Next Article in Journal
Essential Oil Diversity of Turnip-Rooted Parsley Cultivars
Previous Article in Journal
Long-Term Effect of Tamarisk Plantation on Soil Physical Properties and Soil Salt Distribution in Coastal Saline Land
 
 
Font Type:
Arial Georgia Verdana
Font Size:
Aa Aa Aa
Line Spacing:
Column Width:
Background:
Article

Extraction of Mountain Grasslands in Yunnan, China, from Sentinel-2 Data during the Optimal Phenological Period Using Feature Optimization

1
Institute of Highland Forest Science, Chinese Academy of Forestry, Kunming 650216, China
2
College of Forestry, Nanjing Forestry University, Nanjing 210037, China
3
National Positioning Observation and Research Station of Shangri-La Grassland Ecosystem, National Forestry and Grassland Bureau, Shangri-La 674401, China
*
Author to whom correspondence should be addressed.
Agronomy 2022, 12(8), 1948; https://doi.org/10.3390/agronomy12081948
Submission received: 18 July 2022 / Revised: 10 August 2022 / Accepted: 15 August 2022 / Published: 18 August 2022
(This article belongs to the Section Grassland and Pasture Science)

Abstract

:
The timely and accurate mapping of the spatial distribution of grasslands is crucial for maintaining grassland habitats and ensuring the sustainable utilization of resources. We used Google Earth Engine (GEE) and Sentinel-2 data for mountain grassland extraction in Yunnan, China. The differences in the normalized vegetation index in the time-series data of different ground objects were compared. February to March, during grassland senescence, was the optimum phenological stage for grassland extraction. The spectral, textural of Sentinel-2, and topographic features of the Shuttle Radar Topography Mission (SRTM) were used for the classification. The features were optimized using the recursive feature elimination (RFE) feature importance selection algorithm. The overall accuracy of the random forest (RF) classification algorithm was 91.2%, the producer’s accuracy of grassland was 96.7%, and the user’s accuracy of grassland was 89.4%, exceeding that of the cart classification (Cart), support vector machine (SVM), and minimum distance classification (MDC). The SWIR1 and elevation were the most important features. The results show that Yunnan has abundant grassland resources, accounting for 18.99% of the land area; most grasslands are located in the northwest at altitudes above 3200 m and in the Yuanjiang River regions. This study provides a new approach for feature optimization and grassland extraction in mountainous areas, as well as essential data for the further investigation, evaluation, protection, and utilization of grassland resources.

1. Introduction

Grasslands account for about one-quarter of the global land area, representing an essential component of terrestrial ecosystems. They play a vital role in soil and water conservation, climate regulation, the global carbon cycle, and biodiversity protection and provide essential ecosystem services [1,2,3,4]. Grasslands are vulnerable to disturbances, resulting in quantity, quality, and distribution changes. In addition, about half of the world’s grasslands are degraded to different extents [5,6]. Grassland degradation can lead to vegetation cover reduction, desertification, and biodiversity and biomass loss [7,8]. Therefore, it is essential to obtain timely and accurate information on the growth trend and spatial distribution of grasslands to maintain grassland habitat, protect biodiversity, and promote the sustainable utilization of resources [9].
Remote sensing methods for extracting grasslands have the advantages of a wide observation range, a short monitoring cycle, and large amounts of information. The use of remote sensing technology to obtain the spatial distribution characteristics of grassland has become the main form of grassland resource survey [10]. The grasslands in Yunnan Province have obvious phenological characteristics such as growing and senescent seasons. Remote sensing classification based on phenological differences has been successfully applied to wetlands and mangroves [11,12]. Grassland plants are perennial and herbaceous; few studies have analyzed the phenological characteristics of grassland plants. Sentinel-2 data have been used to obtain phenology estimates at a high spatial resolution [13]. Vegetation indices are commonly used to analyze phenological characteristics. Royimani et al. (2022) [14] generated ten monthly vegetation indices from Sentinel 2 data. The results showed that the chlorophyll red-edge index (CHL-RED-EDGE) and the normalized difference red edge index (NDVI705) were the most important proxies for characterizing senescent grasslands in autumn. Therefore, vegetation indices are a means for the accurate and timely assessment of the optimal phenological period for extracting grasslands from remotely sensed imagery.
Remote sensing classification involves the identification and categorization of features, such as spectral, textural, and geometric characteristics [15,16,17]. Although the accuracy of visual interpretation is high, it is subjective for classifying large regions and complex terrain. Due to advances in computer science and remote sensing technologies, machine learning algorithms (MLAs) have been used increasingly for feature classification in natural resource and environmental research, especially for grassland extraction [9,18]. Badreldin et al. (2021) [19] used RF to distinguish three grassland categories in Saskatchewan, Canada; using PCA to reduce the dimension of MODIS and Sentinel-2 and Sentinel-1 big remote sensing data. One of the key elements to improving the classification accuracy is to extract suitable features from remote sensing images. Most studies used a single classification feature for grassland extraction. For example, only NDVI was used for classification, resulting in relatively low accuracy [20]. The classification accuracy for grasslands can be improved by adding auxiliary information, such as combining spectral information with terrain and texture features and using RF, and this approach has provided high producer and user accuracies of over 90% [21,22]. However, a large number of features, including some redundant and highly correlated features, may have a negative impact on the performance of the classifier, which is called “the cause of dimensionality”, also known as the Hughes phenomenon [23]. Demarchi et al. (2020) [24] assessed the potentiality of recursive feature elimination (RFE) in combination with random forest (RF) classification in extracting the main HS and LiDAR features needed to map grasslands in Poland. Mountain grasslands have a complex structure, and the spectral response is affected by the topographic relief. Filippa et al. (2022) [25] combined Sentinel-2 to calculated vegetation indices to construct a random forest model to obtain the distribution of mountain grasslands in Northwestern Italy, distinguishing between grasslands and shrubs. The grassland growing season varies significantly, and different spectral features occur in different seasons, whereas different types of ground objects may have similar spectral features. Therefore, selecting suitable features for mountain grassland extraction is essential to obtain an accurate grassland map and has become a hotspot in the extraction of grasslands.
However, algorithms for grassland extraction are rarely used in Yunnan because the mapping of mountain grasslands is nevertheless hampered by complex topography, remoteness, and small-scale heterogeneity that characterize mountain pastures. The first grassland survey conducted in China from 1979 to 1990 suggested that Yunnan had abundant grassland resources (National Animal husbandry and Veterinary Station, 1996); 70% of the province’s grasslands are used for grazing, indicating the biodiversity and ecological service value of the region’s grasslands [26]. However, long-time grazing has resulted in ecological problems. Accurate information on the location and distribution of Yunnan’s grassland resources is not available, complicating grassland management and utilization. Studies on grassland identification in Yunnan have mainly used traditional methods. For example, Liu et al. (2016) [27] used a supervised classification approach to extract green areas in the mountains of Yunnan as basic data for further analysis. Li et al. (2018) [28] used Landsat 8 and MODIS data to perform object-based image segmentation and classify grassland resources in Yunnan Province. Yuan et al. (2022) [29] constructed a complete multispectral time series dataset based on Landsat 8 OLI and Sentinel-2A/B data combined with Sentinel-1 time series data and topographic factors to realize Zhaotong city-scale mountainous grassland distribution. The performance of MLAs for grassland extraction of provincial grasslands in mountainous areas of Yunnan has not been studied in detail before. Using MLAs classifiers and cloud computing has resulted in high accuracy of grassland classification [30]. The integration with geographic information systems (GIS) provides a suitable platform for data analysis, update, and retrieval, particularly in areas of rugged topography and poor accessibility [31].
The data acquired by the Sentinel-2a and Sentinel-2b satellites launched by the European Space Agency (ESA) have the advantages of a large extent, short revisit time, and high resolution. The Google Earth Engine (GEE) is a cloud processing platform that integrates scientific analysis and the visualization of geospatial data sets. It provides Sentinel, Shuttle Radar Topography Mission (SRTM), meteorological, and other massive data sets that can be visualized and processed online [32]. The data and GEE have been used for land-cover mapping and change detection, minimizing the computing resources, and improving the timeliness and universality of remote sensing applications [32,33].
In summary, due to the seasonal and environmental complexity of grassland growth, vegetation identification using only simple features cannot overcome some limitations, such as the fast and effective extraction of grassland vegetation combined with optimal phenological periods. This study uses the GEE platform and Sentinel-2 images as a primary data source for grassland extraction using RF in Yunnan province. The optimal phenological period is determined, and the optimal spectral, texture, and topographic features are determined using RFE. This approach is suitable for the diverse climate and elevation characteristics of Yunnan province and provided basic data for the sustainable utilization of grassland resources.

2. Materials and Methods

2.1. Study Area

Yunan province is located at the southwest border of China at the southeastern edge of the Yunnan Guizhou Plateau and Qinghai Tibet Plateau (97°31′39″–106°11′47″ E and 21°8′32″–29°15′8″ N (Figure 1). This region is a transition zone from the tropical Asian zone to the East Asian temperate region and covers an area of 394,100 km2. It has high plant diversity and the largest number of plant species in China [34]. The study area is a mountainous plateau terrain with an altitude of 76 to 6740 m, accounting for 84% of Yunnan’s total area. According to the first grassland survey in China, Yunnan province has the second-largest grassland area in southern China (39.93%) [35]. The grasslands are diverse, with many plant community types.

2.2. Data

2.2.1. Sentinel-2 Data

This study used the Sentinel-2 L2A surface reflectance products provided in the GEE cloud platform (28 March 2017, satellites A and B). The data consist of three visible bands, three red-edge bands at 20 m resolution, one near-infrared (NIR) band, and two short infrared wave (SWIR) bands with a resolution of 10 m [36].

2.2.2. Sample Point Data

A total of 1770 sample points, including 722 grassland sample points, were collected for the classification and accuracy verification of the grasslands (Figure 1). The sample points were selected based on a field survey and the 2019 Yunnan Grassland Monitoring Sample Sites; 318 points were verified on the field research. The distance between the two sample points exceeded 10 m, and the points were well distributed in the natural grassland. At each point, 10 m × 10 m quadrats were established, and the location (GPS coordinates), elevation, slope, aspect, grassland type, and dominant grass species were recorded; some studies obtain relevant data from existing databases or government [37]; thus the rest of the sample sites are from the 2019 Yunnan Grassland Field Monitoring Sample Sites from the Yunnan Provincial Forestry and Grassland Bureau (http://lcj.yn.gov.cn/, accessed on 1 March 2020). We used the National Remote Sensing Monitoring Land Use/Cover Classification System to classify the land cover in Yunnan into five categories: grassland, cropland, forest, water, and building. Finally, 70% of the samples were randomly selected as the training dataset to establish the classification model, and 30% were selected as the validation dataset to evaluate the accuracy of the model.

2.2.3. DEM Data

The topographic characteristics of the study area were obtained from the Shuttle Radar Topography Mission (SRTM) 1 data (USGS/SRTM1_003) with a 30 m spatial resolution. Resampled SRTM topographic data to 10 m resolution using the resample function, consistent with Sentinel-2. GEE can quickly load and display the study area by editing the code. The terrain algorithm and clip function were used to obtain the elevation, aspect, and slope data of Yunnan province.

2.2.4. Other Data

The vector data of the Chinese provincial administrative boundaries in 2015, and the state and city administrative boundaries in Yunnan in 2015, and the cultivated land vector data in Yunnan Province were obtained from the Resource and Environmental Science and Data Center (http://www.resdc.cn/Default.aspx, accessed on 1 March 2020). The 2020 30 m spatial resolution land-cover classification product (GlobeLand30) developed by China was used as the reference data (map numbers N47_ 20, N47_ 25, N48_ 20, and N48_ 25). This dataset has an overall accuracy (OA) of 83.50% and a kappa coefficient of 0.82. (http://www.Globallandcover.com, accessed on 1 March 2020). Land with a natural grass cover of over 10% is defined as grassland. In addition, high-resolution image data from Google Earth and Bing were used to evaluate the classification performance.

2.3. Methods

The flowchart of the study is shown in Figure 2. The grassland classification includes four key steps. The feature importance was determined in the Python platform, and the other steps were implemented in the GEE platform.
(1)
We analyzed the normalized difference vegetation index (NDVI) time-series data to find the optimum image acquisition time for grassland extraction.
(2)
The spectral bands in the growing season and senescent season were compared, the average vegetation indices were calculated, and commonly used texture features were selected. Elevation, slope, hillshade, and aspect were obtained from the SRTM data.
(3)
Feature optimization was performed using RFE; 21 features were selected, and the importance scores were obtained from the RF algorithm. The classification accuracy of different feature combinations was compared by adding features with high importance scores.
(4)
The overall accuracy of the different classifiers for the optimum feature combination was compared. The optimum results were used in the RF algorithm to extract grasslands in different years.

2.3.1. Selection of Optimal Phenological Period

The spectral reflectance of different ground objects differs significantly due to different plant growth cycles. Many studies have used phenology for extracting different ground objects [12]. Grassland is the typical land-cover type; climate is one of the most important driving factors affecting their distribution. The study area in Southwest China has small spatial differences in temperature, but the area has rainy and dry seasons. Precipitation and plant growth are closely related, and the NDVI time series reflects the phenological changes in the vegetation from growth to senescence [14]. By analyzing the monthly mean NDVI values of various ground objects in Yunnan Province, the physiological characteristics and the reflectance of grassland in Yunnan in different seasons were analyzed so as to identify the growing and senescent seasons and determine the optimum phenological period for grassland extraction.

2.3.2. Feature Extraction

(1)
Spectral features
Spectral features include spectral bands and spectral indices. The spectral bands reflect the absorption, transmittance, and reflectance of electromagnetic waves by ground objects. Different ground objects exhibit different spectral reflectance characteristics in the same spectrum. A spectral index is a mathematical operation applied to different spectral bands to amplify the spectral differences of different ground objects. Six spectral indices were selected according to the land cover and the remote sensing data in the study area (Table 1). Three vegetation indices, the ratio vegetation index (RVI), NDVI, and enhanced vegetation index (EVI) are widely used for remote sensing vegetation monitoring. The normalized difference water index (NDWI) is often used for water monitoring. The difference vegetation index (DVI) and modified soil-adjusted vegetation index (MSAVI) minimize the error caused by bare soil and eliminate the influence of the soil background.
(2)
Topographic features
Terrain and land cover are often related. For example, field investigations have found significant differences in the topography between grassland, forest, and cropland in the plateau of the study area. Croplands are typically located at low elevations and in smooth terrain, forest areas are commonly located in medium and high-altitude areas within a specific slope range, and grasslands are distributed in smooth terrain and high-altitude areas. Therefore, topographic features are crucial for grassland extraction in mountainous and plateau areas. Elevation, slope, and aspect are closely related to the plant type. These features were obtained from the SRTM data. The resample function is an algorithm that returns an image identical to its argument, which uses bilinear or bicubic interpolation to compute pixels in projections or other levels of the same image pyramid. All of the data were resampled using the resample function to 10 m spatial resolution, the same as the Sentinel-2 data.
(3)
Textural features
The inclusion of texture features generally improves the classification accuracy of various ground objects. The gray-level co-occurrence matrix (GLCM) was proposed by Haralick et al. (1973) [23]. It reflects the spatial relationship of the grayscale values between all pairs of pixels in the neighborhood. The probability density function P(i,j,d,θ) is used to represent the probability occurrence of a pair of pixels (x,y) separated by d in the direction of θ, whose gray values are i and j, respectively. It is calculated as
P ( i , j , d , θ )   =   [ ( x , y ) , ( x   +   d x , y   +   d y ) ] f ( x , y )   =   i , f ( x   +   d x , y   +   d y )   =   j
We selected 15 commonly used texture features based on the GLCM, including four additional texture features proposed by Conners et al. (1980) [44]: Inertia (Inertia), Sum Entropy (Sent), Difference Entropy (Dent), Inverse Difference Moment (Idm), Dissimilarity (Diss), Contrast (Con), Angular Second Moment (Asm), Information Measure of Corr. 2 (Imcorr2), Difference Variance (Dvar), Cluster Prominence (Prom), Sum Average (Savg), Shade (Cluster Shade), Sum Variance (Svar), Correlation (Corr), Sum Entropy (Ent), and Information Measure of Corr. 1 (Imcorr1).

2.3.3. Feature Selection

The purpose of feature selection is to eliminate features of low importance, improve the calculation speed and prediction accuracy, and avoid overfitting. This study used RFE to optimize the selected indicators [45]. The RFE algorithm is an embedded feature selection algorithm implemented in Python software. It uses all features initially and discards the least important features based on the importance ranking of the indicators in the machine learning model. This process is repeated until the optimal indicator is obtained. The principle of importance evaluation of optimal indicators using RF pairs is to convert the values of the characteristic parameters into random numbers, calculate their impact on the accuracy of the model, and measure the importance of the parameter according to the average value of reduced accuracy obtained from multiple calculations, the higher the value, the higher the importance of the variable [46].

2.3.4. Classification Algorithm

RF, Cart, SVM, and MDC classification methods were employed. RF is a robust and accurate ensemble learning algorithm for image classification [47]. It is a non-parametric ensemble classifier based on multiple decision trees. Different training subsets are used to generate multiple trees, and the tree with the highest number of votes is selected as the final classification result [48]. Unlike standard decision tree classifiers, the RF algorithm is an ensemble method that provides greater stability and higher classification accuracy. Two key parameters substantially affect the accuracy of an RF classification model: (1) the number of decision trees (n-tree). The decision trees are created by randomly selecting training samples; the errors were stable when 300 decision trees were created using randomly selected samples [49,50]. (2) The number of predictive variables (mtry) affects the division of the nodes in the decision tree; the value of mtry should be the square root of the number of input features. The core idea of Cart is to find an optimal feature in the original data set by using a number of judgement conditions to progressively dichotomize the data set until the conditions for automatic classification of image objects are met [51]. The SVM is a commonly used supervised non-parametric statistical machine learning method. It can utilize a small training dataset to generate good classification results [52]. The MDC uses sample data from the known categories to calculate the distance from each image element to the center of each category using the mean vector of each category as the center of the category and assigns the image element to the category with the shortest distance from the center.
We used 1770 sample points for classification; 70% of the data were used for calibration and 30% for verification using stratified sampling. The standard confusion matrix was employed to evaluate the classification accuracy of four methods. Three iterations of the calculations are performed to reduce the error due to randomness.

2.3.5. Result Correction and Prediction Assessment

Since the research area is located in the Yunnan–Guizhou Plateau, which has complex terrain and significant elevation difference, the NDVI trend of cropland and grassland from February to March was similar. We cut the cropland vector data in Yunnan to obtain the grassland distribution data. The user’s accuracy (UA), producer’s accuracy (PA), OA, and kappa coefficients obtained from the confusion matrix were used to evaluate the classifiers’ performances.

3. Results

3.1. Selection of Optimal Phenological Period

Yunnan has a rainy season from June to October and a dry season from November to May. The NDVI increased from April to May as the grassland began to green up and increased further from May to June, and decreased continuously from September to October when the grassland was ripe. The NDVI continued to decrease and reached the minimum value in March (Figure 3). Therefore, May to October was considered the grassland growing season in Yunnan, and February to March was the senescent grassland season. The images acquired in the growing and senescent seasons showed significant differences in the grassland but not in the forest land (Figure 4). The grassland had high vegetation cover in the growing season and low vegetation cover in the senescent region. A comparison of the NDVI time series of different land-use categories showed that February to March was the optimum time for extracting grassland [14]. Images acquired in April were used as auxiliary data in the final classification; 1393 images were selected.

3.2. Feature Comparison

A comparison of the B2 (Blue) to B8A (Narrow NIR) bands in the growing season and senescent season indicated that the reflectance of grassland was higher in the former than in the latter (Figure 5). The other ground objects did not show these phenological characteristics. The reflectance difference of grassland between the two seasons was the highest in the B4 (Red) band (0.075). Therefore, the reflectance difference (Redc) of the bands Red, B6 (Red Edage2), B11 (SWIR1), and B2 (Blue) was used as the spectral characteristic to distinguish grassland from other ground objects.
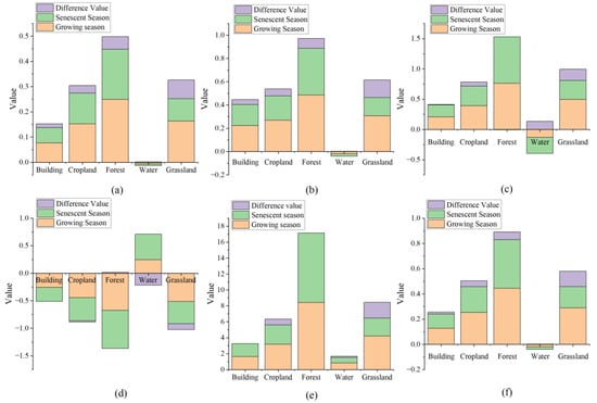
We calculated the average vegetation index of six samples of the land-cover classes obtained from the Sentinel-2 images (Figure 6). The difference in the vegetation indices between the growing season and the senescent season (DVIc, EVIc, NDVIc, RVIc, and MSAVIc) (Figure 6a–c,e,f) was higher for grassland than in the other classes. Thus, these features were used to extract grassland. The NDWI of the water class in the senescent period (NDWI_kw) was higher than 0, and that of the other categories was less than 0; thus, this index in senescent was used for water identification (Figure 6d).

3.3. Feature Selection

Twenty-nine features were used for RFE; the results are shown in Figure 7. The classification accuracy increased rapidly in the early stage with an increase in the number of features, followed by a small fluctuation in classification accuracy. As the number of features with low relevance increased, information redundancy occurred, resulting in a decrease in accuracy. The classification accuracy reached its maximum value at 21 features during the optimal phenological period. Thus, this feature combination was used for classification (Table 2).
Four spectral bands, six vegetation indices, fifteen texture features, and four topographic features were used in the RF model. The relative importance scores of the variables were calculated, describing the variable’s contribution to the classification (Figure 8). Due to the randomness of the feature importance scores obtained from the RF algorithm, different feature importance scores were obtained from each calculation. Three iterations of the importance score calculations are performed to reduce the error due to randomness. The variable with the highest relative importance for grassland extraction is SWIR1. This result is consistent with the results of Abdi et al. (2022) [16]. The topographic feature with the highest relative importance is elevation [30], and the variable with the lowest importance is Imcorr2 (133.6) (Figure 8).

3.4. Results and Accuracy Assessment

3.4.1. Comparison of the Classification Results

The RF, Cart, SVM, and MDC all showed high classification accuracy. The RF had the highest OA of 91.2% and a kappa coefficient of 0.887 (Table 3). The OA of RF was 1.8%, 2.1%, and 4.6% higher than that of the Cart, SVM, and MDC, respectively. The kappa coefficients were 3.2%, 3.5%, and 7% higher than that of the Cart, SVM, and MDC, respectively. The errors of the four classifiers were mainly attributed to the characteristics of the grassland-forest mosaic in the study area, resulting in high intra-class variability, increasing the classification difficulty [53]. The PA and UA of the forest were similar for the RF classifier, indicating that the classification results had strong consistency. However, the PA of cropland was lower than the UA. Likewise, the PA was higher than the UA for buildings, indicating omission errors. RF had the highest accuracy for distinguishing between grassland and other categories. The PA was 96.7% for grassland and 89.4% for UA. The misclassification rate of grassland was 4%. Grassland areas were classified as forest and cropland for two reasons. First, grasslands have a high degree of fragmentation and are surrounded by cropland, buildings, and forests. There were also mixed pixels due to the 10 m resolution images. Second, we used images from February and March when some croplands were fallow and were spectrally similar to grassland. In a future study, this problem can be prevented by eliminating information with low importance and incorporating grassland phenological information. Different classification methods had different classification accuracies for the individual classes. The Cart and SVM misclassified forest areas, and the “salt and pepper” effect was observed in the MDC. The results indicated that the RF provided the best performance for grassland extraction in Yunnan, and the results are consistent with the actual conditions.

3.4.2. Analysis of Grassland Extraction Results

The optimal feature combination was input into the RF classifier in the GEE platform to classify the five land types in the study area. The OA of the RF classification is 91.2%, with a kappa coefficient of 0.887 (Table 4).
The average classification accuracy of the five feature types (spectral bands, spectral indices, textural features, topographic features, and spectral indices + textural features was not high. However, the average classification accuracies of the spectral indices + textural features and the spectral indices + textural features + spectral bands were high, with an average OA of 87% and 91.2% (Table 4), respectively. The topographic features and spectral bands have high importance scores and play an important role in the improvement of classification accuracy, whereas the classification accuracy was relatively low using only textural features or vegetation indices. The average classification accuracy for using only spectral indices was 74.3%, and that using spectral indices + textural features was 78.5%. The accuracy increased significantly by 8.5% by adding spectral bands, and the average classification accuracy was 91.2% when topographic factors were added. Using spectral Indices + textural Features, the final classification accuracy was 86.5%, and with spectral bands and topographic, the producer’s accuracy of grassland was 96.7%, indicating that topographic features and spectral indices also played an important role in grassland identification. In Figure 9, the optimal combination of features shows that all ground objects achieved better recognition, and the misclassification rate of grassland in this study is 3.3%. The source of misclassification mainly comes from cropland and forest, mainly because there are situations such as cropland resting or different crop growing seasons, which lead to some cropland showing weaker spectral features similar to grassland, so we cut the vector range of the cropland. According to the vegetation phenological period, choosing the senescent season can better distinguish grassland and forest, and the misclassification rate of the forest is lower.
The final result showed that most of the grassland occurred in the north (including Diqing city) and northwest near rivers and in valleys, and large contiguous areas of grassland were observed. The average elevation of the area is above 3200 m, and sufficient sunshine year-round provides suitable conditions for the growth of grasslands. The central region (Dali city) had more scattered grasslands, and only areas near the Yuanjiang river and other major rivers had patches of grassland. Grasslands were sparse in the southern region (Xishuangbanna prefecture) at elevations below 2000 m. Moreover, few trees were located in some grasslands, and herb communities were found in grasslands due to the cold geographical environment in northwest Yunnan and the foehn effect in dry and hot river valleys.
The final extraction results showed that grasslands in Yunnan covered 71,723.9 km2, accounting for 18.99% of the total land area of the province (Figure 10). Grassland patches larger than 0.5 km2 accounted for 68.747% of the total grassland area. The overall accuracy exceeded 90% in 2020 and 2021, indicating that this method is suitable for long-term monitoring of grasslands and comparing the area of grassland extraction. Grasslands may be degraded due to climate warming or anthropogenic factors (Table 5).
The two land classification products, GlobeLand30 (a) and the map (b) generated in this study, reflect the spatial distribution of the ground objects shown in the Bing images (Figure 11). Grassland, forest, and cropland occurred near the water area, and the classification results were similar to the ground conditions (c). The proposed method resulted in a visual inspection of the results and an interpretation of spatial distribution (comparison of d to f), considering the differences in resolution, classification system, and methods between GlobeLand30 and the proposed method (e). It was confirmed that the Sentinel-2 images could be used to classify grassland in detail.

4. Discussion

4.1. Grassland Classification Using Google Earth Engine (GEE)

Due to technological advances in high-performance cloud computing, the efficiency and accuracy of remote sensing data analysis have been greatly improved. The computational power provided by GEE cloud computing can support the computation of Sentinel-2 images and grassland mapping in Yunnan Province. An increasing number of studies have used deep learning for classification on a cloud platform [54]. Based on the fusion of Landsat 8 OLI and Sentinel-2A/B data in cloudy and rainy weather, Yuan et al. (2022) [29] constructed a multispectral time series dataset, which was used as one of the input elements together with the Sentinel-1 and the terrain multifactor data to achieve a classification accuracy of grassland in Zhaotong that reached 88.21%. We improved the selection of feature factors and improved the classification accuracy. In addition, the code and methods of GEE are easy to share, reducing repetition.

4.2. Selection of Optimal Phenological Period

Due to advancements in remote sensing technology and the improved ability to obtain remote sensing data, future remote sensing data will likely have higher temporal, spatial, and spectral resolutions. The existence of the same features in different spectra or different features in the same spectrum affects the accuracy of mountain grassland extraction. When the vegetation is actively growing [53], the NDVI time-series data were used for grassland extraction, and the appropriate phenological period was chosen to improve the classification accuracy. According to the phenological characteristics of the vegetation, the period was divided into a growing season and a senescent season, with significant spectral differences between the two seasons. Determining the appropriate period based on grassland phenology has proven useful for distinguishing different grassland plant communities [55]. Zhao et al. (2022) [30] found that different types of grassland could be distinguished during the dry and senescent seasons. In this study, the senescent season was selected as the optimum phenological period for grassland extraction because the grassland could be distinguished from forest unlike in the rainy season.

4.3. Feature Optimization

The features used for grassland extraction are relatively homogeneous when high-resolution remote sensing images are used [27], and the classification accuracy is often limited by the features. Therefore, remote sensing extraction of mountain grasslands will be conducted using more features. However, multiple features are typically correlated, resulting in information redundancy and low classification accuracy and speed. Therefore, selecting the optimal feature set for classification is required to obtain high classification accuracy. We optimized the selected features using RFE. The number of features was reduced from 29 to 21, and the optimized features were used in the RF feature selection algorithm to obtain the importance scores. The spectral bands and topographic features were important in the classification. Adding appropriate spectral bands and topographic features can improve the overall classification accuracy [9]. Using only spectral bands, spectral indices, texture features, or topographic features did not provide the expected classification. The OA was 91.2% for 21 features. The proposed feature space optimization method for grassland extraction is a high-precision mapping technique suitable for the Yunnan–Guizhou plateau [29].
The order of importance of the spectral feature in the optimal combination was SWIR1 > Blue > Red Edage2 > Redc. This result is consistent with previous studies, which found that SWIR1 was the most important variable, whereas the red band had the least importance for grassland extraction [16,30,53]. The reason is that the shortwave infrared band is highly sensitive to the water content of plant leaves, and grasslands can be distinguished from other ground objects by the large difference in the surface water content [46]. Grassland extraction is difficult in mountainous areas; therefore, we used the difference between DVI, EVI, NDVI, RVI, and MSAVI in the growing and senescent seasons for grassland extraction based on previous studies that used multiple vegetation indices [21]. We found that the difference in the RVI between the growing and senescent seasons was important for grassland extraction because vegetation exhibits large spectral differences in the red and NIR bands. Thus, vegetation indices combined with phenological characteristics are beneficial for grassland extraction [55]. In addition, textural features and topographic features had high importance. Elevation was the most important feature among the topographic variables because the study area is located in a mountainous area, the grassland distribution is closely related to elevation [30], and the spatial distribution of cropland and forestland is more constrained by topography. In addition, texture features are also essential variables in the classification. Cropland has a unique texture; thus, using texture information can reduce the misclassification between grasslands and cropland.
Different methods are suitable for different datasets and conditions. The grassland fragmentation in this area is high, and the topography is hilly. The machine learning-based classification method achieved high accuracy [56]. The misclassifications in the four algorithms were attributed to errors or omissions between grassland, forest, and cropland. The area is characterized by a mosaic of forest and grassland with similar spectral characteristics of grassland and cropland, especially during the growing season, which makes them difficult to distinguish [57]. In this study, the performance of RF was better than that of Cart, SVM, and MDC, in agreement with many studies. RF is highly effective for grassland classification in heterogeneous and temporally dynamic ecosystems [56]. This method was used in 2020 and 2021 with high accuracy. The classification method in this paper was also compared with the method of Filippa et al. (2022) [25] and found that the OAs for the classification and identification of mountain grassland were better than those obtained with the method of Filippa et al. [25]. The reliable annual mapping results obtained from this study are of great significance for long-term annual grassland mapping.
In subsequent research, we will investigate the suitability of using additional red-edge bands in the Sentinel-2 data to minimize the mixed pixels and integrate higher resolution data such as GF2.

5. Conclusions

We used the open-source platform GEE to access abundant remote sensing images and data resources. Sentinel-2 multispectral images were used with multiple features to map grasslands in Yunnan province. The analysis of the NDVI time-series data revealed that the optimum phenological period for grassland extraction was the senescent period from February to March. The RF method outperformed the other machine learning algorithms for grassland extraction. The optimal feature combination obtained from RFE improved the classification accuracy, with an OA of 91.2% in 2019 and over 90% in the other years. The SWIR1, blue bands, and elevation had the highest importance values for grassland extraction. In the mountainous areas of southern China, abundant grasslands in Yunnan are located in the northwestern part of Yunnan at altitudes above 3200 m and along major rivers, such as the Yuanjiang River. The results can inform grassland resource managers and can be used by researchers to address questions regarding grassland losses and land cover change. In addition, the grassland map with 10 m spatial resolution provides adequate primary data for grassland ecological protection and ecological restoration in Yunnan, China. Furthermore, the proposed method can be used for annual monitoring and change analysis of other grassland ecosystems.

Author Contributions

X.C. and J.Z. conceived and designed the experiments; X.C. wrote the article and analyzed the data and produced the figures; W.L., Z.W., S.Z. and S.L. provided support and experimental guidance for this study. All authors have read and agreed to the published version of the manuscript.

Funding

This research was funded by the Fundamental Research Funds of the Chinese Academy of Forestry (CAFYBB2020ZA004-1, CAFYBB2022SY039).

Conflicts of Interest

The authors declare that they have no known competing financial interests or personal relationships that could have appeared to influence the work reported in this paper.

References

  1. Yang, Y.; Li, M.; Ma, J.; Cheng, J.; Liu, Y.; Jia, H.; Li, N.; Wu, H.; Sun, Z.; Fan, Y.; et al. Changes in the relationship between species richness and belowground biomass among grassland types and along environmental gradients in Xinjiang, Northwest China. J. Arid Land 2019, 11, 855–865. [Google Scholar] [CrossRef]
  2. Xu, Y.; Dong, S.; Shen, H.; Xiao, J.; Li, S.; Gao, X.; Wu, S. Degradation significantly decreased the ecosystem multifunctionality of three alpine grasslands: Evidences from a large-scale survey on the Qinghai-Tibetan Plateau. J. Mt. Sci.-Engl. 2021, 18, 357–366. [Google Scholar] [CrossRef]
  3. Zhao, Y.; Liu, Z.; Wu, J. Grassland ecosystem services: A systematic review of research advances and future directions. Landsc. Ecol. 2020, 35, 793–814. [Google Scholar] [CrossRef]
  4. Wang, Q.; Liu, S.; Chanussot, J.; Li, X. Scene Classification With Recurrent Attention of VHR Remote Sensing Images. IEEE T Geosci. Remote 2019, 57, 1155–1167. [Google Scholar] [CrossRef]
  5. Chen, B.; Zhang, X.; Tao, J.; Wu, J.; Wang, J.; Shi, P.; Zhang, Y.; Yu, C. The impact of climate change and anthropogenic activities on alpine grassland over the Qinghai-Tibet Plateau. Agr. Forest Meteorol. 2014, 189–190, 11–18. [Google Scholar] [CrossRef]
  6. Schönbach, P.; Wan, H.; Gierus, M.; Bai, Y.; Müller, K.; Lin, L.; Susenbeth, A.; Taube, F. Grassland responses to grazing: Effects of grazing intensity and management system in an Inner Mongolian steppe ecosystem. Plant Soil 2011, 340, 103–115. [Google Scholar] [CrossRef]
  7. Kuang, Q.; Yuan, Q.; Han, J.; Leng, R.; Wang, Y.; Zhu, K.; Lin, S.; Ren, P. A remote sensing monitoring method for alpine grasslands desertification in the eastern Qinghai-Tibetan Plateau. J. Mt. Sci.-Engl. 2020, 17, 1423–1437. [Google Scholar] [CrossRef]
  8. Xiong, B.Q.; Zhao, L.Y.; Zhang, J.; Li, Y.Q.; Chen, H.B.; Li, F.R. Relationship between the Soil and Standing Vegetation Changes during Grassland Desertification Process. Ecol. Environ. Sci. 2017, 26, 400–407. [Google Scholar]
  9. Guo, Z.; Liu, H.; Zheng, Z.; Chen, X.; Liang, Y. Accurate Extraction of Mountain Grassland From Remote Sensing Image Using a Capsule Network. IEEE Geosci. Remote Sens. 2021, 18, 964–968. [Google Scholar] [CrossRef]
  10. Ali, I.; Cawkwell, F.; Dwyer, E.; Barrett, B.; Green, S. Satellite remote sensing of grasslands: From observation to management. J. Plant Ecol. 2016, 9, 649–671. [Google Scholar] [CrossRef]
  11. Ghorbanian, A.; Zaghian, S.; Asiyabi, R.M.; Amani, M.; Mohammadzadeh, A.; Jamali, S. Mangrove Ecosystem Mapping Using Sentinel-1 and Sentinel-2 Satellite Images and Random Forest Algorithm in Google Earth Engine. Remote Sens. 2021, 13, 2565. [Google Scholar] [CrossRef]
  12. Wu, N.; Shi, R.; Zhuo, W.; Zhang, C.; Zhou, B.; Xia, Z.; Tao, Z.; Gao, W.; Tian, B. A Classification of Tidal Flat Wetland Vegetation Combining Phenological Features with Google Earth Engine. Remote Sens. 2021, 13, 443. [Google Scholar] [CrossRef]
  13. Vrieling, A.; Meroni, M.; Darvishzadeh, R.; Skidmore, A.K.; Wang, T.; Zurita-Milla, R.; Oosterbeek, K.; O’Connor, B.; Paganini, M. Vegetation phenology from Sentinel-2 and field cameras for a Dutch barrier island. Remote Sens. Environ. 2018, 215, 517–529. [Google Scholar] [CrossRef]
  14. Royimani, L.; Mutanga, O.; Odindi, J.; Sibanda, M.; Chamane, S. Determining the onset of autumn grass senescence in subtropical sour-veld grasslands using remote sensing proxies and the breakpoint approach. Ecol. Inform. 2022, 69, 101651. [Google Scholar] [CrossRef]
  15. MohanRajan, S.N.; Loganathan, A.; Manoharan, P. Survey on Land Use/Land Cover (LU/LC) change analysis in remote sensing and GIS environment: Techniques and Challenges. Environ. Sci. Pollut. R 2020, 27, 29900–29926. [Google Scholar] [CrossRef]
  16. Abdi, A.M. Land cover and land use classification performance of machine learning algorithms in a boreal landscape using Sentinel-2 data. GIScience Remote Sens. 2020, 57, 1–20. [Google Scholar] [CrossRef]
  17. Yang, Y.; Yang, D.; Wang, X.; Zhang, Z.; Nawaz, Z. Testing Accuracy of Land Cover Classification Algorithms in the Qilian Mountains Based on GEE Cloud Platform. Remote Sens. 2021, 13, 5064. [Google Scholar] [CrossRef]
  18. Huang, H.; Lan, Y.; Yang, A.; Zhang, Y.; Wen, S.; Deng, J. Deep learning versus Object-based Image Analysis (OBIA) in weed mapping of UAV imagery. Int. J. Remote Sens. 2020, 41, 3446–3479. [Google Scholar] [CrossRef]
  19. Badreldin, N.; Prieto, B.; Fisher, R. Mapping Grasslands in Mixed Grassland Ecoregion of Saskatchewan Using Big Remote Sensing Data and Machine Learning. Remote Sens. 2021, 13, 4972. [Google Scholar] [CrossRef]
  20. Pandey, A.; Singh, G.; Palni, S.; Chandra, N.; Rawat, J.S.; Singh, A.P. Application of remote sensing in alpine grasslands cover mapping of western Himalaya, Uttarakhand, India. Environ. Monit. Assess. 2021, 193, 166. [Google Scholar] [CrossRef]
  21. Meng, B.; Yang, Z.; Yu, H.; Qin, Y.; Sun, Y.; Zhang, J.; Chen, J.; Wang, Z.; Zhang, W.; Li, M.; et al. Mapping of Kobresia pygmaea Community Based on Umanned Aerial Vehicle Technology and Gaofen Remote Sensing Data in Alpine Meadow Grassland: A Case Study in Eastern of Qinghai–Tibetan Plateau. Remote Sens. 2021, 13, 2483. [Google Scholar] [CrossRef]
  22. Yang, H.Y.; Du, J.M.; Ruan, P.Y.; Zhu, X.M.; Liu, H.; Wang, Y. Vegetation Classification of Desert Steppe Based on Unmanned Aerial Vehicle Remote Sensing and Random Forest. Trans. Chin. Soc. Agric. Mach. 2021, 52, 186–194. [Google Scholar] [CrossRef]
  23. Haralick, R.M.; Shanmugam, K.; Dinstein, I. Textural Features for Image Classification. IEEE Trans. Syst. Man Cybern. 1973, SMC-3, 610–621. [Google Scholar] [CrossRef]
  24. Demarchi, L.; Kania, A.; Ciężkowski, W.; Piórkowski, H.; Oświecimska-Piasko, Z.; Chormański, J. Recursive Feature Elimination and Random Forest Classification of Natura 2000 Grasslands in Lowland River Valleys of Poland Based on Airborne Hyperspectral and LiDAR Data Fusion. Remote Sens. 2020, 12, 1842. [Google Scholar] [CrossRef]
  25. Filippa, G.; Cremonese, E.; Galvagno, M.; Bayle, A.; Choler, P.; Bassignana, M.; Piccot, A.; Poggio, L.; Oddi, L.; Gascoin, S.; et al. On the distribution and productivity of mountain grasslands in the Gran Paradiso National Park, NW Italy: A remote sensing approach. Int. J. Appl. Earth Obs. 2022, 108, 102718. [Google Scholar] [CrossRef]
  26. Ahlstrom, A.; Raupach, M.R.; Schurgers, G.; Smith, B.; Arneth, A.; Jung, M.; Reichstein, M.; Canadell, J.G.; Friedlingstein, P.; Jain, A.K.; et al. Carbon cycle. The dominant role of semi-arid ecosystems in the trend and variability of the land CO2 sink. Science 2015, 348, 895–899. [Google Scholar] [CrossRef]
  27. Liu, B.; You, G.; Li, R.; Shen, W.; Yue, Y.; Lin, N. Spectral characteristics of alpine grassland and their changes responding to grassland degradation on the Tibetan Plateau. Environ. Earth Sci. 2015, 74, 2115–2123. [Google Scholar] [CrossRef]
  28. Li, J.; Wen, G.; Li, D. Application of Multi-Source Remote Sensing Image in Yunnan Province Grassland Resources Investigation. Int. Arch. Photogramm. Remote Sens. Spat. Inf. Sci. 2018, XLII-3, 837–841. [Google Scholar] [CrossRef]
  29. Yuan, Y.; Wen, Q.; Zhao, X.; Liu, S.; Zhu, K.; Hu, B. Identifying Grassland Distribution in a Mountainous Region in Southwest China Using Multi-Source Remote Sensing Images. Remote Sens. 2022, 14, 1472. [Google Scholar] [CrossRef]
  30. Zhao, Y.; Zhu, W.; Wei, P.; Fang, P.; Zhang, X.; Yan, N.; Liu, W.; Zhao, H.; Wu, Q. Classification of Zambian grasslands using random forest feature importance selection during the optimal phenological period. Ecol. Indic. 2022, 135, 108529. [Google Scholar] [CrossRef]
  31. Muhati, G.L.; Olago, D.; Olaka, L. Land use and land cover changes in a sub-humid Montane forest in an arid setting: A case study of the Marsabit forest reserve in northern Kenya. Glob. Ecol. Conserv. 2018, 16, e512. [Google Scholar] [CrossRef]
  32. Gorelick, N.; Hancher, M.; Dixon, M.; Ilyushchenko, S.; Thau, D.; Moore, R. Google Earth Engine: Planetary-scale geospatial analysis for everyone. Remote Sens. Environ. 2017, 202, 18–27. [Google Scholar] [CrossRef]
  33. Rotich, B.; Ojwang, D. Trends and drivers of forest cover change in the Cherangany hills forest ecosystem, western Kenya. Glob. Ecol. Conserv. 2021, 30, e1755. [Google Scholar] [CrossRef]
  34. Tao, Y.; Fan, F.; Duan, X.; He, H.; He, Q. Trends of Extreme Temperature under Different Climate Backgrounds in Yunnan Province. Meteorol. Sci. Technol. 2013, 35, 652–660. [Google Scholar] [CrossRef]
  35. Shen, H.H.; Zhu, Y.K.; Zhao, X.; Geng, X.Q.; Gao, S.Q. Analysis of current grassland resources in China. Chin. Sci. Bull. 2016, 61, 139–154. [Google Scholar] [CrossRef]
  36. Chang, W.T.; Wang, H.; Ning, X.G.; Zhang, H.C. Extraction of Zhalong Wetlands Information based on Images of Sentinel-2 Red-edge Bands and Sentinel-1 Radar Bands. Wetl. Sci. 2020, 18, 10–19. [Google Scholar] [CrossRef]
  37. Wang, N.; Quesada, B.; Xia, L.; Butterbach Bahl, K.; Goodale, C.L.; Kiese, R. Effects of climate warming on carbon fluxes in grasslands—A global meta-analysis. Glob. Chang. Biol. 2019, 25, 1839–1851. [Google Scholar] [CrossRef]
  38. Rouse, J.W. Monitoring Vegetation Systems in the Great Plains with Erts. In Proceedings of the Third ERTS Symposium, Washington, DC, USA, 10–14 December 1973. [Google Scholar]
  39. Huete, A.; Didan, K.; Miura, T.; Rodriguez, E.P.; Gao, X.; Ferreira, L.G. Overview of the radiometric and biophysical performance of the MODIS vegetation indices. Remote Sens. Environ. 2002, 83, 195–213. [Google Scholar] [CrossRef]
  40. Tucker, C.J. Red and photographic infrared linear combinations for monitoring vegetation. Remote Sens. Environ. 1979, 8, 127–150. [Google Scholar] [CrossRef]
  41. Jordan, C.F. Derivation of leaf area index from light quality of the forest floor. ECOLOGY 1969, 50, 663–666. [Google Scholar] [CrossRef]
  42. Qi, J.G.; Chehbouni, A.R.; Huete, A.R.; Kerr, Y.H.; Sorooshian, S. A Modified Soil Adjusted Vegetation Index. Remote Sens. Environ. 1994, 48, 119–126. [Google Scholar] [CrossRef]
  43. Mcfeeters, S.K. The use of the Normalized Difference Water Index (NDWI) in the delineation of open water features. Int. J. Remote Sens. 1996, 17, 1425–1432. [Google Scholar] [CrossRef]
  44. Conners, R.W.; Harlow, C.A. A Theoretical Comparison of Texture Algorithms. IEEE T. Pattern Anal. 1980, PAMI-2, 204–222. [Google Scholar] [CrossRef]
  45. Ma, L.; Fu, T.; Blaschke, T.; Li, M.; Tiede, D.; Zhou, Z.; Ma, X.; Chen, D. Evaluation of Feature Selection Methods for Object-Based Land Cover Mapping of Unmanned Aerial Vehicle Imagery Using Random Forest and Support Vector Machine Classifiers. ISPRS Int. J. Geo-Inf. 2017, 6, 51. [Google Scholar] [CrossRef]
  46. Meingast, K.M.; Falkowski, M.J.; Kane, E.S.; Potvin, L.R.; Benscoter, B.W.; Smith, A.M.S.; Bourgeau-Chavez, L.L.; Miller, M.E. Spectral detection of near-surface moisture content and water-table position in northern peatland ecosystems. Remote Sens. Environ. 2014, 152, 536–546. [Google Scholar] [CrossRef]
  47. Gibson, R.; Danaher, T.; Hehir, W.; Collins, L. A remote sensing approach to mapping fire severity in south-eastern Australia using sentinel 2 and random forest. Remote Sens. Environ. 2020, 240, 111702. [Google Scholar] [CrossRef]
  48. Bauer, E.; Kohavi, R. An Empirical Comparison of Voting Classification Algorithms: Bagging, Boosting, and Variants. Mach. Learn. 1999, 36, 105–139. [Google Scholar] [CrossRef]
  49. Vuolo, F.; Neuwirth, M.; Immitzer, M.; Atzberger, C.; Ng, W. How much does multi-temporal Sentinel-2 data improve crop type classification? Int. J. Appl. Earth Obs. 2018, 72, 122–130. [Google Scholar] [CrossRef]
  50. Belgiu, M.; Csillik, O. Sentinel-2 cropland mapping using pixel-based and object-based time-weighted dynamic time warping analysis. Remote Sens. Environ. 2018, 204, 509–523. [Google Scholar] [CrossRef]
  51. Shao, Y.; Lunetta, R.S. Comparison of support vector machine, neural network, and CART algorithms for the land-cover classification using limited training data points. ISPRS J. Photogramm. 2012, 70, 78–87. [Google Scholar] [CrossRef]
  52. Persson, M.; Lindberg, E.; Reese, H. Tree Species Classification with Multi-Temporal Sentinel-2 Data. Remote Sens. 2018, 10, 1794. [Google Scholar] [CrossRef]
  53. Ge, G.; Shi, Z.; Zhu, Y.; Yang, X.; Hao, Y. Land use/cover classification in an arid desert-oasis mosaic landscape of China using remote sensed imagery: Performance assessment of four machine learning algorithms. Glob. Ecol. Conserv. 2020, 22, e971. [Google Scholar] [CrossRef]
  54. de Sousa, C.; Fatoyinbo, L.; Neigh, C.; Boucka, F.; Angoue, V.; Larsen, T.; Koukoulas, S. Cloud-computing and machine learning in support of country-level land cover and ecosystem extent mapping in Liberia and Gabon. PLoS ONE 2020, 15, e227438. [Google Scholar] [CrossRef] [PubMed]
  55. Rapinel, S.; Mony, C.; Lecoq, L.; Clément, B.; Thomas, A.; Hubert-Moy, L. Evaluation of Sentinel-2 time-series for mapping floodplain grassland plant communities. Remote Sens. Environ. 2019, 223, 115–129. [Google Scholar] [CrossRef]
  56. Xu, D.; Chen, B.; Shen, B.; Wang, X.; Yan, Y.; Xu, L.; Xin, X. The Classification of Grassland Types Based on Object-Based Image Analysis with Multisource Data. Rangel. Ecol. Manag. 2019, 72, 318–326. [Google Scholar] [CrossRef]
  57. Buck, O.; Millán, V.E.G.; Klink, A.; Pakzad, K. Using information layers for mapping grassland habitat distribution at local to regional scales. Int. J. Appl. Earth Obs. 2015, 37, 83–89. [Google Scholar] [CrossRef]
Figure 1. Map of the study area in China and the training points.
Figure 1. Map of the study area in China and the training points.
Agronomy 12 01948 g001
Figure 2. Workflow of this study.
Figure 2. Workflow of this study.
Agronomy 12 01948 g002
Figure 3. Monthly average NDVI of different ground objects and monthly average rainfall (obtained from http://data.cma.cn/, accessed on 1 March 2020).
Figure 3. Monthly average NDVI of different ground objects and monthly average rainfall (obtained from http://data.cma.cn/, accessed on 1 March 2020).
Agronomy 12 01948 g003
Figure 4. (a,b) shows the comparison of Sentinel-2 images in visible bands during the (a) growing season and (b) senescent season.
Figure 4. (a,b) shows the comparison of Sentinel-2 images in visible bands during the (a) growing season and (b) senescent season.
Agronomy 12 01948 g004
Figure 5. (a,b) shows comparison of the band reflectance of different classes during the (a) growing season and (b) senescent season.
Figure 5. (a,b) shows comparison of the band reflectance of different classes during the (a) growing season and (b) senescent season.
Agronomy 12 01948 g005
Figure 6. (af) shows the values of different vegetation indices ((a) DVI, (b) EVI, (c) NDVI, (d) NDWI, (e) RVI, (f) MSAVI ) in the two seasons and their difference.
Figure 6. (af) shows the values of different vegetation indices ((a) DVI, (b) EVI, (c) NDVI, (d) NDWI, (e) RVI, (f) MSAVI ) in the two seasons and their difference.
Agronomy 12 01948 g006
Figure 7. The relationship between the number of features and the classification accuracy.
Figure 7. The relationship between the number of features and the classification accuracy.
Agronomy 12 01948 g007
Figure 8. The importance scores of the indices derived from the random forest model.
Figure 8. The importance scores of the indices derived from the random forest model.
Agronomy 12 01948 g008
Figure 9. Confusion matrix for land cover classification results.
Figure 9. Confusion matrix for land cover classification results.
Agronomy 12 01948 g009
Figure 10. The grassland distribution in Yunnan province in 2019. (ad) represent Diqing city, Dali city, Yuanjiang River, and Xishuangbanna prefecture.
Figure 10. The grassland distribution in Yunnan province in 2019. (ad) represent Diqing city, Dali city, Yuanjiang River, and Xishuangbanna prefecture.
Agronomy 12 01948 g010
Figure 11. Comparison of grassland extraction results using GlobeLand30 (a,d) and the proposed method (b,e), and Bing images (c,f) in Central Jinsha River, Huaping County.
Figure 11. Comparison of grassland extraction results using GlobeLand30 (a,d) and the proposed method (b,e), and Bing images (c,f) in Central Jinsha River, Huaping County.
Agronomy 12 01948 g011
Table 1. Vegetation indices selected in this study.
Table 1. Vegetation indices selected in this study.
Vegetation IndexCalculation Formula
Normalized Difference Vegetation Index (NDVI) NDVI   =   NIR     Red NIR   +   Red [38]
Enhanced Vegetation Index (EVI) EVI   =   2.5   ×   NIR     Red NIR   +   6   ×   Red     7.5   ×   Blue   +   1 [39]
Difference Vegetation Index (DVI) DVI   =   NIR     Red [40]
Ratio Vegetation Index (RVI) RVI   =   NIR Red [41]
Modified Soil-Adjusted Vegetation Index (MSAVI) MSAVI   =   2   ×   NIR   +   1 ( 2   ×   NIR   +   1 ) 2     8   ×   ( NIR     Red ) 2 [42]
Normalized Difference Water Index (NDWI) NDWI   =   Green     NIR Green   +   NIR [43]
Table 2. The initial features and determined optimal feature combinations by the RFE algorithm.
Table 2. The initial features and determined optimal feature combinations by the RFE algorithm.
Feature CategoryInitial FeaturesQuantityOptimal FearuresQuantity
Spectral bandsRedc, Red Edage2, SWIR1, Blue4Redc, Red Edage2, SWIR1, Blue4
Spectral indicesNDVIc, DVIc, RVIc, MSAVIc, EVIc, NDWI_kw6NDVIc, DVIc, RVIc, MSAVIc, cEVIc, NDWI_kw6
Textural featuresInertia, Sent, Dent, Idm, Diss, Contrast, Asm, Imcorr2, Dvar, Prom, Svag, Shade, Svar, Var, Corr, Ent, Imcorr115Inertia, Sent, Dent, Idm, Diss, Contrast, Asm,
Imcorr2
8
Topographic featuresSlope, Elevation, Hillshade, Aspect4Slope, Elevation, Aspect3
Total 29 21
Table 3. Classification accuracy of different machine learning methods.
Table 3. Classification accuracy of different machine learning methods.
ClassificationRFCartSVMMDC
PAUAPAUAPAUAPAUA
Building0.8860.8690.8180.8370.9090.8690.7730.829
Cropland0.7500.8470.6250.8510.5470.8140.5780.711
Forest0.8200.8800.8000.8800.8370.8530.8640.879
Water0.9610.9860.9730.8450.9610.9730.9510.962
Grassland0.9670.8940.8610.8730.8230.8460.8510.818
OA0.9120.8940.8910.866
Kappa0.8870.8550.8520.817
Table 4. Accuracy of different combinations of spectral features, topographic features, and textural features (number of features are shown in parentheses in the table).
Table 4. Accuracy of different combinations of spectral features, topographic features, and textural features (number of features are shown in parentheses in the table).
Name/Number of FeaturesSpectral Indices (6)Textural Features (8)Spectral Bands (4)Topographic Features (3)Spectral Indices
+ Textural Features (14)
Spectral Indices
+ Textural Features + Spectral Bands (18)
Spectral Indices
+ Textural Features + Spectral Bands + Topographic Features (21)
Grassland_PA0.8000.6920.8080.7920.8650.9560.967
Grassland_UA0.7030.5590.7190.6640.7210.8150.894
OA0.7430.5740.7580.6350.7850.8700.912
KC0.6530.4040.7070.4960.7040.8270.887
Table 5. Comparison of classification results for different years.
Table 5. Comparison of classification results for different years.
Classification201920202021
PAUAPAUAPAUA
Building0.8860.8690.8640.8840.9770.935
Cropland0.7500.8470.8280.8150.8250.761
Forest0.8200.880.8350.8780.8320.857
Grassland0.9670.8940.9640.8840.9440.877
Water0.9610.9860.9470.9860.9080.987
OA0.9120.9100.901
Kappa0.8870.8810.863
Grassland area71,723.962,807.951,002.9
Publisher’s Note: MDPI stays neutral with regard to jurisdictional claims in published maps and institutional affiliations.

Share and Cite

MDPI and ACS Style

Cheng, X.; Liu, W.; Zhou, J.; Wang, Z.; Zhang, S.; Liao, S. Extraction of Mountain Grasslands in Yunnan, China, from Sentinel-2 Data during the Optimal Phenological Period Using Feature Optimization. Agronomy 2022, 12, 1948. https://doi.org/10.3390/agronomy12081948

AMA Style

Cheng X, Liu W, Zhou J, Wang Z, Zhang S, Liao S. Extraction of Mountain Grasslands in Yunnan, China, from Sentinel-2 Data during the Optimal Phenological Period Using Feature Optimization. Agronomy. 2022; 12(8):1948. https://doi.org/10.3390/agronomy12081948

Chicago/Turabian Style

Cheng, Xinmeng, Wendou Liu, Junhong Zhou, Zizhi Wang, Shuqiao Zhang, and Shengxi Liao. 2022. "Extraction of Mountain Grasslands in Yunnan, China, from Sentinel-2 Data during the Optimal Phenological Period Using Feature Optimization" Agronomy 12, no. 8: 1948. https://doi.org/10.3390/agronomy12081948

APA Style

Cheng, X., Liu, W., Zhou, J., Wang, Z., Zhang, S., & Liao, S. (2022). Extraction of Mountain Grasslands in Yunnan, China, from Sentinel-2 Data during the Optimal Phenological Period Using Feature Optimization. Agronomy, 12(8), 1948. https://doi.org/10.3390/agronomy12081948

Note that from the first issue of 2016, this journal uses article numbers instead of page numbers. See further details here.

Article Metrics

Back to TopTop