Analysis of Biophysical Variables in an Onion Crop (Allium cepa L.) with Nitrogen Fertilization by Sentinel-2 Observations
Abstract
:1. Introduction
2. Materials and Methods
2.1. Study Area and Crop Management
2.2. Experimental Design
2.2.1. In Situ Measurements of Biophysical Variables Data
2.2.2. Satellite Biophysical Variables Data
2.2.3. Vegetation Indices Measurement
2.3. Statistical Analysis
3. Results
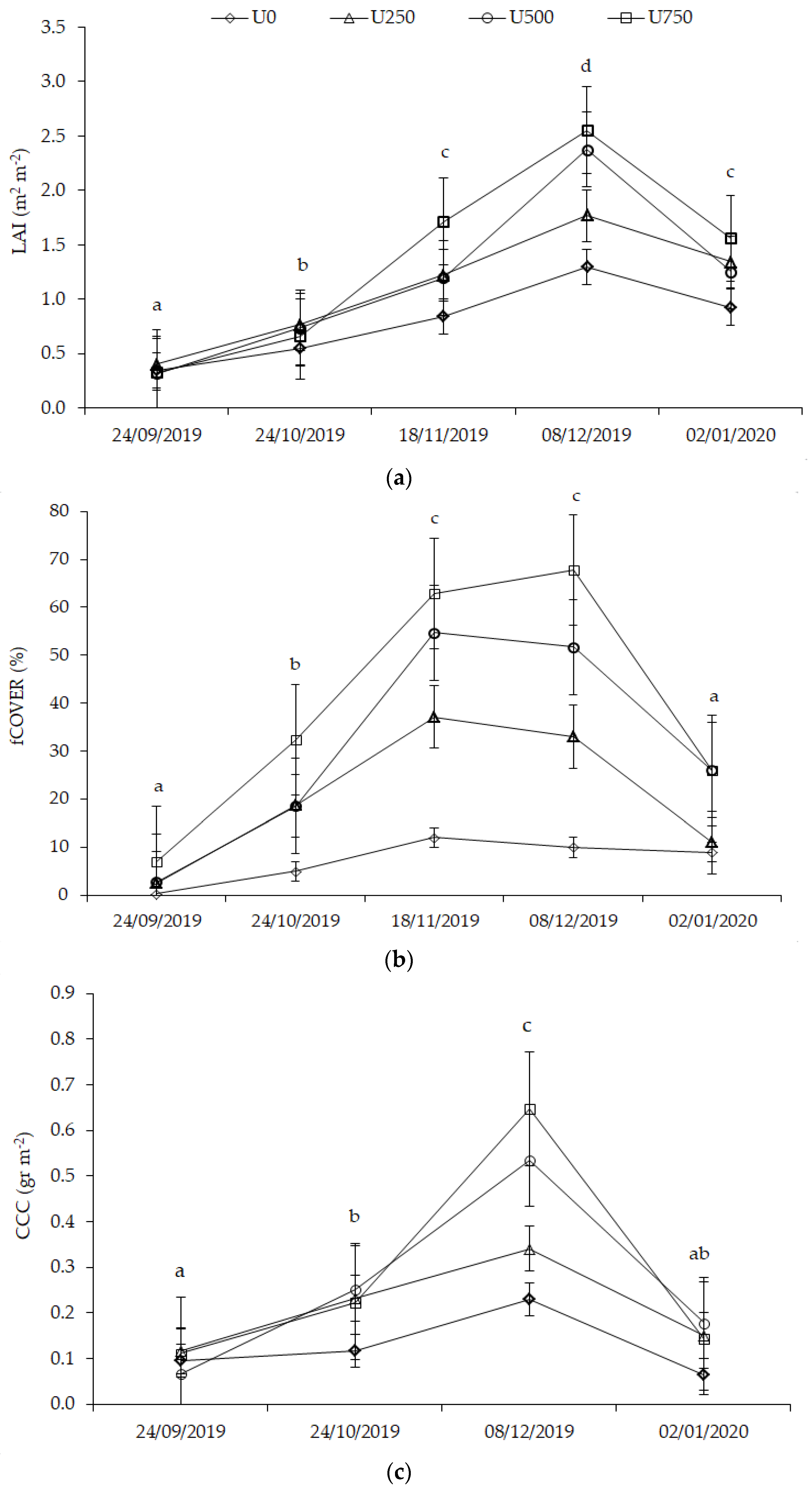
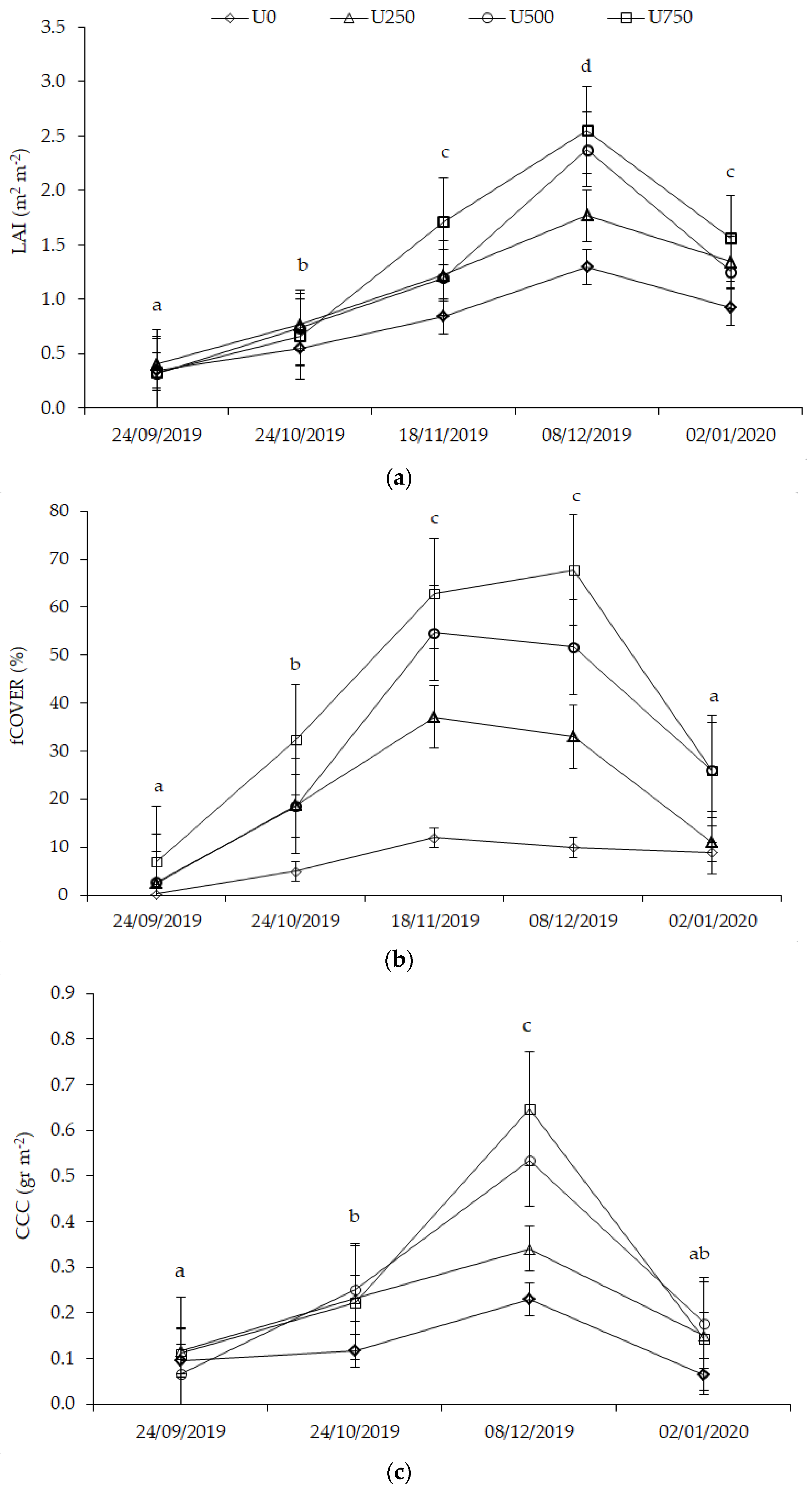
3.1. Multitemporal Analysis of the Biophysical Variables
3.2. Comparison of In Situ Biophysical Variables Measurements and ANNS2 Biophysical Products
3.3. Analysis of Vegetation Indices
3.4. Relationship of the Biophysical Variables and the Yield
4. Discussion
4.1. Multitemporal Analysis of the Biophysical Variables
4.2. Comparison of In Situ Biophysical Variables Measurements and ANNS2
4.3. Analysis of Vegetation Indices
5. Conclusions
Supplementary Materials
Author Contributions
Funding
Data Availability Statement
Acknowledgments
Conflicts of Interest
References
- The Food and Agriculture Organization. The State of the World’s Land and Water Resources for Food and Agriculture: Managing Systems at Risk; Earthscan/FAO: Rome, Italy, 2011; p. 308. ISBN 978-1-84971-326-9. [Google Scholar]
- Leyva Chinchay, L.S. Good Agricultural Practices: Use of Fertilizers in Minimizing the Emission of Greenhouse Gases. Ingetecno 2015, 4, 52–66. [Google Scholar]
- The Food and Agriculture Organization. FAOSTAT Data Portal: Global Food and Agriculture Statistics; FAO: Rome, Italy, 2020. [Google Scholar]
- Roberts, T.L. Right product, right rate, right time and right place...the foundation of best management practices for fertilizer. In Proceedings of the International Fertilizer Industry Association (IFA) International Workshop, Brussels, Belgium, 7–9 March 2007; pp. 29–32. [Google Scholar]
- Casella, A.; Pezzola, A.; Horlent, M.; Winschel, C.; Ibañez, G.; Silva, S.; Loyra, I. Segmentación de Imágenes Spot a Partir de Índices de Vegetación Para la Cuantificación de Cultivo de Cebolla Bajo Riego en el Valle Inferior del Río Colorado. SELPER 2016: XVII Simposio Internacional en Percepción Remota y Sistemas de Información Geográfica, 1st ed.; Libro Digital, EdUnLu: Luján, Buenos Aires, Argentina, 2016; p. 387. [Google Scholar]
- Lucanera, G.M.; Castellano, A.S.; y Barbero, A. Banco de datos socioeconómicos de la zona de CORFO-Río Colorado, Estimación del P.B.I. Agropecu. Reg. 2021. Available online: https://corfo.gob.ar/wp-content/uploads/2015/12/Corfo1011.pdf. (accessed on 18 July 2022).
- Lancaster, J.E.; Triggs, C.M.; De Ruiter, J.M.; Gandar, P.W. Bulbing in Onions: Photoperiod and Temperature Requirements and Prediction of Bulb Size and Maturity. Ann. Bot. 1996, 78, 423–430. [Google Scholar] [CrossRef] [Green Version]
- Cardoso Prieto, C.E. Evaluación de abonos orgánicos en el cultivo biológico de la cebolla (Allium cepa L.) en el sur de la provincia de Buenos Aires, Argentina. Ph.D. Thesis, Universidad Nacional del Sur, Bahía Blanca, Argentina, 2017. [Google Scholar]
- Gaviola, S. Influencia de la Fertilización y el Riego Sobre Aspectos Cuali-Cuantitativos de la Reproducción de Cebolla (Allium cepa L.) Para la Industria del Deshidratado. Master’s Thesis, Universidad Nacional de Cuyo, Mendoza, Argentina, 1996. [Google Scholar]
- Messina, G.; Praticò, S.; Badagliacca, G.; Di Fazio, S.; Monti, M.; Modica, G. Monitoring Onion Crop “Cipolla Rossa di Tropea Calabria IGP” Growth and Yield Response to Varying Nitrogen Fertilizer Application Rates Using UAV Imagery. Drones 2021, 5, 61. [Google Scholar] [CrossRef]
- Daughtry, C.S.T.; Gallo, K.P.; Goward, S.N.; Prince, S.D.; Kustas, W.P. Spectral estimates of absorbed radiation and phytomass production in corn and soybean canopies. Remote Sens. Environ. 1992, 39, 141–152. [Google Scholar] [CrossRef]
- Kucharik, C.J.; Norman, J.M.; Gower, S.T. Measurements of branch area and adjusting leaf area index to indirect measurements. Agric. For. Meteorol. 1998, 91, 69–88. [Google Scholar] [CrossRef]
- Houlès, V.; Guerif, M.; Mary, B. Elaboration of a nitrogen nutrition indicator for winter wheat based on leaf area index and chlorophyll content for making nitrogen recommendations. Eur. J. Agron. 2007, 27, 1–11. [Google Scholar] [CrossRef]
- Siliquini, O. Evolución de Algunos Parámetros Fisiológicos y Productivos en Cebolla (Allium Cepa L.) Sembrada en Forma Directa a dos Densidades y Dosis De Nitrógeno. Master’s Thesis, Universidad Nacional del Sur, Bahía Blanca, Argentina, 2015. [Google Scholar]
- Confalonieri, R. Development of an app for estimating leaf area index using a smartphone. Trueness and precision determination and comparison with other indirect methods. Comput. Electron. Agric. 2013, 96, 67–74. [Google Scholar] [CrossRef]
- Baret, F.; Houles, V.; Guerif, M. Quantification of plant stress using remote sensing observations and crop models: The case of nitrogen management. J. Exp. Bot. 2007, 58, 869–880. [Google Scholar] [CrossRef] [Green Version]
- Delloye, C.; Weiss, M.; Defourny, P. Retrieval of the canopy chlorophyll content from Sentinel-2 spectral bands to estimate nitrogen uptake in intensive winter wheat cropping systems. Remote Sens. Environ. 2018, 216, 245–261. [Google Scholar] [CrossRef]
- Gitelson, A.A.; Keydan, G.P.; Merzlyak, M.N. Three-band model for noninvasive estimation of chlorophyll, carotenoids, and anthocyanin contents in higher plant leaves. Geophys. Res. Lett. 2006, 33, L11402. [Google Scholar] [CrossRef] [Green Version]
- Li, W.; Weiss, M.; Waldner, F.; Defourny, P.; Demarez, V.; Morin, D.; Hagolle, O.; Baret, F.A. Generic Algorithm to Estimate LAI, FAPAR and FCOVER Variables from SPOT4_HRVIR and Landsat Sensors: Evaluation of the Consistency and Comparison with Ground Measurements. Remote Sens. 2015, 7, 15494–15516. [Google Scholar] [CrossRef] [Green Version]
- Patrignani, A.; Ochsner, T. Canopeo: A Powerful New Tool for Measuring Fractional Green Canopy Cover. Agron. J. 2015, 107, 2312–2320. [Google Scholar] [CrossRef] [Green Version]
- Mulla, D.J. Twenty five years of remote sensing in precision agriculture: Key advances and remaining knowledge gaps. Biosyst. Eng. 2013, 114, 358–371. [Google Scholar] [CrossRef]
- ESA. Copernicus Open Access Hub. 2021. Available online: https://sentinels.copernicus.eu/web/sentinel/user-guides/sentinel-2-msi/resolutions/radiometric. (accessed on 18 July 2022).
- Weiss, M.; Baret, F. S2ToolBox Level 2 Products: LAI, FAPAR, FCOVER; Institute National de la Recherche Agronomique (INRA): Avignon, France, 2016. [Google Scholar]
- Rouse, J.W.; Haas, R.H.; Schell, J.A.; Deering, D.W. Monitoring Vegetation Systems in the Great Plains with ERTS. In Proceedings of the Third ERTS Symposium, Washington, DC, USA, 10–14 December 1973; pp. 309–317. [Google Scholar]
- Gitelson, A.A.; Merzlyak, M.N. Spectral reflectance changes associated with autumn senescence of Aesculus hippocastanum L. and Acer platanoides L. leaves. Spectral features and relation to chlorophyll estimation. J. Plant Physiol. 1994, 143, 286–292. [Google Scholar]
- Haboudane, D.; Tremblay, N.; Miller, J.R.; Vigneault, P. Remote estimation of crop chlorophyll content using spectral indices derived from hyperspectral data. IEEE Trans. Geosci. Remote Sens. 2008, 46, 423–437. [Google Scholar] [CrossRef]
- Delegido, J.; Verrelst, J.; Alonso, L.; Moreno, J. Evaluation of Sentinel-2 red-edge bands for empirical estimation of green LAI and chlorophyll content. Sensors 2011, 11, 7063–7081. [Google Scholar] [CrossRef] [Green Version]
- Clevers, J.G.P.W.; Kooistra, L. Using Hyperspectral Remote Sensing Data for Retrieving Canopy Chlorophyll and Nitrogen Content. IEEE J. Sel. Top. Appl. Earth Obs. Remote Sens. 2012, 5, 574–583. [Google Scholar] [CrossRef]
- Delegido, J.; Verrelst, J.; Meza, C.M.; Rivera, J.P.; Alonso, L.; Moreno, J. A red-edge spectral index for remote sensing estimation of Green LAI over agroecosystems. Eur. J. Agron. 2013, 46, 42–52. [Google Scholar] [CrossRef]
- Dash, J.; Curran, P.J. The MERIS terrestrial chlorophyll index. Int. J. Remote Sens. 2004, 25, 5403–5413. [Google Scholar] [CrossRef]
- Daughtry, C.S.T.; Walthall., C.S.; Kim., M.S.; de Colstoun, B.E.; McMurtrey, J.E. Estimating Corn Leaf Chlorophyll Concentration from Leaf and Canopy Reflectance. Remote Sens. Environ. 2000, 74, 229–239. [Google Scholar] [CrossRef]
- Haboudane, D.; Miller, J.; Tremblay, N.; Zarco-Tejada, P.; Dextraze, L. Integrated narrow-band vegetation indices for prediction of crop chlorophyll content for application to precision agriculture. Remote Sens. Environ. 2002, 81, 416–426. [Google Scholar] [CrossRef]
- Frampton, W.J.; Dash, J.; Watmough, G.; Milton, E.J. Evaluating the capabilities of Sentinel-2 for quantitative estimation of biophysical variables in vegetation. ISPRS J. Photogramm. Remote Sens. 2013, 82, 83–92. [Google Scholar] [CrossRef] [Green Version]
- Clevers, J.G.; Gitelson, A.A. Remote estimation of crop and grass chlorophyll and nitrogen content using red-edge bands on Sentinel-2 and -3. Int. J. Appl. Earth Obs. Geoinf. 2013, 23, 344–351. [Google Scholar] [CrossRef]
- Pasqualotto, N.; D’Urso, G.; Bolognesi, S.F.; Belfiore, O.R.; Van Wittenberghe, S.; Delegido, J.; Pezzola, A.; Winschel, C.; Moreno, J. Retrieval of Evapotranspiration from Sentinel-2: Comparison of Vegetation Indices, Semi-Empirical Models and SNAP Biophysical Processor Approach. Agronomy 2019, 9, 663. [Google Scholar] [CrossRef] [Green Version]
- Verrelst, J.; Camps-Valls, G.; Muñoz-Marí, J.; Rivera, J.P.; Veroustraete, F.; Clevers, J.G.; Moreno, J. Optical remote sensing and the retrieval of terrestrial vegetation bio-geophysical properties–A review. ISPRS J. Photogramm. Remote Sens. 2015, 108, 273–290. [Google Scholar] [CrossRef]
- Caballero, G.R.; Platzeck, G.; Pezzola, A.; Casella, A.; Winschel, C.; Silva, S.S.; Ludueña, E.; Pasqualotto, N.; Delegido, J. Assessment of Multi-Date Sentinel-1 Polarizations and GLCM Texture Features Capacity for Onion and Sunflower Classification in an Irrigated Valley: An Object Level Approach. Agronomy 2020, 10, 845. [Google Scholar] [CrossRef]
- Sánchez, R.; Pezzola, N.; Cepeda, J. Caracterización Edafoclimática del Área de Influencia del INTA. EEA Hilario Ascasubi. Ed. INTA 1998, 18, 72. [Google Scholar]
- Rodríguez, D.; Schulz, G.; Moretti, L. Carta de Suelos de La República Argentina, Ediciones INTA, 1st ed.; Partido de Villarino: Buenos Aires, Argentina, 2018. [Google Scholar]
- Orden, L.; Ferreiro, N.; Satti, P.; Navas-Gracia, L.M.; Chico-Santamarta, L.; Rodríguez, R.A. Effects of Onion Residue, Bovine Manure Compost and Compost Tea on Soils and on the Agroecological Production of Onions. Agriculture 2021, 11, 962. [Google Scholar] [CrossRef]
- Brewster, J.L. Onions and Other Vegetable Alliums, 2nd ed.; Horticulture Research International: Wallingford, UK, 2008; p. 448. [Google Scholar]
- Castro Álvarez, R.; Morejón Rivera, R.; Díaz Solís, S.H.; Álvarez, G.E. Efecto de borde y la validez de los muestreos en el cultivo del arroz. Cultiv. Trop. 2013, 34, 70–75. [Google Scholar]
- Gamiely, S.; Randle, W.M.; Mills, H.A.; Smittle, D.A. Rapid and non-destructive method for estimating leaf area of onions. Hortscience 1991, 26, 2. [Google Scholar] [CrossRef] [Green Version]
- Louis, J.; Debaecker, V.; Pflug, B.; Main-Knorn, M.; Bieniarz, J.; Mueller-Wilm, U.; Cadau, E.; Gascon, F. Sentinel-2 SEN2COR: L2A processor for users. In Proceedings of the Living Planet Symposium, Prague, Czech Republic, 9–13 May 2016; pp. 1–8. [Google Scholar]
- Casella, A.A.; Barrionuevo, N.J.; Pezzola, N.A.; Winschel, C.I. Pre-Procesamiento de Imágenes Satelitales del Sensor Sentinel 2A y 2B con el Software, SNAP, version 6.0; Ediciones INTA: Hurlingham, Buenos Aires, Argentina, 2018; p. 31. [Google Scholar]
- Gitelson, A.A.; Gritz, Y.; Merzlyak, M.N. Relationships between leaf chlorophyll content and spectral reflectance and algorithms for non-destructive chlorophyll assessment in higher plant leaves. J. Plant Physiol. 2003, 160, 271–282. [Google Scholar] [CrossRef] [PubMed]
- Huete, A.; Didan, K.; Miura, T.; Rodriguez, E.; Gao, X.; Ferreira, L.G. Overview of the Radiometric and Biophysical Performance of the MODIS Vegetation Indices. Remote Sens. Environ. 2002, 83, 195–213. [Google Scholar] [CrossRef]
- Barnes, E.M.; Clarke, T.R.; Richards, S.E.; Colaizzi, P.D.; Haberland, J.; Kostrzewski, M.; Waller, P.; Choi, C.; Riley, E.; Thompson, T.; et al. Coincident detection of crop water stress, nitrogen status and canopy density using ground based multispectral data. In Proceedings of the Fifth International Conference on Precision Agriculture, Bloomington, MN, USA, 16–19 July 2000; Volume 1619. [Google Scholar]
- Rondeaux, G.; Steven, M.; Baret, F. Optimization of soil-adjusted vegetation indices. Remote Sens. Environ. 1996, 55, 95–107. [Google Scholar] [CrossRef]
- Sharma, L.K.; Bu, H.; Denton, A.; Franzen, D.W. Active-Optical Sensors Using Red NDVI Compared to Red Edge NDVI for Prediction of Corn Grain Yield in North Dakota, U.S.A. Sensors 2015, 15, 27832–27853. [Google Scholar] [CrossRef] [PubMed]
- Jordan, C.F. Deviation of leaf-area index fromquality of light on the forest floor. Ecology 1969, 50, 663–666. [Google Scholar] [CrossRef]
- Pasqualotto, N.; Delegido, J.; Van Wittenberghe, S.; Rinaldi, M.; Moreno, J. Multi-Crop Green LAI Estimation with a New Simple Sentinel-2 LAI Index (SeLI). Sensors 2019, 19, 904. [Google Scholar] [CrossRef] [Green Version]
- Vincini, M.; Frazzi, E.; D’Alessio, P. Comparison of narrow-band and broad-band vegetation indices for canopy chlorophyll density estimation in sugar beet. In Proceedings of the 6th European Conference on Precision Agriculture, Skiathos, Greece, 3–6 June 2007; pp. 189–196. Available online: https://link.springer.com/article/10.1007/s11119-010-9204-3#citeas (accessed on 18 July 2022).
- Di Rienzo, J.; Casanoves, F.; Balzarini, M.G.; Gonzalez, L.; Tablada, M.; Robledo, C.W.; FCA Universidad. Nacional de Córdoba Argentina. InfoStat V2021. 2020. Available online: https://infostat.com.ar/ (accessed on 18 July 2022).
- Wang, Z.; Chen, J.; Zhang, S.; Fan, Y.; Cheng, Y.; Wang, B.; Wu, X.; Tan, X.; Tan, T.; Li, S.; et al. Predicting grain yield and protein content using canopy reflectance in maize grown under different water and nitrogen levels. Field Crops Res. 2021, 260, 107988. [Google Scholar] [CrossRef]
- Huerres-Perez, C. Studies on the growthand development of the onion cultivarYellow Granex Hybrid. Cent. Agrícola 1978, 5, 93–107. [Google Scholar]
- Galmarini, C. Manual del Cultivo de Cebolla. Edicones INTA 2011. Available online: https://biblioteca.inia.cl/handle/20.500.14001/6711 (accessed on 18 July 2022).
- Geisseler, D.; Soto Ortiz, R.; Diaz, J. Nitrogen nutrition and fertilization of onions (Allium cepa L.)—A literature review. Sci. Hortic. 2022, 291, 110591. [Google Scholar] [CrossRef]
- Boyhan, G.E.; Torrance, R.L.; Hill, C.R. Effects of nitrogen, phosphorus, and potassium rates and fertilizer sources on yield and leaf nutrient status of short-day onions. HortScience 2007, 42, 653–660. [Google Scholar] [CrossRef] [Green Version]
- Tei, F.; Scaife, A.; Aikman, D.P. Growth of Lettuce, Onion, and Red Beet. 1. Growth Analysis, Light Interception, and Radiation Use Efficiency. Ann. Bot. 1996, 78, 633–643. [Google Scholar] [CrossRef]
- Djamai, N.; Fernandes, R.; Weiss, M.; McNairn, H.; Goïta, K. Validation of the Sentinel Simplified Level 2 Product Prototype Processor (SL2P) for mapping cropland biophysical variables using Sentinel-2/MSI and Landsat-8/OLI data. Remote Sens. Environ. 2019, 225, 416–430. [Google Scholar] [CrossRef]
- Xie, Q.; Dash, J.; Huete, A.; Jiang, A.; Yin, G.; Ding, Y.; Peng, D.; Hall, C.; Brown, L.; Shi, Y.; et al. Retrieval of crop biophysical parameters from Sentinel-2 remote sensing imagery. Int. J. Appl. Earth Obs. Geoinf. 2019, 80, 187–195. [Google Scholar] [CrossRef]
- Clevers, J.G.P.W.; Kooistra, L.; Van den Brande, M.M.M. Using Sentinel-2 Data for Retrieving LAI and Leaf and Canopy Chlorophyll Content of a Potato Crop. Remote Sens. 2017, 9, 405. [Google Scholar] [CrossRef] [Green Version]
- Zarco-Tejada, P.J.; Hornero, A.; Beck, P.S.A.; Kattenborn, T.; Kempeneers, P.; Hernández-Clementec, R. Chlorophyll content estimation in an open-canopy conifer forest with Sentinel-2A and hyperspectral imagery in the context of forest decline. Remote Sens. Environ. 2019, 223, 320–335. [Google Scholar] [CrossRef] [PubMed]







| Sampling | Date | Phenological Stage | ||
|---|---|---|---|---|
| Field | Satellite | |||
| 1 | 25/09/2019 | 24/09/2019 | Vegetative | 4–6 leaves |
| 2 | 24/10/2019 | 24/10/2019 | 6–8 leaves | |
| 3 | 15/11/2019 | 18/11/2019 | 8–10 leaves | |
| 4 | 06/12/2019 | 08/12/2019 | Bulbification | |
| 5 | 06/01/2020 | 02/01/2020 | Pre-harvest | |
| Index | Formula | S2 Formula | Reference |
|---|---|---|---|
| CIGreen | [46] | ||
| CIRedEdge | [46] | ||
| EVI | 2.5 (B8 − B4)/(B8 + 6 B4 − 7.5 B2 + 1) | [47] | |
| GNDVI | [25] | ||
| IRECI | [33] | ||
| MCARI | ) | [(B5 − B4) − 0.2(B5 − B3)](B5/B4) | [31] |
| MCARI-OSAVI | )/ | [(B5 − B4) − 0.2 (B5 − B3)](B5/B4)/ [(1 + 0.16) (B6 − B5)/(B6 + B5 + 0.16)] | [26] |
| MTCI | [30] | ||
| NAOC | [43] | ||
| NDI45 | [29] | ||
| NDRE1 | [25] | ||
| NDRE2 | [48] | ||
| NDVI | [24] | ||
| OSAVI | + 0.16) | (1 + 0.16) (B6 − B5)/(B6 + B5 + 0.16) | [49] |
| RENDVI | [50] | ||
| RVI | [51] | ||
| S2-REP | [33] | ||
| SeLI | [52] | ||
| TCARI | )] | 3 [(B6 − B5) − 0.2 (B6 − B3) (B6/B5)] | [32] |
| TCARI-OSAVI | + 0.16) | 3 [(B6 − B5) − 0.2 (B6 − B3) (B6/B5)]/ (1 + 0.16) (B6 − B5)/(B6 + B5 + 0.16) | [32] |
| TRBI | [53] |
| Index | LAI (m2 m−2) | CCC (g m−2) | fCOVER (%) | ||||||
|---|---|---|---|---|---|---|---|---|---|
| R2 | F-anova | p-Value | R2 | F-anova | p-Value | R2 | F-anova | p-Value | |
| CIgreen | 0.89 | 293.48 | *** | 0.78 | 98.62 | *** | 0.77 | 125.32 | *** |
| CIRedEdge | 0.85 | 215.54 | *** | 0.81 | 117.83 | *** | 0.85 | 216.91 | *** |
| EVI | 0.59 | 55.32 | *** | 0.78 | 101.24 | *** | 0.92 | 420.06 | *** |
| GNDVI | 0.81 | 158.63 | *** | 0.56 | 33.91 | *** | 0.80 | 151.61 | *** |
| IRECI | 0.71 | 94.20 | *** | 0.80 | 113.73 | *** | 0.92 | 415.27 | *** |
| MCARI | 0.64 | 66.16 | *** | 0.70 | 66.62 | *** | 0.80 | 151.46 | *** |
| MOSAVI | 0.00 | 0.0005 | ns | 0.00 | 0.0003 | ns | 0.04 | 1.54 | ns |
| MTCI | 0.25 | 12.58 | ** | 0.53 | 30.70 | *** | 0.29 | 15.85 | *** |
| NAOC | 0.79 | 145.35 | *** | 0.76 | 88.51 | *** | 0.86 | 238.77 | *** |
| NDI45 | 0.79 | 142.36 | *** | 0.58 | 38.02 | *** | 0.76 | 121.04 | *** |
| NDRE1 | 0.82 | 171.33 | *** | 0.79 | 108.38 | *** | 0.88 | 281.44 | *** |
| NDRE2 | 0.82 | 169.11 | *** | 0.79 | 104.77 | *** | 0.87 | 257.74 | *** |
| NDVI | 0.80 | 156.82 | *** | 0.78 | 102.14 | *** | 0.89 | 305.70 | *** |
| OSAVI | 0.77 | 1.20 | *** | 0.79 | 108.19 | *** | 0.91 | 393.57 | *** |
| RENDVI | 0.41 | 28.68 | *** | 0.50 | 28.52 | *** | 0.69 | 85.65 | *** |
| RVI | 0.81 | 157.67 | *** | 0.77 | 94.68 | *** | 0.77 | 116.82 | *** |
| S2-REP | 0.21 | 10.13 | ** | 0.22 | 7.84 | ** | 0.27 | 13.97 | *** |
| SeLI | 0.82 | 178.61 | *** | 0.79 | 103.02 | *** | 0.86 | 236.48 | *** |
| TCARI | 0.45 | 31.13 | *** | 0.64 | 49.43 | *** | 0.78 | 135.84 | *** |
| TOSAVI | 0.07 | 3.03 | ns | 0.09 | 2.72 | ns | 0.20 | 9.56 | ** |
| TRBI | 0.69 | 84.45 | *** | 0.74 | 80.78 | *** | 0.89 | 301.15 | *** |
| Date | Field | Satellite | |||||
|---|---|---|---|---|---|---|---|
| LAI | fCOVER | CCC | LAI | fCOVER | CCC | ||
| (m2 m−2) | (%) | (g m−2) | (m2 m−2) | % | (g m−2) | ||
| 24/09/2019 | R2 | 0.06 | 0.22 | 0.00 | 0.00 | 0.01 | 0.00 |
| p-value | ns | ns | ns | ns | ns | ns | |
| F-anova | 0.52 | 2.22 | 0.004 | 0.0003 | 0.08 | 0.004 | |
| 24/10/2019 | R2 | 0.19 | 0.26 | 0.15 | 0.10 | 0.23 | 0.24 |
| p-value | ns | ns | ns | ns | ns | ns | |
| F-anova | 1.97 | 2.77 | 1.45 | 0.93 | 2.36 | 2.55 | |
| 18/11/2019 | R2 | 0.52 | 0.84 | - | 0.53 | 0.66 | - |
| p-value | * | *** | - | * | ** | - | |
| F-anova | 8.54 | 41.25 | - | 9.20 | 15.50 | - | |
| 08/12/2019 | R2 | 0.61 | 0.72 | 0.23 | 0.70 | 0.66 | 0.69 |
| p-value | ** | ** | ns | ** | ** | ** | |
| F-anova | 12.36 | 18.08 | 2.34 | 18.72 | 15.21 | 18.10 | |
| 02/01/2020 | R2 | 0.45 | 0.18 | 0.04 | 0.35 | 0.13 | 0.05 |
| p-value | * | 3.09 | 1.44 | * | 2.43 | 1.55 | |
| F-anova | 8.31 | ns | ns | 5.89 | ns | ns | |
Publisher’s Note: MDPI stays neutral with regard to jurisdictional claims in published maps and institutional affiliations. |
© 2022 by the authors. Licensee MDPI, Basel, Switzerland. This article is an open access article distributed under the terms and conditions of the Creative Commons Attribution (CC BY) license (https://creativecommons.org/licenses/by/4.0/).
Share and Cite
Casella, A.; Orden, L.; Pezzola, N.A.; Bellaccomo, C.; Winschel, C.I.; Caballero, G.R.; Delegido, J.; Gracia, L.M.N.; Verrelst, J. Analysis of Biophysical Variables in an Onion Crop (Allium cepa L.) with Nitrogen Fertilization by Sentinel-2 Observations. Agronomy 2022, 12, 1884. https://doi.org/10.3390/agronomy12081884
Casella A, Orden L, Pezzola NA, Bellaccomo C, Winschel CI, Caballero GR, Delegido J, Gracia LMN, Verrelst J. Analysis of Biophysical Variables in an Onion Crop (Allium cepa L.) with Nitrogen Fertilization by Sentinel-2 Observations. Agronomy. 2022; 12(8):1884. https://doi.org/10.3390/agronomy12081884
Chicago/Turabian StyleCasella, Alejandra, Luciano Orden, Néstor A. Pezzola, Carolina Bellaccomo, Cristina I. Winschel, Gabriel R. Caballero, Jesús Delegido, Luis Manuel Navas Gracia, and Jochem Verrelst. 2022. "Analysis of Biophysical Variables in an Onion Crop (Allium cepa L.) with Nitrogen Fertilization by Sentinel-2 Observations" Agronomy 12, no. 8: 1884. https://doi.org/10.3390/agronomy12081884
APA StyleCasella, A., Orden, L., Pezzola, N. A., Bellaccomo, C., Winschel, C. I., Caballero, G. R., Delegido, J., Gracia, L. M. N., & Verrelst, J. (2022). Analysis of Biophysical Variables in an Onion Crop (Allium cepa L.) with Nitrogen Fertilization by Sentinel-2 Observations. Agronomy, 12(8), 1884. https://doi.org/10.3390/agronomy12081884

