [PubMed]
- Sanderman, J.; Hengl, T.; Fiske, G.J. Soil Carbon Debt of 12,000 Years of Human Land Use. Proc. Natl. Acad. Sci. USA 2017, 114, 9575–9580. [Google Scholar] [CrossRef] [PubMed]
- Newbold, T.; Hudson, L.N.; Hill, S.L.L.; Contu, S.; Lysenko, I.; Senior, R.A.; Börger, L.; Bennett, D.J.; Choimes, A.; Collen, B.; et al. Global Effects of Land Use on Local Terrestrial Biodiversity. Nature 2015, 520, 45–50. [Google Scholar] [CrossRef]
- Podmanicky, L.; Balázs, K.; Belényesi, M.; Centeri, C.; Kristóf, D.; Kohlheb, N. Modelling Soil Quality Changes in Europe. An Impact Assessment of Land Use Change on Soil Quality in Europe. Ecol. Indic. 2011, 11, 4–15. [Google Scholar] [CrossRef]
- Vieira, R.M.d.S.P.; Tomasella, J.; Barbosa, A.A.; Polizel, S.P.; Ometto, J.P.H.B.; Santos, F.C.; Ferreira, Y.d.C.; de Toledo, P.M. Land Degradation Mapping in the MATOPIBA Region (Brazil) Using Remote Sensing Data and Decision-Tree Analysis. Sci. Total Environ. 2021, 782, 146900. [Google Scholar] [CrossRef]
- Companhia Nacional de Abastecimento. Décimo Segundo Levantamento/Setembro 2019; CONAB: Brasilia, Brazil, 2019; Volume 2019.
- IBGE (Brazilian Institute of Geography and Statistics). Efetivo Dos Rebanhos, Por Tipo de Rebanho. Available online: https://sidra.ibge.gov.br/tabela/3939 (accessed on 4 December 2021).
- Bolfe, É.L.; Victória, D.C.; Contini, E.; Silva, G.B.; Araujo, L.S.; Gomes, D. MATOPIBA Em Crescimento Agrícola. Rev. Polít. Agríc. 2016, 1, 38–62. [Google Scholar]
- Lumbreras, J.F.; Carvalho Filho, A.; Motta, P.E.F.; Barros, A.H.C.; Aglio, M.L.D.; Dart, R.D.O.; da Silveira, H.L.F.; Quartaroli, C.F.; Almeida, R.E.M.; Freitas, P.L. Aptidão Agrícola Das Terras Do Matopiba. Documentos 2015, 179, 49. [Google Scholar]
- Santos, H.G.; Carvalho Junior, W.; Dart, R.O.; Aglio, M.L.D.; Sousa, J.S.; Pares, J.G.; Fontana, A. O Novo Mapa de Solos Do Brasil: Legenda Atualizada; Embrapa Solos: Rio de Janeiro, Brazil, 2011. [Google Scholar]
- Donagemma, G.K.; de Freitas, P.L.; Balieiro, F.d.C.; Fontana, A.; Spera, S.T.; Lumbreras, J.F.; Viana, J.H.M.; Filho, J.C.d.A.; dos Santos, F.C.; de Albuquerque, M.R.; et al. Characterization, Agricultural Potential, and Perspectives for the Management of Light Soils in Brazil. Pesqui Agropecu Bras. 2016, 51, 1003–1020. [Google Scholar] [CrossRef]
- Lal, R. Restoring Soil Quality to Mitigate Soil Degradation. Sustainability 2015, 7, 5875–5895. [Google Scholar] [CrossRef]
- Green, V.S.; Stott, D.E.; Cruz, J.C.; Curi, N. Tillage Impacts on Soil Biological Activity and Aggregation in a Brazilian Cerrado Oxisol. Soil Tillage Res. 2007, 92, 114–121. [Google Scholar] [CrossRef]
- Cherubin, M.R.; Karlen, D.L.; Franco, A.L.C.; Tormena, C.A.; Cerri, C.E.P.; Davies, C.A.; Cerri, C.C. Soil Physical Quality Response to Sugarcane Expansion in Brazil. Geoderma 2016, 267, 156–168. [Google Scholar] [CrossRef]
- Hunke, P.; Roller, R.; Zeilhofer, P.; Schröder, B.; Mueller, E.N. Soil Changes under Different Land-Uses in the Cerrado of Mato Grosso, Brazil. Geoderma Reg. 2015, 4, 31–43. [Google Scholar] [CrossRef]
- Grecchi, R.C.; Gwyn, Q.H.J.; Bénié, G.B.; Formaggio, A.R.; Fahl, F.C. Land Use and Land Cover Changes in the Brazilian Cerrado: A Multidisciplinary Approach to Assess the Impacts of Agricultural Expansion. Appl. Geogr. 2014, 55, 300–312. [Google Scholar] [CrossRef]
- Hunke, P.; Mueller, E.N.; Schröder, B.; Zeilhofer, P. The Brazilian Cerrado: Assessment of Water and Soil Degradation in Catchments under Intensive Agricultural Use. Ecohydrology 2015, 8, 1154–1180. [Google Scholar] [CrossRef]
- Cunha, E.R.; Bacani, V.M.; Panachuki, E. Modeling Soil Erosion Using RUSLE and GIS in a Watershed Occupied by Rural Settlement in the Brazilian Cerrado. Nat. Hazards 2017, 85, 851–868. [Google Scholar] [CrossRef]
- Yost, J.L.; Hartemink, A.E. Soil Organic Carbon in Sandy Soils: A Review, 1st ed.; Elsevier Inc.: Amsterdam, The Netherlands, 2019. [Google Scholar]
- Huang, J.; Hartemink, A.E. Soil and Environmental Issues in Sandy Soils. Earth Sci. Rev. 2020, 208, 103295. [Google Scholar] [CrossRef]
- Horn, R. Time Dependence of Soil Mechanical Properties and Pore Functions for Arable Soils. Soil Sci. Soc. Am. J. 2004, 68, 1131–1137. [Google Scholar] [CrossRef]
- De Moraes, M.T.; da Luz, F.B.; Debiasi, H.; Franchini, J.C.; da Silva, V.R. Soil Load Support Capacity Increases with Time without Soil Mobilization as a Result of Age-Hardening Phenomenon. Soil Tillage Res. 2019, 186, 128–134. [Google Scholar] [CrossRef]
- Zhang, B.; Horn, R.; Hallett, P.D. Mechanical Resilience of Degraded Soil Amended with Organic Matter. Soil Sci. Soc. Am. J. 2005, 69, 864–871. [Google Scholar] [CrossRef]
- Pesch, C.; Lamandé, M.; de Jonge, L.W.; Norgaard, T.; Greve, M.H.; Moldrup, P. Compression and Rebound Characteristics of Agricultural Sandy Pasture Soils from South Greenland. Geoderma 2020, 380, 114608. [Google Scholar] [CrossRef]
- Startsev, V.; Khaydapova, D.; Degteva, S.; Dymov, A. Soils on the Southern Border of the Cryolithozone of European Part of Russia (the Subpolar Urals) and Their Soil Organic Matter Fractions and Rheological Behavior. Geoderma 2020, 361, 114006. [Google Scholar] [CrossRef]
- Dexter, A.R.; Horn, R.; Kemper, W.D. Two Mechanisms for Age-hardening of Soil. J. Soil Sci. 1988, 39, 163–175. [Google Scholar] [CrossRef]
- Moraes, M.T.; Debiasi, H.; Carlesso, R.; Franchini, J.C.; da Silva, V.R.; da Luz, F.B. Age-Hardening Phenomena in an Oxisol from the Subtropical Region of Brazil. Soil Tillage Res. 2017, 170, 27–37. [Google Scholar] [CrossRef]
- Cavalcanti, R.Q.; Rolim, M.M.; de Lima, R.P.; Tavares, U.E.; Pedrosa, E.M.R.; Cherubin, M.R. Soil Physical Changes Induced by Sugarcane Cultivation in the Atlantic Forest Biome, Northeastern Brazil. Geoderma 2020, 370, 114353. [Google Scholar] [CrossRef]
- Alvares, C.A.; Stape, J.L.; Sentelhas, P.C.; de Moraes Gonçalves, J.L.; Sparovek, G. Köppen’s Climate Classification Map for Brazil. Meteorol. Z. 2013, 22, 711–728. [Google Scholar] [CrossRef]
- Soil Survey Staff. Keys to Soil Taxonomy, 12th ed.; USDA—Natural Resources Conservation Service: Washington, DC, USA, 2014; ISBN 0926487221.
- Food and Agriculture Organization of the United Nations. World Reference Base for Soil Resources 2014: International Soil Classification System for Naming Soils and Creating Legends for Soil Maps; FAO: Rome, Italy, 2015; ISBN 9789251083697. [Google Scholar]
- Zalles, V.; Hansen, M.C.; Potapov, P.V.; Stehman, S.V.; Tyukavina, A.; Pickens, A.; Song, X.P.; Adusei, B.; Okpa, C.; Aguilar, R.; et al. Near Doubling of Brazil’s Intensive Row Crop Area since 2000. Proc. Natl. Acad. Sci. USA 2019, 116, 428–435. [Google Scholar] [CrossRef]
- Locatelli, J.L.; Santos, R.S.; Cherubin, M.R.; Cerri, C.E.P. Changes in Soil Organic Matter Fractions Induced by Cropland and Pasture Expansion in Brazil’ s New Agricultural Frontier. Geoderma Reg. 2022, 28, e00474. [Google Scholar] [CrossRef]
- Ribeiro, L.F.; Tabarelli, M. A Structural Gradient in Cerrado Vegetation of Brazil: Changes in Woody Plant Density, Species Richness, Life History and Plant Composition. J. Trop. Ecol. 2002, 18, 775–794. [Google Scholar] [CrossRef]
- Cerri, C.E.P.; Galdos, M.V.; Carvalho, J.L.N.; Feigl, B.J.; Cerri, C.C. Quantifying Soil Carbon Stocks and Greenhouse Gas Fluxes in the Sugarcane Agrosystem: Point of View. Sci. Agric. 2013, 70, 361–368. [Google Scholar] [CrossRef]
- Gee, G.W.; Or, D. Particle-Size Analysis. In Methods of Soil Analysis: Physical Methods; Dane, J.H., Toop, G.C., Eds.; Soil Science Society of America: Madison, WI, USA, 2002; pp. 255–293. [Google Scholar]
- Flint, A.L.; Flint, L.E. Particle Density. In Methods of Soil Analysis; Dane, J.H., Topp, G.C., Eds.; Soil Science Society of America: Madison, WI, USA, 2002; pp. 504–505. [Google Scholar]
- Teixeira, P.C.; Donagemma, G.K.; Fontana, A.; Teixeira, W.G. (Eds.) Manual de Métodos de Análise de Solo, 3rd ed.; Embrapa Solos: Rio de Janeiro, Brazi, 2017; ISBN 9788570357717. [Google Scholar]
- Cambardella, C.A.; Elliott, E.T. Particulate Soil Organic-Matter Changes across a Grassland Cultivation Sequence. Soil Sci. Soc. Am. J. 1992, 56, 777–783. [Google Scholar] [CrossRef]
- Klute, A. Laboratory Measurement of Hydraulic Conductivity of Saturated Soil. In Methods of Soil Analysis: Part 1; Soil Science Society of America: Madison, WI, USA, 1965. [Google Scholar]
- Asgarzadeh, H.; Mosaddeghi, M.R.; Nikbakht, A.M. SAWCal: A User-Friendly Program for Calculating Soil Available Water Quantities and Physical Quality Indices. Comput. Electron. Agric. 2014, 109, 86–93. [Google Scholar] [CrossRef]
- Elliot, E.T. Aggregate Structure and Carbon, Nitrogen, and Phosphorus in Native and Cultivated Soils. Soil Sci. Soc. Am. J. 1986, 50, 627–633. [Google Scholar] [CrossRef]
- Schnepf, A.; Leitner, D.; Klepsch, S. Modeling Phosphorus Uptake by a Growing and Exuding Root System. Vadose Zone J. 2012, 11, vzj2012.0001. [Google Scholar] [CrossRef]
- Valle Júnior RF, d.o.; Siqueira, H.E.; Valera, C.A.; Oliveira, C.F.; Sanches Fernandes, L.F.; Moura, J.P.; Pacheco, F.A.L. Diagnosis of Degraded Pastures Using an Improved NDVI-Based Remote Sensing Approach: An Application to the Environmental Protection Area of Uberaba River Basin (Minas Gerais, Brazil). Remote Sens. Appl. 2019, 14, 20–33. [Google Scholar] [CrossRef]
- Azarnivand, H.; Farajollahi, A.; Bandak, E.; Pouzesh, H. Assessment of the Effects of Overgrazing on the Soil Physical Characteristic and Vegetation Cover Changes in Rangelands of Hosainabad in Kurdistan Province, Iran. J. Rangel. Sci. 2010, 1, 95–102. [Google Scholar]
- Hamza, M.A.; Anderson, W.K. Soil Compaction in Cropping Systems: A Review of the Nature, Causes and Possible Solutions. Soil Tillage Res. 2005, 82, 121–145. [Google Scholar] [CrossRef]
- Lima, R.P.; Keller, T.; Giarola, N.B.F.; Tormena, C.A.; Silva, A.R.D.; Rolim, M.M. Measurements and Simulations of Compaction Effects on the Least Limiting Water Range of a No-till Oxisol. Soil Res. 2019, 58, 62–72. [Google Scholar] [CrossRef]
- Reichert, J.M.; Mentges, M.I.; Rodrigues, M.F.; Cavalli, J.P.; Awe, G.O.; Mentges, L.R. Compressibility and Elasticity of Subtropical No-till Soils Varying in Granulometry Organic Matter, Bulk Density and Moisture. Catena 2018, 165, 345–357. [Google Scholar] [CrossRef]
- Reynolds, W.D.; Bowman, B.T.; Drury, C.F.; Tan, C.S.; Lu, X. Indicators of Good Soil Physical Quality: Density and Storage Parameters. Geoderma 2002, 110, 131–146. [Google Scholar] [CrossRef]
- Sattolo, T.M.S.; Pereira, L.M.; Otto, R.; Francisco, E.; Duarte, A.P.; Kappes, C.; Prochnow, L.I.; Cherubin, M.R. Effects of Land Use, Tillage Management, and Crop Diversification on Soil Physical Quality in Cerrado Agricultural Systems. Soil Sci. Soc. Am. J. 2021, 85, 1799–1813. [Google Scholar] [CrossRef]
- Tullberg, J.; Antille, D.L.; Bluett, C.; Eberhard, J.; Scheer, C. Controlled Traffic Farming Effects on Soil Emissions of Nitrous Oxide and Methane. Soil Tillage Res. 2018, 176, 18–25. [Google Scholar] [CrossRef]
- Batista, P.H.D.; de Almeida, G.L.P.; de Lima, R.P.; Pandorfi, H.; da Silva, M.V.; Rolim, M.M. Impact of Short-Term Grazing on Physical Properties of Planosols in Northeastern Brazil. Geoderma Reg. 2019, 19, e00234. [Google Scholar] [CrossRef]
- Dionizio, E.A.; Costa, M.H. Influence of Land Use and Land Cover on Hydraulic and Physical Soil Properties at the Cerrado Agricultural Frontier. Agriculture 2019, 9, 24. [Google Scholar] [CrossRef]
- Karami, A.; Homaee, M.; Afzalinia, S.; Ruhipour, H.; Basirat, S. Organic Resource Management: Impacts on Soil Aggregate Stability and Other Soil Physico-Chemical Properties. Agric. Ecosyst. Environ. 2012, 148, 22–28. [Google Scholar] [CrossRef]
- Gomes, L.; Simões, S.J.C.; Dalla Nora, E.L.; de Sousa-Neto, E.R.; Forti, M.C.; Ometto, J.P.H.B. Agricultural Expansion in the Brazilian Cerrado: Increased Soil and Nutrient Losses and Decreased Agricultural Productivity. Land 2019, 8, 12. [Google Scholar] [CrossRef]
- Falcão, K.D.S.; Panachuki, E.; Monteiro, F.D.N.; da Silva Menezes, R.; Rodrigues, D.B.B.; Sone, J.S.; Oliveira, P.T.S. Surface Runoff and Soil Erosion in a Natural Regeneration Area of the Brazilian Cerrado. Int. Soil Water Conserv. Res. 2020, 8, 124–130. [Google Scholar] [CrossRef]
- Bayer, C.; Martin-Neto, L.; Mielniczuk, J.; Pavinato, A.; Dieckow, J. Carbon Sequestration in Two Brazilian Cerrado Soils under No-Till. Soil Tillage Res. 2006, 86, 237–245. [Google Scholar] [CrossRef]
- Diekow, J.; Mielniczuk, J.; Knicker, H.; Bayer, C.; Dick, D.P.; Kögel-Knabner, I. Carbon and Nitrogen Stocks in Physical Fractions of a Subtropical Acrisol as Influenced by Long-Term No-till Cropping Systems and N Fertilisation. Plant Soil 2005, 268, 319–328. [Google Scholar] [CrossRef]
- Theisen, G.; Bastiaans, L. Low Disturbance Seeding Suppresses Weeds in No-tillage Soyabean. Weed Res. 2015, 55, 598–608. [Google Scholar] [CrossRef]
- Bagnall, A.D.K.; Morgan, C.L.S.; Mac Bean, G.; Liptzin, D.; Shannon, B.; Cope, M.; Greub, K.L.H.; Rieke, E.L.; Norris, C.E.; Paul, W.; et al. Selecting Soil Hydraulic Properties as Indicators of Soil Health: Measurement Response to Management and Site Characteristics. Soil Sci. Soc. Am. J. 2022, 86, 1206–1226. [Google Scholar] [CrossRef]
- White, R.G.; Kirkegaard, J.A. The Distribution and Abundance of Wheat Roots in a Dense, Structured Subsoil—Implications for Water Uptake. Plant Cell Environ. 2010, 33, 133–148. [Google Scholar] [CrossRef] [PubMed]




| Land-Use | Soil Layer | Clay | Silt | Sand | PD a | pHH2O | P b | BS c | Land-Use Change and Site History |
|---|---|---|---|---|---|---|---|---|---|
| cm | g kg−1 | mg m−3 | mg dm−3 | % | |||||
| NV | 0–5 | 371 | 45 | 584 | 2.71 | 4.2 | 2.33 | 12.78 | Remnant of Cerrado sensu stricto vegetation—composed of several species of trees and grasses sparsely distributed, without the formation of a continuous covering canopy. The trees have an average height that varies between 3 and 6 m [35]. |
| 5–10 | 374 | 36 | 590 | 2.70 | 4.3 | 2.00 | 8.98 | ||
| 10–20 | 396 | 28 | 576 | 2.72 | 4.2 | 1.62 | 8.84 | ||
| 20–30 | 420 | 49 | 530 | 2.73 | 4.3 | 1.44 | 27.43 | ||
| PA | 0–5 | 348 | 27 | 625 | 2.68 | 4.3 | 39.12 | 44.29 | An area extending over ~90 ha was converted from NV to PA in 2000. At the conversion time, NV was burned, removed, and soil was prepared by plowing and disking. The pasture was implemented by local grass species (i.e., tropical grasses from Urochloa genus). Soil fertility management was carried out exclusively with lime applications to reduce soil acidity. The area was intensively grazed by sheep and cattle and supports ~1 animal unit ha−1 (450 kg) in a full year. At the sampling moment, the area had clear signals of degradation (e.g., the presence of weeds and a low forage cover). |
| 5–10 | 345 | 20 | 636 | 2.69 | 4.5 | 33.02 | 38.49 | ||
| 10–20 | 344 | 24 | 635 | 2.70 | 4.4 | 20.51 | 36.76 | ||
| 20–30 | 375 | 50 | 577 | 2.72 | 4.4 | 26.68 | 35.89 | ||
| CL | 0–5 | 272 | 24 | 705 | 2.66 | 4.9 | 55.36 | 59.16 | An area extending over ~200 ha was converted from NV to CL under a no-tillage system in 2009. Before CL implementation, NV was burned, removed, and the soil was prepared by plowing and disking. Soil acidity was corrected by the application of 1.6 Mg ha−1 of dolomitic lime and additional doses were applied following soil analysis and recommendations. The area has been cultivated in a successional system of soybean (Glycine max L. Merr) + millet (Pennisetum glaucum L.) and used as a cover crop. Fertilization was carried out annually at an average rate of 100 kg ha−1 of K2O (potassium chloride) and 90 kg ha−1 of P2O5 (simple superphosphate). The soybean’s mean yield since the implementation is 3300 kg ha−1. |
| 5–10 | 298 | 12 | 690 | 2.70 | 4.6 | 42.36 | 34.10 | ||
| 10–20 | 307 | 17 | 676 | 2.71 | 4.6 | 14.54 | 34.04 | ||
| 20–30 | 337 | 18 | 645 | 2.74 | 4.4 | 4.72 | 19.85 | ||
Disclaimer/Publisher’s Note: The statements, opinions and data contained in all publications are solely those of the individual author(s) and contributor(s) and not of MDPI and/or the editor(s). MDPI and/or the editor(s) disclaim responsibility for any injury to people or property resulting from any ideas, methods, instructions or products referred to in the content. |
© 2022 by the authors. Licensee MDPI, Basel, Switzerland. This article is an open access article distributed under the terms and conditions of the Creative Commons Attribution (CC BY) license (https://creativecommons.org/licenses/by/4.0/).
Share and Cite
Locatelli, J.L.; de Lima, R.P.; Santos, R.S.; Cherubin, M.R.; Creamer, R.E.; Cerri, C.E.P. Soil Strength and Structural Stability Are Mediated by Soil Organic Matter Composition in Agricultural Expansion Areas of the Brazilian Cerrado Biome. Agronomy 2023, 13, 71. https://doi.org/10.3390/agronomy13010071
Locatelli JL, de Lima RP, Santos RS, Cherubin MR, Creamer RE, Cerri CEP. Soil Strength and Structural Stability Are Mediated by Soil Organic Matter Composition in Agricultural Expansion Areas of the Brazilian Cerrado Biome. Agronomy. 2023; 13(1):71. https://doi.org/10.3390/agronomy13010071
Chicago/Turabian StyleLocatelli, Jorge L., Renato P. de Lima, Rafael S. Santos, Maurício R. Cherubin, Rachel E. Creamer, and Carlos E. P. Cerri. 2023. "Soil Strength and Structural Stability Are Mediated by Soil Organic Matter Composition in Agricultural Expansion Areas of the Brazilian Cerrado Biome" Agronomy 13, no. 1: 71. https://doi.org/10.3390/agronomy13010071
APA StyleLocatelli, J. L., de Lima, R. P., Santos, R. S., Cherubin, M. R., Creamer, R. E., & Cerri, C. E. P. (2023). Soil Strength and Structural Stability Are Mediated by Soil Organic Matter Composition in Agricultural Expansion Areas of the Brazilian Cerrado Biome. Agronomy, 13(1), 71. https://doi.org/10.3390/agronomy13010071

